
Department of Pharmaceutical Chemistry, Faculty of Pharmacy, Jamia Hamdard, New Delhi 110062, India
Email: nadeems_03@yahoo.co.in
Received: 08 Feb 2016 Revised and Accepted: 30 Mar 2016
ABSTRACT
Pyrimidines occupy an important position in the medicinal world as it has a number of diverse biological properties. Their related fused heterocycles are of interest as potential bioactive molecules. Pyrimidine derivatives are reported to have diverse pharmacological activities such as anticonvulsant, analgesic, sedative, anti-depressive, antipyretic, anti-inflammatory, antiviral, anti-HIV, antimicrobial and anti-tumor activities. Therefore, the study in this review has been emphasized on the research work reported in the recent scientific literature on different biological activities of pyrimidine analogs.
Keywords: Pyrimidine, Biological activity, Anti-cancer, Anti-microbial, Anti-convulsant, Anti-diabetic
© 2016 The Authors. Published by Innovare Academic Sciences Pvt Ltd. This is an open access article under the CC BY license (http://creativecommons.org/licenses/by/4.0/)
INTRODUCTION
Pyrimidine pharmacophore is an important and integral part of DNA and RNA and play an essential role in several biological processes and also have considerable chemical and pharmacological utility as antibiotics, antibacterial, cardiovascular as well as agrochemical and veterinary product. These derivatives were found to possess a range of diverse activities such as anti-inflammatory and analgesic, antimicrobial, anti-avian influenza virus (H5N1), against herpes simplex virus type-1 (HSV-1) and hepatitis-A virus (HAV), serotonin 5-HT6 receptor antagonist, anti-arrhythmic agents, etc. (fig. 1). Pyrimidine analogs have been already demonstrated as platelet aggregation inhibitors, antagonists, anti-conceptive and anti-parkinsonism agents [1].
Pyrimidines occupy an outstanding position in organic and medicinal chemistry for their high biological activity. The pyrimidine core is a structural constituent of vital Biomolecules like DNA and of critically important drugs like Fluorouracil, Etravirine, Risperidone, Iclaprim, Avanafil, and Rosuvastatin [2] (table 1).
Fig. 1: Diverse biological importance of pyrimidines
Search criteria
Sources: Science Direct, Pub med
Keywords
Synthesis, Pyrimidine, derivatives, biological activity; Range of years: 2005-15
Biological aspects
Pyrimidines represent a broad class of compounds, which have received considerable attention due to their wide range of biological activities such as anti-inflammatory, COX inhibitor, anti-cancer, anti-allergic, analgesic etc. [3]. Given below is a brief account related to various biological activities of pyrimidine derivatives.
Table 1: Marketed drugs having pyrimidine pharmacophore

Pyrimidines as anti-Alzheimer's agent
Alzheimer’s disease (AD) is a neurodegenerative disorder, responsible for causing dementia in over 50% of all cases. Now a day, AD is a major public health issue and will apparently be the most important disease in developed/developing countries. Persistent efforts have been made in the last decade to determine the etiopathogenesis of the disease and to perform early diagnosis and therapeutic control of the disorder. Currently, there is no drug available that provides the specific solution for treating Alzheimer’s disease. The pharmacological treatment involves the use of two classes of drugs, the acetylcholinesterase inhibitors (AchEI) and the glutamate modulators [4].
Loidreau et al., 2013 synthesized two series of novel N-aryl-7-methoxybenzo[b]furo[3,2-d]pyrimidin-4-amines and their N-aryl-7-methoxybenzo[b]thieno[3,2-d]pyrimidin-4-amine analogues using microwaves via a Dimroth rearrangement. The synthesized compounds weretested in vitro to evaluate their inhibition potential on five different kinases-CDK5/p25 (cyclin-dependent kinase), CK1δ/ε (casein kinase 1), GSK3α/β (glycogen synthase kinase 3), DYRK1A (dual-specificity tyrosine phosphorylation regulated kinase) and CLK1 (cdc2-like kinase 1). Among all these compounds, the benzothieno[3,2-d]pyrimidine derivative 1 and 2 showed interesting inhibition at a sub-micromolar level and showed selectivity towards CLK1 and DYRK1A kinase [5]. A series of N-arylbenzo[b]thieno[3,2-d]pyrimidin-4-amines and their pyrido and pyrazino analogues were designed, synthesized and characterized by Loidreau et al., 2012 via microwave-accelerated condensation and Dimroth rearrangement. The inhibitory potency of the final products was tested against five Ser/Thr kinases (CDK5/p25, CK1δ/ε, CK1δ/ε, DYRK1A and CLK1). N-aryl pyrido [3’,2’:4,5]thieno[3,2-d]pyrimidin-4-amine derivatives 3, 4 and 5 were found to be potent inhibitors of CK1 and CLK1 kinases [6].
Pyrimidines as anti-angiogenic agent
Angiogenesis is the process of new blood vessels formation by creating new capillaries from existing vasculature and it is a normal process for organ development. When there is a malfunction in controlling mechanisms of angiogenesis, it may be involved in the development and evolution of various diseases such as rheumatoid arthritis, inflammation, ocular neovascularization, psoriasis, tumor growth, and metastasis. More than twenty different factors are involved in this process, one of which is vascular endothelial growth factors (VEGFs). The VEGF family includes VEGF-A (usually named VEGF), VEGF-B, VEGF-C, VEGF-D, VEGF-E, VEGF-F and a structurally related molecule, Placental Growth Factor (PlGF) [7].
Perspicace et al., 2013 designed, synthesized and biologically evaluated thieno pyrimidines for their VEGFR-2 inhibitor activity. Among all the synthesized compounds, 6 was estimated to be a lead compound as it inhibits VEGFR-2 and HUVEC at very low concentration. By in vitro studies, tartaric acid salt of compound 6 (EC50=31nM) was proved to block angiogenesis by inhibiting endothelial cell tube formation induced by VEGF as compared to standard drug Sunitinib (EC50=645nM). Therefore, it may be used as a lead compound for further development of anti-angiogenic agent [7].
