
Department of Pharmaceutics and Industrial Pharmacy, Faculty of Pharmacy, Ain Shams University, Egypt, PO: 11566
Email: dalia.elbehairy@pharma.asu.edu.eg
Received: 18 Feb 2016 Revised and Accepted: 20 Apr 2016
ABSTRACT
Objective: Preparation and characterization of inhalable taste masked microparticles (MPs) loaded with the anti-asthmatic bitter drug, ketotifen (KT).
Methods: MPs were prepared by a spray-drying technique. The effects of addition of different excipients namely: mannitol, leucine and hyaluronic acid (HA) on the physicochemical properties of KT spray dried powders were determined. Powder taste was evaluated on volunteers. DSC and x-ray diffraction were done to investigate thermal and crystallographic properties of the powders. The surface morphology and shape of KT-loaded hyaluronic acid MPs were examined using scanning electron microscope, in vitro pulmonary deposition and inhalation indices were determined using a twin stage glass impinger (TSI).
Results: Leucine improved the powder flow properties. Mannitol, at all tested ratios, produced brownish discoloration in spray dried powders (SDP) upon storage even in dessicator. At a drug to HA ratio of 1:2, the bitter taste of KT had significantly improved besides obtaining a high respirable particle fraction. This selected ratio showed good physicochemical stability for up to 9 mo.
Conclusion: The developed KT spray dried particles may offer a good platform for the targeted pulmonary delivery of the drug overcoming the major biological barriers.
Keywords: Ketotifen, Microparticles, Pulmonary delivery, Hyaluronic acid, Taste masking, Spray drying
© 2016 The Authors. Published by Innovare Academic Sciences Pvt Ltd. This is an open access article under the CC BY license (http://creativecommons.org/licenses/by/4.0/)
INTRODUCTION
The pulmonary system provides a non-invasive route that can be used to target drugs to the lungs for either local or systemic effect, owing to its enormous absorptive surface area (35–140 m2) lined with a thin (0.2 μm) and highly vascularized epithelium[1]. As a local lung disorder, allergic asthma represents an important public health issue, with significant annual growth, causing substantial morbidity for individuals at all ages [2, 3]. It is manifested as a chronic inflammatory disease with intermittent symptoms of a cough, dyspnea, wheezing and chest pain. Among the proposed treatment, ketotifen (KT), histamine H1-receptor antagonist, had been lately indicated for long periods [4, 5] reaching three months, especially for children. KT acts by inhibiting the release of mediators (e. g. histamine, leukotrienes, prostaglandins and platelet activation factor) from cells involved in immediate type I allergic reactions (mast cells, eosinophils, basophils and neutrophils). It also decreases chemotaxis, activation and degranulation of eosinophils. Increased cyclic adenosine monophosphate (cAMP) levels by phospho-diesterase inhibition may contribute to KT cell stabilizing effect [6]. A high hepatic first-pass effect leading to low bioavailability (50%) with systemic side effects including trouble sleeping and flu-like symptoms constitute some of the major disadvantages associated with the administration of the oral tablets/syrup, the only marketed dosage forms for KT [7, 8]. By developing targeted pulmonary delivery system of KT, increased receptor occupancy, improved therapeutic benefits at lower doses with probable the decrease of systemic side effects could be achieved [9].
The cornerstone in pulmonary drug delivery is to ensure that drug reaches the desired site of action, which mainly depends on device selection and characteristics of the inhaled systems. Among the different pulmonary drug delivery systems, dry powder platforms combine both powder technology and device design to disperse dry particles as an aerosol during the patient’s inspiration. Accuracy, ease of use, physicochemical stability and of the drug and formulation with environmental acceptability are among the most common positive features of dry microparticulate compared to liquid-based systems [10]. In designing microparticles (MPs) for pulmonary delivery, the mass median aerodynamic diameter (MMAD), is one of the most important particle features that should be controlled. In this context, small particles with MMAD in the range of 2-5 µm are usually preferred as they deposit deeply in the alveolar region by sedimentation under the effect of gravity while particles larger than 5 µm usually impact in the upper respiratory tract [11]. The MMAD is generally tailored by tuning particle size (PS), shape and density [12, 13].
