
1Department of Chemistry, Kanya Gurukul Campus, Gurukula Kangri Vishwavidyalaya, Haridwar 249404, Uttarakhand, India, 2CSIR-Central Institute of Medicinal and Aromatic Plants, Lucknow 226015, Uttar Pradesh, India
Email: anupriyaadhikari2@gmail.com
Received: 18 Feb 2016 Revised and Accepted: 20 Apr 2016
ABSTRACT
Deoxyribonucleic acid, DNA is the source of various genetic information and is currently one of the most important and studied biological receptor. Lately, a wide range of chemotherapeutic agents are known wherein they affect cell division or DNA synthesis, leading to inhibition of cell growth and cell death. Out of various agents anthraquinone, having a planar tricyclic structure is the backbone of many known antitumor drugs like doxorubicin and mitoxantrone capable of targeting at the molecular/DNA level. This review embraces discussion on DNA-binding molecules with special attention to anthraquinone based compounds having application in anticancer activity by DNA damage mechanism. The review also compiles the work reported on anthraquinone based molecule in molecular imaging.
Keywords: Anthraquinone, DNA, Cancer, Molecular imaging
© 2016 The Authors. Published by Innovare Academic Sciences Pvt Ltd. This is an open access article under the CC BY license (http://creativecommons.org/licenses/by/4.0/)
INTRODUCTION
DNA is a nucleic acid (biomolecule) that contains the genetic instructions specifying the biological development of all cellular forms of life and is frequently stated as the molecule of heredity, as it is responsible for the genetic propagation of all traits [1-3]. During reproduction process, duplex DNA is replicated and transmitted to the offspring and its sequence describes various features from organism type through physical traits to disease susceptibility. DNA sequence is copied (transcription) onto RNA Biomolecules, which are then used in protein synthesis to encode a specific protein sequence (translation). (Bio)chemical sensor technologies that focus on the direct detection of nucleic acids (DNA and RNA) are currently an area of tremendous interest, as they play a major role in forensics, pharmaceutical applications, medical diagnosis, genetic screening etc. [4-7]. Small molecules which are capable of recognizing specific DNA sequences are potent tools for the interpretation of human genome and may serve as valuable therapeutic agents [8]. The structural features of double helix DNA comprises of two anti-parallel, complementary, sugar-phosphate poly-deoxyribonucleotide strands which are connected through hydrogen bonds between nucleotide bases [9]. The backbone of paired strands in DNA describes the helical grooves and within these grooves edges of heterocyclic bases are exposed outside. The structural depiction of DNA is shown in fig. 1 [10].
Fig. 1: Structural depiction of DNA (source-wiki books, 2008)
The chemical feature of the molecular surfaces in a given DNA sequence is distinct in either groove (major or minor) and forms the basis for duplex DNA molecular recognition by small molecules and proteins. In this article we have discussed about different modes of DNA binding with special attention to anthraquinone based compounds having application in anticancer activity by DNA damage mechanism. The review compiles the work reported from 1990 to till date on anthraquinone based molecule having application in anticancer activity and molecular imaging.
Interactions of duplex DNA with small organic molecules
The type of chemical interactions between small molecules and DNA is an important tool for the prediction of potential physiological and/or therapeutic consequences of such interactions. Broadly DNA interactions with small molecules can be classified as covalent and non covalent where non covalent interactions can be further classified as intercalation and groove binding.
Covalent interaction of DNA with small organic molecules
DNA alkylating agents are clinically important and are frequently used for the cancer chemotherapy and over the last two decades wide range of alkylating agents has been synthesized. Fig. 2 shows few of the leading examples of DNA alkylating agents. Alkylating agents preferentially reacts with N-7 position of guanine and N-3 of adenine nucleobases present in DNA which inhibits the base pairing of the DNA leading to miscoding of DNA. This alteration in DNA leads to its fragmentation by repair enzymes which replace the alkylated bases of double helix. Another mechanism of DNA damage by alkylating agents is the formation of cross-bridges i.e., bonds formation between atoms present in the DNA that prevents DNA from being separated for synthesis or transcription. The third mechanism of action of alkylating agents causes mispairing of the nucleotides leading to mutations.
