
1Faculty of Pharmacy, Setia Budi University, Indonesia, 2Faculty of Pharmacy, Airlangga University, Indonesia
Email: Supriusb@gmail.com
Received: 24 Feb 2016 Revised and Accepted: 22 Jul 2016
ABSTRACT
Objective: To develop and validate a selective HPLC-ELSD method for determination of steviol glycosides contained in Stevia rebaudiana, mainly stevioside, rebauside A, rebaudioside C, and dulcoside A.
Methods: The chromatographic separation of stevioside, rebaudioside A, rebaudioside C, and dulcoside A was achieved using Phenomenex Luna column 250 mm x 4.6 mm i.d. in isocratic system mode with a mobile phase of acetonitrile-water (35: 65). The temperature of nebulization and evaporization of the ELS detector was set at 50 oC and 70 oC, respectively.
Results: The good separation of stevioside, rebaudioside A, rebaudioside C, and dulcoside A was obtained, yielding the resolution of all the analytes more than 1.5. All the validation parameters like specificity, linearity, range, accuracy and precision met the acceptance criteria according to ICH guidelines.
Conclusion: The proposed HPLC-ELSD method is simple and sensitive for the simultaneously detection and determination of stevioside, rebaudioside A, rebaudioside C and dulcoside A contained in Stevia rebaudiana. The method was successfully applied for the determination of the samples product of Stevia rebaudiana.
Keywords: Stevioside, Rebaudioside A, Rebaudioside C, Dulcoside A, HPLC-ELSD
© 2016 The Authors. Published by Innovare Academic Sciences Pvt Ltd. This is an open access article under the CC BY license (http://creativecommons. org/licenses/by/4. 0/)
DOI: http://dx.doi.org/10.22159/ijpps.2016.v8i9.11404
INTRODUCTION
Stevia rebaudiana Bertoni, a medicinal plant in the genus Stevia (family Asteraceae), has become popularly used as a low-calorie sweetener. The use of Stevia rebaudiana leaves as a sugar substitute, especially for diabetics, does not increase blood glucose level and does not cause obesity [1]. The sweet taste of Stevia rebaudiana is obtained from some steviol glycoside chemical compounds, comprising stevioside (4-10%), rebaudioside A (2-4%), rebaudioside C (1-2%), and dulcoside A (0.5-1%); all four are tied to sugar molecules, such as glucose and rhamnose (fig. 1).
Stevia rebaudiana leaves have 30 times sweeter taste than sugar (sucrose) while pure stevioside is 300 times sweeter than sucrose [2].
Scheme 1: The chemical structure of steviol glycosides (I: Stevioside; II = Rebaudioside A; III = Rebaudioside C and IV = Dulcoside A)
The acceptable daily intake (ADI) for steviol glycoside of Stevia rebaudiana is 4 mg/kg body weight/day, and the maximum dosage recommended is 3 and 5 mg/kg body weight/day in Japan and the USA, respectively [3]. In the aforementioned dosage, Stevia rebaudiana is safe to be consumed as a sweetener to substitute sugar and does not contain calories [4]. According to food and drug administration (FDA) [5], Stevia rebaudiana is a safe and edible product up to a dosage of 1500 mg per day. WHO concluded that stevioside and rebaudioside are not carcinogenic and mutagenic, both in vitro and in vivo assays. Stevioside also gives pharmacological effects on patients as anti-hypertensive and anti-diabetic agent [6]. Stevioside and rebaudioside are stable at high temperatures, like other common artificial sweeteners. Both of them are heat-resistant when heated up to 200 oC, and therefore, they can be used nearly almost in all types of food products [7, 8].
To assure the quality of commercial sweetener products from Stevia rebaudiana, an analytical method for determination of steviol glycosides in Stevia rebaudiana plays a critical role. In addition, the detection and simultaneous determination of stevioside, rebaudioside A, rebaudioside C and dulcoside A become necessary to prevent the adulteration of the stevia products. For such purposes, a number of analytical methods have been described, such as HPTLC [9, 10]. Capillary Electrophoresis [11] and HPLC [12] and recently LC-MS/MS [13,14]. Shirwaikar et al. identified and estimated stevioside in samples of Stevia rebaudiana by means of HPTLC compared to HPLC methods [15]. HPTLC has also been reported by Saifi et al. for the analysis of stevioside and rebaudioside A in Stevia rebaudiana [16]. The HPTLC is simpler and cheaper, however it generates lower resolution than HPLC. Due to its sensitivity and specificity, HPLC has been therefore most developed for the separation and determination of steviol glycosides in Stevia rebaudiana. Different HPLC columns have been used to separate the steviol glycosides, including amine-based [17], HILIC and reversed phase C-18 phase columns [18].
