
Department of Pharmaceutical Chemistry, Delhi Institute of Pharmaceutical Sciences and Research, Sector-3, Pushp Vihar, M. B. Road, New Delhi 110017, India
Email: sharmaneetu11792@gmail.com
Received: 29 Mar 2016 Revised and Accepted: 20 May 2016
ABSTRACT
Cancer claims the second largest number of deaths across the globe every year. With the new addition and discoveries in the therapeutic area, there are also some serious challenges which come into play. These include the emergence of resistance, malignancy, relapses and some life-threatening adverse effects. These challenges further intensify the need to discover better alternatives. Thiosemicarbazones have been explored extensively against many resistant and non-resistant forms of cancer in vitro as well as in vivo. Chelation of iron and copper has been attributed to their activity as anticancer agents, but recent studies have revealed few more complex mechanisms of their action. With different approaches to target different aspects of cancers, they have gained ample attention. Structural variations of these compounds were found to be highly selective in their action.
Keywords: Thiosemicarbazones, Anti-tumour activity, Cell lines, In vitro and in vivo studies
© 2016 The Authors. Published by Innovare Academic Sciences Pvt Ltd. This is an open access article under the CC BY license (http://creativecommons.org/licenses/by/4.0/)
INTRODUCTION
Thiosemicarbazone is a derivative of imine which is formed when an aldehyde/ketone reacts with a thiosemicarbzide through a condensation reaction. The presence of the hetero atoms like Sulphur and Nitrogen makes these derivatives biologically active. Lately, great emphasis is laid on the synthesis and development of these derivatives reason being the wide variety of pharmacological activities exhibited by them.
So far, thiosemicarbazones have been shown to exhibit analgesic and anti-inflammatory [1], antibacterial [2], anticancer [3] anticonvulsant [4] antifungal [5], anti-HIV [6], anti leishmaniac [7], anti-malaria [8] neurotropic [9], anti trypanosomal [10], antitubercular [11] and antiviral [12] activities. Few thiosemicarbazone derivatives have also been shown to produce insulin-like effects in vitro [13]. In a recent study, few thiosemicarbazone derivatives have been shown to reactivate human and rat cholinesterase in vitro and in silico inhibited by an organophosphate namely Methamidiphos [14]. Metal complexes of thiosemicarbazones have also been shown to be useful in radiopharmaceuticals for diagnostic as well as radiotherapy purpose [62]. Cu-ATSM (ATSM = diacetyl-bis(N4-methylthiosemicarbazone)) is a promising PET (positron emission tomography) tracer for non-invasive hypoxic tumor imaging [15-18]. The discovery of their anticancer properties in 1956 was a great breakthrough in the field of cancer while antiviral activity was the next to be discovered with their promising efficacy in the treatment of small pox. N-methyl-isatin-βthiosemicarbazone (methisazone), this drug was able to treat patients with herpes simplex virus (HSV) also [19]. Chemically thiosemicarbazones have the general structure R1R2CNNHCSNH2, while R1 and R2 may be aromatic or heterocyclic systems. The electronic and the steric features of the attached ring system or the fragments are often found to have an effect on the biological activity of the thiosemicarbazone derivatives.
Cancer is the second largest cause of death across the globe after the cardiovascular events. It is a group of diseases involving abnormal cell proliferation may or may not having the potential to invade other parts of the body as well.[20]. There are more than 100 types of cancer known so far which can affect the human population [21]. Thus, it is evident that no single drug can be as efficient to treat all forms of cancer. Many drugs are now available as chemotherapeutic agents against various forms of cancer, however they also possess serious side effects while few others have been rendered inactive due to the emergence of resistance against them. Thus the need to develop new antineoplastic agents with better efficacy and lower toxicity profile will always be there. Many new moieties were studied for their pharmacological potential against combatting cancers and thiosemicarbazones have been one of them. In 1956, it was found that these molecules possess significant activity and can be exploited further [3]. Since then, these molecules received due attention and in recent years one of them, Triapine® (3-aminopyridine2-carboxaldehyde thiosemicarbazone), is under process to be developed as an anticancer drug for cervical cancer [22]. Owing to its activity this molecule has made to the phase II of the clinical trials [23].
Search criteria:
Sources: Sciencedirect, Pubmed, Google scholar
Keywords: Synthesis of novel thiosemicarbazones, Biological activity, Anti-tumor activity
Range of years: 2006-2016
Mechanism of action