The nitrogen mustard was the first DNA alkylating agent used medically, as well as the first modern cancer chemotherapies [11]. Another classic example which is most widely used as a DNA alkylating agent is cyclosporamide. Cisplatin (cis-diammine-dichloro platinum) is a well-known covalent DNA binder used as an anticancer drug which makes an intra/inter strand cross-link with the nitrogen’s present on the DNA bases and is extensively used in treatment of testicular, ovarian, head, and neck cancers [12]. The success of cisplatin as an anticancer drug has led to the development of other less toxic derivatives such as carboplatin [13].
Fig. 2: Examples of DNA alkylating agents
Non-covalent interactions of small molecules with duplex DNA
DNA intercalators
Planar aromatic molecules bind with DNA by a process named as intercalation which is established for a variety of polycyclic aromatic systems termed as intercalators. The DNA intercalation is characterized by insertion of planar aromatic rings between the DNA base pairs and is generally independent of base pair sequence. Intercalation requires changes in the sugar-phosphate torsional angles to accommodate the aromatic compound which is accompanied by other changes in the helical parameters such as unwinding, bending, etc. [14-16]. This interaction is quite strong despite the fact that energy is utilized to unwind the helix and un-stack the base pairs to allow the complex formation. The stability of intercalation complexes is governed by van der Waals, electrostatic and hydrophobic forces. Molecules that bind to double-stranded DNA (ds-DNA) by interactive mode have been significantly used as drugs as shown in fig. 3 [17]. The two major types of intercalation binding modes are: (1) classical intercalation and (2) threading intercalation.
Fig. 3: Chemical structures of some DNA intercalators
DNA stain, Ethidium bromide (EtBr) and antimalarial quinacrine demonstrate intercalating DNA binding by stacking interaction of the respective heteroaromatic rings present in their structure with the DNA base pairs [18]. The cationic side chain present in quinacrine contributes to complex stability by electrostatic interactions with the negative phosphate units of the groove. A number of other classical intercalators are used including the anthracyclines and actinomycin [19]. Intercalation preferentially occurs at G/C-rich sequences, because these sequences get un-stacked easily. Intercalators generally cause more significant distortion of the native conformations of DNA.
Threading intercalators usually have two side chains on the opposite sides of a planar aromatic ring system, and the process of complex formation with DNA is more complicated where one of the side chains of the system slides through the intercalation cavity to form the stable complex. The complex stability of the threading intercalators is due to the favorable interactions of the side chains with both the major and minor grooves. Nogalomycin and Daunomycin are the leading example of the threading intercalators [20].
DNA groove binders
Groove binders are a major class of small molecules that bind to ds-DNA and play an important role in drug development. Small molecules can bind to both the major or minor groove of ds-DNA. Due to the dimensional difference in grooves vastly dissimilar and different shaped molecules are required to target them. Major grooves are the site for binding of many DNA interacting proteins and only limited molecules that bind to the DNA major groove are reported [21, 22].
Major groove binding small organic molecules
Proteins usually bind to DNA by major groove after recognition and reading the sequence information. However, non-peptidyl compounds bind with the minor groove, thus possibly allowing simultaneous major groove recognition by proteins [23]. Therefore, it is desirable to have a major groove binding molecule that could block access to proteins that recognize the same groove. Duplexes made up of polypurine–polypyrimidine sequences can be read by oligomer that bind in the major groove and form hydrogen bond with bases of the purine strand and termed as triplex-forming oligonucleotides (TFOs) [24].
