
aFaculty of Pharmacy Pancasila University, Srengseng Sawah Jagakarsa-South Jakarta, Indonesia 12640, bFaculty of Pharmacy, Universitas Indonesia, Kampus Baru UI, Depok, Indonesia, 16424
Email: lusiana.ariani@ymail.com
Received: 11 Feb 2016 Revised and Accepted: 20 Apr 2016
ABSTRACT
Objective: This present study was intended to design sustained release tablet containing diclofenac sodium using a matrix of excipient co-processed xanthan gum-crosslinked amylose.
Methods: In the previous study, xanthan gum and amylose have been physically and chemically modified by the co-processed and crosslinking method, resulting co-processed excipient xanthan gum-crosslinked amylose are Co-CLA6-XG and Co-CLA12-XG (method A); CL6-Co-A-XG and CL12-Co-A-XG (method B) with each ratio 1:1, 1:2 and 2:1. All excipients had a good swelling index, high viscosity and good gel strength, good characteristics to be used as a matrix for sustained release tablet dosage form. In this study, a tablet with excipient Co-CLA6-XG, Co-CLA12-XG, CL6-Co-A-XG and CL12-Co-A-XG were formulated by direct compression method. The prepared formulations were evaluated for weight variation, thickness, and diameter, hardness, friability, drug content estimation, swelling index, in vitro drug release are within the acceptable standard.
Results: The release profile of diclofenac sodium which contained matrix from Co-CLA6-XG (F1–F3), Co-CLA12-XG (F4–F6), CL6-Co-A-XG (F7–F9) and CL12-Co-A-XG (F10–F12) in phospate buffer medium for 8 h, showed that the sustained release profile followed zero order kinetics (F1–F6, F9, F11) and Korsmeyer-Peppas (F7, F8, F10, F12). Formula F1 to F6 tablet formulations could be applied as sustained release tablet formula and could retard drug release up to 16 h. Then, formula F7 to F12 could be applied as sustained release tablet formula and could retard drug release up to 32 h.
Conclusion: It may be concluded that coprocessed excipients of crosslinked amylose–xanthan gum can be used for the preparation of sustained release tablets of diclofenac sodium and can retard the drug release for 16 h and 32 h.
Keywords:Excipient coprocessed xanthan gum-crosslinked amylose, Matrix, Diclofenac sodium, Sustained release tablet
© 2016 The Authors. Published by Innovare Academic Sciences Pvt Ltd. This is an open access article under the CC BY license (http://creativecommons.org/licenses/by/4.0/)
INTRODUCTION
In recent years, designing of drug products with modified release has been done to reduce the frequency of drug administration in order to improve patient compliance, reduce fluctuations of drug levels in the blood and minimize the side effects of drugs [1, 2]. The use of natural polymers for pharmaceutical applications is more attractive because of economical, biocompatible, non-toxic, easy to chemically modified and potentially biodegradable. Natural polysaccharides such as pectin, chitosan, starch (amylose and amylopectin), guar gum, xanthan gum and gum karaya commonly used in controlled release dosage forms [3]. Nevertheless, based on high-amylose starch and xanthan gum chemical structure [4] has many hydroxyl groups (-OH) so that the swelling index become fast which caused the rapid release of the drug. Therefore, some modification (physical, chemical and enzymatically) are required to improve the characteristic of starch [5, 6]. Based on the previous study, co-processed method (physical modification) and crosslinking method (chemical modification) had a good swelling index, high viscosity, and good gel strength [7–10].
Diclofenac sodium was used as a model drug for patients who have osteoarthritis. The main side effects of this drug are nausea, gastritis, skin erythema and headache. In addition, this drug has a short half-life (1-2 h) and oral drug bioavailability approximately 50% due to the first-pass metabolism by the liver [11]. It was the basic aim to be made into sustained release dosage form that can be sustained levels of drug therapy, minimize the frequency of drug administration and overcome its side effect.