Fig. 1: Three different challenges to cancer chemotherapy targeted by thiosemicarbazones [24]
Inhibition of tumor growth
Several mechanisms of antitumor action of thiosemicarbazones have been proposed so far. Topoisomerase IIa and ribonucleotide reductase have been proposed as the two primary targets of these molecules. For example, they could stabilize cleavable complexes formed by topoisomerase II (topoII) and DNA leading to apoptosis. The stabilisation occurs as a result of alkylation of thiol residues on the topo IIa–DNA complex. [25] Besides, thiosemicarbazones were found to inhibit ribonucleotide reductase (RR). RR enzyme catalyses the synthesis of deoxyribonucleotides required for DNA synthesis. Since deoxyribonucleotides are present in extremely low levels in mammalian cells, it is a crucial and rate-controlling step in the pathway leading to the biosynthesis of DNA. Mammalian ribonucleotide reductase (RR) is composed of two dissimilar proteins, (R1), which contains polythiols and (R2), which contains non-heme iron and a free tyrosyl radical. Both the R1 and R2 subunits contribute to the active site of the enzyme. [26] Since thiosemicarbazones are known iron chelators and the chelates of iron are redox active thus they can destabilize or damage the non-heme iron-stabilized tyrosyl free radical and thus inhibit the catalytic function of RR.
Inhibition of drug resistance
Recent studies have linked P-gp (P-glycoprotein) expression to increased drug resistance in patients with advanced cancer.[27,28] In few other studies it was demonstrated that P-gp expression and function is not limited to plasma membrane, but they also mark their presence intra-cellularly in lysosomes.[29,30]. In contrast to other drug molecules wherein P-gp sequestration renders the drug unavailable for action, lysosomal P-gp enhanced the transport of thiosemicarbazones into the lysosomes. [29]. This accounted for the increased lysosomal damage and cytotoxicity of thiosemicarbazones towards P-gp expressing tumor cells [29].
Inhibition of metastasis
Metastasis accounts for the maximum deaths due to cancer. NDRG1 (N-Myc downstream regulated gene 1) is a metastasis suppressor protein [31,32]. It inhibits primary tumor growth, angiogenesis, and metastasis [33-35]. Thiosemicarbazones were found to up regulate the NDRG1 protein by depleting the iron from tumor cells resulting in a state of hypoxia [36, 37].
Thiosemicarbazones as anticancer agents
Ten novel naphthalene substituted thiosemicarbazones were prepared and evaluated for their antifungal and anticancer activity against pathogenic yeasts and moulds using broth micro dilution assay and A549 human lung adenocarcinoma and NIH/3T3 mouse embryonic fibroblast cell lines using XTT (2,3-bis-(2-methoxy-4-nitro-5-sulfophenyl)-2H-tetrazolium-5-carboxanilide) test respectively. Ames and umuC assays were carried out to determine the genotoxicity of the most effective antifungal derivatives. Among these ten derivatives compound 1 and 3 (fig. 2) were found to be most active anticandidal agents with MIC (Minimum inhibitory concentration) values of 125ug/ml when compared to ketoconazole with no mutagenic potential, moreover their cytotoxic doses were found to be much higher than their effective doses. Compound 2 was found to be the most promising anticancer agent with its remarkable antiproliferative activity with IC50 value of 31.25 ug/ml when compared to cisplatin 16.28 ug/ml against A549 cell line [38].
Two zinc (II) complexes containing cyclohexanone N(4)-methyl thiosemicarbazone and cyclohexanone N(4)-phenyl thiosemicarbazone were synthesized. The ligands have been shown in the fig. 3. The in vitro antitumor activity of the complexes was screened on a panel of human tumor cell lines of distinct tissue origin viz., Caki-2 (Kidney), MCF-7 (Breast), CaSki (Cervix), NCI-H322M (Lung) and Co-115 (Colon) (table 1). The cellular proliferation was assessed by Sulforhodamine-B (SRB) assay. Both the complexes showed promising antitumor activity, however they exhibited selectivity which may be attributed to the structural variations of the complexes [39].