An alternate form of major groove recognition is achieved by peptide nucleic acids (PNAs) which are different from TFOs. The backbone of TFOs are oligonucleotides or their modified analogues, whereas PNAs have a peptide-like backbone secondly TFOs can bind within the existing major groove of DNA, whereas PNAs attack the helix to form a triplex, which then results in the displacement of noncomplementary oligopyrimidine DNA strand, fig. 4 [25, 26]. In order to target the major groove, it is essential to modulate biological processes like, transcription artificially.
Fig. 4: Chemical structure of peptide nucleic acid (PNA)
Minor groove binding small molecules
Minor groove binders (MGBs) represent an interesting class which has shown highly effective in vitro and in vivo preclinical tumor models unresponsive to other antineoplastic agents [27-29]. Minor groove binding involves greater binding affinity and higher sequence specificity than that of intercalators binding. DNA minor groove binding is demonstrated for neutral, mono-charged and multi-charged ligands. The dominant forces for small molecule–minor-groove binding interactions are van der Waals, electrostatic, hydrogen and hydrophobic bonding. Sequence specificity is attributed to hydrogen-bonds between the small molecule and base pairs. The design of low molecular mass compounds that can bind with high affinity and specificity to pre-determined DNA sequences (10–16 base pairs long) is of great importance in chemical biology [30]. Minor groove binders frequently show pronounced AT selectivity.
Several factors contribute to preference like-i) AT-rich grooves have higher electrostatic potential than in the GC-filled ones which lead to AT selectivity for the dicationic small molecules, ii) dimensions of the minor groove at AT sites are narrower and deeper than GC locations. The topology at AT sites allows for easier filling and greater van der Waals contacts by small molecules, the amino group of G in GC locations protrudes into the groove, thus prohibiting van der Waals contacts comparatively to those achievable at the AT sites. The cationic minor groove binders include the natural products Netropsin and Distamycin and the synthetic molecules DAPI and Berenil [31-33]. DNA binding polyamides composed of N-methyl imidazole (Im), N-methyl pyrrole (Py), and N-methyl-3-hydroxypyrrole (Hp) are crescent-shaped molecules that bind to the minor groove as antiparallel dimers. Bhattacharya and co-workers have reported some longer distamycin analogues without the leading amides resulted in high affinity and specificity towards AT-specific stretches of ds-DNA. The synthetic bis-(benzimidazole) derivative Hoechst 33258 is widely used for chromosome staining and also possesses antitumor activity apart from serving as an inhibitor of DNA topoisomerase I [34-36]. Chemical structures of few minor grove binders are shown in fig. 5.
Fig. 5: Chemical structures of DNA minor groove binders
Fig. 6: Structure of net amsa
Intercalator-minor groove binding hybrid molecules
Hybrid molecules commonly bind to DNA by intercalation between the DNA base pairs or through binding in the DNA minor groove.
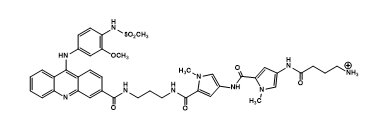
Hybrid molecules contain both intercalating and minor groove binding functionalities and interact more strongly with DNA than those having either of the individual functionality thereby have a prolonged residence time on DNA allowing them to interfere with DNA processing enzymes [37, 38]. These hybrid molecules are also known as combilexins due to their dual binding mode of action and are usually composed of intercalators based on analogues of ellipticine, amsacrine, anthraquinones and minor groove binders based on analogues of netropsin or distamycin A, etc. The design of DNA threading complexions provides an original way for the development of sequence-specific ligands capable of forming stable complexes with DNA. Combilexins have enhanced DNA sequence specificity compared to mono-intercalators or minor groove binders. The well-known and potent antitumor drug, Net Amsa (structure shown in fig. 6) is a good example of the combilexins which is derived from a covalent combination of the minor groove binder, netropsin and the intercalators, amsacrine. The molecule shows three modes of binding with duplex DNA: (i) sequence-specific recognition of the minor groove of the DNA double helix via the netropsin moiety; (ii) intercalation of the acridine chromophore inside the duplex DNA, and (iii) threading of the methane sulfonanilino group into the major groove.
