Int J Pharm Pharm Sci, Vol 8, Issue 7, 176-182Original Article


SYNTHESIS, SPECTRAL CHARACTERIZATION AND ANTIMICROBIAL ACTIVITY OF NOVEL 2-HYDRAZONO-2(3H)-THIAZOLE DERIVATIVES DERIVED FROM 4-(3-CHLOROPHENYL)-3-THIOSEMICARBAZIDE

EL SAYED RAMADAN*

Department of Chemistry, Faculty of Science, Alexandria University, Alexandria 21524, Egypt
Email: elsayedramadan2008@yahoo.com     

 Received: 22 Jan 2016 Revised and Accepted: 17 May 2016


ABSTRACT

Objective: A series of substituted 2-hydrazono-2(3H)-thiazole derivatives were synthesized from 4-(3-chlorophenyl)-3-thiosemicarbazide andevaluated in vitrofor antimicrobial activity against Escherichia coli, Candida albicans, Pseudomonas aeruginosa, Bacillus subtilis and Staphyllococcus aureus.

Methods: 4-(3-Chlorophenyl)-3-thiosemicarbazones were synthesized and allowed to react with 2,4′-dibromoacetophenone to give 2-hydrazono-2(3H)-thiazoles in excellent yields.The synthesized compounds were characterized by spectroscopic methods as well as elemental analyses. They were screened for their antimicrobial activity by using the agar diffusion method.

Results: The antimicrobial data suggested that all compounds showed significant activity against E. coli and C. albicans compared to the standard drug. Only 7b and 7d exhibited moderate activity against P. aeruginosa.

Conclusion: Compounds bearing a substituted phenyl or indolyl group at the hydrazone moiety have considerable antimicrobial activity than those with a cycloalkyl group.

Keywords: 2,3-Dihydrothiazole, 4-(3-Chlorophenyl)-3-thiosemicarbazide, Antimicrobial activity


INTRODUCTION

The synthesis of thiazole derivatives has attracted considerable attention from organic and medicinal chemists for many years as a large number of natural and synthetic products contain such heterocyclic nucleus, such as vitamin B1 (thiamin), sulfathiazole, epothilone, ritonavir, abafungin and tiazofurin [1, 2]. Different thiazole bearing compounds are known to possess many biological activities such as anti-inflammatory [3], antibacterial [4], antifungal [5], herbicidal and insecticidal activity [6]. Moreover, 2-hydrazonothiazoles have also attracted increasing attention due to their numerous biological activities against E. coli, P. aeruginosa, Aspergillus flavus, S. aureus, B. subtilis, Penicillium marneffei, Trichophyton mentagrophytes, Aspergillus fumigatus, Aspergillus niger, C. albicans, Cryptococcus neoformans [7-10], Mycobacterium tuberculosis [11], plasmodium falciparum [12], Trypanosoma cruzi [13], recombinant histone acetyltransferases [14], human recombinant monamine oxidase B [15] and carcinoma cell lines [16]. 2-[(2,4-Diaryl-3-azabicyclo[3.3.1]nonan-9-ylidene)hydrazono]-4-phenyl-2,3-dihydrothiazoles were also found to show antibacterial and antifungal activities against some selected microorganisms [17]. In continuation of our work on 2-thiazolylhydrazones [18], we report herein the synthesis, characterization and antimicrobial activity of some 2-hydrazono-2(3H)-thiazole derivatives.

MATERIALS AND METHODS

Starting chemicals and reagents used in this study were purchased from Sigma-Aldrich. Melting points were determined on a Mel-Temp apparatus and are uncorrected. Mass spectra were recorded using an Electron Impact (EI) mode on a Shimadzu Qp-2010 GCMS apparatus operating at an electron ionizing energy of 70 eV. TLC was performed on 0.25 mm aluminum silica gel plates (60 F254, Fluka) using ethyl acetate: petroleum ether (2:3) and ethyl acetate: methylene chloride (4:1) as eluents; the spots were detected by using UV light absorption. FT-IR spectra were measured on a Bruker Tensor 37 FT-IR spectrometer. 1H NMR spectra were recorded on a JEOL JNM ECA-500 MHz spectrometer at 500 MHz spectrometer. The chemical shifts are reported in δ units and coupling constants (J) are given in hertz. Microanalyses were performed on an elementar vario EL III element analyzer in Cairo University and elementar vario MICRO cube in Advanced Technology and New Materials Research Institute Laboratories, City of Scientific Research and Technological Applications, Alexandria, Egypt. Antimicrobial tests were measured at the Pharmaceutical Microbiology Department, Faculty of Pharmacy, Alexandria University.

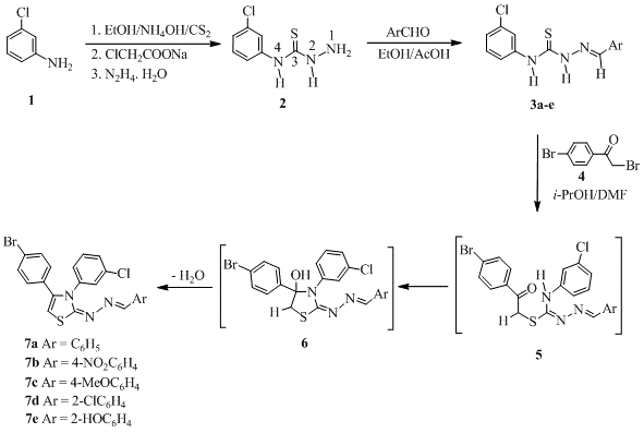
Synthesis of 4-(3-chlorophenyl)-3-thiosemicarbazide (2)

To a solution of 3-chloroaniline (1) (31.89 g, 0.25 mol) in ethanol (50 ml) was slowly added 40 ml of concentrated ammonium hydroxide (sp. gr. 0.91). The reaction mixture was cooled below 30 °C and carbon disulphide (15 ml) was added dropwise during a period of 15 min. After one hour, an aqueous solution of sodium salt of monochloroacetic acid (0.25 mol) was added to the reaction mixture and this was followed by the addition of hydrazine hydrate (0.25 mol, 80%). The mixture was cooled overnight in a refrigerator and the crude thiosemicarbazide which separated out was filtered and recrystallized from ethanol. White crystals, 84% yield, m. p.: 118-120 °C; IR (KBr) νmax (cm-1): 3331.96, 3279.59, 3195.80, 1630.62, 1590.72, 1522.94, 1487.31, 1253.81, 1210.92, 1066.11, 966.14; 1H NMR (500 MHz, DMSO-d6) (δppm): 4.85 (brs, 2H, D2O-exchang., NH2), 6.94 (d, J=6.9Hz, 1H, Ar-H), 7.26 (t, J=7.65Hz, 1H, Ar-H), 7.53 (d, J=6.9Hz, 1H, Ar-H), 7.96 (s, 1H, Ar-H), 9.26 (s, 2H, D2O-exchang., NH2).