Unfortunately, when the particles reach the alveolar region, particles are rapidly engulfed, digested and migrate with macrophages up and out of the respiratory tract, either along the mucociliary escalator or entering the lymphatic system [14]. To overcome such powerful barrier, different formulation strategies have been adopted. For instance, physical camouflage based on PS as the use of nano in MPs, large porous particles or rapidly dissolving particles [15]and chemical camouflage based on modification in the surface chemistry to limit the negative effect of this small PS [16, 17]. To achieve the required size, density and surface characteristics required for effective lung targeting, a single step spray drying method had been shown great success. The use of carriers and surface modifiers was one of the key for the success characteristics for the success of this method [18].
In designing spray dried powder (SDP) for KT, a special concern should be given to its well-known previously reported bitter taste [19]. When delivered as DPI, this taste might compromise the patient acceptability leading to treatment failure. So, besides the selection of suitable excipients for the proper lung targeting of KT, manipulating its taste using excipients and carriers was one of the primary targets. Mannitol is an example of sugars that had been used for protecting the powders from the high temperatures and fast moisture removal encountered during spray drying [20]. Due to its excellent dispensability enhancer properties, leucine had also been used in this study [21]. Hyaluronic acid (HA) is a natural linear polysaccharide comprised of repeating units of D-glucuronic acid and N-acetyl–D-glucosamine[22] as shown in fig.1.
Fig. 1: Hyaluronic acid chemical structure
It is biodegradable, biocompatible, non-toxic, non-immunogenic and non-inflammatory that has been used in various medical applications including arthritis treatment, wound healing, ocular surgery, and tissue augmentation [23]. Due to its mucoadhesive activity, it may prolong time contact time MPs remain close to the main absorption site in the deep lung. HA is naturally present in lung and is responsible for protecting lung elastin from the damage associated with inflammatory diseases and involved in the repair of lung injury. As an endogenous lung component, it inhibited phagocytosis in a dose and molecular weight-dependent manner [24]. Recently, HA was shown to have specific anti-asthmatic properties and to be an effective treatment for emphysema and chronic obstructive pulmonary disease (COPD) [25].
Accordingly, the ultimate goal of this work was to develop KT loaded spray dried powder (SDP) for pulmonary administration. The effects of the chosen excipients on the physicochemical characteristics including taste, in vitro release and stability, were investigated. In vitro pulmonary deposition was characterized using a twin stage impinger (TSI).
MATERIALS AND METHODS
Materials
Ketotifen hydrogen fumarate (KT): a kind gift from Novartis, Cairo, Egypt; L-leucine (LEU), purchased from Fluka, Switzerland; mannitol: from El Nasr Pharmaceutical Chemicals (ADWIC), Abo Zaabal, Cairo, Egypt and hyaluronic acid (Mw= 1.36 M Da): a kind gift from Bloomage Freda Biopharm Co., Jinan, China.
Methods
Microparticles preparation by spray drying
A primary excipient screening study was first conducted. KT and other excipients were dissolved, each individually, in water then mixed together. The prepared solutions containing 1% w/v total solid were spray dried using a mini spray dryer (Buchi B-290, Switzerland) applying the following parameters: inlet temperature: 120 ᵒC, aspiration rate: 85% and the pump flow rate: 4%. The resultant outlet temperature was 74±2 ᵒC. Table 1 shows the composition of the prepared formulae. For the preparation of KT-loaded HAMPs, different concentrations of HA and KT, at a different drug to polymer ratios (D/P), were dissolved in deionized water. The solutions were magnetically stirred for 30 min and leucine was added in a concentration of 10% w/w of the spray dried powder.
Table 1: Composition of KT loaded spray dried formulae
Formula code |
Formulae composition % (w/w) |
|||
KT |
Mannitol |
Leucine |
HA |
|
D |
100 |
- |
- |
- |
DM |
50 |
50 |
- |
- |
DL |
50 |
- |
50 |
- |
DML |
50 |
25 |
25 |
- |
DHL1 |
60 |
- |
10 |
30 |
DHL2 |
45 |
- |
10 |
45 |
DHL3 |
30 |
- |
10 |
60 |
Powder characterization
Yield determination
The spray drying process yield was calculated gravimetrically by comparing the amount of powder resulting following spray drying with the initial theoretical total solids [26].