DNA intercalators as anticancer drugs
Intercalators are one of the most important groups of compounds that interact reversibly with the DNA double helix. Some of them are valuable drugs currently used for the treatment of different cancers like ovarian cancer, breast cancers, and acute leukemias while many others are in different phases of clinical trials. All the intercalating agents share common structural features such as the presence of planar polyaromatic systems which bind by insertion between DNA base pairs, with a preference for 5'-pyrimidine-purine-3' steps. The chromophores are linked to basic chains that might also play an important role in the affinity and selectivity shown by these compounds. It is well established that the antitumor property of intercalators is related to their ability to stabilize the DNA-intercalator-topoisomerase II ternary complex.
Few of the known intercalators are summarized in fig. 7. There are many intercalators reported in literature including (1) naphthalimide and related compounds like Mitonafide and Amonafide that are extensively tested in clinical trials. (2) pyridocarbazole system like Ellipticine and 9-Methoxyellipticine display antineoplastic property, (3) acridine and related compounds like Amsacrine, a drug currently used in the treatment of acute leukemias and malignant lymphomas [39-41].
But anthraquinone based intercalators are the most famous ones with the presence of anthraquinone ring system several antitumor drugs such as, Daunomycin (Daunorubicin), Ametantrone, Mitoxantrone and Doxorubicin (Adriamycin). The antitumor anthracyclines exert their cytotoxic activity involves (i) interaction with DNA, preferentially at 5'-pyrimidinepurine-3' GC-rich sites wherein the planarity of the anthraquinone ring allows an intercalation between base pairs of DNA in the B conformation.
Fig. 7: Structure of well-known DNA intercalators
Anthraquinone as DNA targeting probe
After the structure revelation of DNA by Watson and Crick in 1953 several established therapeutic modalities have been established for targeting DNA like antimetabolites, which deplete nucleotides, eg., methotrexate; alkylating agents, which cause DNA damage, eg., nitrogen mustard and its derivatives; and intercalators which bind to DNA and inhibit the activity of many enzymes which utilizes DNA as a substrate eg., actinomycin. Among the most widely and successfully used anticancer agents are the non-specific DNA damaging chemicals which include topo isomerases inhibitors (TOPO) I and II, alkylating agents, antimetabolites, and agents responsible for covalent modification of DNA (mitomycin C and platinum compounds) [42-44]. Despite phenomenal advances in the understanding of the diseases, cancer still remains the leading cause of death worldwide. Therefore, new strategies for combined diagnostic and therapeutic is imperative for early diagnosis of cancer and appropriate therapeutic strategy [45].
In addition to the surgical removal of tumor tissue, another mode of pretreatment includes chemotherapy, radiotherapy and immuno-therapy. There is continuing interest in the development of new agents in which the small molecule tricyclic anthraquinone structural motif represents an attractive target for the rational design of new anticancer agents due to its central role in the control of cellular proliferation [46, 47]. A wide range of chemotherapeutic agents are known wherein they affect cell division or DNA synthesis leading to inhibition of cell growth and cell death.
Fig. 8: Structure of anthraquinone-based anticancer drugs
There is a continuing interest for the development of new agents in which anthraquinone base structure represents an attractive target for the design of new anticancer agent due to its strong role in the control of cell proliferation [48-50]. Anthracyclines/anthraquinones from both natural and semisynthetic sources are among the most widely used chemotherapeutic agents and are effective for a broad spectrum of solid tumors and leukemias [51, 52]. Anthraquinone-based compounds occupies a prominent position in cancer chemotherapy, with the naturally occurring aminoglycoside anthracycline doxorubicin and the amino-anthraquinone mitoxantrone both having planar tricyclic structure is the backbone being in clinical use [53]. These and other experimental anthraquinone derivatives are believed to act at the duplex DNA level, probably through the stabilization of a ternary complex with DNA.