Synthesis of 4-(3-chlorophenyl)-3-thiosemicarbazones (3a-e, 8 and 11): General procedure

4-(3-Chlorophenyl)-3-thiosemicarbazide (2) (2.01 g, 10 mmol) in absolute ethanol (30 ml) and glacial acetic acid (1.0 ml) was warmed on a steam bath to a clear solution and added to an aldehyde or ketone (10 mmol) in absolute ethanol (20 ml). The reaction mixture was heated under reflux for 1 h and the product that separated out on cooling was filtered, washed with a little ethanol and dried. It was recrystallized from ethanol to give the title compounds.

1-Phenylmethylidene-4-(3-chlorophenyl)-3-thiosemicarbazide (3a)

White plates, 78% yield, m. p.: 144-146 °C; IR (KBr) νmax (cm-1): 3325.62, 3294.44, 3161.46, 2935.39, 1587.25, 1538.12, 1424.18, 1258.66, 1198.15; 1H NMR (500 MHz, DMSO-d6) (δppm): 7.22, 7.23 (dd, J=7.6, 1.5Hz, 1H, Ar-H), 7.36 (t, J=8.4Hz, 1H, Ar-H), 7.39-7.41 (m, 3H, Ar-H), 7.56 (d, J=8.4Hz, 1H, Ar-H), 7.72 (t, J=1.5Hz, 1H, Ar-H), 7.86, 7.87 (dd, J=7.6, 2.3Hz, 2H, Ar-H), 8.13 (s, 1H, CH=N), 10.15 (s, 1H, D2O-exchang., NH-Ar), 11.93 (s, 1H, D2O-exchang., NH-CS); MS (m/z): 291.05 [16.16%] [M++2], 289.05 [43.64%] [M+]; Anal. Calcd for C14H12ClN3S: C, 58.03; H, 4.17; N, 14.50. Found: C, 58.30; H, 4.46; N, 14.51%.

1-(4-Nitrophenylmethylidene)-4-(3-chlorophenyl)-3-thiosemi-carbazide (3b)

Yellow crystals, 86% yield, m. p.: 228-230 °C; IR (KBr) νmax (cm-1): 3340.99, 3307.06, 3134.14, 2982.97, 1587.62, 1544.32, 1429.19, 1337.55, 1251.60, 1187.19; 1H NMR (500 MHz, DMSO-d6) (δppm): 7.25, 7.26 (dd, J=8.4, 1.55Hz, 1H, Ar-H), 7.38 (t, J=8.4Hz, 1H, Ar-H), 7.53 (d, J=8.4Hz, 1H, Ar-H), 7.68 (t, J=1.55Hz, 1H, Ar-H), 8.15 (d, J=9.15Hz, 2H, Ar-H), 8.21 (s, 1H, CH=N), 8.23 (d, J=9.15Hz, 2H, Ar-H), 10.34 (s, 1H, D2O-exchang., NH-Ar), 12.19 (s, 1H, D2O-exchang., NH-CS); MS (m/z): 336.05 [6.08%] [M++2], 334.00 [20.89%] [M+]; Anal. Calcd for C14H11ClN4O2S: C, 50.23; H, 3.31; N, 16.74. Found: C, 50.53; H, 3.12; N, 16.83%.

1-(4-Methoxyphenylmethylidene)-4-(3-chlorophenyl)-3-thio-semicarbazide (3c)

Pale yellow plates, 80% yield, m. p.: 166-168 °C; IR (KBr) νmax (cm-1): 3325.19, 3148.98, 3016.60, 2923.61, 1605.01, 1546.05, 1417.96, 1248.59, 1199.54, 1164.33, 1070.84; 1H NMR (500 MHz, DMSO-d6) (δppm): 3.77 (s, 3H, OCH3), 6.94 (d, J=9.15Hz, 2H, Ar-H), 7.21, 7.22 (dd, J=9.15, 1.55Hz, 1H, Ar-H), 7.35 (t, J=8.4Hz, 1H, Ar-H), 7.56 (d, J=8.4Hz, 1H, Ar-H), 7.73 (s, 1H, Ar-H), 7.81 (d, J=8.4Hz, 2H, Ar-H), 8.08 (s, 1H, CH=N), 10.08 (s, 1H, D2O-exchang., NH-Ar), 11.82 (s, 1H, D2O-exchang., NH-CS); MS (m/z): 321.05 [8.09%] [M++2], 319.05 [24.94%] [M+]; Anal. Calcd for C15H14ClN3OS: C, 56.33; H, 4.41; N, 13.14. Found: C, 56.57; H, 4.36; N, 13.01%.

1-(2-Chlorophenylmethylidene)-4-(3-chlorophenyl)-3-thio-semicarbazide (3d)

Yellow crystals, 83% yield, m. p.: 192-194 °C; IR (KBr) νmax (cm-1): 3300.58, 3222.80, 3097.35, 2990.48, 1589.97, 1541.66, 1420.48, 1251.66, 1186.07; 1H NMR (500 MHz, DMSO-d6) (δppm): 7.23 (d, J=7.65Hz, 1H, Ar-H), 7.35-7.41 (m, 3H, Ar-H), 7.46 (d, J=7.65Hz, 1H, Ar-H), 7.54 (d, J=8.4Hz, 1H, Ar-H), 7.70 (s, 1H, Ar-H), 8.41 (d, J=6.9Hz, 1H, Ar-H), 8.57 (s, 1H, CH=N), 10.23 (s, 1H, D2O-exchang., NH-Ar), 12.10 (s, 1H, D2O-exchang., NH-CS); MS (m/z): 326.95 [5.38%] [M++4], 325.00 [23.09%] [M++2], 323.00 [32.08%] [M+]; Anal. Calcd for C14H11Cl2N3S: C, 51.86; H, 3.42; N, 12.96. Found: C, 52.00; H, 3.56; N, 13.07%.

