
aGrape King Bio Ltd, Taoyuan City 320, Taiwan R. O. C, bSuper Laboratory Co. Ltd., New Taipei City, Taiwan, cInstitute of Food Science and Technology, National Taiwan University, Taipei City, Taiwan, dDepartment of Food Science, Nutrition, and Nutraceutical Biotechnology, Shin Chien University, Taipei City, Taiwan, eDepartment of Applied Science, National Hsin-Chu University of Education, Hsinchu City, Taiwan, fInsitute of Biotechnology, National Changhua University of Education, Changhua country, Taiwan
Email: gkbioeng@grapeking.com.tw
Received: 24 Feb 2016 Revised and Accepted: 20 Apr 2016
ABSTRACT
Objective: Despite the fact that there was no adverse effect observed in previous animal safety studies of Deinococcus grandis (D. grandis) fermented soymilk, including acute oral toxicity assay, 3 different test systems of genotoxicity test and teratogenicity study, whether D. grandis fermented soymilk is safe for long-term use remains unknown. Therefore, the study was conducted further to clarify the edible safety of D. grandis fermented soymilk for long term use.
Methods: Eighty Sprague-Dawley (SD) rats were divided into four groups, each consisting of ten male and ten female rats. Rats were orally administrated with reverse osmosis water (control) or 1,000, 2,000 and 3,000 mg/kg b.w./d freeze dried D. grandis fermented soymilk powder for 90 consecutive days. Clinical observation of the rats was carried out daily. The body weight and feed intake of the rats were recorded weekly. At the end of the study, all rats were sacrificed and the blood and organs were collected for hematology, clinical biochemistry and histopathological examination.
Results: During the study period, no abnormality occurred in clinical signs, body weight, and ophthalmological examination. There were no significant differences in urinalysis, hematology and clinical biochemistry parameters between the treatment and control group. Necropsy and histopathological examination showed no treatment-related change.
Conclusion: According to the results, the no-observed-adverse-effect level (NOAEL) of D. grandis fermented soymilk was greater than 3,000 mg/kg b.w./d in SD rats.
Keywords: Deinococcus grandis (D. grandis), 90-day subchronic toxicity, NOAEL, Safety assessment, GKB-Aid 1995
© 2016 The Authors. Published by Innovare Academic Sciences Pvt Ltd. This is an open access article under the CC BY license (http://creativecommons.org/licenses/by/4.0/)
INTRODUCTION
Soybean is an annual herb belonging to the family Leguminosae and the genus Glycine [1]. It has been cultivated in China for over 4,700 y [2]. Soybean exhibits a variety of beneficial biological effects on human health, such as cholesterol and triglycerides reduction [3, 4], improved vascular health [5], preserved bone mineral density [6], reduction of menopausal symptoms [7], anti-cancer effects [8], and immunomodulation [9]. There are many active ingredients of high nutritional value in soybeans, including isoflavones, saponins, phytic acid, phytosterols, phenolic acids and trypsin inhibitors [10-12]. In Asia, soybean is normally prepared as fermented products, such as soy sauce, natto, tempeh and fermented soybean curd, to improve digestibility and increase bioavailability [13]. Moreover, the fermented process of soybeans produces better flavor and health-promoting substances [14].
In 1995, we isolated a strain of aerobic, non-motile, non-spore-forming, rod-shaped, orange-red, gram-negative bacteria exhibited antioxidant activity from the soil. Chemotaxonomic data showed that the predominant cellular fatty acid was C16:1ω7c (22.43%) and C15:1ω6c (17.96%), suggesting that the strain belongs to the genus Azomonas [15]. However, taxonomic classification by such method is objective because of phenotypic variations. With advanced isolation and identification, the 16S ribosomal RNA (rRNA) gene PCR analysis and Vitek 2 colorimetric GN card were developed to overcome this drawback. The 16S rRNA gene PCR analysis is the gold standard for specification of bacteria for which the gene is highly conserved among species of the same genus [16]. Vitek, 2 colorimetric GN card, is a promising tool to identify gram-negative rods fast and accurately [17]. The result of Vitek 2 GN card showed that the strain was characteristically similar to Deinococcus grandis (D. grandis) ATCC 43672 (97.9%) [18]. The only difference from D. grandis is that the strain does not produce L-Pyrrolydonyl-Arylamidase [18]. Analysis of the 16S rRNA nucleotide sequences revealed that the strain has a high degree of sequence similarity (98.4%) with the D. grandis ATCC 43672 strain [18]. Based on these results, the strain was identified as D. grandis [18] and named as GKB-Aid 1995.
The Lab of Bioengineering Center of Grape King Bio Ltd obtained the fermented soymilk with high nutritional value by adding D. grandis to soymilk (Brix 4) to completely convert isoflavone glycosides into daidzin and genistin in 24 h [19]. D. grandis fermented soymilk increased the host immunity by inducing Th1 immune responses [19]. Our previous studies demonstrated that no toxic effect was observed in acute oral toxicity assay, 3 different test systems of genotoxicity test and teratogenicity study (submitted). Despite the fact that there is no adverse effect observed in previous animal safety studies, whether D. grandis fermented soymilk is safe for long-term use remains unknown. In the present study, we conducted a 90-day subchronic toxicological assessment of D. grandis fermented soymilk in Sprague-Dawley (SD) rats to confirm the edible safety and evaluate the no-observed-adverse-effect level (NOAEL) of D. grandis fermented soymilk.
MATERIALS AND METHODS
Preparation of D. grandis fermented soymilk
For 90-day subchronic toxicological assessment, D. grandis cultured on trypsin soy agar was transferred to a 2 l Erlenmeyer flask with 1 l broth consisting of 2% sucrose, 1% peptone, 1% yeast extract, and soy milk. The whole medium was cultivated at 32 °C for 24 h on a rotary shaker (120 rpm) for seed culturing prior to its scale-up production step. The scale-up of the fermentation process was performed using the same media in the 20-ton fermenter agitated at 60 rpm with an aeration rate of 0.5 vvm at 32 °C for 24 h. At the end of the cultivation, 2 x 109 CFU/ml D. grandis in fermentation media was obtained and then heated at 60 °C. After lyophilized, 1.3 g freeze-dried powder can be acquired from 1 l fermentation media. The freeze dried powder was then reduced to a fine dried powder using a 60 mesh and stored in a desiccator at room temperature. [18]
Animals
Eighty 5-week-old SD rats were obtained from BioLASCO Taiwan Co., Ltd (Yilan, Taiwan). After quarantined and accommodation for one week, the rats were randomized based on their body weight and then entered the study. The rats had free access to standard rodent diet and sterile reverse osmosis water (R. O. water) ad libitum and were maintained at a controlled temperature (22±3℃), relative humidity (55±15%) and light cycle (12 h light/12 h dark). The frequency of ventilation was 10-15 time/h.