Pyrimidines as anti-cancer agent
Cancer is life threatening disease, affecting more than six million people per year worldwide. Drastic changes in the lifestyle of humans have increased the risk of developing different types of cancers. The continuous effort has been put to identify molecules with anti-cancer properties from both natural and synthetic sources [8]. There are the different type of receptors which are involved in cancer progression like p21 Activated kinases (PAKs), MCF-7 kinase, PKCK2 kinase, JAK1-3kinase, FLT1 kinase, FLT3-4 kinase, CHK1 kinase, Aurora-A kinase, MGC-803 kinase, EC-109 kinase, B16-F10 kinase, etc.
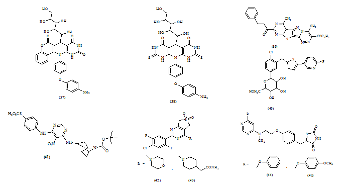
1,2,3-Triazole–pyrimidine–urea derivatives were designed, synthesized and evaluated for anticancer activity against by Ma et al., 2015. These synthesized compounds were tested against four cell lines: MGC-803, EC-109, MCF-7, and B16-F10. Almost all of the synthesized compounds showed moderate to potent activity against all the cancer cell lines. But compounds 7, 8 and 9 showed promising growth inhibition against B16-F10 (IC50 = 32 nM, 35 nM and 42 nM, respectively). Furthermore, flow cytometry study revealed that compound 7 induced the cellular apoptosis in a concentration-dependent manner [9]. Qin et al., 2015 synthesized some of the 2,4-diaminopyrimidine derivatives and tested them for their biological activities, including anti-proliferation, inhibition of Aurora kinases and cell cycle effects. All the synthesized compounds exhibited more potent cytotoxicity against tumor cell lines compared with the VX-680 control. Compound 10 showed the highest cytotoxicity (IC50=0.5-4.0 μM) and showed more than 35-fold more selectivity for Aurora A over Aurora B. Molecular docking analysis also revealed that this compound showed better interaction with Aurora-A both from the perspective of structure and energy. Furthermore, compound 10 induced G2/M cell cycle arrest in HeLa cancer cell lines. Thus, these synthetic compounds have the potential for further development as selective Aurora A inhibitors for anticancer activity [10]. Jin et al., 2014 designed, synthesized and characterized ethyl 2-(benzylidene)-7-methyl-3-oxo-2,3-dihydro-5H-thiazolo[3,2-a]pyrimidine-6-carboxylate derivatives. Compound 11 was identified as good inhibitor of PKCK2 with IC50 = 0.56 μM that is 2.2-fold more potent and selective than 4,5,6,7-tetrabromobenzotriazole (TBB) with IC50 = 1.24 μM. The Ki values of compound 11 and TBB for PKCK2 were 0.78 μM and 2.70 μM, respectively. Therefore, compound 11 inhibited endogenous PKCK2 kinase and showed promising antiproliferative activity worthy of further characterization [11].

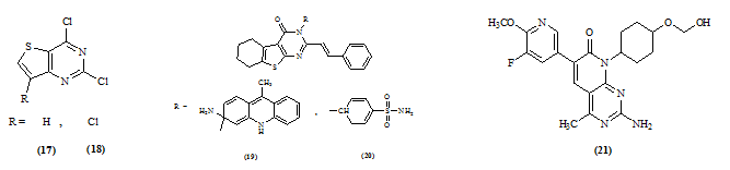
A class of novel 1,2,3-triazole-pyrimidine analogs was designed and synthesized by Ma et al., 2014 and also reported their anticancer activity against four cancer cell lines (MGC-803, EC-109, MCF-7, and B16-F10). Among the synthesized compounds, 12 showed the most excellent anticancer activity with IC50 = 1.42 to 6.52 mM. Further studies showed that compound 12 could inhibit the proliferation of EC-109 cancer cells by inducing apoptosis and arresting the cell cycle at G2/M phase [12]. Madadi et al., 2014 synthesized a library of substituted 5-((1-benzyl-1H-indol-3-yl) methylene)-1,3-dimethyl pyrimidine-2,4,6(1H,3H,5H)-triones. All the synthesized compounds were tested on 60 types of human tumor cell lines for their in vitro cell growth inhibition and cytotoxicity. Compounds 13, 14, 15 and 16 were found highly potent anti-cancer agents against ovarian, renal and breast cancer cell lines. The 4-methoxy-N-benzyl analog (14) was reported as the most active compound against OVCAR-5 ovarian cancer cells and MDA-MB-468 breast cancer cells with GI50 =20 nM and 40 nM, respectively. While compounds, 13 and 16 were found equally potent (GI50 = 30 nM) against MDA-MB-468 cells. Against renal cancer cell line A498, compound 15 was found most potent (GI50 =40 nM). The study suggests that these compounds may act as lead for development of candidate drugs to treat a variety of solid tumors [8]. Temburnikar et al., 2014 synthesized halogenated thieno [3,2-d]pyrimidine derivatives and evaluated them in vitro for their anti-proliferative activity against three different cancer cell lines-L1210 (a mouse lymphocytic leukemia cell line), CCRF-CEM (an acute lymphoblastic leukemia cell line), and HeLa (a cancer cell line derived from a human cervical adenocarcinoma). A structure-activity relationship study indicated the presence of the chlorine at the C4-position is essential for anti-proliferative activity. The two most active compounds 17 and 18 were found to induce apoptosis in the leukemia L1210 cell line and found most active against all three cell lines [13].