(E/Z)-1-(2-Hydroxyphenylmethylidene)-4-(3-chlorophenyl)-3-thiosemicarbazide (3e)

White plates, 79% yield, m. p.:176-178 °C; IR (KBr) νmax (cm-1): 3386.61, 3140.91, 2987.50, 1616.91, 1591.62, 1543.97, 1426.31, 1274.06, 1210.14, 1154.97, 1082.55; 1H NMR (500 MHz, DMSO-d6) (δppm): [6.81 (t, J=6.85Hz, Ar-H), 6.84 (d, J=7.65Hz, Ar-H), 6.92-6.95 (m, Ar-H), 7.19-7.22 (m, Ar-H), 7.33-7.36 (m, Ar-H), 7.55 (d, J=8.4Hz, Ar-H), 7.65, 7.67 (dd, J=7.65, 1.5Hz, Ar-H), 7.73 (t, J=1.5Hz, Ar-H), 8.05 (d, J=6.9Hz, Ar-H), the total integral of Ar-H=8H], 8.46 (s, 0.71H, CH=N), 8.97 (s, 0.29H, CH=N), 9.98 (s, 0.71H, D2O-exchang., OH), 11.10 (s, 0.29H, D2O-exchang., OH), 10.08 (s, 1H, D2O-exchang., NH-Ar), 11.86 (s, 1H, D2O-exchang., NH-CS); MS (m/z): 307.00 [19.12%] [M++2], 305.00 [52.79%] [M+].

1-Cyclopentylidene-4-(3-chlorophenyl)-3-thiosemicarbazide (8)

White crystals, 76% yield, m. p.: 152-154 °C; IR (KBr) νmax (cm-1): 3311.45, 3172.21, 2953.46, 2878.85, 1586.87, 1518.46, 1416.31, 1272.07, 1193.94; 1H NMR (500 MHz, DMSO-d6) (δppm): 1.66 (quintet, J=6.85Hz, 2H, -CH2CH2CH2CH2-), 1.74 (quintet, J=6.85Hz, 2H,-CH2CH2CH2CH2-), 2.37 (t, J=7.65Hz, 2H, -CH2CH2CH2CH2-), 2.41 (t, J=7.65Hz, 2H, -CH2CH2-CH2CH2-), 7.15, 7.16 (dd, J=8.4, 2.3Hz, 1H, Ar-H), 7.30 (t, J=8.4Hz, 1H, Ar-H), 7.51 (d, J=7.65Hz, 1H, Ar-H), 7.79 (t, J=2.3Hz, 1H, Ar-H), 9.89 (s, 1H, D2O-exchang., NH-Ar), 10.36 (s, 1H, D2O-exchang., NH-CS); MS (m/z): 269.05 [8.54%] [M++2], 267.05 [22.75%] [M+]; Anal. Calcd for C12H14ClN3S: C, 53.82; H, 5.27; N, 15.69. Found: C, 53.75; H, 5.01; N, 15.60%.

1H-Indole-2, 3-dione-3-N-(3'-chlorophenyl)thiosemicarbazone (11)

Yellow solid, 87% yield, m. p.: 234-236 °C; IR (KBr) νmax (cm-1): 3314.61, 3184.97, 1691.71, 1620.79, 1588.24, 1528.23, 1464.48, 1426.49, 1168.81; 1H NMR (500 MHz, DMSO-d6) (δppm): 6.90 (d, J=7.65Hz, 1H, Ar-H), 7.08 (t, J=6.85Hz, 1H, Ar-H), 7.29, 7.30 (dd, J=8.4, 1.55Hz, 1H, Ar-H), 7.34 (t, J=7.65Hz, 1H, Ar-H), 7.41 (t, J=8.4Hz, 1H, Ar-H), 7.59, 7.61 (dd, J=9.15, 1.5Hz, 1H, Ar-H), 7.74 (d, J=7.65Hz, 1H, Ar-H), 7.75 (t, J=2.3Hz, 1H, Ar-H), 10.84 (s, 1H, D2O-exchang., NH), 11.25 (s, 1H, D2O-exchang., NH), 12.82 (s, 1H, D2O-exchang., NH); MS (m/z): 331.95 [10.54%] [M++2], 330.00 [27.74%] [M+]; Anal. Calcd for C15H11ClN4OS: C, 54.46; H, 3.35; N, 16.94. Found: C, 54.64; H, 3.36; N, 16.91%.

Synthesis of 2-hydrazono-2,3-dihydrothiazoles (7a-e, 9 and 12): General procedure

A solution of 3a-e, 8 or 11 (10 mmol) in iso-propyl alcohol (25 ml) and N,N-dimethylformamide (2.0 ml) was treated with the solution of 4 (2.78 g, 10 mmol) in iso-propyl alcohol (25 ml) and the reaction mixture was heated under reflux for 2 h and left to cool to room temperature, the reaction progress was monitored by TLC using ethyl acetate: methylene chloride (4:1 v/v). The separated product was filtered, washed twice with saturated solution of NaHCO3 (30 ml) and recrystallized from a mixture of ethanol and N,N-dimethylformamide.