Study design
This study was performed based on the safety assessment guideline of Health Food announced by the Ministry of Health and Welfare (Taiwan). The protocol was approved by the Institutional Animal Care and Use Committee (IACUC No. 103-9j) before the beginning of the study. The rats were randomly divided into four groups (n=10/sex/group) and orally administrated with D. grandis fermented soymilk (1,000, 2,000 and 3,000 mg/kg b.w.) for 90 d (daily). The body weights of rats were measured prior to the study and once a week during the study. Measurement of feed intake for all rats was conducted weekly during the study. D. grandis fermented soymilk was prepared freshly by dissolving D. grandis fermented soymilk powder into R. O. water to a concentration of 100 mg/ml, 200 mg/ml and 300 mg/ml, respectively. Clinical observations for all rats were conducted every day by recording abnormal clinical signs or death. At the end of the experiment, rats were euthanized with CO2 asphyxiation and blood samples were collected.
Urinalysis
One day before scarification, all rats were placed in metabolic cages for 16 h in order to collect urine samples. We used compact urine analyzer (PU-400, ARKARY Core Laboratory) to analyze specific gravity (SG), color, protein, urobilinogen, pH, ketone body, bilirubin, glucose, nitrite and occult blood. The sediments of the urine were observed for white blood cell (WBC), red blood cell (RBC), epithelial cell (EP), crystals and microbes, etc. by microscopic examination.
Ophthalmology
Ophthalmology for all rats was conducted prior to the oral administration and at the end of the study. External appearance and internal structure of the eyes were evaluated with naked eyes and ophthalmoscope.
Hematology and serum biochemistry
After overnight fasting, all rats were euthanized with CO2 asphyxiation and blood samples were collected by cardiac puncture. Blood samples were stored in EDTA blood collection tubes and mixed well. We used automatic blood analyzer (XT-1800, Sysmex) to detect hematocrit, hemoglobin, RBC, WBC, platelet count, mean corpuscular volume (MCV), mean corpuscular hemoglobin (MCH), mean corpuscular hemoglobin concentration (MCHC), lymphocyte, neutrophil, monocyte, eosinophil and basophil. Anticoagulated blood samples were analyzed by Blood Coagulation Analyzer (CA-1500, Sysmex) for prothrombin time. The following serum biochemistry parameters were analyzed by using automated analyzer (7070 Autoanalyzer, Hitachi): alkaline phosphatase (ALP), aspartate aminotransferase (AST), alanine aminotransferase (ALT), albumin, total protein, total bilirubin, creatinine, blood urea nitrogen (BUN), glucose, cholesterol, triglyceride, phosphorus, calcium, chloride, potassium and sodium.
Pathology
Necropsy examination for all rats was conducted at the end of the study (day 91). The outer appearance, oral cavity, cranial cavity and all tissues and organs in thoracic and abdominal cavity were examined visually and recorded. Major organ weights including brain, heart, kidney, liver, spleen, adrenal gland, testis or ovary were measured after removal of peripheral fat tissue. In addition, relative organ weights were calculated according to the formula:

Histopathological test was performed for control group and high dose group to examine adrenals, aorta, brain, pituitary, spinal cord, bone marrow, femur, esophagus, eyes, Harderian gland, heart, duodenum, jejunum, ileum, caecum, colon, rectum, kidney, liver, lung, lymph node, thyroid/parathyroid gland, salivary gland, spleen, pancreas, sciatic nerve, optic nerve, stomach, thigh muscle, thymus, urinary bladder, skin, trachea, epididymis, prostate gland, seminal vesicle and testis (male), oviduct, uterus, vagina, ovary and mammary gland (female). The collected organs were fixed in 10% neutral formalin buffer. Preserved organs and tissues were dehydrated, clarified, infiltrated with paraffin and embedded after trimming, forming paraffin tissue blocks, and cut into 2 μm thickness of a tissue slice using paraffin tissue slicing machine (RM 2145, Leica), stained with Hematoxylin & Eosin (H&E). The histopathological changes were evaluated using an optical microscope (BX51, Olympus). If treatment-related changes occurred in a particular organ or tissue in the high dose group, extended examination for the organ or tissue of medium dose and low dose group was included.
Statistical analysis
Values are expressed as mean±standard deviation (SD) and analyzed using one-way analysis of variance (ANOVA) followed by Duncan’s multiple range for comparisons of group means. All statistical analyses were performed using SPSS; a P value<0.05 is considered statistically significant.
RESULTS
Body weight and feed intake
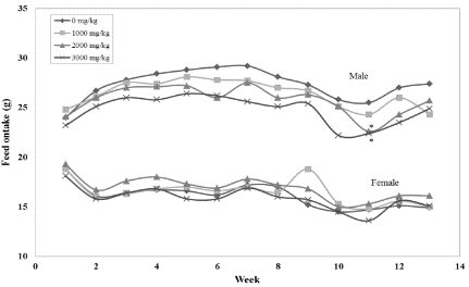
All animals survived during the study except one female rat in the high dose group died on day 75 because of gavage error (table 1). No abnormal clinical sign was shown after oral administration of R. O. water and D. grandis fermented soymilk. The body weight of rats receiving D. grandis fermented soymilk was similar to that of the control groups and was not statistically significant (fig. 1). Lower feed intake of male rats in medium and high dose group of week 11 was observed (p<0.05), but there is no significant difference in feed intake of female rats between treatment and control group (fig. 2).