MATERIALS AND METHODS
Materials
Diclofenac sodium (Yung Zip Chemical, Taiwan), excipient coprocessed xanthan gum-crosslinked amylose (Universitas Indonesia, Indonesia), Avicel pH 102 (Merck, Germany), aqua dest (Brataco, Indonesia).
Methods
Preparations of sustained release matrix tablet of diclofenac sodium
Formulation of sustained release tablet of diclofenac sodium was described in table 1. All of these sustained release tablets were prepared by direct compression method. Diclofenac sodium, excipient co-processed xanthan gum-crosslinked amylose (Co-CLA6-XG, Co-CLA12-XG, CL6-Co-A-XG and CL12-Co-A-XG) each ratio 1:1, 1:2 and 2:1 and Avicel pH 102 mixed well for 15 min in a mortar and pestle until homogenous. Then compressed into tablets using a rotary tablet machine (Korsch, Germany). Furthermore, all tablet formulations were evaluated.
Weight variation
Twenty tablets from each batch were weighed using an electronic balance (Adam AFA–210 LC, USA) together and individually. If weighed individually, no more than 2 tablets, which weight deviate from the average weight more than a set price column A, and none of the weight deviates from the average weight was more than the price set column B (table 2) [12].
Thickness and diameter
Randomly drawn 20 tablets individually, diameter and thickness was measured using calipers.
Terms: Unless otherwise stated, the diameter no more than 3 times and not less than 1 ⅓ thick tablet [12].
Tablet hardness
This measurement was used to know tablet’s resistance under the condition of storage, transportations and handling before usage. The hardness of twenty tablets from each batch was checked using hardness tester. The hardness was measured in terms of kP.
Table 1: Formulation of diclofenac sodium sustained release tablet
Formula |
F1 |
F2 |
F3 |
F4 |
F5 |
F6 |
F7 |
F8 |
F9 |
F10 |
F11 |
F12 |
F13 |
Diclofenac sodium |
75 |
75 |
75 |
75 |
75 |
75 |
75 |
75 |
75 |
75 |
75 |
75 |
75 |
Co-CLA6-XG (1:1) |
300 |
- |
- |
- |
- |
- |
- |
- |
- |
- |
- |
- |
- |
Co-CLA6-XG (1:2) |
- |
300 |
- |
- |
- |
- |
- |
- |
- |
- |
- |
- |
- |
Co-CLA6-XG (2:1) |
- |
- |
300 |
- |
- |
- |
- |
- |
- |
- |
- |
- |
- |
Co-CLA12-XG (1:1) |
- |
- |
- |
300 |
- |
- |
- |
- |
- |
- |
- |
- |
- |
Co-CLA12-XG (1:2) |
- |
- |
- |
- |
300 |
- |
- |
- |
- |
- |
- |
- |
- |
Co-CLA12-XG (2:1) |
- |
- |
- |
- |
- |
300 |
- |
- |
- |
- |
- |
- |
- |
CL6-Co-A-XG (1:1) |
- |
- |
- |
- |
- |
- |
300 |
- |
- |
- |
- |
- |
- |
CL6-Co-A-XG (1:2) |
- |
- |
- |
- |
- |
- |
- |
300 |
- |
- |
- |
- |
- |
CL6-Co-A-XG (2:1) |
- |
- |
- |
- |
- |
- |
- |
- |
300 |
- |
- |
- |
- |
CL12-Co-A-XG (1:1) |
- |
- |
- |
- |
- |
- |
- |
- |
- |
300 |
- |
- |
- |
CL12-Co-A-XG (1:2) |
- |
- |
- |
- |
- |
- |
- |
- |
- |
- |
300 |
- |
- |
CL12-Co-A-XG (2:1) |
- |
- |
- |
- |
- |
- |
- |
- |
- |
- |
- |
300 |
- |
Avicel pH 102 |
125 |
125 |
125 |
125 |
125 |
125 |
125 |
125 |
125 |
125 |
125 |
125 |
425 |
Total (mg) |
500 |
500 |
500 |
500 |
500 |
500 |
500 |
500 |
500 |
500 |
500 |
500 |
500 |
Co-CLA-XG: excipient co-processed amylose crosslinked-xanthan gum (method A), CL-Co-A-XG: excipient co-processed xanthan gum-amylose crosslinked (method B), Each batch contains 80 tablets.