4-(4-Bromophenyl)-3-(3-chlorophenyl)-2-(phenylmethylidene-hydrazono)-2(3H)-thiazole (7a)

Yellow crystals, 81% yield, m. p.: 232-234 °C; IR (KBr) νmax (cm-1): 3116.39, 3055.36, 2922.82, 1602.15, 1578.66, 1340.79; 1H NMR (500 MHz, DMSO-d6) (δppm): 6.69 (s, 1H, C5-H of 2(3H)-thiazole ring), 7.11 (d, J=8.4Hz, 2H, Ar-H), 7.16, 7.17 (tt, J=8.4, 2.3Hz, 1H, Ar-H), 7.32-7.39 (m, 5H, Ar-H), 7.44 (d, J=8.4Hz, 2H, Ar-H), 7.51 (s, 1H, Ar-H), 7.65 (d, J=6.9Hz, 2H, Ar-H), 8.17 (s, 1H, CH=N); MS (m/z): 470.95 [30.98%] [M++4], 468.95 [100.00%] [M++2], 467.00 [72.58%] [M+]; Anal. Calcd for C22H15BrClN3S: C, 56.36; H, 3.23; N, 8.96. Found: C, 56.63; H, 3.22; N, 8.76%.

4-(4-Bromophenyl)-3-(3-chlorophenyl)-2-(4-nitrophenyl-methylidenehydrazono)-2(3H)-thiazole (7b)

Orange crystals, 85% yield, m. p.: 240-242 °C; IR (KBr) νmax (cm-1): 3108.93, 1588.62, 1497.52, 1335.23; 1H NMR (500 MHz, DMSO-d6) (δppm): 6.79 (s, 1H, C5-H of 2(3H)-thiazole ring), 7.12 (d, J=8.4Hz, 2H, Ar-H), 7.19, 7.20 (dd, J=6.85, 1.5Hz, 1H, Ar-H), 7.35-7.40 (m, 2H, Ar-H), 7.46 (d, J=8.4Hz, 2H, Ar-H), 7.54 (s, 1H, Ar-H), 7.87 (d, J=9.15Hz, 2H, Ar-H), 8.22 (d, J=9.15Hz, 2H, Ar-H), 8.28 (s, 1H, CH=N); MS (m/z): 515.95 [29.92%] [M++4], 514.00 [100.00%] [M++2], 512.00 [73.29%] [M+]; Anal. Calcd for C22H14BrClN4O2S: C, 51.43; H, 2.75; N, 10.90. Found: C, 51.35; H, 3.16; N, 10.73%.

4-(4-Bromophenyl)-3-(3-chlorophenyl)-2-(4-methoxyphenyl- methylidenehydrazono)-2(3H)-thiazole (7c)

Pale yellow crystals, 82% yield, m. p.: 218-220 °C; IR (KBr) νmax (cm-1): 3113.08, 3062.84, 2998.49, 2963.23, 1604.30, 1521.50, 1341.76, 1250.99, 1162.84, 1070.28; 1H NMR (500 MHz, DMSO-d6) (δppm): 3.75 (s, 3H, OCH3), 6.65 (s, 1H, C5-H of 2(3H)-thiazole ring), 6.93 (d, J=8.4Hz, 2H, Ar-H), 7.10 (d, J=8.4Hz, 2H, Ar-H), 7.14, 7.15 (dd, J=6.5, 1.5Hz, 1H, Ar-H), 7.32-7.35 (m, 2H, Ar-H), 7.43 (d, J=8.4Hz, 2H, Ar-H), 7.48 (s, 1H, Ar-H), 7.59 (d, J=8.4Hz, 2H, Ar-H), 8.10 (s, 1H, CH=N); MS (m/z): 501.00 [32.16%] [M++4], 499.00 [100.00%] [M++2], 497.00 [75.17%] [M+]; Anal. Calcd for C23H17BrClN3OS: C, 55.38; H, 3.44; N, 8.42. Found: C, 55.22; H, 3.68; N, 8.11%.

4-(4-Bromophenyl)-2-(2-chlorophenylmethylidenehydrazono)-3-(3-chlorophenyl)-2(3H)-thiazole (7d)

Yellow crystals, 84% yield, m. p.: 246-248 °C; IR (KBr) νmax (cm-1): 3112.46, 3062.72, 1595.28, 1557.64, 1340.03; 1H NMR (500 MHz, DMSO-d6) (δppm): 6.73 (s, 1H, C5-H of 2(3H)-thiazole ring), 7.10 (d, J=8.4Hz, 2H, Ar-H), 7.20 (d, J=6.9Hz, 1H, Ar-H), 7.37-7.38 (m, 4H, Ar-H), 7.44-7.50 (m, 4H, Ar-H), 7.94 (s, 1H, Ar-H), 8.33 (s, 1H, CH=N); MS (m/z): 506.90 [5.06%] [M++6], 504.90 [27.16%] [M++4], 502.90 [53.75%] [M++2], 500.90 [31.24%] [M+]; Anal. Calcd for C22H14BrCl2N3S: C, 52.51; H, 2.80; N, 8.35. Found: C, 52.49; H, 2.49; N, 8.04%.

4-(4-Bromophenyl)-3-(3-chlorophenyl)-2-(2-hydroxyphenyl-methylidenehydrazono)-2(3H)-thiazole (7e)

Pale yellow crystals, 80% yield, m. p.: 224-226 °C; IR (KBr) νmax (cm-1): 3440.24, 3108.74, 1604.74, 1577.05, 1521.39, 1340.11, 1266.92, 1073.89; 1H NMR (500 MHz, DMSO-d6) (δppm): 6.73 (s, 1H, C5-H of 2(3H)-thiazole ring), 6.86 (t, J=6.85Hz, 1H, Ar-H), 6.88 (d, J=8.4Hz, 1H, Ar-H), 7.12 (d, J=8.4Hz, 2H, Ar-H), 7.19-7.23 (m, 2H, Ar-H), 7.34-7.37 (m, 2H, Ar-H), 7.41, 7.43 (dd, J=8.4, 2.3Hz, 1H, Ar-H), 7.44 (d, J=8.4Hz, 2H, Ar-H), 7.54 (t, J=2.3Hz, 1H, Ar-H), 8.41 (s, 1H, CH=N), 11.02 (brs, 1H, OH); MS (m/z): 486.90 [30.97%] [M++4], 484.90 [100.00%] [M++2], 482.95 [74.68%] [M+]; Anal. Calcd for C22H15BrClN3OS: C, 54.50; H, 3.12; N, 8.67. Found: C, 54.17; H, 3.14; N, 8.40%.