Table 1: Mortality and incidence of abnormal clinical sign of the rats after 90 d of D. grandis fermented soymilk administration
Control 0 mg/kg |
Low dose 1000 mg/kg |
Medium dose 2000 mg/kg |
High dose 3000 mg/kg |
|||||
Mortality of the rats |
||||||||
Sex |
M |
F |
M |
F |
M |
F |
M |
F |
Number of rat in each group |
10 |
10 |
10 |
10 |
10 |
10 |
10 |
10 |
Number of rat died during the study |
0 |
0 |
0 |
0 |
0 |
0 |
0 |
1* |
Incidence of abnormal clinical sign |
||||||||
Sex |
M |
F |
M |
F |
M |
F |
M |
F |
Number of rat in each group |
10 |
10 |
10 |
10 |
10 |
10 |
10 |
9 |
Number of rat exhibited abnormal clinical sign |
0 |
0 |
0 |
0 |
0 |
0 |
0 |
0 |
M: male; F: female, *Female rat (Animal I.D.: 140400001-39F) was found dead on day 75 caused by technical gavage error.
Fig. 1: Effects of D. grandis fermented soymilk on body weight in male and female SD rats during the 90-d safety assessment
aData expressed as mean±SD, n=10 [feed intake of high-dose group after week 11, n=9. Female rat (Animal I.D.: 140400001-39F) was found dead on day 75 caused by technical gavage error.].
Error bars have been omitted for the simple presentation.
Urinalysis
There was no significant difference in the examination of urine sediments and routine test of the urinalysis between treatment and control groups of both sexes (table 2).
Ophthalmology
Results revealed that no abnormal findings were observed in ophthalmological examination by naked eyes and ophthalmoscopic diagnosis for treated and control groups of both sexes prior to the oral administration and at the end of the study (table 3).
Fig. 2: Effects of D. grandis fermented soymilk on feed intake in male and female SD rats during the 90-d safety assessment
aData expressed as mean±SD, n=5 (2 rats in one cage).
*Significant different from control group (p<0.05).
Error bars have been omitted for the simple presentation.
Table 2: Urinalysis of rats after 90 d of Deinococcus grandis fermented soymilk administration
Items |
Dosage (mg/kg b.w.) |
||||||||
Male |
Female |
||||||||
0 |
1000 |
2000 |
3000 |
0 |
1000 |
2000 |
3000 |
||
Color |
Yellow |
9/10 |
6/10 |
8/10 |
6/10 |
0/10 |
0/10 |
0/10 |
3/9 |
Pale yellow |
1/10 |
4/10 |
2/10 |
4/10 |
10/10 |
10/10 |
10/10 |
6/9 |
|
Clarity |
Clear |
0/10 |
1/10 |
1/10 |
0/10 |
1/10 |
0/10 |
1/10 |
1/9 |
Light turbid |
10/10 |
9/10 |
9/10 |
10/10 |
9/10 |
10/10 |
9/10 |
8/9 |
|
Glucose |
Negative |
10/10 |
10/10 |
10/10 |
10/10 |
10/10 |
10/10 |
10/10 |
9/9 |
Trace |
0/10 |
0/10 |
0/10 |
0/10 |
0/10 |
0/10 |
0/10 |
0/9 |
|
Bilirubin |
Negative |
10/10 |
10/10 |
10/10 |
10/10 |
10/10 |
10/10 |
10/10 |
9/9 |
1+ |
0/10 |
0/10 |
0/10 |
0/10 |
0/10 |
0/10 |
0/10 |
0/9 |
|
Ketone |
Negative |
7/10 |
9/10 |
6/10 |
6/10 |
10/10 |
10/10 |
10/10 |
8/9 |
Trace |
3/10 |
1/10 |
4/10 |
4/10 |
0/10 |
0/10 |
0/10 |
1/9 |
|
1+ |
0/10 |
0/10 |
0/10 |
0/10 |
0/10 |
0/10 |
0/10 |
0/9 |
|
Specific gravity |
<1.015 |
2/10 |
3/10 |
1/10 |
4/10 |
10/10 |
8/10 |
7/10 |
3/9 |
1.016 ~ 1.020 |
6/10 |
5/10 |
6/10 |
2/10 |
0/10 |
1/10 |
3/10 |
3/9 |
|
1.021 ~ 1.025 |
1/10 |
0/10 |
2/10 |
4/10 |
0/10 |
1/10 |
0/10 |
2/9 |
|
1.026 ~ 1.030 |
1/10 |
2/10 |
1/10 |
0/10 |
0/10 |
0/10 |
0/10 |
1/9 |
|
>1.030 |
0/10 |
0/10 |
0/10 |
0/10 |
0/10 |
0/10 |
0/10 |
0/9 |
|
pH |
5.5 |
0/10 |
0/10 |
0/10 |
0/10 |
1/10 |
3/10 |
2/10 |
0/9 |
6.0 |
0/10 |
1/10 |
1/10 |
0/10 |
3/10 |
2/10 |
6/10 |
4/9 |
|
6.5 |
7/10 |
6/10 |
5/10 |
4/10 |
6/10 |
4/10 |
2/10 |
5/9 |
|
7.0 |
3/10 |
3/10 |
4/10 |
6/10 |
0/10 |
1/10 |
0/10 |
0/9 |
|
Protein |
Negative |
0/10 |
0/10 |
0/10 |
0/10 |
8/10 |
9/10 |
8/10 |
2/9 |
Trace |
0/10 |
1/10 |
1/10 |
2/10 |
2/10 |
0/10 |
2/10 |
5/9 |
|
1+ |
8/10 |
4/10 |
7/10 |
7/10 |
0/10 |
1/10 |
0/10 |
2/9 |
|
2+ |
2/10 |
5/10 |
2/10 |
1/10 |
0/10 |
0/10 |
0/10 |
0/9 |
|
Urobilinogen |
Normal |
9/10 |
8/10 |
9/10 |
10/10 |
10/10 |
10/10 |
10/10 |
8/9 |
1+ |
1/10 |
2/10 |
1/10 |
0/10 |
0/10 |
0/10 |
0/10 |
1/9 |
|
Nitrite |
Negative |
8/10 |
9/10 |
9/10 |
8/10 |
7/10 |
9/10 |
10/10 |
8/9 |
1+ |
1/10 |
0/10 |
1/10 |
2/10 |
3/10 |
1/10 |
0/10 |
1/9 |
|
2+ |
1/10 |
1/10 |
0/10 |
0/10 |
0/10 |
0/10 |
0/10 |
0/9 |
|
Occult Blood |
Negative |
3/10 |
1/10 |
5/10 |
6/10 |
10/10 |
10/10 |
10/10 |
8/9 |
Trace |
4/10 |
5/10 |
3/10 |
3/10 |
0/10 |
0/10 |
0/10 |
1/9 |
|
1+ |
3/10 |
3/10 |
1/10 |
0/10 |
0/10 |
0/10 |
0/10 |
0/9 |
|
3+ |
0/10 |
1/10 |
1/10 |
1/10 |
0/10 |
0/10 |
0/10 |
0/9 |
|
Leukocyte esterase (Leu/µl) |
Negative |
2/10 |
3/10 |
1/10 |
1/10 |
10/10 |
9/10 |
10/10 |
6/9 |
25 |
1/10 |
1/10 |
0/10 |
0/10 |
0/10 |
1/10 |
0/10 |
2/9 |
|
75 |
1/10 |
0/10 |
3/10 |
3/10 |
0/10 |
0/10 |
0/10 |
1/9 |
|
250 |
2/10 |
2/10 |
2/10 |
4/10 |
0/10 |
0/10 |
0/10 |
0/9 |
|
500 |
4/10 |
4/10 |
4/10 |
2/10 |
0/10 |
0/10 |
0/10 |
0/9 |
|
n/n: Affected rats/total examined rats (n=10 [high dose group of female rats, n = 9. Female rat (Animal I.D.: 140400001-39F) was found dead on day 75 caused by technical gavage error]).