Table 2: Weight uniformity limits
Average weight |
Average weight Uniformity (%) |
|
|
A |
B |
25 mg or less |
15 |
30 |
26 mg–150 mg |
10 |
20 |
150 mg–300 mg |
7,5 |
15 |
More than 300 mg |
5 |
10 |
Friability
Twenty tablets were weighed and the initial weight of these tablets was recorded and placed in friabilator tester and rotated at the speed of 25 rpm for 100 revolutions. Then tablets were removed from the friabilator, dusted off the fines and again weighed and the weight was recorded.
Friability (%) =
(Eq. 1)
where:
W1= weight of the tablet before test
W2= weight of the tablet after test
Determination swelling index tablet
The extent of swelling was measured in terms of percent weight gain by the tablet. One tablet from each formulation was kept in a petri dish containing 20 ml of phosphate buffer pH 7.4. Swelling index was measured by measuring the increase of weight of the tablet for 8 h. Measured the weight of the tablet in time intervals (5, 15, 30, 60, 90, 120, 180, 240, 360, and 480).
Assay
Drug content of the sustained release tablet was calculated using UV-Vis Spectrophotometer. Weighing tablet powder equivalent to 50 mg of diclofenac sodium. Subsequently incorporated into 100.0 ml of volumetric flask and dissolved with 0.1 N NaOH. Then filtered and discarded the first 10 ml of filtrate. The filtrate pipetted 2.0 ml and then added to the 100.0 ml volumetric flask with 0.1 N NaOH. Measured the wavelength of maximum absorbance (λ 276 nm) [13]. The tablet was eligible if it contained diclofenac sodium from 95.0 to 105.0% of that stated on the label.
In vitro drug release study
In vitro drug release study was performed using dissolution test apparatus.
Dissolution test apparatus
Medium: pH 7.4 phosphate buffer solution
RPM: 50
Time: 8 h
Temp: 37 °C±5 °C
Volume: 900 ml
Wavelength: 276 nm
Procedure: Tablet was introduced into test dissolution apparatus and the apparatus was set at 50 rpm. A sample of 10 ml was withdrawn at a predetermined time interval (5, 15, 30, 60, 90, 120, 180, 240, 360, and 600) and replace with fresh medium phosphate buffer pH 7.4. Samples were analyzed by UV Spectrophotometer (Shimadzu, Japan) at λ 276 nm [14].
Release Kinetics: Data obtained from in vitro release studied was evaluated using the model of release drug kinetics with different equations relating to the cumulative amount of drug dissolved (Q) against time. The equations use were zero-order kinetics, first-order kinetics, Higuchi and Korsmeyer-Peppas as shown in table 3 below [2,15]. The goodness of it was evaluated using the correlation coefficient values (R2).
RESULTS AND DISCUSSION
Excipients Co-CLA-XG and CL-Co-A-XG have been employed to formulate sustained release tablets of diclofenac sodium in different batch (13 batch). The sustained release tablets were formulated by direct compression method based on the formula given in table 1. The direct compression method had been chosen because it available for any excipient and had a limited number of processing. This formulation used Avicel pH 102 as other excipients which have functioned as diluent, binder and lubricant.
The prepared tablets were subjected to all the quality control tests that they were within the official pharmacopoeial limits. Weight variation test revealed that the tablets were within the range of pharmacopoeial limit. The thickness of the tablets was 1.22 mm and diameter of the tablets were range from 0.33–0.41 mm. Friability is less than 1%, indicated that tablets had a good mechanical resistance. The evaluation parameters were within acceptable range for all the formulations. The drug content of the tablets ranged from 97 % to 99%. The results of hardness, friability, weight variation, thickness & diameter and drug content were given in table 4.