The HPLC with UV detection at absorption ranging from 200 nm to 300 nm has been widely applied for the separation of steviol glycosides. Since stevioside, rebaudioside A, rebaudioside C and dulcoside A are lacking in chromophores, the detection is commonly accomplished at 210 nm or lower to increase the sensitivity [19]. At this wavelength, the detection is undoubtedly interfered by mobile phase. For this reason, the mobile phase consisting high purity acetonitrile (cut off 190 nm) is more favorable than methanol (cut off 210 nm). The use of acetonitrile is, however, too expensive for routine analysis.
The evaporative light scattering detector (ELSD) is a valuable HPLC detector for detection of non-UV absorbing compounds, such as stevioside, rebaudioside A, rebaudioside C and dulcoside A. In the HPLC-ELSD, the compounds of interest are detected by the way it scatters light after nebulization and evaporation in a heated device [20]. The use of HPLC-ELSD for simultaneous determination of stevioside, rebaudioside A, rebaudioside C and dulcoside A in Stevia rebaudiana has not widely described elsewhere.
The objective of the present study was to develop an HPLC-ELSD method for the simultaneously detection and determination of stevioside, rebaudioside A, rebaudioside C and dulcoside A in Stevia rebaudiana. The method was then validated according to ICH Guideline in terms of selectivity, linearity, range, precision, and accuracy as well as limit of detection (LOD) and limit of quantitation (LOQ) [21].
MATERIALS AND METHODS
Chemicals and instrumentation
Steviosides, rebaaudioside A, rebaudioside C and dulcoside A with purity>98% were purchased from Sigma-Aldrich. Methanol and Acetonitrile HPLC grades were obtained from E. Merck (Darmstadt, Germany). Water was procured from PT. Ikapharmindo Putramas, Indonesia. Stevia leaves samples harvested in Tawangmangu, Central java Indonesia. Products used as samples were obtained from Indonesian market.
HPLC separations were carried out on Agilent 1100 Series HPLC equipped with Agilent Technologies 380 ELSD. The HPLC column was Luna Phenomenex 250 x 4.6 mm, ODS3 100A)
Preparation of standard solution
The standard solution was prepared by dissolving in methanol and transferring it into 10 ml volumetric flask and making up the volume using methanol to obtain the mixed standard solution of stevioside (430 mg/l), rebaudioside A (1010 mg/l), rebaudioside C (1010 mg/l) and dulcoside A (930 mg/l).
Sample preparation
Samples of Stevia rebaudiana collected from farmers in October 2015 were oven-dried at 50oC, powdered and filtered with 20 mesh filter. The powder was later measured to approximately 10 g and put into 250 ml beaker glass. It was then reconstituted with 100 ml of methanol, heated in hot plate50±2 oC, stirred with magnetic stirrers for 15 min, and filtered with filter papers. Much amount of 100 ml of methanol was added to the deposition. Similar processes were repeated 5 times until 500.0 ml of filtrate was extracted and finally ready to analyze by HPLC-ELSD.
Method development
The HPLC-ELSD method was developed to obtain the best separation of stevioside, rebaudioside A, rebaudioside C and dulcoside A simultaneously by injecting the mixed standard solution of stevioside, rebaudioside A, Rebaudioside C and dulcoside An into HPLC-ELSD. Different composition of mobile phase, HPLC columns as well as the temperature of nebulization and evaporation of ELSD were studied.
Method validation
The quality, reliability and consistency of the developed method were validated according to the ICH guidelines. The characteristic validation parameters include specificity, linearity and range, accuracy, precision, LOD and LOQ with the acceptance criteria of the resolution R>1.5 for specificity; coefficient correlation R>0.997 for linearity; recovery of 98-102% for accuracy; relative standard deviation RSD<2% for precision;
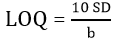
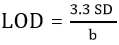
for a limit of detection; and
for limit of quantitation.