Drug content determination
Drug content was determined and the drug association efficiency percentage (AE%) in the spray dried powder (SDP) was calculated by comparing the actual with theoretical drug loading values as follow: an accurately weighed amount (10 mg) of each SDP was added to 2 ml water and then stirred for 15 min at room temperature. After proper dilution, the drug content was determined by UV spectrophotometry at the predetermined λmax (300 nm). KT AE%, theoretical and actual loading were calculated using equations 1-3.


Powder flow properties
The static angle of repose (Ө) was determined by adopting the fixed height cone method. In this method, a glass funnel with an internal diameter of 5 mm was tightened at 1 cm height. The SDP was allowed to flow at a constant rate through the funnel orifice till the apex of the formed cone reached the funnel stem. The powder flow was stopped and the diameter of the base of the formed cone was measured. The angle of repose was calculated as follows in equation 4.

Where: Ө is the angle of repose, H is the height of the cone and D is the diameter of the base of the formed cone. The test was repeated five times for each run and the average value was taken. Values for the angle of repose below 25 indicate excellent flow, 25-30 good flow, and 30-40 passable flow while those above 40 denote very poor flow [27, 28].
Taste evaluation
The taste of the SDP was evaluated in a panel of 5 volunteers using a score of 5. A score of 5 was given to a SDP consisting of the drug alone denoting very bitter taste. Improvement of the taste was characterized by a decrease in this score [29].
Particle size (PS) determination and calculation of mass median aerodynamic diameter (MMAD)
PS was measured by the wet dispersion method (Laser diffraction PS analyzer Malvern MasterSizer S, UK). A small amount (2-3 mg) of each of each SDP was suspended in isopropanol as an anti-solvent, sonicated for 30 seconds and PS was measured. The observed average PS was expressed as volume mean diameter (VMD) and the population dispersity was referred as span. D[v,10], D[v,50],D[v,90] and D[4,3] are the respective diameters at 10,50, 90 and the volume mean diameter in µm respectively and the SPAN values were also noted. The mass median aerodynamic diameter (MMAD) was then calculated as follow in equation 5.

Where ρ is the mass density of the particle (tapped density), ρa is the unit density (1g/cm3) and dg is the cumulative geometric volume mean diameter [30, 31]. For density determination, a certain weight of each SDP was introduced into a small volumetric cylinder; the cylinder was tapped several times (about 50 times) on a solid surface till constant volume and the new volume occupied by the powder was recorded (tapped volume). Tapped density was calculated as shown in equation 6.
Thermogravimetric analysis (TGA)
The water content of SDP formulations was examined by Thermogravimetric analyzer (Perkin Elmer, Pyris I-Wellesley, USA). Samples of 3-5 mg of SDP were heated to 150 ᵒC under nitrogen purging, at a constant heating rate of 10ᵒC/min. The percent weight loss was calculated as its water content was evaporated and defined as the moisture content. It was expressed as percent of the initial powder weight.
In vitro pulmonary deposition
Aerodynamic properties were tested using a dry powder, breath-activated inhaler device (Aerolizer®, Novartis) [32]. Volumes of 7 and 30 ml of the collecting solvent (water) were introduced into the upper and lower chamber of the TSI (Copley Scientific Ltd, UK), respectively. An amount of 10 mg of each selected SDP was loaded in hard gelatin capsule No. 3 which was placed in the Aerolizer® attached to the throat of the impinger. The capsule was pierced to produce two emitting pores for dispersing the particles, and the powder was drawn through the TSI at an air flow rate of 60 L/min, using an electronic digital flow meter, for 2x 5 seconds aspirations. After actuation, the capsule was removed and the weight of the drug remained in the capsule was determined. Powder remaining in the capsule and mouthpiece of the device was collected by rinsing with the collecting solvent to a volume of 10 ml and evaluated for drug content. The deposits at stages 1 and 2 were collected and then diluted to appropriate volumes (25 and 50 ml respectively). Drug content of the powder collected on each stage was determined by measuring the absorbance of the solution at 300 nm. Each deposition experiment was performed in triplicate. The particles captured in lower impinger stage are termed the respirable particle fraction (RP) and are expected to be deposited in the deep lung after inhalation. The in vitro aerodynamic aerosolization properties of the powders were described in terms of The emitted fraction (EF) defined as the percent of total loaded powder mass exiting the capsule[26] and was determined gravimetrically and can be expressed as shown in equation 7.