Table 3: Drug release kinetics
Model |
Equations |
Zero-order |
Qt/Q0 = K0. T |
First-order |
Ln Qt/Q0 = K1. T |
Higuchi |
Qt/Q0 = KH. t1/2 |
Korsmeyer–Peppas |
Qt/Q0 = k. tn |
Qt/Q0 = fraction of drug at t time, K0,K1,Kh and k= constant drug release for each equation, n = diffusion’s Peppas exponent
Table 4: Evaluations of diclofenac sodium sustained release tablets*
Formula |
% weight variation |
Diameter (cm) |
Thickness (cm) |
Hardness (Kp) |
Friability (%) |
Drug content (%) |
1 |
0.11 ± 0.06 |
1.22 ± 0.00 |
0.33 ± 0.01 |
19,.3 ± 0.31 |
0.68 ± 0.12 |
98.43 ± 1.39 |
2 |
0.14 ± 0.09 |
1.22 ± 0.00 |
0.34 ± 0.01 |
19.09 ± 0.23 |
0.70 ± 0.08 |
98.69 ± 1.72 |
3 |
0.13 ± 0.08 |
1.22 ± 0.00 |
0.33 ± 0.00 |
19.03 ± 0.24 |
0.62 ± 0.21 |
97.26 ± 1.78 |
4 |
0.12 ± 0.06 |
1.22 ± 0.00 |
0.34 ± 0.01 |
19.09 ± 0.26 |
0.70 ± 0.10 |
97.99 ± 0.89 |
5 |
0.11 ± 0.08 |
1.22 ± 0.00 |
0.33 ± 0.00 |
19.05 ± 0.21 |
0.68 ± 0.13 |
98.82 ± 1.61 |
6 |
0.13 ± 0.08 |
1.22 ± 0.00 |
0.34 ± 0.01 |
19.09 ± 0.25 |
0.64 ± 0.04 |
98.01 ± 1.63 |
7 |
0.12 ± 0.09 |
1.22 ± 0.00 |
0.33 ± 0.00 |
15.15 ± 0.31 |
0.78 ± 0.18 |
99.37 ± 1.23 |
8 |
0.13 ± 0.08 |
1.22 ± 0.00 |
0.34 ± 0.01 |
15.17 ± 0.28 |
0.82 ± 0.16 |
98.60 ± 1.54 |
9 |
0.12 ± 0.11 |
1.22 ± 0.00 |
0.34 ± 0.01 |
15.13 ± 0.26 |
0.86 ± 0.05 |
98.96 ± 1.40 |
10 |
0.13 ± 0.10 |
1.22 ± 0.00 |
0.33 ± 0.01 |
15.16 ± 0.26 |
0.84 ± 0.11 |
98.27 ± 1.76 |
11 |
0.11 ± 0.09 |
1.22 ± 0.00 |
0.33 ± 0.00 |
15.16 ± 0.31 |
0.82 ± 0.17 |
97.12 ± 1.69 |
12 |
0.13 ± 0.08 |
1.22 ± 0.00 |
0.34 ± 0.01 |
15.14 ± 0.29 |
0.84 ± 0.13 |
98.67 ± 1.97 |
13 |
0.11 ± 0.09 |
1.22 ± 0.00 |
0.41 ± 0.01 |
25.07 ± 0.26 |
0.42 ± 0.16 |
98.15 ± 1.98 |
*All values are expressed as mean ± SD, n=3
The swelling study of prepared formula tablets (F1–F13) was performed in phosphate buffer pH 7.4 and the results as shown in (fig. 1). This condition was made to determine the correlation between the swelling index formula tablet (F1 to F13) with drug release from formula F1 to F13. The swelling profile tablet in fig. 1 it is shown that F1 to F12 were able to swelling for 8 h. Formula F13, which did not contain excipient matrix swelling for 120 min, then it was disintegrated. Formula F12 with matrix CL12-Co-A-XG 2:1 showed the slowest swelling profile. Tablets with the excipient matrix, when contact with water, the tablets was swelling, then around the tablet has formed a gel. The gel which regulated the rate of drug release from tablets. Thus, the swelling index tablet affects the drug release rate. The greater swelling index tablet, the faster release of the drug or vice versa. But the drug release rate was also affected by the gel form; the best gel strength would give a slow in drug release. Drug released with excipient high amylose starch crosslinked were released the drug about 50%, while conventional starch could release the drug about 80% for 8 h [7, 8].