Table 3: Ophthalmological examination before and at the end of the study
Control 0 mg/kg |
Low dose 1000 mg/kg |
Medium dose 2000 mg/kg |
High dose 3000 mg/kg |
|||||
before the study |
||||||||
Sex |
M |
F |
M |
F |
M |
F |
M |
F |
Number of rat in each group |
10 |
10 |
10 |
10 |
10 |
10 |
10 |
10 |
Number of rat exhibited ophthalmic abnormality |
0 |
0 |
0 |
0 |
0 |
0 |
0 |
0 |
at the end of the study |
||||||||
Sex |
M |
F |
M |
F |
M |
F |
M |
F |
Number of rat in each group |
10 |
10 |
10 |
10 |
10 |
10 |
10 |
9 |
Number of rat exhibited ophthalmic abnormality |
0 |
0 |
0 |
0 |
0 |
0 |
0 |
0 |
M: male; F: female.
Hematology
In male rats, there is no significant difference in hematological analysis between treatment and control groups except that prothrombin time of three treatment groups was significantly lower than the control group (p<0.05). On the other hand, there is no significant in the hematological analysis for female rates between treatment and control groups except that platelet of medium dose group was significantly lower than the control group (p<0.05) (table 4, 6).
Serum biochemistry
Three serum biochemistry parameters in male rats were noted to be statistically significant. In male rats, AST of low dose and high dose group, total protein of the high dose group and albumin of three treatment groups was significantly lower than the control group (p<0.05). No significant difference was observed in serum biochemistry parameters for female rats (table 5).
Table 4: Hematology of rats after 90 d of Deinococcus grandis fermented soymilk administration
Items |
Hematologya |
|||
Control 0 mg/kg |
Low dose 1000 mg/kg |
Medium dose 2000 mg/kg |
High dose 3000 mg/kg |
|
Male |
||||
WBC (103/µl) |
14.1±3.5 |
12.6±1.8 |
11.7±3.3 |
11.8±4.0 |
RBC (106/µl) |
9.64±0.68 |
9.42±0.69 |
9.19±0.51 |
9.47±0.43 |
Hemoglobin (g/dl) |
16.4±0.8 |
16.3±1.1 |
16.4±0.6 |
16.4±0.8 |
Hematocrit (%) |
48.2±2.7 |
47.6±3.0 |
48.0±2.7 |
47.4±3.2 |
MCV (fL) |
50.2±4.4 |
50.7±3.3 |
52.6±5.7 |
50.1±3.7 |
MCH (pg) |
17.1±1.0 |
17.3±0.7 |
17.9±1.4 |
17.3±0.9 |
MCHC (g/dl) |
34.1±1.1 |
34.3±1.0 |
34.2±0.8 |
34.6±1.0 |
Platelet (103/µl) |
1059.2±172.2 |
1009.6±83.8 |
950.7±170.5 |
1018.1±124.8 |
Neutrophil (%) |
19.5±8.8 |
17.0±3.7 |
20.3±8.0 |
20.6±8.8 |
Lymphocyte (%) |
73.2±8.8 |
75.5±3.5 |
72.3±8.9 |
72.2±9.2 |
Monocyte (%) |
6.0±0.9 |
6.1±1.1 |
6.0±1.3 |
5.8±1.5 |
Eosinophil (%) |
1.2±0.6 |
1.3±0.5 |
1.3±0.4 |
1.3±0.7 |
Basophil (%) |
0.2±0.1 |
0.2±0.1 |
0.2±0.1 |
0.2±0.1 |
Reticulocyte (%) |
3.1±2.2 |
2.2±0.9 |
2.4±0.8 |
2.0±0.8 |
PT (sec.) |
17.9±1.8 |
11.3±0.3* |
11.1±0.3* |
12.8±4.9* |
Female |
||||
WBC (103/µl) |
8.7±2.5 |
10.8±2.8 |
9.1±2.0 |
8.0±1.2 |
RBC (106/µl) |
9.01±0.56 |
9.02±0.41 |
8.72±0.57 |
8.73±0.37 |
Hemoglobin (g/dl) |
16.3±0.8 |
16.3±0.6 |
15.8±0.9 |
16.0±0.5 |
Hematocrit (%) |
47.8±1.6 |
47.5±1.9 |
46.6±2.3 |
46.9±2.0 |
MCV (fL) |
53.3±3.0 |
52.7±1.6 |
53.5±2.1 |
53.8±2.2 |
MCH (pg) |
18.1±0.8 |
18.1±0.4 |
18.2±0.5 |
18.4±0.6 |
MCHC (g/dl) |
34.0±0.8 |
34.4±0.6 |
34.0±0.9 |
34.2±0.5 |
Platelet (103/µl) |
964.3±95.1 |
958.2±85.4 |
855.5±117.4* |
983.4±87.8 |
Neutrophil (%) |
15.2±4.9 |
12.8±4.7 |
14.1±4.5 |
18.3±4.4 |
Lymphocyte (%) |
77.6±6.2 |
81.6±5.4 |
79.4±5.6 |
74.5±5.2 |
Monocyte (%) |
5.5±1.4 |
4.3±1.4 |
5.0±1.4 |
5.6±1.8 |
Eosinophil (%) |
1.5±0.6 |
1.1±0.9 |
1.3±0.4 |
1.4±0.4 |
Basophil (%) |
0.2±0.1 |
0.2±0.0 |
0.2±0.1 |
0.2±0.1 |
Reticulocyte (%) |
2.9±2.6 |
2.7±0.4 |
2.0±0.5 |
2.4±0.7 |
PT (sec.) |
10.1±0.3 |
10.0±0.2 |
10.1±0.3 |
10.1±0.4 |
aData expressed as mean±SD, n=10 [high dose group of female rats, n = 9. Female rat (Animal I.D.: 140400001-39F) was found dead on day 75 caused by technical gavage error].