EF = (mfull−mempty)/mpowderx 100. . Equation 7
Where mfull and mempty are the masses of the capsule before and after simulating the inhalation respectively, and mpowder is the mass of the powder. Two other indices, the respirable particle fraction (RP) which is a percentage of stage 2 against emitted particles from the inhalation system and the effective inhalation index (EI), were also calculated using equations 8 and 9 [33].
RP %= (St2/EF) x 100……………. Equation 8
EI % = (EF xSt2) ½…………………. Equation 9
Where EF is the fraction (%) emitted from the inhalation system and St2 is the fraction (%) distributed to stage 2 of the TSI. For an ideal DPI, the EI and RP are 100%.
In vitro release study
An accurately weighed amount of selected SDP equivalent to 1 mg KT was added to 4 ml of 0.05M phosphate buffer solution (PBS), pH 7.4, in closed containers. The samples were incubated in a shaking water bath rotating at 100 strokes/min adjusted at 37±0.5 ᵒC. This volume provided complete sink conditions for KT [6]. At specified time intervals, (2, 5 and 15 min); samples were withdrawn, replaced by the fresh buffer to maintain sink conditions, centrifuged and the supernatants were assayed spectrophotometrically at predetermined λmax to determine the concentration of KT. All the results were the mean values of three runs.
X-ray power diffraction (XRPD)
XRPD was used to determine the presence of crystalline and amorphous content in the selected SDP formulations. X-ray diffractometer (Philips, Guildford, UK) running at 45 kV, 30 mA, and at scanning angles of 5-45ᵒ was used to analyze the samples.
Differential scanning calorimetry (DSC)
The thermal properties of KT, HA, leucine, KT: HA: leucine physical mixture (1:1:1) and selected SDP were investigated, using differential scanning calorimeter (DSC) (Shimadzu, Tokyo, Japan). An accurately measured amount of each sample (3-5 mg) was sealed in an aluminum pan with a lid and was heated at a rate of 10ᵒC/min to a temperature 400ᵒC, using dry nitrogen as carrier gas at a flow rate of 30 ml/min [26].
Scanning electron microscope (SEM)
The morphological examination was performed using SEM (Stereoscam 90B, UK). SEM was used to examine shape and surface characteristics of selected SDP. The particle surface of SDP was vacuum coated with a gold film to a thickness of 200-500ᵒA under an argon atmosphere in sputter couture prior to SEM analysis, and then the particles were visualized at 20 kV acceleration voltages and images were obtained.
Stability study
The effect of storage on selected formulation was evaluated by determination of the PS after storing the formula for three, six and nine months in closed desiccator containing silica gel and stored at room temperature (25±2 °C).
Statistical analysis
All data are expressed as the mean of three determinations± standard deviations (sd). The experimental data was analyzed statistically using Graph Pad Prism program by which either the student’s t test (when comparing the mean of two groups) or by analysis of variance (ANOVA, for more than two groups). Differences were considered significant at p≤0.05.
RESULTS AND DISCUSSION
Spray dried powder characteristics
In this work, KT loaded SDP were developed. The effect of the excipients on the powders characteristics was first investigated. Table 2 shows that 57±2.45% of drug amount were recovered following its spray drying alone without any additive. The obtained SDP tended to form clumps and aggregates following spray drying and storage in desiccators. These aggregation might be the result of fast moisture removal during spray drying leading to a highly hygroscopic product as also noted in other previous studies [34]. The addition of mannitol in a concentration of 50% did not cause any significant change in powder yield or angle of repose. Conversely, 50%w/w of leucine (in DL) caused a significant increase in powder yield which reached 86±2.76% with a decrease in angle of repose denoting improvement of flow. The increase in yield in DML containing 25% leucine was lower (75±1.78%). Noteworthy to mention that a brownish color with the formation of some clumps and aggregates were noticed in DM within two days of storage in desiccators. This brownish coloration occurred probably due to the presence of traces of reducing sugars produced from catalytic or electrolytic reduction of monosaccharides such as mannose or glucose in mannitol. The major chemical interaction associated with the reducing sugars impurities is Millard reaction with amine drugs [35]. Similarly, there was a brownish discoloration in formula DML after one-month storage in desiccator due to the presence of 25%w/w mannitol. The effect of leucine in improving SDP yield and flow properties had been reported in previous literature [36]. Irrespective of the used excipients, high association efficiencies, exceeding 90% were achieved with all formulae.