4-(4-Bromophenyl)-3-(3-chlorophenyl)-2-(cyclopentylidene-hydrazono)-2(3H)-thiazole (9)

Pale yellow crystals, 78% yield, m. p.: 180-182 °C; IR (KBr) νmax (cm-1): 3113.46, 3072.44, 2959.95, 2874.58, 1637.92, 1587.17, 1550.95, 1349.43; 1H NMR (500 MHz, DMSO-d6) (δppm): 1.57-1.62 (m, 4H,-CH2CH2CH2CH2-), 2.17 (t, J=6.9Hz, 2H, -CH2CH2CH2CH2-), 2.29 (t, J=6.9Hz, 2H, -CH2CH2CH2CH2-), 6.56 (s, 1H, C5-H of 2(3H)-thiazole ring), 7.04-7.05 (m, 1H, Ar-H), 7.07 (d, J=8.4Hz, 2H, Ar-H), 7.29 (d, J=6.1Hz, 2H, Ar-H), 7.41 (s, 1H, Ar-H), 7.42 (d, J=8.4Hz, 2H, Ar-H); MS (m/z): 448.95 [30.60%] [M++4], 446.95 [100.00%] [M++2], 444.95 [74.64%] [M+]; Anal. Calcd for C20H17BrClN3S: C, 53.76; H, 3.84; N, 9.40. Found: C, 53.55; H, 3.87; N, 9.13%.

3-[4-(4-Bromophenyl)-3-(3-chlorophenyl)-thiazol-2(3H)-ylide-nehydrazono]indolin-2-one (12)

Orange plates, 82% yield, m. p.: 262-264 °C; IR (KBr) νmax (cm-1): 3171.98, 3102.93, 3067.59, 1703.10, 1614.76, 1588.96, 1333.26; 1H NMR (500 MHz, DMSO-d6) (δppm): 6.71 (t, J=6.85Hz, 1H, Ar-H), 6.75 (d, J=7.65Hz, 1H, Ar-H), 7.02 (s, 1H, C5-H of 2(3H)-thiazole ring), 7.15 (t, J=7.65Hz, 1H, Ar-H), 7.19 (d, J=7.65 Hz, 3H, Ar-H), 7.41 (t, J=7.65Hz, 1H, Ar-H), 7.49 (d, J=8.4Hz, 4H, Ar-H), 7.78 (t, J=2.3Hz, 1H, Ar-H), 10.49 (s, 1H, NH); MS (m/z): 511.85 [29.48%] [M++4], 509.90 [100.00%] [M++2], 507.90 [70.02%] [M+]; Anal. Calcd for C23H14BrClN4OS: C, 54.19; H, 2.77; N, 10.99. Found: C, 54.09; H, 2.80; N, 11.24%.

Synthesis of 1-acetyl-3-[(4-(4-bromophenyl)-3-(3-chlorophenyl) -thiazol-2(3H)-ylidenehydrazono]indolin-2-one (13)

A cold suspension of compound 12 (0.76 g, 1.5 mmol) in dry pyridine (10 ml) was treated with acetic anhydride (10 ml) and the mixture was kept for 24 h at room temperature. It was poured onto crushed ice and the product was filtered off, repeatedly washed with water, dried and recrystallized from ethanol as red crystals. 78% Yield, m. p.: 292-294 °C; IR (KBr) νmax (cm-1): 3102.66, 3070.88, 1744.12, 1711.19, 1590.42, 1337.51; 1H NMR (500 MHz, DMSO-d6) (δppm): 2.56 (s, 3H, N-COCH3), 6.96 (t, J=7.65Hz, 1H, Ar-H), 7.13 (s, 1H, C5-H of 2(3H)-thiazole ring), 7.19 (d, J=8.4Hz, 2H, Ar-H), 7.24 (d, J=8.4Hz, 1H, Ar-H), 7.29 (t, J=7.65Hz, 1H, Ar-H), 7.45 (t, J=8.4Hz, 1H, Ar-H), 7.50 (d, J=7.65Hz, 3H, Ar-H), 7.71 (d, J=7.65Hz, 1H, Ar-H), 7.78 (t, J=2.3Hz, 1H, Ar-H), 8.09 (d, J=7.65Hz, 1H, Ar-H); MS (m/z): 553.90 [31.03%] [M++4], 551.95 [100.00%] [M++2], 549.95 [71.30%] [M+]; Anal. Calcd for C25H16BrClN4O2S: C, 54.41; H, 2.92; N, 10.15. Found: C, 54.62; H, 3.01; N, 10.16%.

Antibacterial and antifungal testing

The synthesized 2-hydrazono-2,3-dihydrothiazoles have been screened for in vitro antibacterial activity againstGram-positive bacteria B. subtilis (ATCC 19659), S. aureus (ATCC 6538P) and Gram-negative bacteria E. coli (ATCC 8739), P. aeruginosa (ATCC 9027) and antifungal activity against C. albicans (ATCC 2091) by an agar diffusion technique [19], using a 1 mg/1 ml solution in DMSO. Each tested organism was cultured in 3 ml of sterile nutrient broth and incubated for 18 h at 37 °C. Aseptically 0.4 ml was taken by a glass pipette from resultant microbial growth into 40 ml of warm agar in one sterile flask for each organism. The seeded agar was poured into sterile Petri dishes (~15 cm in diameter) onto a level surface to obtain a layer of about 4 mm thickness and the plates were then left to solidify. Cups of 8 mm in diameter were made by a cork borer, the sample size for all the compounds was fixed at 65 µl and one cup filled by DMSO as a control. The plates were then incubated at 37 °C for 24 h. The diameter of each resultant growth inhibition zone (IZ in mm) was accurately measured in three different directions, and its mean was calculated. Clotrimazole and ciprofloxacin were used as standard drugs.