WBC, white blood cell count; RBC, red blood cell count; MCV, mean corpuscular volume; MCH, mean cell hemoglobin; MCHC, mean corpuscular hemoglobin concentration; PT, prothrombin time., *Significant different from control group (p<0.05).
Normal range of Prothrombin time: 10.3 ~ 18.2 sec [22]., Normal range of Platelet: 561 ~ 1377 x 103/µl [22].
Table 5: Clinical chemistry of rats after 90 d of Deinococcus grandis fermented soymilk administration
Items |
Clinical chemistrya |
|||
Control 0 mg/kg |
Low dose 1000 mg/kg |
Medium dose 2000 mg/kg |
High dose 3000 mg/kg |
|
Male |
||||
Glucose (mg/dL) |
215.4±19.3 |
214.0±46.0 |
194.7±25.0 |
198.1±33.9 |
BUN (mg/dL) |
15.4±2.3 |
15.1±2.2 |
16.5±1.5 |
15.4±1.3 |
Creatinine (mg/dL) |
0.73±0.05 |
0.68±0.04 |
0.70±0.05 |
0.68±0.04 |
AST (U/l) |
125.7±36.9 |
93.0±17.5* |
114.6±16.5 |
96.1±16.1* |
ALT (U/l) |
44.2±14.2 |
36.6±8.3 |
40.7±11.0 |
34.9±7.7 |
Total protein (g/dL) |
6.9±0.3 |
6.8±0.2 |
6.7±0.2 |
6.6±0.2* |
Albumin (g/dL) |
4.5±0.1 |
4.3±0.2* |
4.4±0.2* |
4.4±0.1* |
ALP (U/l) |
76.1±13.6 |
65.2±10.6 |
70.9±15.4 |
77.7±16.8 |
Cholesterol (mg/dL) |
67.0±15.8 |
62.0±17.1 |
65.4±17.4 |
65.3±17.6 |
Triglyceride (mg/dL) |
78.7±20.9 |
71.3±31.4 |
67.9±21.5 |
74.2±30.7 |
Calcium (mg/dL) |
11.5±0.3 |
11.5±0.3 |
11.3±0.4 |
11.3±0.3 |
Phosphorus (mg/dL) |
8.8±0.5 |
8.8±0.5 |
8.6±0.7 |
8.7±0.8 |
Sodium (meq/l) |
149.5±1.4 |
148.9±1.6 |
148.7±1.7 |
149.3±1.6 |
Potassium (meq/l) |
5.9±0.5 |
5.7±0.5 |
6.2±0.8 |
5.7±0.8 |
Chloride (meq/l) |
103.9±2.4 |
104.5±1.0 |
103.9±1.9 |
103.4±0.5 |
Globulin (g/l) |
2.3±0.2 |
2.4±0.2 |
2.3±0.2 |
2.2±0.2 |
Total bilirubin (mg/dL) |
0.007±0.003 |
0.009±0.004 |
0.007±0.001 |
0.008±0.002 |
Female |
||||
Glucose (mg/dL) |
138.6±29.4 |
152.7±29.0 |
169.3±46.0 |
161.9±22.4 |
BUN (mg/dL) |
15.5±2.2 |
15.3±2.9 |
16.4±2.6 |
15.3±2.3 |
Creatinine (mg/dL) |
0.74±0.08 |
0.73±0.05 |
0.76±0.07 |
0.76±0.07 |
AST (U/l) |
102.6±25.9 |
84.4±13.8 |
113.8±45.9 |
85.9±17.6 |
ALT (U/l) |
36.5±16.2 |
26.6±5.8 |
40.3±20.8 |
27.4±6.5 |
Total protein (g/dL) |
7.0±0.4 |
7.1±0.3 |
7.2±0.5 |
7.0±0.6 |
Albumin (g/dL) |
5.1±0.3 |
5.2±0.3 |
5.3±0.3 |
5.1±0.4 |
ALP (U/l) |
32.5±7.8 |
35.7±14.7 |
29.6±7.2 |
33.9±5.9 |
Cholesterol (mg/dL) |
90.9±21.6 |
83.5±12.6 |
90.4±20.4 |
81.2±15.3 |
Triglyceride (mg/dL) |
60.8±31.7 |
57.8±69.0 |
57.1±35.1 |
34.0±10.0 |
Calcium (mg/dL) |
11.0±0.6 |
11.3±0.5 |
11.3±0.4 |
10.7±0.5 |
Phosphorus (mg/dL) |
8.1±0.8 |
8.4±1.0 |
8.3±1.2 |
8.0±0.9 |
Sodium (meq/l) |
138.8±4.3 |
142.0±4.7 |
142.6±3.7 |
139.3±4.2 |
Potassium (meq/l) |
6.4±1.0 |
6.3±0.5 |
6.4±0.8 |
6.1±1.1 |
Chloride (meq/l) |
97.9±4.3 |
100.8±3.4 |
99.9±3.4 |
97.6±2.9 |
Globulin (g/l) |
1.9±0.3 |
2.0±0.2 |
1.9±0.3 |
1.8±0.3 |
Total bilirubin (mg/dL) |
0.011±0.004 |
0.012±0.002 |
0.013±0.004 |
0.011±0.003 |
aData expressed as mean±SD, n=10 [high dose group, n = 9. Female rat (Animal I.D.: 140400001-39F) was found dead on day 75 caused by technical gavage error.].