Due to the previously reported bitter taste of KT [19] and the intended delivery as DPI with the possibility of some oropharyngeal deposition, it deemed necessary to evaluate the taste of the prepared formulae. The presence of mannitol and/or leucine caused a slight improvement of the taste. The sweet taste and negative heat of solution of the sugar mannitol and the precipitation of the low-density surfactant, leucine, on the surface of evaporating droplet contributed to the drug taste masking [37]. However, the improvement in taste was not enough to allow for patient compliance during drug administration. Hence, the use of HA, previously shown to improve the tolerability of hypertonic saline used in treating cystic fibrosis patients by giving a pleasant taste in mouth after inhalation, was tried [38, 39].
Due to its impact on the flow and yield values, leucine was incorporated in KT/HA formulae as 10% w/w. As shown in table2, low yield amounting of51.87±6.17% was obtained at D/P of 2:1 D/P. The yield increased significantly with increasing the concentration of HA to 76.49±2.63and91.70±3.65 in DHL2 and DHL3, respectively. The corresponding decrease in KT amounts accounts for such increase in yield. High association efficiencies (AE %) exceeding 94% were achieved with all formulae containing HA at different D/P ratios. The assayed KT contents were very close to the theoretical values confirming that only small amounts of KT were lost during spray drying process.
The highest angle of repose was noted with DHL1 prepared at the highest KT loading (D/P ratio of 2:1) denoting poor flow. This observation probably supported the observed low yield obtained at this D/P ratio. As the amount of HA increased, there was a significant decrease in angle of repose till D/P ratio of 1:2 (formula DHL3) explaining the obtained yield value. It is to be noted that it was only at a theoretical KT loading of 30% that the taste of the SDP showed the maximum taste improvement achieving a score of 1. To this end, 2 formulae, namely DL and DHL3, were chosen for PS measurement, MMAD determination, TGA and in vitro pulmonary deposition.
Table 2: Characteristics of KT spray dried powder formulae.
Formula code |
Yield (%) |
AE (%) |
KT loading (%w/w) |
Angle of repose(Ө) |
Taste score |
|
Theoretical |
Actual |
|||||
D |
57±2.45 |
- |
100 |
- |
49.89±0.90 |
5 |
DM |
60±2.67 |
94.74±1.76 |
50 |
47.58±1.47 |
48.78±1.32 |
2 |
DL |
86±2.76 |
98.74±2.56 |
50 |
49.95±2.65 |
39.43±0.65 |
2 |
DML |
75±1.78 |
95.66±2.23 |
50 |
48.36±1.83 |
46.65±1.54 |
2 |
DHL1 |
51.87±6.17 |
97.12±5.67 |
60 |
58.94±2.34 |
46.90±0.60 |
4 |
DHL2 |
76.49±2.63 |
96.34±6.78 |
45 |
44.32±1.34 |
44.49±0.66 |
2 |
DHL3 |
91.70±3.65 |
95.67±5.32 |
30 |
28.57±1.43 |
39.66±1.48 |
1 |
*Results are mean of three determinations±sd.
Table 3 showing the size, density and MMAD of the chosen formulae show that 90% of the particles were less than 5 μm. Due to the low density of the particles, the calculated MMAD was found to be lower than their determined geometric PS where DL and DHL3 were found to be 1.37±0.05 and 1.42±0.16 respectively indicating suitability for deep lung deposition following inhalation [40].