RESULTS AND DISCUSSION

In this work, 4-(3-chlorophenyl)-3-thiosemicarbazide (2) was prepared in one-pot in 84% yield via a multicomponent coupling reaction of 3-chloroaniline (1), aqueous ammonia, carbon disulfide, sodium 2-chloroacetate and hydrazine hydrate in ethanol at room temperature (scheme 1). A series of 1-arylmethylidene-4-(3-chlorophenyl)-3-thiosemicarbazides (3a-e) were synthesized in 78-86% yields by condensing 2 with benzaldehyde, 4-nitro-benzaldehyde, 4-methoxybenzaldehyde, 2-chlorobenzaldehyde and 2-hydroxybenzaldehyde in absolute ethanol in the presence of a catalytic amount of glacial acetic acid. Their FT-IR spectra showed absorption bands at 3140.91-3386.61 cm-1characteristic for the NH stretching vibrations and 1538.12-1616.91 cm-1 due to the C=C and C=N groups. They also showed absorption bands in 1417.96-1429.19 cm-1 and 1186.07-1274.06 cm-1 due to N-CS-N and C=S stretching vibrations, respectively. No SH bands were found in these compounds in the region of 2500-2600 cm-1, the range in which the SH-stretching vibrations are most likely to appear. Thus clearly shows that there is no thiol-thione tautomerism of these compounds in the solid state. The 1H NMR spectra of thiosemicarbazones (3a-d) showed a sharp singlet at δ 8.08-8.57 ppm indicating the presence of azomethine proton (CH=N), whereas the NH-Ar and NH-CS protons appeared as two singlet peaks at δ 10.08-10.34 and 11.82-12.19 ppm, respectively [20].

The presence of ortho hydroxyl group with respect to the azomethine group of 1-(2-hydroxyphenylmethylidene)-4-(3-chlorophenyl)-3-thiosemicarbazide (3e) has been regarded as one of the important elements favoring the existence of intramolecular hydrogen bond and also the tautomerism accounting for the formation of either phenol-imine (HO…N) or keto-amine (O…. HN) tautomers (fig. 1). Such observations have been investigated in the solid state and in solution by using both IR and 1H NMR spectroscopic methods [21-23]. The IR spectrum of 3e showed a relatively strong band at 1616.91 cm-1 due to CH=N stretching as in Schiff bases having intramolecular hydrogen bonds between the nitrogen atom of azomethine group and ortho hydroxyl group [24-26]. Furthermore, the IR spectrum of 3e exhibited neither SH nor keto-amine C=O stretching frequencies, indicating the absence of thiol and keto-amine tautomers. According to 1H NMR spectrum an equilibrium mixture of two geometrical isomers (E and Z) have been observed in DMSO-d6, whereby the OH signal of E-isomer was broad and was found at δ 9.98 ppm confirming the existence of the phenol-imine (HO…. N) tautomer, while the OH signal of Z-isomer appeared as a sharp singlet at δ 11.10 ppm. The azomethine (CH=N) proton of the equilibrium mixture appeared as two singlet peaks at δ 8.46 and 8.97 ppm in a ratio of 2.7:1, accounting for the fact that the E-isomer was more favored and stable than the Z-configuration in a solution of DMSO. Moreover, no signals were observed for the HN-CH and HN-CH protons suggesting the absence of keto-amine (O…. HN) tautomer.

Cyclocondensation of compounds 3a-e with 2,4′-dibromo-acetophenone (4) was carried out in refluxing iso propyl alcohol and little N,N-dimethylformamide to give 2-arylidenehydrazono-4-(4-bromophenyl)-3-(3-chlorophenyl)-2(3H)-thiazoles (7a-e) as showed in scheme 2. The reaction was completed in 2 h and the yields of products ranged in 80-85%. The choice of our solvent let the reactants completely dissolved and the obtained reaction products precipitated upon cooling. The absence of any bands for the NH groups in their IR spectra and the presence of absorption bands at 1335.23-1341.76 cm-1 due to N-C-S bending vibrations provided confirmatory evidence for ring closure. The 1H NMR spectra of 7a-e showed a singlet at δ 6.65-6.79 ppm due to C5-H of the 2,3-dihydrothiazole ring and a singlet at δ 8.10-8.41 ppm corresponding to the azomethine proton. A suitable mechanism for the formation of 7 may involve initial nucleophilic attack of thiol sulfur atom of 3 to the sp3 carbon of 4 forming the S-phenacylacted intermediate 5, which underwent a nucleophilic attack by the lone pair of electrons of the nitrogen atom to the carbonyl carbon atom giving 6. Subsequent elimination of a water molecule afforded 7 [27, 28].

Scheme 1: Synthesis of 2-hydrazono-2,3dihydrathiazole derivatives 7a-e


Fig. 1:  Tautomerism and intramolecular hydrogen bonding of 3e 

Condensation of 2 with cyclopentanone afforded thiosemicarbazone 8, its cyclocondensation with 4 gave thiazole 9 (scheme 2). In its 1H NMR spectrum, the protons of the cyclopentyl ring residue appeared as two quintets at δ 1.66, 1.74 ppm (J=6.85Hz) and two triplets at δ 2.37, 2.41 ppm (J=7.65Hz) indicating that cyclopentyl ring may exist in solution in a puckered conformation.

Indole-2,3-dione-3-N-(3'-chlorophenyl) thiosemicarbazone (11) was obtained in 87% yield by refluxing of indole-2, 3-dione (10) with 2 in ethanol and a few drops of glacial acetic acid for 1 h. The presence of a low field N-H proton at δ 12.82 ppm in its 1H NMR spectrum indicated its existence in Z-configuration as a result of intramolecular hydrogen bonding between the ketonic oxygen at C-2 of indoline ring and hydrazine hydrogen at N-2 of hydrazone moiety [29]. It was cyclized with 4 to give thiazole 12 in good yield.

Acetylation of compound 12 with acetic anhydride in pyridine was carried out at room temperature to give the corresponding N-acetyl derivative 13, whose IR spectrum showed bands at 1744.12 and 1711.19 cm-1 due to C=O stretching vibrations of the indole ring and N-COCH3 group, respectively. The latter was also confirmed by the presence of a sharp singlet at δ 2.56 ppm corresponding to its methyl protons in the 1H NMR spectrum. The protons at C5 of the 2, 3-dihydrothiazole ring of 12 and 13 were observed as a singlet at δ 7.02 and 7.13 ppm, respectively.