Abbas et al., 2013 designed, synthesized, characterized and evaluated two series of new tetrahydrobenzo [4,5] thieno [2,3-d]pyrimidines namely 2,3-disubstituted derivatives and 2,4-disubstituted ones for their antitumor potential. Compound 19 showed excellent antitumor activity against breast MCF-7 (IC50 =0.19 mM) compared to standard Doxorubicin (IC50 = 5.46 mM). Compound 20 was the most active one against liver HEPG-2 cancer cell line (IC50 =1.29 mM) as regard to Doxorubicin (IC50 =7.36 mM) [14]. Cheng et al., 2013 designed 4-methylpyridopyrimidinone series and tested for antitumor activity against PI3K, AKT, and mTOR kinases. Among them, compound 21 (PF-04691503) showed excellent in vitro potency and robust ADMET properties, and screened for in vivo antitumor efficacy model, and showed good tumor growth inhibition [15]. Analogs of pyrimidine-5-carbonitrile have been designed, synthesized and characterized by Fargualy et al., 2013. Among the synthesized compounds, selected members were evaluated for their anticancer activity against certain human tumor cell lines. The most active anticancer compounds found were 22, 23, 24, 25 and 26. Among these, compounds 25 and 26 exhibited strong interactions with dihydrofolate reductase enzyme [16]. Lee et al., 2013 designed synthesized and characterized N-7-methyl-imidazolopyrimidine derivatives. All the synthesized compounds were tested for their anticancer potential based on the hypothesis that the N-7-methyl substituent on imidazole pyrimidine would show selectivity for mTOR over the related PI3Kα and δ kinases. Among them, the pyrazolo [4,3-d]pyrimidine derivative 27 was found most potent compound [17]. Perspicace et al., 2013 designed, synthesized and evaluated a new class of thieno [3,2-d] pyrimidinone as an inhibitor of vascular endothelial growth factor receptor-2 (VEGFR-2). As predicted by the 3-D QSAR approach, compound 28 showed the highest activity and also biological assays on endothelial cell tube formation proved it as a new anti-angiogenic compound in inhibiting endothelial cell tube formation induced by VEGF compared with Sunitinib [7]. Xu et al., 2013 synthesized and evaluated a new series of 2-arylamino-4-aryl-pyrimidine derivatives for PAK1 kinase inhibitor anticancer properties in various colon cancer cell lines. Among them, compound 29 was found to be potent inhibitors of PAK1 kinase inhibitor. The kinase selectivity of compound 29 was investigated by screening against 81 of 118 different kinases. Compound 29 showed strong inhibition of kinases JAK1-3, FLT1, FLT3-4, CHK1, and Aurora A, and therefore, compound 29 showed broad selective profile. The overall selectivity was determined by Gini coefficient = 0.40 for this molecule [18]. Wu et al., 2012 designed, synthesized a library of pyrido[2,3-d]pyrimidine frameworks and tested for their c-Met inhibitory potency. Among the series, N-linked analogus demonstrated c-Met inhibitory potential. The 3-nitrobenzyl analog 30 showed the highest activity with IC50 value of 6.5 nM [19]. Two novel series of furo[2,3-d]pyrimidin-4-amines and 7H-pyrrolo[2,3-d]pyrimidin-4-amines were designed, synthesized and characterized by Jiao et al., 2012. Both the series were evaluated for their antiproliferative property. 1,3-Dithiolane-substituted pyrazolopyrimidine 31was found to have potent in vitro ACK1 kinase inhibitor activity and displayed good kinase selectivity [20].
Pyrimidines as anti-convulsant agent
Epilepsy is a neurological disorder characterized by an enduring predisposition to generate seizures due to abnormal neuronal activity in the brain. According to epidemiological studies, epilepsy is the third most devastating neurological disorder, and it affects more than 50 million people globally with most of these patients being in developing countries. Antiepileptic drugs (AEDs) comprise a diverse range of molecules acting mostly through: enhancement of γ-amino butyric acid (GABA) inhibitory neurotransmission, modulation of voltage-gated ion channels (Na+, Ca++), and reduction of excitatory, mainly glutamate-mediated neurotransmitter [21].
New substituted pyrimidine derivatives were designed, synthesized and characterized by Amr et al., 2005. All the synthesized compounds were screened for their anticonvulsant potential. Compound 32 was found most potent among all and showed even better activity than standard Carbamazepine with relative potency 2.53. The ED50 was estimated which was found 11mg/kg. Thus, this cans beused as a lead in the search of safer and effective anticonvulsant agent. [21]. Wang et al., 2012 designed, synthesized and characterized a series of 5-alkoxytetrazolo [1,5-c] thieno [2,3-e] pyrimidine derivatives and estimated them for their anticonvulsant activity. Among the synthesized compounds (33, 34, 35 and 36) showed weak anticonvulsant activity [22].
Pyrimidines as anti-diabetic agent
Diabetes mellitus is known as a metabolic disorder caused by impaired secretion of insulin from pancreatic β-cells and is found one of the three leading causes of death worldwide. It is characterized by hyperglycemia resulting from defects in insulin secretion and/or insulin action. Hyperglycemia is associated with an alteration in lipid parameters which leads to cardiovascular complications [1]. GPR119 is a G-protein coupled receptor mainly acting on pancreatic beta cells and intestinal enteroendocrine cells. These GPR119 agonists such as oleoyl ethanolamine (OEA), lysophosphatidylcholine, N-oleoyl dopamine and olvanil were reported to stimulate glucose-dependent insulin secretion in vitro and lower increased blood glucose level in vivo [23]. Sodium-glucose cotransporters (SGLTs) inhibitors are a new approach to treat diabetes as their action of reducing blood glucose is insulin independent. By enhancing glucose excretion into urine, SGLT2 inhibitors may lead to a considerable loss of calories [24]. Therefore, the ever-increasing disease burden from type 2 diabetes mellitus (T2DM) has encouraged sustained search for new therapies.