BUN, blood urea nitrogen; AST, aspartate aminotransferase; ALT, alanine aminotransferase; ALP, alkaline phosphatase, *Significant different from control group (p<0.05), Normal range of AST: 56.1 ~ 201.8 U/l [22], Normal range of Total protein: 6.5 ~ 8.1 g/dL [22], Normal range of Albumin: 2.9 ~ 4.1 g/dL [22]
Table 6: Microscopic examination of urinary sediments of rats after 90 d of Deinococcus grandis fermented soymilk administration
Items |
Dosage (mg/kg BW) |
|||||||||
Male |
Female |
|||||||||
0 |
1000 |
2000 |
3000 |
0 |
1000 |
2000 |
3000 |
|||
Cell type |
RBC |
0-1 (hpf) |
10/10 |
10/10 |
10/10 |
10/10 |
10/10 |
10/10 |
9/10 |
9/9 |
2-5 (hpf) |
0/10 |
0/10 |
0/10 |
0/10 |
0/10 |
0/10 |
1/10 |
0/9 |
||
WBC |
0-1 (hpf) |
9/10 |
9/10 |
10/10 |
10/10 |
10/10 |
10/10 |
10/10 |
9/9 |
|
2-5 (hpf) |
0/10 |
1/10 |
0/10 |
0/10 |
0/10 |
0/10 |
0/10 |
0/9 |
||
6-15 (hpf) |
1/10 |
0/10 |
0/10 |
0/10 |
0/10 |
0/10 |
0/10 |
0/9 |
||
EP |
0-1 (hpf) |
9/10 |
5/10 |
6/10 |
9/10 |
8/10 |
8/10 |
8/10 |
8/9 |
|
2-5 (hpf) |
0/10 |
3/10 |
4/10 |
1/10 |
2/10 |
2/10 |
1/10 |
0/9 |
||
6-15 (hpf) |
1/10 |
2/10 |
0/10 |
0/10 |
0/10 |
0/10 |
1/10 |
1/9 |
||
Crystal |
None found |
3/10 |
7/10 |
5/10 |
6/10 |
9/10 |
10/10 |
8/10 |
5/9 |
|
Triple phosphates |
7/10 |
3/10 |
5/10 |
4/10 |
0/10 |
0/10 |
0/10 |
3/9 |
||
Calcium oxalate |
0/10 |
0/10 |
0/10 |
0/10 |
1/10 |
0/10 |
2/10 |
1/9 |
||
n/n: Affected rats/total examined rats (n=10 [high dose group of female rats, n = 9. Female rat (Animal I.D.: 140400001-39F) was found dead on day 75 caused by technical gavage error]). EP: epithelial cells; WBC: white blood cell; RBC: red blood cell; hpf: high power field.
Pathology
In male rats, there are no significant differences in absolute organ weight and relative organ weight between treatment and control groups. In female rats, except for the ovaries of the high dose group and adrenal gland of the low dose and medium dose group, no significant difference in absolute organ weights was observed between the treatment and control groups. And except for the liver of medium dose and high dose group was significantly heavier than the control group (p<0.05), there was no significant difference between treatment and control groups for other organs (table 8, 9).
No significant treatment-related changes for all rats were observed in adrenals, aorta, brain, pituitary, spinal cord, bone marrow, femur, esophagus, eyes, Harderian gland, heart, duodenum, jejunum, ileum, caecum, colon, rectum, kidney, liver, lung, lymph node, thyroid/ parathyroid gland, salivary gland, spleen, pancreas, sciatic nerve, optic nerve, stomach, thigh muscle, thymus, urinary bladder, skin, trachea, epididymis, prostate gland, seminal vesicle and testis (male), oviduct, uterus, vagina, ovary and mammary gland (female) of the treatment and control group (table 10).
In male rats, mononuclear cell infiltration was found in Harderian gland of control and high dose group (incidence rate of 2/10 and 1/10), in heart of control and high dose group (incidence rate of 4/10 and 3/10), in prostate gland of control and high male rats (incidence rate of 4/10 and 2/10) and in pancreas of control male rats (incidence rate of 3/10); in female rats, mononuclear cell infiltration was found in Harderian gland of control group (incidence rate of 1/10) and in heart of control group (incidence rate of 1/10).
Table 7: Incidence of gross lesion after 90 d of Deinococcus grandis fermented soymilk administration
Control 0 mg/kg |
Low dose 1000 mg/kg |
Medium dose 2000 mg/kg |
High dose 3000 mg/kg |
|
Male |
||||
Number of rat in each group |
10 |
10 |
10 |
10 |
Number of rat exhibited gross lesion |
0 |
0 |
0 |
0 |
Female |
||||
Number of rat in each group |
10 |
10 |
10 |
9 |
Number of rat exhibited gross lesion |
0 |
0 |
0 |
0 |
Table 8: Absolute organ weight of rats after 90 d of Deinococcus grandis fermented soymilk administration
Absolute organ weight (g)a |
||||
Control 0 mg/kg |
Low dose 1000 mg/kg |
Medium dose 2000 mg/kg |
High dose 3000 mg/kg |
|
Male |
||||
Testis |
3.79±0.38 |
3.86±0.24 |
3.69±0.29 |
3.73±0.31 |
Adrenal gland |
0.053±0.007 |
0.059±0.009 |
0.059±0.010 |
0.061±0.007 |
Spleen |
0.957±0.185 |
0.878±0.098 |
0.847±0.100 |
0.885±0.097 |
Kidney |
3.99±0.53 |
3.90±0.41 |
4.01±0.28 |
4.02±0.42 |
Heart |
2.02±0.25 |
1.84±0.16 |
1.79±0.22 |
1.84±0.16 |
Brain |
2.19±0.05 |
2.19±0.08 |
2.21±0.07 |
2.16±0.05 |
Liver |
16.6±2.3 |
15.8±1.7 |
15.6±1.8 |
15.5±2.0 |
Female |
||||
Ovary |
0.065±0.008 |
0.075±0.011 |
0.069±0.013 |
0.081±0.016* |
Adrenal gland |
0.058±0.007 |
0.069±0.012* |
0.067±0.008* |
0.063±0.007 |
Spleen |
0.508±0.091 |
0.497±0.070 |
0.517±0.044 |
0.540±0.074 |
Kidney |
1.98±0.15 |
2.03±0.16 |
2.13±0.11 |
2.10±0.11 |
Heart |
1.01±0.09 |
1.01±0.05 |
1.05±0.08 |
1.04±0.05 |
Brain |
1.95±0.07 |
1.95±0.06 |
1.96±0.05 |
1.95±0.05 |
Liver |
7.62±0.61 |
7.79±0.78 |
8.46±0.89 |
8.13±0.50 |
aData expressed as mean±SD, n=10 [high dose group of female rats, n = 9. Female rat (Animal I.D.: 140400001-39F) was found dead on day 75 caused by technical gavage error.].