Fig. 2: 1-[(E)-[(2,3-difluorophenyl)methylidene]amino]-3-(naphthalen-1-yl)thiourea; 1-[(E)-[(2,4-difluorophenyl)methylidene]amino]-3-(naphthalen-1-yl)thiourea; 1-[(E)-[(2,5-difluorophenyl)methylidene]amino]-3-(naphthalen-1-yl)thiourea

Fig. 3: 1-(cyclohexylideneamino)-3-methylthiourea; 1-(cyclohexylideneamino)-3-phenylthiourea
Table 1: IC50 values of the Zn(II) complexes of Compond 1 and 2
| Compound/cell line | Caki-2 | MCF-7 | CaSki | NCI-H322M | Co-115 |
| 1 | 4.4 | 4.7 | 4.5 | 0.77 | 1.3 |
| 2 | 2.7 | 3.2 | 1.6 | 3.9 | 4.3 |
Four new thiosemicarbazones were synthesised and their efficacy was tested against four cell lines, namely pancreas cancer (PANC-1), breast cancer (MCF-7) and human colon cancer (HCT-116) as well as on the normal mouse fibroblasts NIH/3T3 cells using MTT (3-(4,5-dimethylthiazol-2-yl)-2,5-diphenyltetrazolium bromide) assay. The following compounds (fig. 4) were found to be several times better than the standard drugs (5-Flourouracil and Betulinic acid). IC50 values of compounds in uM and the standard drugs are presented in the table 2 [40].

Fig. 4: 1-[(E)-[(5-chloro-2-hydroxyphenyl)methylidene]amino]-3,3-dimethylthiourea; 1-[(E)-{[2-hydroxy-3-methoxy-5-(prop-2-en-1-yl)phenyl]methylidene}thiourea
Table 2: IC50 values of compounds
| Compound | PANC-1 | HCT-116 | MCF-7 |
| 1 | 10uM | 14.9uM | 14.3uM |
| 2 | 0.7uM | 9.4uM | 15.8uM |
| 5-Flourouracil | 96.8uM | 21.0uM | - |
| Betullinic acid | - | - | 44.1uM |
Ten thiophene-thiosemicarbazones were synthesised while the thiosemicarbazide fragment was kept the only site of substitution. These derivatives were tested for their anticancer potential on nine human cancer cell lines taking doxorubicin as the positive control. All the compounds were found to be mild to moderately active but the following compound (fig. 5) was found to be most active in vitro and thus was further studied for in vivo activity against Ehlirch solid tumour model in mice, wherein this compound was found to be inhibiting tumor growth at a low dose of 30 mg/kg. It was also found to possess low acute toxicity [41].

Fig. 5: 1-(4-bromophenyl)-3-[(Z)-[(thiophen-2-yl) methylidene]amino]thiourea
Six new isatin thiosemicarbazone derivatives were synthesised and their antineoplastic efficacy was evaluated against human colon cancer cell line (HCT 116) taking 5-flurouracil as the standard drug. Out of the six new derivatives three compounds (fig. 6) were found to possess good cytotoxic activity against HCT 116. The IC50 value for compound 2 was found to be most satisfactory 31.4uM [42].

Fig. 6: 3-ethyl-1-{[(3E)-5-methyl-2-oxo-2,3-dihydro-1H-indol-3-ylidene]amino}thiourea; 3-{[(3E)-5-fluoro-2-oxo-2,3-dihydro-1H-indol-3-ylidene]amino}-1-phenylthiourea; 3-{[(3E)-5-methyl-2-oxo-2,3-dihydro-1H-indol-3-ylidene]amino}-1-phenylthiourea
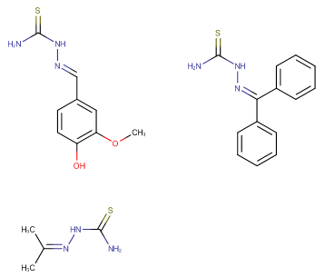
In a similar study three new thiosemicarbazones were synthesised (fig. 7) with vanillin, acetophenone and benzophenone and their antiproliferative activity was evaluated against Ehrlich ascites carcinoma cells bearing Swiss albino mice. All the test compounds were found to possess comparable cytotoxic action with bleomycin against EAC in Swiss albino mice. Acetonethiosemicarbazone at a dose of 2 mg/kg was found to possess comparable activity to bleomycin (0.3 mg/kg). The cell growth inhibition with acetonethiosemicarbazone was found to be 88.97% which is much closer to inhibtion shown by bleomycin (88.5%) at a dose of 0.3 mg/kg. The mean survival time were found to be 40.0 and 39.5 d for bleomycin and acetonethiosemicarbazone respectively [43].