Toobaei et al., [25] Designed, synthesized and evaluated poly-hydroxyl functionalized acridine derivatives. These synthesized derivatives were tested for their inhibitory activities against α-Glucosidase (α-Gls) and α–Amylase (α-Amy). Among the synthetic compounds, 37 with a chromeno [3’,4’:5,6] pyrido[2,3-d]pyrimidine moiety demonstrates the highest inhibitory activity against both yeast and rat α-Gls enzymes. Also, 38 with the thioxo-pyrido[2,3-d:6,5-d”] dipyrimidine moiety displays an important role in yeast α-Gls inhibition. Therefore, 37 showed good inhibitory activity against α-Gls and a poor ability for inhibition of α-Amy and can be used as an important anti-diabetic agent for management of postprandial hyperglycemia [25]. Al-Harbi et. al., 2013 designed and synthesized a new class of poly-fused pyrazolothieno pyrimidine derivatives. All the synthesized compounds were tested for their hypoglycemic activities against standard pioglitazone (i. p., 5 mg/kg). All the synthesized compounds and the standard were found to have equipotent hypoglycemic activity (37.2±2.1-121.5±5.7). Compound 39 was found to be potential hypoglycemic agent [1]. C-glucosides having a heteroaromatic ring were designed, synthesized and evaluated for their inhibitory activities against SGLT2 by Koga et al., 2013 in high-fat diet fed KK (HF-KK) mice. Among the tested compounds, compound 40 was found to be very potent and selective inhibitor of hSGLT2. The anti-hyperglycemic effect was also observed in HF-KK mice for oral administration. Therefore, this compound can be a lead compound for the treatment of type II diabetes [24].
5-Nitropyrimidine analogs substituted with conformationally restricted azabicyclic amines and alcohols were synthesized by Yang et al., 2013. All the synthesized compounds were screened for their agonistic activity against human GPR119 receptor in a cell-based cAMP assay. The analog 41 showed maximum agonistic activity (139% max) with slightly weak EC50 value (11.5 nM) [23]. Negoro et al., 2012 designed and synthesized a series of fused pyrimidine derivatives and evaluated them for their anti-diabetic property toward GPR119. The synthesized compounds were found to be potent and orally active GPR119 agonists. The 5,7-dihydrothieno [3,4-d] pyrimidine 6,6-dioxide derivative 42 was discovered as a highly potent agonist. Further replacement of the amino group at the 4-position in the pyrimidine ring led to the discovery of an advanced analog 43. The compound 43 was found to be extremely potent agonistic activity and improved glucose tolerance at 0.1 mg/kg p. o. in mice. Hence, the compound 43 can be used for the treatment of type 2 diabetes mellitus [26]. Lee et al., 2005 designed and synthesized novel substituted pyrimidines having thiazolidinedione moiety. These synthesized compounds were evaluated for their glucose lowering property. By performing the antidiabetic activity, compounds 44 and 45 were found to be considerably more potent than that of the reference compounds, pioglitazone, and rosiglitazone, respectively [27].
Pyrimidines as anti-hepatitis agent
Hepatitis B virus (HBV) and hepatitis C virus (HCV) are the major reason of chronic liver diseases in humans. Co-infection with both HBV and HCV are common and associated with an increased risk of liver disease, cirrhosis and hepatocellular carcinoma that leads to mortality. Due to limitations of the current treatment, development of new agents is urgently required for both HBV and HCV [28]. HCV is an enveloped positive single stranded RNA virus that belongs to the family-Flaviviridae. Till date, a number of anti-HCV agents are being developed, mainly targeting the non-structural proteins, which still could fail in clinical trials due to severe side effects as described for the recently approved DAAs or because of rapid emergence of drug resistant mutants. This unpredictability and unmet medical needs encouraged us to connect with an HCV drug discovery campaign to develop new, safer and potent drugs against HCV with a high genetic barrier to resistance [29].
Shakya et al., 2014 reported the synthesis and anti-HCV activity of the new class of pyrimidine nucleosides possessing a 40-carboxymethyl and 40-carboxamide functional group. Among them, some of the compounds were found good anti-HCV agents without any toxicity. The results indicated that anti-HCV activities demonstrated by these compounds were superior to that of ribavirin (EC50 = 81.9 μM). Among the entirely synthesized compound, 46 was found the most active analog that interact synergistically with ribavirin to inhibit replication of HCV RNA [28].
Shakya et al., 2012 synthesized a new class of dideoxy pyrimidine nucleosides as potential antiviral agents. The cytotoxicity of the synthesized compounds was tested in the parental human hepatoma cell line (Huh-7) by XTT assay. These nucleosides were reported to be inhibitors of HBV and/or HCV replication. Among them, 30,40-dide hydro thymidine (47) was reported as most effective against DHBV, HBV, and HCV. Compound 48 was not found effective against the anti-HBV activity but increased the anti-HCV activity and showed a synergistic antiviral effect when combined with ribavirin without toxicity. The compounds 49, 50 were also found to inhibit both HBV and HCV replication [30]. A series of 7-aminopyrazolo [1,5-a]pyrimidines (7-APPs) were reported as a potent hepatitis C virus (HCV) inhibitor by Hwang et al., 2012. A group of 7-APPs was synthesized and screened them for inhibitory activity against HCV in different cell culture systems. The synthesized series of compounds were found to inhibit HCV life cycle. Compounds 51 and 52 showed good inhibitory activity against HCV and also showed low cytotoxicity with high selectivity index values (SI = 21 and 25, respectively) [29].
Pyrimidines as anti-inflammatory agent
Inflammation is a characteristic of many diseases, and the persistence of this course may lead to various diseases like sepsis, arthritis, atherosclerosis, diabetes and even cancer [31]. The over expression of TNF-α has been caught up in a number of serious inflammatory disorders such as rheumatoid arthritis, inflammatory bowel disease (IBD), and osteoarthritis and Crohns disease. TNF-α is a potent inducer of other pro-inflammatory cytokines such as IL-1, IL-6, and IL-8. Therefore, agents that inhibit TNF-α production can reduce the levels of these pro-inflammatory cytokines resulting in a drop of inflammation and prevention of further tissue destruction [32]. Toll-like receptors (TLRs) play a key role in the activation of the innate immune system in response to invading pathogens (e. g. viruses, bacteria and fungi). Signalling via TLRs results in the activation of IκB kinases (IKKs) which regulate transcriptional programmes required for the production of inflammatory mediators to combat the invading pathogens. The canonical IKKs activate NF-κB leading to the production of pro-inflammatory cytokines while the IKK-related kinases, known as TANK-binding kinase 1 (TBK1) and IκB kinase epsilon (IKKε) catalyze the activation of interferon regulatory factor 3 (IRF3) [33].