*Significant different from control group (p<0.05).
Table 9: Relative organ weight of rats after 90 d of Deinococcus grandis fermented soymilk administration
Relative organ weight (g/100 g B.W.)a |
||||
Control 0 mg/kg |
Low dose 1000 mg/kg |
Medium dose 2000 mg/kg |
High dose 3000 mg/kg |
|
Male |
||||
Testis |
0.676±0.067 |
0.733±0.099 |
0.703±0.077 |
0.714±0.103 |
Adrenal gland |
0.009±0.001 |
0.011±0.003 |
0.011±0.002 |
0.012±0.002 |
Spleen |
0.170±0.026 |
0.165±0.019 |
0.161±0.015 |
0.169±0.020 |
Kidney |
0.711±0.067 |
0.734±0.061 |
0.761±0.026 |
0.763±0.043 |
Heart |
0.360±0.036 |
0.346±0.038 |
0.339±0.034 |
0.350±0.025 |
Brain |
0.393±0.041 |
0.415±0.052 |
0.421±0.027 |
0.412±0.034 |
Liver |
2.95±0.26 |
2.96±0.20 |
2.95±0.21 |
2.94±0.23 |
Female |
||||
Ovary |
0.024±0.004 |
0.027±0.004 |
0.025±0.005 |
0.029±0.006 |
Adrenal gland |
0.021±0.003 |
0.025±0.004 |
0.025±0.003 |
0.023±0.002 |
Spleen |
0.185±0.031 |
0.181±0.028 |
0.187±0.016 |
0.197±0.028 |
Kidney |
0.722±0.045 |
0.738±0.064 |
0.769±0.065 |
0.766±0.047 |
Heart |
0.370±0.039 |
0.365±0.020 |
0.380±0.031 |
0.379±0.017 |
Brain |
0.712±0.040 |
0.710±0.042 |
0.711±0.074 |
0.711±0.041 |
Liver |
2.77±0.13 |
2.83±0.18 |
3.05±0.20* |
2.97±0.18* |
aData expressed as mean±SD, n=10 [high dose group of female rats, n = 9. Female rat (Animal I.D.: 140400001-39F) was found dead on day 75 caused by technical gavage error.].
*Significant different from control group (p<0.05).
In kidney, one male rat in the control group exhibited focal, slight, hyaline cast accumulation and one female rat of the high-dose group exhibited focal, slight, cortex infarction. Only one female rat in the control group presented focal, slight, necrosis in the liver.
Alveolar aggregation was observed in the lung of control and high dose female rats (incidence rate of 1/10 and 1/9). There was one male rat in the control group exhibited focal, slight, ductal hyperplasia in the pancreas. Only one male rat in the control group exhibited focal, slight, acinar cell regeneration in the pancreas. Focal, minimal to slight, cyst was found in the pituitary gland of control and high dose male rats (incidence rate of 1/10 and 1/10). According to the results, the incidence of histopathological change was not directly correlated to the treatment of the test article.Table 10: Histopathological examination of rats after 90 d of Deinococcus grandis fermented soymilk administration
Organ |
Lesions |
Group |
|||
Control |
High dose |
||||
Male |
Female |
Male |
Female |
||
Adrenal gland |
- |
- |
- |
- |
|
Aorta |
- |
- |
- |
- |
|
Brain |
|||||
Fore |
- |
- |
- |
- |
|
Middle |
- |
- |
- |
- |
|
Cerebellum |
- |
- |
- |
- |
|
Stem |
- |
- |
- |
- |
|
Bone, femur |
- |
- |
- |
- |
|
Bone marrow, Femur |
- |
- |
- |
- |
|
Sternum |
- |
- |
- |
- |
|
Epididymis |
- |
N |
- |
N |
|
Esophagus |
- |
- |
- |
- |
|
Eyes |
- |
- |
- |
- |
|
Harderiangland |
|||||
Infiltration, mononuclear cell, focal, minimal to moderate |
2/10 |
2/10 |
1/10 |
- |
|
Heart |
|||||
Infiltration, mononuclear cell, focal, minimal to slight |
4/10 |
1/10 |
3/10 |
- |
|
-: no effect. N: tissue was not available
1Degree of lesion was graded from one to five depending on severity: minimal (<1%); slight (1-25%); moderate (26-50%); moderate/severe (51-75%); severe/high (76-100%).
2Incidence: Affected rats/Total examined rats (n=10).
Table 10: Histopathological examination of rats after 90 d of Deinococcus grandis fermented soymilk administration (continue)
Organ |
Lesions |
Group |
|||
Control |
High dose |
||||
Male |
Female |
Male |
Female |
||
Intestine, small |
|||||
Doudenum |
- |
- |
- |
- |
|
Jejunum |
- |
- |
- |
- |
|
Ileum |
- |
- |
- |
- |
|
Intestine, large |
|||||
Caecum |
- |
- |
- |
- |
|
Colon |
- |
- |
- |
- |
|
Rectum |
- |
- |
- |
- |
|
Kidney |
|||||
Cast, tubule, focal, slight |
1/10 |
- |
- |
- |
|
Infact, cortex, focal, slight |
- |
- |
- |
1/9 |
|
Liver |
|||||
Necrosis, hepatocyte, focal, slight |
- |
1/10 |
- |
- |
|
Lung |
|||||
Aggregation, macrophage, focal, minimal |
- |
1/10 |
- |
1/9 |
|
Lymph node, |
|||||
Cervical |
- |
- |
- |
- |
|
Mesenteric |
- |
- |
- |
- |
|
Mammary gland |
N |
- |
N |
- |
|
Optic nerve |
- |
- |
- |
- |
|
-: no effect. N: tissue was not available
1Degree of lesion was graded from one to five depending on severity: minimal (<1%); slight (1-25%); moderate (26-50%); moderate/severe (51-75%); severe/high (76-100%).
