
aSchool of Pharmacy, Medical Faculty, Brawijaya University, Malang, East Java, Indonesia, b Faculty of Pharmacy, Airlangga University, Surabaya, East Java 60286, Indonesia
Email: alvan_fs@ub.ac.id
Received: 10 Feb 2016 Revised and Accepted: 20 Apr 2016
ABSTRACT
Objective: The research was aimed to synthesize 1-allyl-3-(2-chlorobenzoyl) thiourea and determine its analgesic activity in mice (Mus musculus).
Methods: The synthesis was carried out by modified Schotten-Baumann reaction, via nucleophilic substitution reaction of allylthiourea on 2-chlorobenzoyl chloride. The analgesic test was done by writhing test on mice (Mus musculus).
Results: Pure 1-allyl-3-(2-chlorobenzoyl) thiourea was obtained, confirmed by means of UV, IR, 1H-NMR, 13C-NMR, and MS spectroscopy. The compound showed better pain inhibition activity compared to diclofenac sodium, with ED50 = 15.440 mg/kg BW.
Conclusion: The compound 1-allyl-3-(2-chlorobenzoyl) thiourea can be synthesized by one-step modified Schotten-Baumann reaction, and showed a good analgesic activity. The compound needs further investigation as a potential analgesic drug candidate.
Keywords: 1-allyl-3-(2-chlorobenzoyl)thiourea, Modified Schotten-Baumann, Analgesic activity
© 2016 The Authors. Published by Innovare Academic Sciences Pvt Ltd. This is an open access article under the CC BY license (http://creativecommons.org/licenses/by/4.0/)
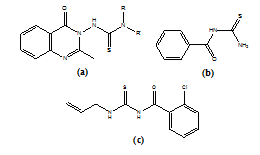
Analgesic development entering the new age since the finding of opioid receptor and endogenic substance possessed the act of reducing pain. The synthesis of urea by Wohler in 1828 triggered the age of therapeutic compounds synthesis. The first product that had been synthesized for the purpose of pain inhibition was salicylate, found in plants in methyl salicylate form, then developed as other salicylate derivatives [1]. Thiourea group has been reported for their correlation to analgesic activity. Novel 1-methyl-3-(2-methyl-4-oxo-3H-quinazolin-3-ilthiourea (fig.1 (a)) analogs have been reported for their analgesic and anti-inflammatory activity [2]. Another thiourea derivatives-benzoyl thiourea analogs-(fig. 1 (b)) have been evaluated for their analgesic activity in mice (Mus musculus), and showed a better analgesic activity compared to Na-diclofenac [3]. Compound 1-allyl-3-(2-chlorobenzoyl) thiourea (fig. 1 (c)) has same thiourea pharmacophore as the previous compounds.
Preliminary tests showed that 1-allyl-3-(2-chlorobenzoyl) thiourea possessed better physicochemical properties compared to benzoyl thiourea. Analysis using Chemdraw Ultra 8.0 and Chem3D Ultra 8.0 showed that 1-allyl-3-(2-chlorobenzoyl) thiourea possessed CLogP value (lipophilic parameter) =2, 045; Etotal (electronic parameter) =10, 050; and CMR (steric parameter) =6, 647. Those values were better compared to benzoyl thiourea's, which were CLogP= 0,566; Etotal=5, 318; and CMR=5, 281.
Fig. 1: Compounds with thiourea pharmacophore
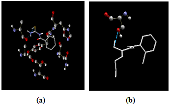
Docking of the compound (compared to benzoyl thiourea) on the COX-2 receptor (pdb: 1PXX) was done by Molegro Virtual Docker 5.0. COX-2 known as the main isoform of cyclooxygenase enzyme responsible in prostanoids synthesis involved in pathological inflammatory processes [4]. The docking result showed that 1-allyl-3-(2-chlorobenzoyl) thiourea possessed lower rerank score (-82.287) compared to benzoyl thiourea (-73.158), which means 1-allyl-3-(2-chlorobenzoyl) thiourea produced better affinity on COX-2.
Fig. 2: Docking result of (a) Benzoylthiourea and (b) 1-allyl-3-(2-chlorobenzoyl) thiourea on COX-2 receptor
Synthesis of 1-allyl-3-(2-chlorobenzoyl) thiourea was done by modified Schotten-Baumann method [5]. The reaction was carried out by adding a solution of 2-chlorobenzoyl chloride (7 mmol) in tetrahydrofuran (15 ml) to a mixture of allylthiourea (8.6 mmol) and triethylamine (14 mmol) in tetrahydrofuran (50 ml) dropwise. The reaction mixture was refluxed for 5 h, and the solvent then evaporated. The product then washed with sodium carbonate and recrystallized with methanol.