Keche et al., 2012 synthesized a class of pyrimidine derivatives by the sequential Suzuki cross coupling, acid amination, and reduction. All the synthesized compounds were tested for their pro-inflammatory cytokines activity like TNF-α and IL-6. Among all the compounds evaluated, compounds 53, 54, 55, 56, 57 and 58 were found to be potent anti-inflammatory agents. They showed up to 48–78% TNF-α and 56–96% IL-6 inhibitory activity with reference to standard dexamethasone at 10 μM [34]. Mclver et al., 2012 designed, synthesized and proposed structure–activity relationships of a novel series of 2,4-diamino-5-cyclopropyl pyrimidines and screened selected compounds for inhibition of LPS-induced RANTES release in cells. Among them, compound 59 showed a significant inhibition of LPS-induced release of the pro-inflammatory cytokine, IFN-β in mice. The chemical series has been proved useful suggesting that the TBK1/IKKε pathway plays an important role in inflammation [33].
Pyrimidines as anti-malarial agent
Malaria is caused by Plasmodium falciparum and it is a serious health problem in Africa, South America and many parts of Asia. The disease occurs in tropical Africa and the majorities are children under the age of five. The present therapies still believe in drugs that have been developed decades ago. The P. falciparum genome sequencing has revealed some new targets for drug and vaccine development. Development of newer antimalarial drugs only remains an economically and environmentally possible alternative to fighting out the menace of the disease [35].
Mane et al., 2012 synthesized a group of pyrido [1,2-a]pyrimidin-4-ones and screened them for their in vitro FP-2 inhibitory potential. The studies described Plasmodium falciparum cysteine protease falcipain-2 (FP-2) as a promising target for antimalarial chemotherapy and proved that inhibition of this protease affects the growth of parasite adversely. It was found that compounds 60 and 61exhibited excellent FP-2 inhibition and may serve as lead compounds for further investigation of potent FP-2 inhibitors as potential antimalarial drugs [35]. 4-Aminoquinoline pyrimidines were designed, synthesized and characterized by Singh et al., 2013.
All of the synthesized compounds were evaluated for their antimalarial potential. The findings showed that compound 62 was found most active (IC50 =156, 153 respectively) within the series against both CQS and CQR strains of P. falciparum respectively [36].
Pyrimidines as anti-microbial agent
In last decades, the prevalence of fungal and bacterial infections has increased dramatically. The universal use of antifungal and antibacterial drugs and their resistance against respective infections has led to serious health issues. The resistance to wide range of antifungal and antibacterial agents has initiated discovery and modification of the new antifungal and antibacterial drugs [37]. The rapid development of resistance to existing antimicrobial drugs poses a major threat to public health. Therefore, there is a pressing need to develop novel antimicrobial agents with potent activity against multidrug resistant microorganisms [38].
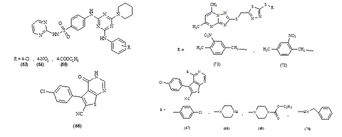
Desai et al., 2015 synthesized a series of 4-(4-(arylamino)-6-(piperidin-1-yl)-1,3,5-triazine-2-ylamino)-N-(pyrimidin-2-yl) benzene sulfonamide analogs and evaluated them for their in vitro antimicrobial activity. Synthesized compounds were evaluated against Gram-positive bacteria [S. aureus (MTCC 96), S. pyogenes (MTCC 442)], Gram-negative bacteria [E. coli (MTCC 443), P. aeruginosa (MTCC 1688)] and fungal strains [C. albicans (MTCC 227), A. niger (MTCC 282), A. clavatus (MTCC 1323)]. Compounds 63, 64 and 65 exhibited significant antimicrobial activity on several strains of microbes [39]. Kanawade et al., 2013 designed some thermal selective reactions to synthesize a class of 4-aminothieno [2,3-d]pyrimidine-6-carbonitrile derivatives. These environmentally benign neat heat reactions gave products in good yield and in comparatively shorter time to conventional method. All the synthesized compounds were tested for their antimicrobial activity against several bacteria such as Staphylococcus aureus MTCC-96, Escherichia coli MTCC-443, Pseudomonas aeruginosa MTCC-4 41, Streptococcus pyogenes MTCC-442 and fungi Aspergillus niger MTCC-282, Aspergillus clavatus MTCC-1323, Candida albicans MTCC-227 using broth microdilution method. It was observed that compound 66, 67, 68, 69, 70 and 71 showed good antibacterial activity compared to standard ampicillin and compounds 69 and 70 proved to be better antifungal agent compared to griseofulvin [40].
Luo et al., 2013 synthesized some novel 1,3,4-thiadiazole derivatives bearing 1,2,4-triazolo[1,5-a]pyrimidine moiety. All the synthesized compounds were assayed for antimicrobial activities against five fungi strains (G. sanbinetti, F. oxysporum, P. piricola, R. solani and C. beticola) and four bacterial strains (B. subtilis, S. aureus, E. coli and P. fluorescence) by the serial dilution method. The results showed that Compound 71 demonstrate good antifungal activities against C. beticola and R. solani (Inhibition Rate = 89%). The compounds 72 showed the best antibacterial activity (MIC of 1.56 mg/ml) against Pseudomonas fluorescence [41].