2Incidence: Affected rats/Total examined rats (n=10).
Table 10: Histopathological examination of rats after 90 d of Deinococcus grandis fermented soymilk administration (continue)
Organ |
Lesions |
Group |
|||
Control |
High dose |
||||
Male |
Female |
Male |
Female |
||
Ovary |
N |
- |
N |
- |
|
Oviduct |
N |
- |
N |
- |
|
Pancreas |
|||||
Hyperplasia, ductal, focal, slight |
1/10 |
- |
- |
- |
|
Infiltration, mononuclear cell, focal, minimal to slight |
3/10 |
- |
- |
- |
|
Regeneration, acinar, focal, slight |
1/10 |
- |
- |
- |
|
Pituitary |
|||||
Cyst, pars distails, focal, minimal to slight |
1/10 |
- |
1/10 |
- |
|
Parathyroid gland |
- |
- |
- |
- |
|
Prostate gland |
|||||
Infiltration, mononuclear cell, focal, minimal to slight |
4/10 |
N |
2/10 |
N |
|
Salivary gland |
|||||
Mandibular lobe |
- |
- |
- |
- |
|
Sublingual lobe |
- |
- |
- |
- |
|
Sciatic nerve |
- |
- |
- |
- |
|
Seminal vesicle |
- |
N |
- |
N |
|
Skeletal muscle |
- |
- |
- |
- |
|
Skin |
- |
- |
- |
- |
|
-: no effect. N: tissue was not available
1Degree of lesion was graded from one to five depending on severity: minimal (<1%); slight (1-25%); moderate (26-50%); moderate/severe (51-75%); severe/high (76-100%).
2Incidence: Affected rats/Total examined rats (n=10).
Table 10: Histopathological examination of rats after 90 d of Deinococcus grandis fermented soymilk administration (continue)
Organ |
Lesions |
Group |
|||
Control |
High dose |
||||
Male |
Female |
Male |
Female |
||
Spinal code |
|||||
Cervical |
- |
- |
- |
- |
|
Lumbar |
- |
- |
- |
- |
|
Thoracic |
- |
- |
- |
- |
|
Spleen |
- |
- |
- |
- |
|
Stomach |
- |
- |
- |
- |
|
Testes |
- |
N |
- |
N |
|
Thymus |
- |
- |
- |
- |
|
Thyroid gland |
- |
- |
- |
- |
|
Tongue |
- |
- |
- |
- |
|
Trachea |
- |
- |
- |
- |
|
Urinary bladder |
- |
- |
- |
- |
|
Uterus |
N |
- |
N |
- |
|
Vagina |
N |
- |
N |
- |
|
-: no effect. N: tissue was not available
1Degree of lesion was graded from one to five depending on severity: minimal (<1%); slight (1-25%); moderate (26-50%); moderate/severe (51-75%); severe/high (76-100%).
2Incidence: Affected rats/Total examined rats (n=10).
DISCUSSION
During the study period, no abnormality occurred in clinical signs, body weight, and ophthalmological examination. In male rats, body weights and feed intake were reduced dose-dependently but not significantly. The finding suggests that oral administration of D. grandis fermented soymilk slightly affects food intake in male rats, leading to decreased body weights.
There were no significant differences in urinalysis between the treatment and control group. A few parameters in hematology and clinical biochemistry analysis showed significant differences between the treatment and control group, including prothrombin time, AST, total protein and albumin in male rats, and platelet in female rats. The prothrombin time, AST, total protein in male rats and platelet in female rats were all within the normal range. Albumin in male rats was all higher than normal level but still close to the normal range. Previous studies have shown that menaquinone (MK-8) was found in the respiratory chain of D. grandis [20] and abnormal prothrombin can be eliminated or lowered by administration of vitamin K [21]. Therefore, lowered PT may be caused by oral administration of D. grandis fermented soymilk which contains MK-8. These results suggest that no toxicity effect was induced by oral administration of D. grandis fermented soymilk.
Necropsy and histopathological examination found no treatment-related change. Although absolute organ weights of ovary of high dose group and adrenal gland of low and medium dose group in female rats were significantly higher than the control group, there was no significant difference between the relative weight of these organs in high dose group and control group (p>0.05). In female rats, relative weights of liver of medium and high dose group were significantly heavier than control group (p<0.05), but serum AST, ALT and histopathological examination of liver showed no significant difference between high dose group and control group, indicating that these were primarily related to individual variations and not a toxic effect induced by D. grandis fermented soymilk. Non-specific histopathological changes were observed including focal mononuclear cell infiltration in Harderian gland, heart and prostate gland of male rats; focal hyaline cast and focal cortex infarction in kidney; focal necrosis in liver; focal alveolar aggregation in lung; focal ductal hyperplasia, mononuclear cell infiltration and acinar cell regeneration in pancreas and focal cyst in pituitary gland. There was no positive correlation between incidence rate and oral administration of D. grandis fermented soymilk. These histopathological changes were non-specific, and not induced by oral administration of D. grandis fermented soymilk.
CONCLUSION
The present study demonstrates that the 90-day subchronic toxicological assessment showed no systemic toxicity attributable to D. grandis fermented soymilk administration, and no significant toxicity occurred even at the highest dose of 3,000 mg/kg b.w./d in SD rats. Results from the 90-day subchronic toxicity study of D. grandis fermented soymilk do not raise concern with respect to possible use as a functional food ingredient. According to the results, the no-observed-adverse-effect level (NOAEL) of D. grandis fermented soymilk was greater than 3,000 mg/kg b.w./d in SD rats.
CONFLICT OF INTERESTS
The authors declare there is no conflict of interest.
REFERENCES