They are known for their foremost property of intercalation between the DNA base pairs causing an unwinding of the helix leading to miscoding and possible cell apoptosis. Although the mechanism of action of the antitumor activity of the anthracene-9,10-diones is probably multimodal in nature, a wide range of studies has indicated that an interactive interaction with DNA may be a major cellular event where the planar tricyclic system intercalate into DNA base pairs and interfere in the transcription and replication processes of the cell.
DNA serve as a target of anticancer drug discovery and a variety of compounds have been developed with anticancer activity displayed to target DNA either directly or through inhibition of enzymes that control DNA integrity or provide building blocks for DNA. The rationale for DNA targeting for cancer treatment is based on three facts:
Alteration of cellular DNA can be considered for targeted therapy since rapidly proliferating tumor cells depend on upon DNA integrity more than normal quiescent cells. DNA-based cancer therapy is well acceptable but least successful due to-
Therefore, there is an interest in the modification strategy of DNA targeting as an anticancer therapy to achieve two improvements: i) increased specificity towards tumor cells as compared to normal cells by taking advantage of the greater dependence of tumor cells on certain DNA-related processes, and ii) elimination of adverse side effects including secondary cancer, by using compounds that bind to DNA, but do not damage it. Famously used anthraquinone based anticancer drugs structures are shown in fig. 8.
Many anthraquinone based derivatives are reported but particularly the promising clinical activity was observed with 1, 4-bis ((aminoalkyl) amino) anthracene-9,10-diones-substituted anthraquinone; mito-xantrone and ametantrone which led to numerous pharmacological studies [54-62]. Tricyclic core comprising agents like 1,3-dihydroxy-9,10-anthraquinone (DHA), 1-hydroxy-3-(3-alkyl aminopropoxy)-9,10-anthraquinone (MHA) and 3-(3-alkyl aminopropoxy)-9,10-anthraquinone (NHA), pyrrole [2,1-c][1,4] benzodiazepine-anthra-quinone conjugates are potent antitumor agents, which lead to tumor cell apoptosis (structure shown in fig. 9) [63-68].
Substituted anthraquinone derivatives also represent as potential anticancer drugs that target G-quadruplex structures of DNA through its stabilization [69-72]. Anthraquinone derivatives like cationic porphyrin–anthraquinone dyads target the G-quadruplex DNA by π-π interactions whereas the cationic side chains interact with the negatively charged phosphate backbones present in G-quadruplex, as shown in fig. 10 [73].
Fig. 9: Structure of benzodiazepine conjugated anthraquinone derivatives [63]
Fig. 10: Structure of cationic porphyrin-anthraquinone dyads [73]
They are also known to stabilize G-quadruplex by acting at the telomeric region of DNA [74]. The 3′-ends of eukaryotic chromosomes consist of poly nucleotides comprising several kilo bases with tandem repeats of the same base sequence (e. g., 5′-TTAGGG in humans) termed as a telomere, ribonucleoprotein in nature and serves to protect the chromosomal termini from end-to-end recombination and attack by exonuclease enzymes. The telomere region of DNA is not conserved during cell division thus led to the hypothesis that the length of the telomere correlates with the capacity of cells to replicate. Most human cells can only divide 50–60 times before senescence occurs and the cells enter a cycle of programmed cell death (apoptosis). Thus, the telomere length is a ‘biological clock’ capable of determining the proliferative capacity of most human somatic cells. Certain cell types (e. g., germ cells, stem cells and essentially immortal cells such as those found in neoplasms) have been shown to regulate their telomeres to nearly constant length by expressing a specialized RNA-dependent DNA polymerase called telomerase expressed in>85% of cancers, including breast and gastric cancer while the enzyme was not detectable in healthy somatic cells.