Pyrimidines as anti-oxidant agent
The mitochondrial overproduction of superoxide radical plays an important role in activation of the other downstream path physiologic cycles which are involved in the further production of reactive oxygen species (ROS) [42]. Furthermore, pyrimidine derivatives have been proved as good antioxidants which can neutralize free radicals. Thus, antioxidants that forage reactive oxygen species may be of great value in preventing the onset and propagation of oxidative diseases such as autoimmune diseases, cardiovascular diseases, and neurovascular diseases and also show hypoglycemic and antibacterial properties. The homeostatic balance between the reactive oxygen species (ROS) and endogenous antioxidants is essential for maintaining healthy tissues [43]. Therefore, there is a need to develop new and safer antioxidant agents. Attri et al., 2014 developed an efficient catalytic method to synthesize 3,4-dihydro pyrimidinones in high yield by one-pot three component Biginelli condensation in the presence of triethyl-ammonium acetate (TEAA) as catalyst/reaction medium. All the synthesized compounds were tested for their antioxidant property using 1,1-diphenyl-2-picrylhydrazyl (DPPH) free radical scavenging and cupric reducing antioxidant capacity (CUPRAC) assays. In this assay, compound 73 depicted highest absorbance (0.87) at 100 ppm as compared to standard gallic acid (1.4) and quercetin (1.2) at same concentration [44]. 1,2,4-(triazolo[3,4-b][1,3,4]thiadiazol-6-yl) selenopheno[2,3-d]pyrimidine analogs were designed, synthesized and characterized by Kotaiah et al., 2014 with substituted anilines and benzoic acids. The newly synthesized compounds were screened for antioxidant activity by DPPH, NO, and H2O2 radical scavenging methods. Compounds 74, 75 and 76 were found promising antioxidant molecules when compared with standard drugs Ascorbic acid and Butylated Hydroxy Toluene (12.27±0.86 and 16.53±1.74 respectively) with the least values of IC50 11.02±0.27, 10.41±0.23 and 9.46±0.91 μg ml-1, inhibition concentration respectively. The study shows indicates that these compounds were capable of significant scavenging properties towards DPPH [45].
Pyrimidines as antiparkinson agent
Parkinson’s disease (PD) is a slowly progressive neurodegenerative disease, mainly characterized by the selective loss of dopaminergic neurons of the substantia nigra (SN), affecting the 1–2% of the general population over the age of 65. It has been suggested that neuroinflammation, oxidative stress, protein degradation, mitochondrial dysfunction, aging and disturbed autophagy are associated with this pathology [1]. Adenosine is a neuromodulator that coordinates responses to dopamine and other neurotransmitters that play important roles in motor function, mood, and memory. Selective A2A antagonists are a target for the symptomatic relief of PD, with some reports indicating that they may also slow disease progression because of their neuroprotective activity [46].
A novel series of benzyl substituted thieno [2,3-d]pyrimidines were identified as potent A2A receptor antagonists by Shook et al., 2013. Among the synthesized compounds, some of the compounds were screened for the ability to reverse cataleptic activity in mice. These compounds were typically tested as a single oral dose of 3 or 10 mg/kg in mice. The compounds 77 and 78 were found active at 10 mg/kg [46].
Pyrimidines as antiprotozoal agent
Malaria, dysentery, leishmaniasis and human African trypanosomiasis are some diseases caused by parasitic protozoa and are major causes of death around the world. Thus, the study of effects of organic compounds on protozoa is need of the hour. Therefore, identification of new lead compounds is must, and inhibition of cellular kinase activity has been identified as a useful tool [47]. Leishmaniasis is a vector-borne parasitic disease which is caused by more than 20 species of protozoan Leishmania and it is transmitted by the bite of female phlebotomine sand flies. Leishmaniasis has been classified into these major clinical forms: visceral leishmaniasis (VL), cutaneous leishmaniasis (CL) and mucocutaneous leishmaniasis (MCL) which differs in immunopathologies and degree of morbidity and mortality [48].
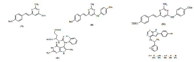
Suryawanshi et al., 2013 designed and synthesized a library of substituted aryl pyrimidine derivatives. All these compounds were screened in vitro by reporter gene luciferase assay for their antileishmanial property against intracellular amastigotes of Leishmania donovani. Among them, 8 compounds showed promising IC50 values (0.5 to 12.9 μM). Selectivity indices (S. I.) of all these compounds were found better than reference drugs, sodium stibogluconate (SSG) and miltefosine. These compounds were further screened for their in vivo antileishmanial activity against L. donovani/hamster model. Compounds 79, 80 and 81 have shown significant inhibition of parasitic multiplication (88.4%, 78.1% and 78.2% respectively) at a daily dose of 50 mg/kg i. p. for 5 d. Compound 79 may be a new lead that could be explored as a new antileishmanial agent [48]. A library of classical antifolates, 2-amino-4-oxo-5-substituted pyrrolo[2,3-d] pyrimidines have been designed, synthesized by Kumar et al., 2013. The synthesized compounds were evaluated for Cryptosporidium hominis thymidylate synthase (ChTS) inhibitory activity. Crystal structure of several hydrophobic, Van der Waals and hydrogen bonding interactions were studied between most potent compound 82 and FdUMP; compound 82 and active site residues, with a Ki of 8.83±0.67 nM. Therefore, compound 82 may be a lead compound for analog design and as ChTS specific inhibitors [49]. Kaspersen et al., 2012 designed, synthesized and evaluated 6-aryl-pyrrolo [2,3-d]pyrimidine-4-amines for their antiprotozoal activity using Tetrahymena as the model organism. The protozoacidal activity results showed that compound 83, 84, 85, 86 and 87 were found to be highly potent at a dose concentration of 8–16 μg/ml [47].
Pyrimidines as anti-thyroid agent
Iodide translocation into thyroid cells is the rate-limiting step in the biosynthesis of iodinated hormones T3 and T4 and the process is mediated by the sodium iodide symporter (NIS), a glycoprotein with 13 putative transmembrane domains. These are mainly expressed in the thyroid gland and some other tissues like salivary glands, gastric mucosa, and mammary glands during lactation. Several studies conclude the role of NIS in many thyroids as well as non-thyroid diseases like cancer (thyroid, breast), thyrotoxicosis and congenital hypothyroidism. Furthermore, the ability of NIS-expressing cells to take up iodide has provided a basis for extra-thyroid cancer cell destruction by radioiodine after the tumor-selective introduction of exogenous NIS [50].