Fig. 1: Swelling index tablet with various concentrations of co-processed excipients matrix of crosslinked amylose-xanthan gum for 8 h (formula F1-F13). All values are expressed as mean±SD, n = 3
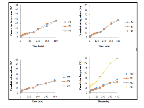
In vitro dissolution studies of all the formulations of sustained release tablets of diclofenac sodium were carried out in pH 7.4 phosphate buffers for 8 h respectively. Drug release profile of diclofenac sodium from the matrix as shown in (fig. 2).
Formula F1 to F6 was a formula using matrix Co-CLA6-XG with a ratio of 1:1, 1:2 and 2:1, and the matrix Co-CLA12-XG with a ratio of 1:1, 1:2 and 2:1. Formula F7 to F12 was a formula using matrix CL6-Co-A-XG with a ratio of 1:1, 1:2 and 2:1 and matrix CL12-Co-A-XG with a ratio of 1:1, 1:2 and 2:1. Formula F13 was a formulation that did not use a matrix comparison, only Avicel pH 102. All formulas that use matrix (F1 to F12) could released the drug for 8 h with a cumulative drug release was ≤ 60%, while formula (F13) could release the drug for 2 h of almost 100%.
Fig. 2: In vitro release profile of diclofenac sodium with various concentrations of co-processed excipients matrix of crosslinked amylose-xanthan gum (formula F1-F13). All values are expressed as mean±SD, n = 3
Table 5: Kinetics release data of diclofenac sodium matrix tablets formula F1-F13
Formula |
Parameter |
Zero order |
First order |
Higuchi model |
Korsmeyer-Peppas |
||||||||
1 |
r |
0.992 |
± |
0.001 |
0.938 |
± |
0.005 |
0.95 |
± |
0.005 |
0.974 |
± |
0.002 |
n |
0.593 |
± |
0.02 |
||||||||||
2 |
r |
0.989 |
± |
0 |
0.937 |
± |
0.004 |
0.946 |
± |
0.002 |
0.969 |
± |
0.001 |
n |
0.596 |
± |
0.012 |
||||||||||
3 |
r |
0.99 |
± |
0.002 |
0.946 |
± |
0.007 |
0.946 |
± |
0.006 |
0.967 |
± |
0.006 |
n |
0.606 |
± |
0.012 |
||||||||||
4 |
r |
0.988 |
± |
0.001 |
0.941 |
± |
0.002 |
0.942 |
± |
0.002 |
0.967 |
± |
0.006 |
n |
0.597 |
± |
0.012 |
||||||||||
5 |
r |
0.993 |
± |
0.001 |
0.934 |
± |
0.003 |
0.956 |
± |
0.001 |
0.976 |
± |
0.002 |
n |
0.599 |
± |
0.002 |
||||||||||
6 |
r |
0.987 |
± |
0.001 |
0.943 |
± |
0.004 |
0.948 |
± |
0.002 |
0.968 |
± |
0.002 |
n |
0.614 |
± |
0.003 |
||||||||||
7 |
r |
0.984 |
± |
0.002 |
0.875 |
± |
0.007 |
0.977 |
± |
0.001 |
0.989 |
± |
0.001 |
n |
0.569 |
± |
0.014 |
||||||||||
8 |
r |
0.991 |
± |
0.001 |
0.881 |
± |
0.004 |
0.981 |
± |
0.002 |
0.993 |
± |
0.001 |
n |
0.572 |
± |
0.01 |
||||||||||
9 |
r |
0.987 |
± |
0.001 |
0.865 |
± |
0.003 |
0.977 |
± |
0.003 |
0.974 |
± |
0.001 |
n |
0.516 |
± |
0.011 |
||||||||||
10 |
r |
0.991 |
± |
0.002 |
0.884 |
± |
0.011 |
0.979 |
± |
0.002 |
0.992 |
± |
0.001 |
n |
0.58 |
± |
0.013 |
||||||||||
11 |
r |
0.993 |
± |
0 |
0.906 |
± |
0.007 |
0.979 |
± |
0.004 |
0.988 |
± |
0.002 |
n |
0.554 |
± |
0.014 |
||||||||||
12 |
r |
0.983 |
± |
0.003 |
0.898 |
± |
0.008 |
0.981 |
± |
0.002 |
0.988 |
± |
0 |
n |
0.55 |
± |
0.011 |
||||||||||
13 |
r |
0.995 |
± |
0 |
0.978 |
± |
0.001 |
0.958 |
± |
0 |
0.925 |
± |
0.001 |
n |
0.398 |
± |
0.007 |
||||||||||