Antimicrobial activity

The preliminary antimicrobial results of the synthesized thiazoles are listed in table 1. The results revealed that these compounds exhibited varying degrees of inhibition against the fungus C. albicans (ATCC 2091), Gram-negative bacteria E. coli (ATCC 8739) and P. aeruginosa (ATCC 9027) and Gram-positive bacteria B. subtilis (ATCC 19659) and S. aureus (ATCC 6538P). The hydrazones 7a-e, 12 and 13 showed good growth inhibition activity against C. albicans (IZ = 20-23 mm) and E. coli (IZ = 20-21 mm).

Alternatively, only 7b and 7d showed considerable activity against P. aeruginosa. In regard to structure, the most active compound against C. albicans was also 7d (IZ = 23 mm), carrying 4-chlorophenyl group on the hydrazone moiety. The indolines 12 and 13 showed equal activity (IZ = 20 mm) to that of 7a-c, while 9 having cyclopentyl group at the hydrazone part possesses activity to a lower extent (IZ = 17 mm). By contrast, no substantial difference of activity was found for the hydrazones 7a-e, 12 and 13 against E. coli (IZ = 20-21 mm), while 9 exhibited lower activity (IZ = 16 mm). All the tested compounds were found to be inactive against B. subtilis and S. aureus. Comparison of inhibitory activity of the synthesized compounds towards C. albicans with the previously reported 2-hydrazonothiazoles [18] is listed in table 2. The results showed that compounds 7a-d possessed strong inhibitory activity against C. albicans compared to the corresponding 2-hydrazonothiazole derivatives 14a-d. This observation suggested that the combination of the 2,3-dihydrothiazole ring with the 3-chlorophenyl substituent at N-3 of 7a-d enhanced their activity against the tested microorganism. Moreover, compounds 12 and 13 with indolyl group at the hydrazone moiety exhibited promising activity compared to the reference compounds 14a-d. However, the cyclopentyl derivative 9 showed activity higher than 14a-d but to a lower extent than 7a-d, 12 and 13.

Scheme 2: Synthesis of 2-hydrazono-2,3-dihydrathiazole with cycloalkyl and indolyl groups


Table 1: The mean* growth inhibition zones (IZ in mm) and % inhibition** of 2-hydrazono-2,3-dihydrothiazoles

 

C. albicans

E. coli

P. aeruginosa

B. subtilisS. aureus

Compd.

IZ

% inhibition

IZ

% inhibition

IZ

% inhibition

IZ

IZ

7a

20

41.17

21

23.33

9

---

9

9

7b

20

41.17

20

20.00

12

10.00

9

9

7c

20

41.17

20

20.00

9

---

9

9

7d

23

58.82

21

23.33

16

23.33

9

9

7e

20

41.17

21

23.33

9

---

9

9

9

17

23.52

16

6.66

9

---

9

9

12

20

41.17

20

20.00

9

---

9

9

13

20

41.17

20

20.00

9

---

9

9

DMSO

13

76.47

14

46.66

9

30.00

9

9

Clotrimazole

17

---

---

---

---

---

---

---

Ciprofloxacin                     ---

---

30

---

30

---

30

30

*The diameter of each resultant growth inhibition zone is accurately measured in three different directions (n = 3) and its mean was calculated; Errors are within ±%; ** % Inhibition = [(IZ of tested compound–IZ of DMSO) ̸ IZ of reference drug] × 100


Table 2: Comparison of activity towards C. albicans with the previously reported 2-hydrazonothiazoles

Compounds

Inhibition zone (IZ)                                % Inhibition

14a X = H

13 [18]

2.50

14b X = 4-NO2

12 [18]

0.00

14c X = 4-OCH3

12 [18]

0.00

14d X = 2-Cl

12 [18]

0.00

7a X = H

20

41.17

7b X = 4-NO2

20

41.17

7c X = 4-OCH3

20

41.17

7d X = 2-Cl

23

58.82

12 R = H

20

41.17

13 R = COCH3

20

41.17

9

17

23.52


CONCLUSION

Several substituted 2-hydrazono-2(3H)-thiazole derivatives were synthesized by reacting of 4-(3-chlorophenyl)-3-thiosemicarbazide with different aldehydes and ketones, followed by cyclization with 2, 4′-dibromoacetophenone in a second step. They were tested for antimicrobial activity against E. coli, C. albicans, P. aeruginosa, B. subtilis and S. aureus and showed good activity against E. coli and C. albicans.