Fig. 11: Structure of Pt-1C3 [76]
Consequently, telomerase became an obligate focus for anti-cancer research as it promised a unique target for chemotherapy without the associated side effects of conventional chemotherapeutics. DNA sequences that are rich in guanines can adopt unusual secondary DNA structural forms. In particular, four guanine bases can associate in a planar, hydrogen bonded assembly called a G-tetrad (or quartet) where each guanine simultaneously accepts and donates two hydrogen bonds in a reverse-Hoogsteen arrangement. Successive layers of G-tetrads allow such single stranded DNA to adopt a high-order fold-back structure in solution termed a G-tetraplex (or ‘quadruplex’). Telomerase requires access to a single-stranded region of telomeric DNA in order to bring about the required elongation and telomere extension by telomerase could be inhibited if agents could be found that acted to stabilize the folded G-tetraplex structure. Derivatives of anthraquinone are also stated as effective inhibitors of c-Met Kinase (product of the MET proto-oncogene) pathway and could be useful for cancer therapy [75].
Interestingly anthraquinone tethered platinum complexes (Pt-1C3) have been shown to accumulate in cancer cell spheroids (useful models for tumors), demonstrating improved cellular accumulation over cisplatin, fig. 11 [76]. Novel esters of chlorambucil with 1,4-dihydroxy-9,10-anthraquinone derivative tested for antitumor activity in mice bearing S-180 ascitic cells as cytotoxic activity against L1210 cells [77]. Cationic anthraquinone derivatives a synthesized through click chemistry are reported, which induces apoptosis in BGC gastric cancer cells which might involve bursting of DNA-damaging ROS disrupting redox homeostasis in cells and activate mitochondrial permeability transition, resulting in a loss of mitochondrial membrane potential (ѱm) [78,79]. Amino-acyl-hydroxy-anthraquinone bearing glycyl, valyl, lysyl and tryptophanyl residues, 1,4-bis(2-amino-ethylamino) anthraquinone-amino acid conjugates and 1,4-diamido anthraquinone derivatives were reported to exhibit significant DNA binding (intercalation), cytostatic or cytotoxic activities in cancer cells [80-82]. Hydroxy-anthraquinone based derivatives have been identified as the biologically active site within anthracycline-based antitumor therapeutics and are also naturally occurring and extractable from selected plant life.
Biological effects of anthraquinone
Anthraquinones/Anthracycline that has obtained clinical approval includes pirarubicin, aclarubicin, and mitoxantrone. Pirarubicin, a 4-tetrahydropyranyl doxorubicin induces much less cardiotoxicity than doxorubicin in animal models, but clinical studies indicated severe cardiac dysfunction in humans [83-84]. Aclarubicin, a trisaccharide anthracycline is active (with tolerable side effects) in acute myeloblastic leukemia patients [85].
Mitoxantrone is active in breast cancer, non-Hodgkin's lymphoma, acute promyelocytic and myelogenous leukemias, as well as androgen-independent prostate cancer. Due to diverse molecular effects of anthraquinones, their cytotoxic mechanism involves multiple pathways. The mechanism of anti-angiogenic effects of the anthraquinones responsive of their antitumor properties includes-
1) Intercalation into DNA, leading to inhibited synthesis of macromolecules (DNA, RNA and proteins);
2) Generation of free radicals, leading to DNA damage and/or lipid peroxidation;
3) DNA binding and alkylation;
4) DNA cross-linking;
5) Interference with DNA unwinding or DNA strand separation;
6) Inhibition of helicase activity;
7) Direct membrane effects; and
8) Inhibition of topoisomerase I.