Lacotee et al., 2013 synthesized a small library of dihydropyrimidin-2-ones (DHPMs) using the multi-component Biginelli reaction, and the compounds were tested for their potential to block sodium iodide symporter (NIS) via using a cell-based assay. Compound 88 showed most promising results (IC50 =65 pM). The study provides new hope for the development of anti-thyroid drugs [50].
Pyrimidines as anti-tubercular agent
Tuberculosis is a chronic infectious disease transmitted by cough-propelled droplets that carry the disease carrying bacterium, Mycobacterium tuberculosis. Although currently available drugs kill most isolates of M. tuberculosis but strains resistant to each of these have emerged, and multiply resistant strains are increasingly widespread. The growing problem of drug resistance combined with a global incidence of several thousand of new cases per year and therefore, there is an urgent need for new antituberculosis therapies [51].
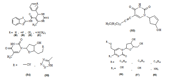
Chikhale et al., 2015 designed synthesized and characterized derivatives of benzothiazolyl pyrimidine-5-carboxamides. These derivatives were synthesized by three component one pot reaction involving benzothiazolyl oxo butanamide, thiourea and substituted aromatic benzaldehydes. All of these derivatives were evaluated for antitubercular activity. Compound 89, 90, 91 and 92 were found active against Mycobacterium tuberculosis (H37Rv) with MIC= 0.08, 0.09, 0.09 and 0.08 μM respectively and IC50 = 7.7±0.8, 9.2±1.5, 11.1±1.8 and 10.3±2.6 respectively. Log P study of these compounds was found to be between 2.0 and 3.0 making them suitable for oral dosing. Furthermore, DprE1 selectivity and pharmacokinetic studies indicated that compound 89 and 92 were found to be highly selective, and bioavailability was found to be above 52% by oral dose [52]. Matyugina et al., 2012 synthesized a series of new carbocyclic uracil derivatives and tested for their antituberculosis potential. The results revealed that compound 6 showed best antituberculosis activity against two strains of Mycobacterium tuberculosis: laboratory sensitive (H37Rv) and MDR strain (MS-115) resistant to five top antituberculosis drugs (isoniazid, rifampicin, streptomycin, ethambutol and pyrazinamide). The compound 93 showed the same level of antituberculosis activity both as a racemic mixture and individual (+) and (-) enantiomers [53]. Toti et al., 2013 synthesized some 50-modified thymidines and 5,5’-bis-substituted 20-deoxyuridine analogs and screened them for inhibition potency of thymidine monophosphate kinase of Mycobacterium tuberculosis (TMPKmt) by using spectrophotometric binding assay (Ki). Compound 94 (Ki = 48 μM) and 95 (Ki = 70 μM) were found to be highly potent among all [54]. Shmalenyuk et al., 2013 reported the synthesis of C5 modified pyrimidine nucleoside derivatives and screened them for their antituberculosis capacity. 5-dodecyloxymethyl-2’-deoxyuridine (96), 5-decyl triazolidomethyl-2’-deoxyuridine (97) and 5-dodecyltriazolidomethyl-2’-deoxycytidine (98) showed maximum in vitro inhibition of growth of Mycobacterium tuberculosis strains-laboratory H37Rv (MIC99 = 20, 10, and 20 μg/ml, respectively) and clinical MDR MS-115 resistant to five top antituberculosis drugs (MIC99 = 50, 10, and 10 μg/ml, respectively) [55].
Pyrimidines as anti-viral agent
Highly active antiretroviral therapy (HAART) is a treatment regimen for human immunodeficiency virus (HIV) infections, involving the co-administration of nucleoside reverse transcriptase inhibitors (NRTI), non-nucleoside reverse transcriptase inhibitors (NNRTI), and protease inhibitors. This therapy suppresses the replication of HIV and controls disease progression in HIV-positive patients. Unfortunately, a drastic increase in the number of patients with HIV infection/AIDS has failed to respond to the current antiretroviral therapeutics because of the emergence of drug-resistant HIV variants and adverse effects of the drug. With this in mind, therefore, there is a continuous need to develop novel anti-HIV drugs that are effective against drug-resistant viruses and produce no adverse effects [55].