RESULTS AND DISCUSSION
Method development
Several mobile phases and HPLC columns, as well as the nebulization and the evaporation temperature of ELSD, were initially tried in an attempt to find the best separation for the four steviol glycosides, i.e. rebaudioside A, stevioside, rebaudioside C, and dulcoside A simultaneously. The following HPLC condition was obtained by using Phenomenex Luna column 250 x 4.6 mm i.d., 5 μm particle size in isocratic elution with a mobile phase of acetonitrile: water (35: 65). The temperature of nebulization and evaporization of the ELS detector was set at 50oC and 70oC, respectively. The flow rate was 1.0 ml/min. and the volume of injection loop was 20 µl. Fig. 1. Shows the typical chromatogram of a mixture of four standard solutions, comprising rebaudioside A, stevioside, rebaudioside C, and dulcoside A, obtained using HPLC-ELSD.

Fig. 1: Chromatogram of standard mixtures by HPLC-ELSD with mobile of acetonitrile: water 35: 65 (1 = rebaudioside A, 2 =stevioside, 3 = rebaudioside C, and 4 = dulcoside A)
Specificity
The specificity was tested by comparing the retention time and the resolution of the peaks of stevioside, rebaudioside A, rebaudioside C and dulcoside A. The retention time of rebaudioside A, stevioside, rebaudioside C, and dulcoside are 6.70 min., 7.13 min., 8.38 min. and 8.97 min., respectively. The resolution of rebaudioside A and stevioside was 1.89. The resolution between stevioside and rebaudioside C was found to be 6.51 and between rebaudioside C and dulcoside A was 2.82. Therefore, the resolution among peaks met the requirements (R>1.5) for separation according to ICH Guideline. Injection of other plant extracts used as placebo resulted in no peaks at the retention time of the four steviol glycoside. Fig. 2 presents the typical chromatogram of samples, indicating that the peaks of rebaudioside A, stevioside, rebaudioside C and dulcoside A not interfered.

Fig. 2: Chromatogram of extract of Stevia rebaudiana obtained using HPLC-ELSD with mobile of acetonitrile: water 35: 65 (1 = rebaudioside A, 2 = stevioside, 3 = rebaudioside C, and 4 =dulcoside A)
Linearity and range
The calibration with the external standard was performed at five different concentration levels. i.e. between 20.2 and 60.6 mg/l for rebaudioside A, and between 8.6 and 34.4 mg/l for stevioside; whilst the concentration levels for rebaudioside C and Dulcoside A was ranging from 20.2 to 60.6 mg/l and from 18.6 to58.8 mg/l, respectively. The peak area data by their respective concentration levels are summarized in table 1. The linearity was evaluated by linear least square regression, resulting the linear regression equation (y = ax+b) and the coefficient correlation (r) as shown in fig. 3-6.

Fig. 3: Linearity of rebaudioside A
LOD and LOQ
The sensitivity of the method was determined with regard to the limit of detection (LOD) and the limit of quantification (LOQ) by comparing the height of a sample peak and the height of a noise peak. The limit of detection is reached at a signal-to-noise ratio greater than three; the limit of quantification is reached at a signal-to-noise ratio greater than ten (ICH 2005). The LOD of the method was found to be 2.98 mg/l (rebaudioside A), 1.31 mg/l (stevioside), 2.69 mg/l (rebaudioside C) and 1.39 mg/l (dulcoside A). The LOQ of the method for rebaudioside A, Stevioside, rebaudioside and dulcoside A was 9.04 mg/l, 3.91 mg/l, 8.15 mg/l and 4.21 mg/l, respectively.