Table 3: PS, tapped density and MMAD of selected KT loaded spray dried formulae
Code |
D[4,3]a |
Span |
Tapped density (g/cm3) |
Distribution percentile volume (µm) |
MMADb (µm) |
||
10% |
50% |
90% |
|||||
DL |
2.87±0.54 |
1.78±0.04 |
0.23±0.02 |
0.79±0.05 |
3.78±0.12 |
4.78±0.23 |
1.37±0.05 |
DHL3 |
2.75±0.46 |
2.12±0.12 |
0.27±0.03 |
0.58±0.07 |
2.99±0.07 |
4.86±0.17 |
1.42±0.16 |
Results are mean of three determinations±sd. aD[4,3]: volume means diameter andb MMAD: mass median aerodynamic diameter.
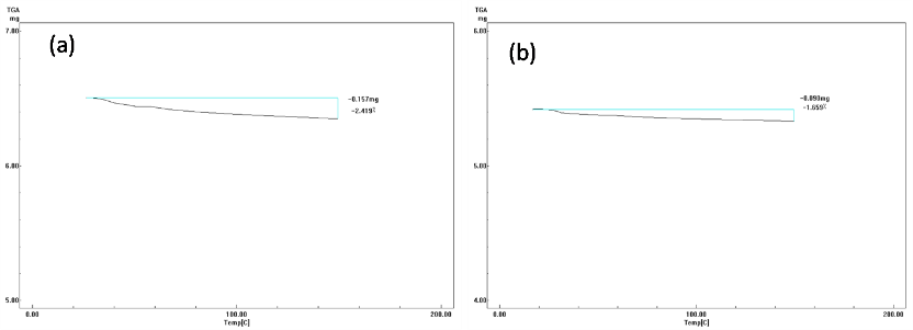
Fig. 2: TGA charts of formulae: (a) DHL3 and (b) DL
Thermogravimetric analysis (TGA)
As shown in fig. 2, the higher residual moisture of 2.42% was found in DHL3 compared to DL (1.65%) probably due to the presence of HA with its water retaining ability. Obviously, the selected spray drying parameters were suitable to produce dried powder with a minimal moisture content not exceeding the allowed limits [41].
In vitro pulmonary deposition
ATSI was used to describe the powder inhalation properties of formulae DL and DHL3. The drug deposited at the various stages of the impinger is illustrated in fig. 3. The inhalation indices namely EF, RP and EI were calculated and are presented in table 4. Lower mouth, similar stage 1andhigher stage 2 depositions were obtained with DHL3 compared to DL. In spite of this difference, the calculated inhalation indices, EF% and RP%, were high and did not vary significantly among the 2 tested formulae while a higher EI% of 73.04±1.99 was obtained with DHL3 as seen in table 4.
Fig. 3: in vitro pulmonary deposition of KT spray dried formulae using TSI
Table 4: Inhalation indices of KT-loaded HA spray dried formula
Formula code |
Inhalation indices (%) |
||
EF% |
RP% |
EI % |
|
DL |
87.5±1.55 |
77.47±2.80 |
66.17±1.60 |
DHL3 |
90.33±2.51 |
80.30±2.33 |
73.04±1.99 |
Results are means of three determinations±sd, ED: emitted fraction, RP: respirable particle fraction and EI: effective inhalation index.
In vitro release study
Fig.4 shows that KT powder as received dissolved at a fast rate releasing 95% of the drug in 5 min. The same release pattern occurred with formulae DHL3and DL where 100% release was achieved in less than 15 min. the presence of HA with its carboxyl and hydroxyl groups did not retard the drug release [42, 43]. Achieving complete drug dissolution in a short time will help to avoid uptake of MPs by the macrophages freely roaming in the alveolar region.
Based on the criteria of attaining a formula with the lowest taste score, highest inhalation indices, formula DHL3 prepared at a theoretical drug loading of 30 % w/w was selected for further characterizations by X-ray diffraction, DSC and morphological examination.
Fig. 4: In vitro release of KT-SD formulae in 0.05M phosphate buffer solution (pH 7.4) at 37ᵒC and 100 stroke/min (mean±sd, n=3)
*For formulae composition, refer to table 1.