Fig.7:[(E)-[(4-hydroxy-3-methoxyphenyl)methylidene]amino]thiourea;s[(diphenylmethylidene)amino]thiourea; [(propan-2-ylidene)amino]thiourea
A series of 5,6-disubstituted pyridine-2,3-dione-3-thiosemicarbazone derivatives was synthesised and their anticancer activity was evaluated against three human cancer cell lines including MCF-7 (breast adenocarcinoma cell), HCT116 (colon carcinoma cell) and BEL-7402 (hepatoma carcinoma cell) keeping 5-fluorouracil as the positive control. While some of the compounds were found to be much better than the reference drug 5-FU (5-fluoro uracil), few derivatives have shown selectivity towards the cancer cell lines. The given derivative (fig. 8) was found to be the most potent [44]. All the compounds were found to possess IC50<7.0uM. Polar and electron donating groups as substitutions on the R group were found to be the most active.

Fig.8:{[(3Z)-5,6-bis[(3-methoxyphenyl)amino]-2-oxo-2,3-dihydropyridin-3-ylidene]amino}thiourea
Acetone thiosemicarbazone was synthesised to evaluate its antineoplastic activity against Ehrlich Ascites Carcinoma cells bearing mice. Several parameters like tumour cell growth inhibition, tumour weight, survival time, peritoneal cells and haematological parameters were monitored. With a net increase in the survival time of mice, this derivative was found to significantly inhibit tumour cell growth. A Considerable reduction was observed in the tumour weight while peritoneal cells and the haematological parameters were restored to normal. Lethal dose (LD50) was found to be 20 mg/kg in the Swiss albino mice while the most effective dose was found to be ten times lower than the lethal dose. This study revealed that thiosemicarbazones were active both in vitro and in vivo as well with low toxicity to the host [45].
In a further study a series of ketone N-4 substituted thiosemicarbazones and their Ruthenium (II) arene complexes were synthesised. These new derivatives were evaluated for their anticancer activity against two human cancer cell lines SGC-7901 (gastric carcinoma), BEL-7404 (liver carcinoma), and HEK-293T (human embryonic kidney) cell lines. Cisplatin, carboplatin and oxaliplatin were taken as the standard controls, the given two ligands (fig. 9) were found to be most active against SGC-7901 cell line with IC50 values of 17.0uM and 17.5uM for 1 and 2 respectively, while they have shown significant selectivity and cytotoxicity towards BEL-7404. All the complexes were found to be more active than carboplatin against BEL-7404 cell [46].
Fig.9:1-phenyl-3-[(E)-(1-phenylethylidene)amino]thiourea;1-phenyl-3-[(propan-2-ylidene)amino]thiourea
Two 4-phenyl-3-thiosemicarbazone ligands (fig. 10), and their ruthenium (II) complexes were synthesized and characterized. DNA binding ability of the compounds was confirmed by absorption spectroscopy which indicated that the compounds bind to DNA via intercalation. These derivatives were assayed for their cytotoxic potential against HeLa and MCF-7 cell lines wherein they were found to have good cytotoxic action with low IC50 values of 18.60 and 13.93uM against HeLa and MCF-7 cell lines respectively [47].