Table 1: Linearity data of rebaudioside a, stevioside, rebaudioside C and dulcoside A
Rebaudio side A (mg/l) |
Peak area (mV) |
Stevio side (mg/l) |
Peak area (mV) |
Rebaudio side C (mg/l) |
Peak area (mV) |
Dulco side A (mg/l) |
Peak area (mV) |
| 20.2 | 191.38 | 8.6 | 52.79 | 20.2 | 52.8 | 18.6 | 54.29 |
| 30.3 | 339.68 | 17.2 | 132.03 | 30.3 | 95.1 | 27.9 | 94.69 |
| 40.4 | 497.13 | 25.8 | 228.07 | 40.4 | 145.47 | 37.2 | 139.77 |
| 50.5 | 654.07 | 34.4 | 312.85 | 50.5 | 202.53 | 46.5 | 179.25 |
| 60.6 | 765.04 | 43 | 406.64 | 60.6 | 254.34 | 58.8 | 230.09 |

Fig. 4: Linearity of stevioside
Accuracy
The accuracy of the method was tested by measuring the recovery test of three different concentration levels of standard addition. Each solution was analyzed in triplicate. The percentage recoveries±SD of rebaudioside A, stevioside, rebaudioside C and dulcoside A was 101.04±1.21%; 98.48±0.42%; 99.95±0.82% and 98.97±1.14%.

Fig. 5: Linearity of rebaudioside C

Fig. 6: Linearity of dulcoside A
Precision
The precision of the method with intra-day precision and inter-day precision were studied. The intra-day precision, also called repeatability, shows the precision of the proposed method under the same operating conditions during a day and is expressed in % RSD. The method precision resulted from this study are blow 2% for all analytes. Table 2 summarized the results of the method validation study.
Sample analysis
The proposed validated HPLC-ELSD method was applied for detection and quantification of steviol glycosides in samples of Stevia rebaudiana powder. From the retention time of the sample chromatogram, it is concluded that the sample contains stevioside, rebaudioside A, rebaudioside C and dulcoside A with concentrations presented in table 3.
The HPLC-ELSD method developed and validated in this study was successfully applied for the analysis of stevioside, rebaudioside A, rebaudioside C and dulcoside A contained in Stevia rebaudiana. The optimum condition was achieved by the use of Phenomenex Luna column 250 x 4.6 mm, 5 μm particle size with a mobile phase of acetonitrile: water (35: 65) in the elution of isocratic system. Validation of the method indicated that the method has metal. l the acceptance criteria of method validation parameter according to ICH Guidelines: precision (RSD<2%), Correlation coefficient (r)>0.997, resolution (R)>1.5), and percentage (recovery between 98 and 102%.
Table 2: Result of method validation study
| No | Steviol glycosides | Resolution (R) |
Correlation coefficient (r) | LOD mg/l | LOQ mg/l | Precision RSD (%) | Accuracy recovery mean±SD (%) |
| 1 | Rebaudioside A | - | 0.998 | 2.98 | 9.04 | 0.02 | 101.04±1.21 |
| 2 | Stevioside | 1.89 | 0.999 | 1.31 | 3.91 | 0.01 | 98.48±0.42 |
| 3 | Rebaudioside C | 6.51 | 0.999 | 2.69 | 8.15 | 0.01 | 99.95±0.82 |
| 4 | Dulcoside A | 2.82 | 0.999 | 1.39 | 4.21 | 0.06 | 98.97±1.14 |
Table 3: Concentrations of steviol glycosides in Stevia rebaudiana powder
| S. No. | Names of steviol glycosides | Concentrations mean±SD(%), n=6 |
| 1 | Rebaudioside A | 1.00±0.01 |
| 2 | Stevioside | 13.95±0.02 |
| 3 | Rebaudioside C | 0.56±0.02 |
| 4 | Dulcoside A | 0.50±0.02 |
The results show that the proposed method is specific, accurate and precise as shown by the good recovery and relative standard deviation (RSD) values. Using ELSD as a detector for HPLC in the present work provided advantages for the detection of non-chromophoric compounds, such as stevioside, rebaudioside A, rebaudioside C and dulcoside A. The utilization of ELSD for HPLC does not depend on either the wavelength of the analytes or UV cut-off the mobile phase solvents. Compared to the results of the study by means of HPLC-UV [12, 15], the chromatogram resulted by HPLC-ELSD give the more sensitive and symmetrical peaks with better resolution.
CONCLUSION
The proposed method of HPLC-ELSD is simple and sensitive for the detection and determination of stevioside, rebaudioside A, rebaudioside C and dulcoside A contained in Stevia rebaudiana. The statistical analysis of the method validation study proves the HPLC-ELSD method is repeatable, specific and accurate for the analysis Stevia rebaudiana products.
CONFLICT OF INTERESTS
Declared none
REFERENCES
How to cite this article