X-ray powder diffraction
Crystallographic structure of KT, HA, leucine and selected formula DHL3 were determined by X-ray powder diffraction (XRPD) and are presented in fig.5. In accordance with the literature, the diffractograms of pure KT exhibited a series of intense peaks denoting its crystalline structure as shown in fig.5(a) [44]. HA as a polymer had an amorphous pattern as shown in fig.5(b). The diffractogram of leucine, fig. 5(c), shows characteristic peaks at 5ᶱ, 25ᶱ and 31ᶱ indicating high crystallinity.
Examination of the diffractogram of formula DHL3 revealed that it exhibited none of the drug sharp crystal peaks as shown in fig. 5(d) and indicating drug amorphization within the polymeric matrix.



Fig. 5: X-ray diffractograms of pure (a) ketotifen hydrogen fumarate, (b) hyaluronic acid, (c) leucine and (d) selected formula DHL3
Differential scanning calorimetry (DSC)
Thermal analysis is a very useful technique for evaluating the influence of excipients and spray drying process on the physicochemical properties of the materials and dosage forms. The thermal properties of KT, HA, leucine, their physical mixture (1:1:1) and selected formula DHL3 were investigated using DSC. Pure KT thermogram, shown in fig.6(a), revealed a single sharp endothermic peak showing maximum at 200ᵒC corresponding to its melting temperature [45]. The thermogram of HA, fig. 6(b), shows a characteristic endothermic peak at 90ᵒC correlated with loss of water associated to the polymer hydrophilic groups and a higher exothermic peak at 241ᵒC resulting probably from polymer decomposition [46]. Leucine, fig. 6(c),did not show any characteristic peak at the temperature range used in this study [47].
DSC thermogram of KT: HA: leucine physical mixture was a simple superposition of peaks of the individual components as shown in fig. 6(d). On the other hand, KT typical melting endotherm was almost absent in thermogram of DHL3 as shown in fig. 6(e). Only a very small endotherm corresponding probably to the presence of minute drug crystals confirming drug excipient compatibility could be seen in DHL3 thermogram. These minute crystals might be buried inside the matrix and that is why they could not be detected by XRPD.
Fig. 6: DSC of(a) ketotifen hydrogen fumarate, (b) hyaluronic acid, (c) leucine, (d) physical mixture of 1:1:1 (KT: HA: leucine) and (e) selected spray dried formula DHL3
Scanning electron microscope (SEM)
SEM images of DHL3, shown in fig.7, reveal non-aggregated collapsed MPs with dented surfaces. The observed PS was in accordance with the results obtained with laser diffraction data. The presence of leucine prevented fusion and sintering between adjacent MPs [48]. Also, no drug crystals could be seen in the micrographs of HA microspheres.
Stability study
One of the major problems encountered following the spray drying is the agglomeration and fusion of the particles during storage. This is very critical for powders intended for pulmonary administration. To guarantee the stability of the selected SDP formula DHL3, the PS was evaluated after 3, 6 and 9 mo of storage at room temperature in a dessicator. As shown in table 5, no significant change was noticed in the PS confirming the stability of the selected SDP under ambient conditions. Moreover, no visible agglomeration was seen reflecting the suitability of the selected excipients.
Fig. 7: SEM image of KT loaded spray dried powder (formula DHL3)
Table 5: PS of KT spray dried formulae
Code |
PSa±sd(µm) |
|||
Freshly prepared |
After 3 mo |
After 6 mo |
After 9 mo |
|
DHL3 |
2.75±0.46 |
2.76±0.57 |
2.85±0.67 |
2.91±0.10 |
DL |
2.87±0.54 |
2.89±0.23 |
2.91±0.65 |
2.98±0.32 |
All results are expressed as the mean of 3 determinations±sd, aPS measured by laser diffraction.
CONCLUSION
In this study, KT loaded spray dried powders targeting the pulmonary tract was developed. Leucine improved the flow ability of the SDP. A brown discoloration was shown in all formulae containing mannitol. The best inhalation indices, best bitter taste masking with PS suitable for inhalation were seen at a HA: drug ratio of 1:2. DSC and X-ray diffraction studies showed complete amorphization of KT inside the polymeric matrix. SEM images revealed non-aggregated dented surfaces. Immediate dissolution of the SDP will help in avoiding uptake of MPs by the roaming alveolar macrophages.
CONFLICT OF INTERESTS
All authors have none to declare
REFERENCES