The structure of the product was determined by means of ultraviolet (PERKIN ELMER UV Lambda EZ 201), infrared (FTIR PERKIN ELMER Spectrum One), magnetic resonance (NMR JEOL ICS 400 MHz), and mass spectroscopy (GC/MS AGILENT 5975C). The structure determination was carried out at Tropical Disease Centre Laboratory, and Pharmaceutical Chemistry Laboratory, Airlangga University, Surabaya, Indonesia. This stage ensured that the synthesized compound was well matched with the desired one [6,7]. Yield (26.2%). Mp 127-128 oC. UV (MeOH) λ (nm): 208; 226; 280. FTIR (KBr pellet) ν cm-1: 3465; 1692; 1556; 1538; 1590-1472; 1179; 762.
Table 1: Amino acid involved in interactions between Benzoyl thiourea and 1-allyl-3-(2-chlorobenzoyl) thiourea on the COX-2 receptor
Compound |
Amino acid |
Interactions |
Benzoyl thiourea |
Ala 199 |
Hydrogen and steric |
Ala 202 |
Steric |
|
Leu 390 |
Steric |
|
Thr 206 |
Steric |
|
Tyr 385 |
Steric |
|
1-allyl-3-(2-chlorobenzoyl) thiourea |
Tyr 355 |
Hydrogen |
Scheme 1: Synthesis of 1-allyl-3-(2-chlorobenzoyl) thiourea
1H-NMR (400 MHz; CDCl3) δ (ppm): 10.52 (s, 1H); 9.05 (s, 1H); 7.61 (d, 1H); 7.44-7.40 (m, 2H); 7.35-7.30 (m, 1H); 5.91 (m, 1H); 5.28 (m, 1H); 5.21 (m, 1H); 4.30-4.27 (m; 2H). [13]C-NMR (400 MHz; CDCl3) δ (ppm): 178.4 (C=S); 165.0 (C=O); 132.0 (C=C); 131.2 (C ipso); 130.6 (C arom); 130.0 (C-Cl); 129.7 (C arom); 129.1 (C arom); 126.4 (C arom); 116.9 (C=C); 47.0 (C=C-±C). MS (EI) m/z: 252.9 (M-H)+; 155 (C7H6ClNO)+; 139 (C7H4ClO)+; 111 (C6H4Cl)+; 75 (C6H3)+.
The compound, then tested for its analgesic activity using the writhing test on mice (Mus musculus), compared to diclofenac sodium. The study was approved by Airlangga University Animal Care and Use Committee, written on the ethical clearance document no: 501-KE. The writhing test method is the most natural one in accordance with pain sensation. Chemical stimulation provides longer and progressive durations of pain, which always show characteristic responses of mice (Mus musculus) [8].
The result showed that 1-allyl-3-(2-chlorobenzoyl) thiourea possessed better pain inhibition activity. The compound inhibited pain as much as 37.25 % (±9.54) at 6.25 mg/kgBW dose; 44.97 % (±10. 70) at 12.5 mg/kgBW; and 72.15 % (±12. 02) at 25 mg/kg BW dose. Meanwhile diclofenac sodium at 12.5 mg/kgBW dose inhibited pain as much as 32.50 % (±11. 95). Using probit analysis on SPSS 20, 1-allyl-3-(2-chlorobenzoyl) thiourea showed ED50= 15.440 mg/ kg BW.
Good analgesic activity showed by compound 1-allyl-3-(2-chlorobenzoyl) thiourea indicated that structure modification by adding allyl group and chloro substituent on benzoyl ring, gave significant effect on its biological activity. Double bond addition effects on the better interaction of the compound on receptor are constituent. Halogen group often added to a structure because it’s steric, electronic and obstructive effect. Halogens substituent which is a withdrawing electron group can strengthen the bond between compound and receptor. The obstructive effect produced by halogen group can prevent metabolism reaction; therefore, lengthen the duration of biological activity [9, 10].
In conclusion, we found that 1-allyl-3-(2-chlorobenzoyl) thiourea was a potential compound to be developed further as an analgesic drug candidate.
ACKNOWLEDGEMENT
We gratefully acknowledge the support of the Pharmaceutical Chemistry Department, Faculty of Pharmacy, Airlangga University, Indonesia.
CONFLICT OF INTERESTS
We hereby declare that there is no conflict of interest.
REFERENCES