Fig.10:1-[(Z)-[(2-chlorophenyl)methylidene]amino]-3-methylthiourea; 3-methyl-1-[(Z)-[(2-nitrophenyl)methylidene]amino]thiourea
Ten novel benzaldehyde thiosemicarbazone complexes of platinum were synthesised. The cytotoxic effects of these complexes, examined on the human leukaemia cell line HL-60 and human lymphoma cell line U-937, have shown that all the complexes are cytotoxic in nature and their IC50 values indicate their potential use as antitumor agents. The IC50 values of complexes for HL-60 were in the range 140-4.0uM while for U-937 it was in the range 45-5.0uM. Four drugs were kept as standard namely BCNU (Carmustine), 5-FU, cisplatin and hydroxyurea. All the complexes were better than hydroxyurea against both the cell lines. [48]. Ligands of the complexes have been shown here. (fig. 11)
Fig.11:[(Z)-(phenylmethylidene)amino]thiourea;[(Z)-[(4-chlorophenyl)methylidene]amino]thiourea;[(Z)-[(4-methoxyphenyl)methylidene]amino]thiourea; [(Z)-[(4-methylphenyl)methylidene]amino]thiourea; [(Z)-[(4-nitrophenyl)methylidene]amino]thiourea
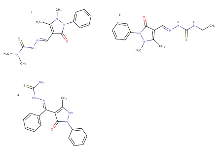
New polymeric copper (II) complexes with two tridentate thiosemicarbazone ligands containing substituted pyrazolone moiety were synthesized (fig. 12) and characterized. Complexe of the compound 3 was found to have significantly higher cytotoxic potential in comparison to cisplatin in inhibition of several cell lines HL60 (Human promyelocytic leukaemia cell line), REH (acute lymphocytic leukaemia cell line), C6 (rat glioma cell line), L929 (mouse fibroblast cell line) and B16 (melanoma cell line). IC50 reported for complex of compound 3 was 2.21ug/ml while that for cisplatin was 14.36Ug/ml against REH cell line. The results obtained on the basis of flow cytometry indicated that apoptosis could be possible mechanism of cell death [49].
Fig.12:1-[(E)-[(1,5-dimethyl-3-oxo-2-phenyl-2,3-dihydro-1H-pyrazol-4-yl)methylidene]amino]-3,3-dimethylthiourea; 1-[(E)-[(1,5-dimethyl-3-oxo-2-phenyl-2,3-dihydro-1H-pyrazol-4-yl)methylidene]amino]-3-ethylthiourea; [(E)-[(5-methyl-3-oxo-2-phenyl-2,3-dihydro-1H-pyrazol-4-yl)(phenyl)methylidene]amino]thiourea
Six new benzoyl thiosemicarbazone analogues of isoquinoline and related compounds were prepared to evaluate their cytotoxic and antimalarial activities. Four human cancer cell lines were employed to check cytotoxic activity namely HuCCA-1(human cholangiocarcinoma cell line), HepG2 (liver carcinoma cell line), A549 (small cell lung cancer) and MOLT-3 (human malignant T-lymphoblastic cell line). All the new derivatives prepared were found to possess significant cytotoxic activity against the cell lines. The given derivative (fig. 13) was found to possess greatest cytotoxic action with IC50 values of 0.03, 4.75, 0.04 and 0.004ug/ml against HuCCA-1,HepG2,A549 and MOLT-3 cell lines respectively, while doxorubicin and etoposide were kept as the reference drug for the cancer cell lines. Also it was found to be most active against P. falciparum with IC50 in the range 10-7 to 10-6M, among all other derivatives prepared keeping chloroquine hydrochloride as the standard drug [50].