CONFLICT OF INTERESTS

Declared none

REFERENCES

  1. Siddiqui N, Arshad MF, Ahsan W, Alam MS. Thiazoles: a valuable insight into the recent advances and biological activities. Int J Pharm Sci Drug Res 2009;1:136-43.
  2. Siddiqui N, Arya SK, Ahsan W, Azad B. Diverse biological activities of thiazoles: a retrospect. Int J Drug Dev Res 2011; 3:55-67.
  3. Kumar A, Rajput CS, Bhati SK. Synthesis of 3-[4'-(p-chlorophenyl)-thiazol-2'-yl]-2-[(substituted azetidinone/ thiazo-lidinone)-aminomethyl]-6-bromoquinazolin-4-ones as antiinflammatory agent. Bioorg Med Chem 2007;15:3089-96.
  4. Yamawaki K, Nomura T, Yasukata T, Tanimoto N, Uotani K, Miwa H, et al. A novel series of parenteral cephalosporins exhibiting potent activities against both Pseudomonas aeruginosa and other Gram-negative pathogens. Part 2: Synthesis and structure-activity relationships. Bioorg Med Chem 2008;16:1632-47.
  5. Narayana B, Vijaya Raj KK, Ashalatha BV, Kumari NS, Sarojini BK. Synthesis of some new 5-(2-substituted-1,3-thiazol-5-yl)-2-hydroxybenzamides and their 2-alkoxy derivatives as possible antifungal agents. Eur J Med Chem2004;39:867-72.
  6. Metzger JV. Thiazoles and their benzo derivatives. Katritzky AR, Rees CW. editors. Comprehensive Heterocyclic Chemistry. Pergamon, New York; 1984. p. 235-331.
  7. Karegoudar P, Karthikeyan MS, Prasad DJ, Mahalinga M, Holla BS, Kumari NS. Synthesis of some novel 2,4-disubstituted thiazoles as possible antimicrobial agents. Eur J Med Chem 2008;43:261-7.
  8. Maillard LT, Bertout S, Quinonero O, Akalin G, Turan-Zitouni G, Fulcrand P, et al. Synthesis and anti-Candida activity of novel 2-hydrazino-1,3-thiazole derivatives. Bioorg Med Chem Lett2013;23:1803-7.
  9. Bharti SK, Nath G, Tilak R, Singh SK. Synthesis, antibacterial and antifungal activities of some novel schiff bases containing 2,4-disubstituted triazole ring. Eur J Med Chem2010;45:651-60.
  10. Gaikwad ND, Patil SV, Bobade VD. Hybrids of ravuconazole: synthesis and biological evaluation. Eur J Med Chem 2012; 54:295-302.
  11. Makam P, Kankanala R, Prakash A, Kannan T. 2-(2-Hydrazinyl)thiazole derivatives: design, synthesis and in vitro antimycobacterial studies. Eur J Med Chem2013;69:564-76.
  12. Makam P, Thakur PK, Kannan T. In vitro and in silico antimalarial activity of 2-(2-hydrazinyl)thiazole derivatives. Eur J Pharm Sci 2014;52:138-45.
  13. Caputto ME, Ciccarelli A, Frank F, Moglioni AG, Moltrasio GY, Vega D, et al. Synthesis and biological evaluation of some novel 1-indanone thiazolylhydrazone derivatives as anti-Trypanosoma cruzi agents. Eur J Med Chem2012;55:155-63.
  14. Secci D, Carradori S, Bizzarri B, Bolasco A, Ballario P, Patramani Z, et al. Synthesis of a novel series of thiazole-based histone acetyltransferase inhibitors. Bioorg Med Chem2014;22:1680-9.
  15. Distinto S, Yanez M, Alcaro S, Cardia MC, Gaspari M, Sanna ML, et al. Synthesis and biological assessment of novel 2-thiazolylhydrazones and computational analysis of their recognition by monoamine oxidase B. Eur J Med Chem 2012; 48:284-95.
  16. Grozav A, Găină LI, Pileczki V, Crisan O, Silaghi-Dumitrescu L, Therrien B, et al. The synthesis and antiproliferative activities of new arylidene-hydrazinyl-thiazole derivatives. Int J Mol Sci 2014;15:22059-72.
  17. Ramachandran R, Parthiban P, Rani M, Jayanthi S, Kabilan S, Jeong YT.Synthesis, stereochemistry and in vitro antimicrobial evaluation of novel 2-[(2,4-diaryl-3-azabicyclo[3.3.1]nonan-9-ylidene)hydrazono]-4-phenyl-2,3-dihydrothiazoles. Bioorg Med Chem Lett 2011;21:6301-4.
  18. Ramadan E. Synthesis of biologically active [4-(4-bromophenyl)-2-thiazolyl]hydrazones and theirD-Galactosederivatives. Chin J Chem2010;28:594-600.
  19. Jain SR, Kar A. The antibacterial activity of some essential oil and their combinations. Planta Med 1971;20:118-23.
  20. De Aquino TM, Liesen AP, da Silva REA, Lima VT, Carvalho CS, de Faria AR, et al. Synthesis, anti-Toxoplasma gondii and antimicrobial activities of benzaldehyde 4-phenyl-3-thiosemicarbazones and 2-[(phenylmethylene)hydrazono]-4-oxo-3-phenyl-5-thiazolidineacetic acids. Bioorg Med Chem 2008;16:446-56.
  21. Novak P, Pičuljan K, Hrenar T, Smrečki V.Structure and hydrogen bonding interactions in methoxysalicylaldehyde thiosemicarbazone derivatives in solution by NMR and DFT methods. Croat Chem Acta 2009;82:477-83.
  22. Bilge S, Kilic Z, Hayvali Z, Hökelek T, Safran S. Intramolecular hydrogen bonding and tautomerism in Schiff bases: part VI. Syntheses and structural investigation of salicylaldimine and naphthaldimine derivatives. J Chem Sci 2009;121:989-1001.
  23. Novak P, Pičuljan K, Biljan T, Hrenar T, Cindric M, Rubcic M, et al. Deuterium isotope effects in 13C NMR spectra of intramolecularly hydrogen-bonded salicylaldehyde-4-phenyl-thiosemicarbazone. Croat Chem Acta 2007;80:575-81.
  24. Yildiz M, Kilic Z, Hökelek T. Intramolecular hydrogen bonding and tautomerism in Schiff bases. Part I. Structure of 1,8-di[N-2-oxyphenyl salicylidene]-3,6-dioxaoctane. J Mol Struct 1998; 441:1-10.
  25. Gavranic M, Kaitner B, Mestrovic E. Intramolecular N–H·O hydrogen bonding, quinoid effect, and partial π-electron delocalization in N-aryl Schiff bases of 2-hydroxy-1-naphthaldehyde: the crystal structures of planar N-(α-naphthyl)- and N-(β-naphthyl)-2-oxy-1-naphthaldimine. J Chem Crystallogr 1996;26:23-8.
  26. Freedman HH. Intramolecular H-Bonds. I. A spectroscopic study of the hydrogen bond between hydroxyl and nitrogen. J Am Chem Soc 1961;83:2900-5.
  27. Babadjamian A, Gallo R, Metzger J, Chanon M. Etude du mécanisme de la reaction de hantzsch des thiazoles. II. premiére étape: action des cétones-α halogénées sur les thioamides. J Heterocycl Chem 1976;13:1205-8.
  28. Suni MM, Nair VA, Joshua CP. Heterocyclization of 1-alkyl-2-thiobiureas with α-haloketones. Tetrahedron Lett 2001;42:97-9.
  29. Kohli E, Arora R, Kakkar R. Theoretical study of the stability of tautomers and conformers of isatin-3-thiosemicarbazone (IBT). Can Chem Trans 2:2014;327-42.