Fig. 12: Biological effect of doxorubicin, an anthraquinone based anticancer drug
There is compelling evidence that cellular DNA is the primary target of anthracyclines. The anthraquinone ring intercalates between DNA base pairs, with its long axis nearly perpendicular to the axis of the double helix. One of the rings acts as an anchor and stabilizes the complex through hydrogen bond interactions as the daunosamine sugar lies in the minor groove. The occurrence of a single positive charge on daunomycin contributes electrostatically to the binding [86]. The concentrations of anthracyclines used in clinical practice caused the formation of protein-associated DNA single and double-strand breaks that were affected by topoisomerase II inhibition. DNA lesions caused by the formation of free radicals and reactivity on the DNA backbone occurred when cells were treated with doxorubicin at concentrations that were too high for patient use [87]. However, at clinically relevant concentrations, anthracyclines do not induce lipid peroxidation in cancer cells [88]. Doxorubicin derivatives can generate reactive oxygen species (ROS). These species can damage cell membranes and bio-molecules, which can, in turn, induce apoptosis, as shown in fig. 12.
Anthraquinone in imaging
Macrocyclic complexes linked with DNA binding agents are started to display sequence selective interaction with DNA depending on the metal ion, nature of the agent and nature of the linker used eg., N-substituted cyclam-amino acid conjugates interacts with DNA in a highly selective manner, fig. 13 [89,90]. The localization of macrocyclic metal complexes on DNA is of interest for a number of reasons. If the metal ion is a radionuclide, increased DNA damage will result, if it is a metal that facilitates phosphate hydrolysis, then DNA cleavage may result and if the metal binds to DNA bases, then sequence-selective binding can occur [91-96].
Fig. 13: Cyclam/Anthraquinone macrocycle/intercalators complex [89]
Intercalators bind rapidly and reversibly to DNA and have been shown to increase the rate and extent of DNA binding of a variety of groups including metal complexes. A series of macrocyclic complexes linked to intercalators have been reported in the literature which interacts in a sequence-selective manner with DNA. The sequence selectivity depends on the metal ion, the nature of the intercalator and the nature and position of the link between the macrocycle and the intercalators. In all of these studies the macrocycle employed was the 12-membered ring, cyclen (1,4,7,10-tetraazacyclododecane), a ligand that forces the metal to lie out of the coordination plane promoting interactions with the DNA. Gadolinium complexes of 1,4-and 1,5-diaminoanthraquinone conjugated DOTA based compound are reported to bind with specific DNA sequence open-d(ATCGAGACGTCTCGAT)2 [97-99]. Recently, mono and dimetallic Au (I) triphenylphosphine complexes derived from 1,2-, 1,4-, and 1,8-dialkynyloxyanthraquinone have been synthesized, and their cytotoxicity on cancer cell line (MCF-7) and cell fluorescence imaging have been reported. 1,4-and 1,8-Bis-substituted anthracene dione derivatives inhibit the activity of telomerase [100]. In nuclear imaging, use of stable complexes with radio metal is a crucial factor for the development of metal-based imaging and a therapeutic agent. The lanthanide (trivalent) complexes of poly aza poly carboxylic macrocycle with seven to eight donor atoms such as with DOTA are known for their strong complexation stability, unusually rigid, highly symmetrical structure and adopting same geometry in solution as well as the solid state in comparison with non-cyclic ligands such as DTPA even though both are octa dentate chelate. Though anthraquinone moiety has been much explored for cellular/in vitro imaging but in vivo studies using, radioisotopes have not yet been exploited in detail. Recently, anthraquinone derivative conjugated with DO3A has been synthesized and labeled with [68] Ga (for PET), [99]mTc (for SPECT) and exhibited very promising results [101,102].
CONCLUSION
In this article, we have made an attempt to review recent research in drug designing and development for cancer having anthraquinone core. All the DNA binding modes, the biological effect of these drugs on DNA and ongoing research on anthraquinone based compounds having anticancer application has been very well discussed to understand deeply the idea behind designing new DNA-targeted drugs. In conclusion, anthraquinone based molecules are important categories of drugs and can be potentially targeted towards research and development for the treatment and imaging of cancer.
CONFLICT OF INTERESTS
Declared none
REFERENCES