n = exponent Peppas’s difusion
Banakar’s rules are used to explained amount of drug dissolved associated with the frequency of drug administration. If the dissolved drug percentage ranged 20-45%, the sustained release tablet could be used for 32 h, if the percentage of dissolved drug ranged 45-75%, it could be used for 16 h and the percentage of drug dissolved ranges over 75%, the sustained release preparations could used only for 8 h [16]. The results of the percentage of drug released for 8 h using Banakar’s rules, the formulas F1 to F6 in the range of 45-75%. Formulas F7 to F12 in the range of 20-45%. So, formula F1 to F6 showed the controlled release of diclofenac sodium for 16 h and formula F7 to F12 used for 32 h. Drug released profile from all formulas was calculated and analyzed against several kinetics equation (zero order, first order, Higuchi, and Korsmeyer-Peppas) to determine the mechanism of drug release from the sustained release tablet dosage forms. The values of release parameters, n and r (coefficient correlation) are inversely related. The results of the calculation of diclofenac sodium release kinetics shown in table 5.
On Korsmeyer-Peppas equation, if n = 0.89, drug release mechanism was an erosion of the polymer matrix and the mechanism is named as Case II transport. If the value of n is in the range 0.45<n<0.89, the release was diffusion-erosion matrix named as an anomalies or non-Fickian diffusion. However, if the value of n<0.45, the drug release occurs by diffusion and named as Fickian diffusion. If n>0.89, the drug release mechanism called super case II transport which the release occured by the swelling of the polymer. Drug release mechanism of formula F1 to F6, F9, F11 and F13 followed zero order kinetics. Then, formula F7, F8, F10 and F12 followed Korsmeyer-Peppas mechanism.
The drug release mechanism of formula F1 to F12 followed Korsmeyer-Peppas kinetics with n values are between 0.45 and 0.89. It means followed non-Fickian diffusion or anomalous, which describes the drug release mechanism was controlled by a combination of diffusion and erosion. Then, formula F13 has n<0.45 so that the drug release followed by Fickian diffusion.
CONCLUSION
Diclofenac sodium sustained release tablet could be prepared by direct compression method. The swelling index of matrix tablet containing Co-CLA6-XG (F1, F2 and F3) and Co-CLA12-XG (F4, F5 and F6) showed that slower swelling profile than matrix tablet of CL6-Co-A-XG (F7, F8 and F9) and CL12-Co-A-XG (F10, F11 and F12). Due to the swelling index, then the matrix tablets of formula F1-F6 could control the diclofenac sodium release effectively 16 h, while the matrix tables of formula F7-F12 significantly effective in sustaining the drug release for 32 h. The drug release mechanism was controlled by diffusion and erosion. It was concluded that excipients of Co-CLA-XG and CL-Co-A-XG could be used in the formulation of sustained release tablet.
CONFLICT OF INTERESTS
All authors have none to declare
REFERENCES