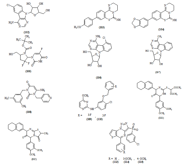
A small library of 5, 6-dihydroxypyrimidines were synthesized and tested in vitro for their anti-HIV activity profile by Guo et al., 2012. Among the synthesized compound, 99 and 100 showed significant anti-HIV activity with EC50 values of 0.14 and 0.15 μM respectively, and TI (therapeutic index) values of>300 and>900, respectively. Thus, the study results showed that 5,6-dihydroxypyrimidines may act as a lead compound for the discovery of potent anti-HIV agents as they showed decreased cytotoxicity with high therapeutic index [56]. Tremblay et al., 2013 demonstrated the synthesis of benzofurano[3,2-d]pyrimidine-2-one and tested the synthesized compounds for nucleotide-competing HIV-1 reverse transcriptase inhibitors (NcRTI) activity. Compound 101 exhibited promising overall in vitro properties as HIV-1 RT inhibitors. Therefore, it revealed the potential of benzofurano[3,2-d]pyrimidine-2-one derivatives as a class of future anti-HIV agent [57]. Tichy et al., 2012 designed, synthesized and characterized a new set of pyrimido[4,5-b]indole ribonucleosides derivatives and tested for biological activity for Dengue virus. Among all the compounds, 102 exhibited significant activity against Dengue virus with IC50 value 0.85 μm against Vero cells DENV-2 [58]. Mizuhara et al., 2012 identified the synthesis of pyrimido[1,2-c][1,3]benzothiazin-6-imine derivatives as a potent antiretroviral agent. Among them, compound 103 and 104 showed threefold higher anti-HIV activity than that of PD 404182 [59]. 20,30-dideoxy-20,20-difluoro-40-azanucleoside derivatives of both pyrimidine and purine nucleobases were synthesized by Martínez-Montero et al., 2012 and evaluated them for their anti-HIV-1 and anti-HCV activity. Among the series, 40-azanucleosides (105) was found to be the most active compound (EC50 = 36.9 μM) and none of the compounds were found to possess anti-HCV activity [60]. Two series of new 4-aminopyrimido[4,5-b]indole ribonucleoside derivatives were synthesized by Tichy et al., 2013. All of these compounds were tested for antiviral activities against HCV and dengue viruses. Compound 106 exhibited significant anti-dengue and anti-HCV activity but with some level of cytotoxicity. Compound 107 showed high anti-HCV activity with low cytotoxicity [61]. Sakakibara et al., 2013 synthesized a library 3-(3,5-dimethylbenzyl)uracil analogs and evaluated them for non-nucleoside HIV-1 reverse transcriptase inhibition potential. Among these compounds, 108 was found to be potent against HIV-1 activity (EC50 =0.03 μM and a high selectivity index=2863). Thus, compound 108 may serve as a lead for further optimization of anti-HIV drugs [62]. Rai et al., 2013 designed, synthesized and evaluated 3-benzyloxy-linked pyrimidinyl phenyl amine derivatives for their in vitro anti-HIV activity in MT-4 cell cultures. Almost all the compounds showed inhibition of wild-type (wt) HIV-1 replication (EC50 = 0.05–35 μM) with high selectivity index (SI) values (10 to>4870). Compounds 109 and 110 exhibited excellent antiretroviral activity against wt HIV-1 with low cytotoxicity (EC50 = 0.07 μM, CC50>347 μM, SI>4870; EC50 = 0.05 μM, CC50 = 42 μM, SI = 777, respectively), compared to marked drug nevirapine (EC50 = 0.113 μM, CC50>15 μM, SI>133) [63]. Mohamed et al., 2010 designed, synthesized and evaluated some substituted pyrimidine derivatives for their anti-HSV-1 potential. The antiviral screening exhibited that compounds 111 and 112 have over 90% inhibition comparable to standard Acyclovir. These compounds may be considered highly promising antiviral agent for further investigations [64]. Kim et al., 2013 identified a series of triazolothieno pyrimidine (TTPM) compounds as potent HIV-1 replication inhibitors. By performing a cell-based full replication assay, it was found that aryl substituted TTPM derivatives 113, 114, and 115 showed significant inhibitory activity along with acceptable safety margins [65].

Pyrimidines as human urea transport protein (ut-b) inhibitor
For the formation of concentrated urine Kidney urea transporters (UTs) are required. In some kidney tubules, epithelial cells express UT-A proteins which are encoded by the SLc14A2 gene, and endothelial cells in some microvessels express UT-B encoded by the SLc14A1 gene. Early high-throughput screening using a human erythrocyte lysis assay identified phenyl-sulfoxyoxozole inhibitors of human UT-B with IC50=100 nM. Limitations of the original compounds included poor metabolic stability and poor activity against rodent UT-B. Therefore, for the development of UT-B inhibitors further studies are needed to be done [66].
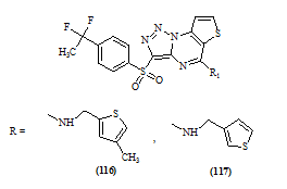
Liu et al., 2013 designed and synthesized some analogs of the UT-B inhibitor on the basis of already synthesized triazolothienopyrimidine derivatives which were reported as UT-B inhibitors. All the synthesized compounds were characterized by the structural requirements for potency and microsomal stability to behave a compound as UT-B inhibitor scaffold. Two compounds 116 and 117 with nanomolar inhibitory potency (IC50 = 40 nM) were found to be active [66].
Pyrimidines as immunosuppressant agent
The major problem in organ transplantation is suppression of allograft rejection. In last few years, the patient and graft survival is increased dramatically, due to the availability of improvement in immunosuppressive therapy. Current immunosuppressive regimens involve a combination of a calcineurin inhibitor (cyclosporine or tacrolimus), a glucocorticoid (prednisone), an antiproliferative agent (azathioprine or mycophenolate) and a new combination (sirolimus and everolimus). Both compounds inhibit a kinase, called the mammalian target of rapamycin (mTOR). These current immunosuppressive drugs are effective for the inhibition of T-lymphocyte dependent rejection but are quite ineffective in preventing or treating chronic rejection. Almost all of these drugs show toxicities that impair patient and graft survival. So, there is a continuous need for the search of novel immunosuppressive agents [67].
Stella et al., 2013 synthesized a novel class of pyrimidine derivatives and screened them for immunosuppressive activity by using the Mixed Lymphocyte Reaction assay. This is also called as the in vitro model for in vivo rejection after organ transplantation. By replacement of the substituents at positions 2, 4 and 6 of the pyrimidine scaffold resulted in the discovery of 2-benzylthio-5-cyano-6-(4-methoxyphenyl)-4-morpholinopyrimidine 118 which can be used for further optimization of more efficient immunosuppressive drugs. The IC50 value of this compound was found to be 1.6 μM by performing the MLR assay [67].
CONCLUSION
This study brings to light the pyrimidine derivatives and their diverse potential in drug development and medicine. It is evident that pyrimidine derivatives have been investigated for a number of ailments as highlighted in this review. As pyrimidines are the structural constituent of vital biomolecules like DNA and some biologically relevant drugs. Therefore, pyrimidine derivatives are gaining attention as antimicrobial, anticancer, antiviral, anticonvulsant agents, etc. Furthermore, due to the resistance of currently available drugs, there is a strong need to pursue further research on pyrimidines.
ACKNOWLEDGEMENT
The authors wish to express their gratitude to Department of Science & Technology (DST), New Delhi, India, for the financial aid.
CONFLICT OF INTERESTS
Authors declared no conflict of interest
REFERENCES