Fig. 13: 1-phenyl-3-[(Z)-[phenyl (pyridin-2-yl)methylidene]amino]thiourea
Seven new 2-acetylpyridine thiosemicarbazone derivative were synthesised (fig. 14) and their antineoplastic potential was evaluated against two malignant glioma cell lines, namely rat glioma RT2 cells and Human glioma T98 cells. These new derivatives were found to be active against both the cell lines but they were found to inhibit RT2 cell lines the more. These derivatives were found to exert good cytotoxic action in 24-1.4nM and 50.0-1nM dose ranges for RT2 and T98 glioma cells respectively. The IC50 value for the standard drug cisplatin were found to be 5uM and 17uM for RT2 and T98 cells respectively. These derivatives were found to exert haemolytic action at much higher concentrations indicating a good therapeutic index [51].

Fig. 14: 1-(2-chlorophenyl)-3-[(E)-[1-(pyridin-2-yl)ethylidene]amino]thiourea; 1-(2-methylphenyl)-3-[(E)-[1-(pyridin-2-yl)ethylidene]amino]thiourea;1-(3-chlorophenyl)-3-[(E)-[1-(pyridin-2-yl)ethylidene]amino]thiourea; 1-(3-methylphenyl)-3-[(E)-[1-(pyridin-2-yl)ethylidene]amino]thiourea;1-(4-chlorophenyl)-3-[(E)-[1-(pyridin-2-yl)ethylidene]amino]thiourea; 1-(4-methylphenyl)-3-[(E)-[1-(pyridin-2-yl)ethylidene]amino]thiourea;1-phenyl-3-[(E)-[1-(pyridin-2-yl)ethylidene]amino]thiourea
13 novel (-)-a-bisabolol based thiosemicarbazones (fig. 15) were synthesised and evaluated against eight different human cancer cell lines namely leukaemia (K-562), melanoma (UACC-62), breast (MCF7), breast resistant (NCI-ADR), lung (NCI-460), ovarian (OVCAR), prostate (PCO-3) and colon (HT-29) taking doxorubicin as the standard drug. The given two derivatives were found to be most active among the others in the series and were more cytotoxic to the breast resistant (NCI-ADR) cell lines than the other cell lines with GI50 value 0.75uM [52].
Fig.15:1-[(6S)-6-hydroxy-2-methyl-6-[(1S)-4-methylcyclohex-3-en-1-yl]heptan-2-yl]-3-[(Z)-(1-phenylethylidene)amino]thiourea;3-amino-1-[(6S)-6-hydroxy-2-methyl-6-[(1S)-4-methylcyclohex-3-en-1-yl]heptan-2-yl]thiourea
Six new compounds namely 2-Benzoylpyridine-N (4)-tolyl thiosemicarbazones and their palladium(II) complexes were synthesised and studied for their Cytotoxicity against leukaemia cells. Three N(4)-tolyl derivatives namely o-tolyl m-tolyl p-tolyl (fig. 16) and their palladium complexes were prepared and tested against HepG2 (human hepatoma), Jurkat (immortalized line of T lymphocyte), HL60 (human promyelocytic leukaemia) and HL60. Bcl-XL (human promyelocytic leukaemia ectopically expressing the anti-apoptotic protein Bcl-XL that confers resistance to cytotoxic stimulus) human cancer cell lines. Cisplatin was taken as the reference drug, HL60 was found to be more susceptible to these derivatives than the other cell lines, In contrary to the previously reported data ligands were more cytotoxic than their palladium complexes. O-tolyl derivative was found to be the most active against three cell lines tested. The IC50 values of the ligands have been shown in the table 3 [53].
Table 3: IC50 values of the synthesised compounds in uM [53]
| Compound | Jurkat | HL60. Bcl-XL | HL60 |
| 1 | 0.015 | 0.019 | 0.0095 |
| 2 | 0.017 | 0.038 | 0.0059 |
| 3 | 0.034 | 0.028 | 0.014 |
| Cisplatin | 1.26 | 7.65 | 1.69 |

Fig.16:1-(2-methylphenyl)-3-[(E)-[phenyl(pyridin-2-yl)methylidene]amino]thiourea; 1-(3-methylphenyl)-3-[(E)-[phenyl(pyridin-2-yl)methylidene]amino]thiourea; 1-(4-methylphenyl)-3-[(E)-[phenyl(pyridin-2-yl)methylidene]amino]thiourea
Iron (III) Complex of 2-acetylpyrazine N (4)-methyl-thiosemicarbazone were synthesised (fig. 17) and their antitumor activity was studied against K562 leucocythemia and BEL7402 liver cancer cell lines. Both the complex and the free ligand were assayed for their cytotoxic activity wherein the complex was found to be more active than the free ligand. The complex showed a lower IC50 value (13.7µ M for K562, 38.6µ M for BEL7402) than the free ligand [54].
Fig.17:3-methyl-1-[(E)-[1-(pyrazin-2-yl)ethylidene]amino]thiourea
Fig.18:1-[(Z)-[amino(pyridin-2-yl)methylidene]amino]-3-ethylthiourea; 1-[(Z)-[amino(pyridin-2-yl)methylidene]amino]-3-methylthiourea; [(Z)-[amino(pyridin-2-yl)methylidene]amino]thiourea
2-pyridinoformamide-derived thiosemicarbazones ligands (fig. 18) and their iron complexes were synthesised and their antineoplastic activity was evaluated against Artemia salina taking lapachol as the standard drug. LD50(lethal dose) was calculated for all the ligands and the complexes were determined. Fe(III) complex of ligand 2 was found to possess a low LD50 value of 14.12uM. Rest all derivatives and their complexes were found to be more active than the standard drug itself [55].
Four new benzaldehyde thiosemicarbazone (fig. 19) derivatives and their palladium(II) and platinum(II) complexes were synthesised to study their cytotoxic action on the following cell lines: H460 (human lung large cell carcinoma), ME180 (human cervix epidermoid carcinoma), M-14 (human amelanotic melanoma), DU145 (human prostate carcinoma), MCF-7 (human breast adenocarcinoma), HT-29 (human colon adenocarcinoma), PC3 (human prostate carcinoma), and K562 (human chronic myelogenous leukemia). The platinum (II) complexe of compound 1 was found to possess greater cytotoxic action than cisplatin in the human leukaemia cell line. IC50 values in uM for the Pt(II) complex of compound 1 are shown in the table 4. Also, the complexes were found to be more active than the individual ligands [56].
Fig.19:1-phenyl-3-[(E)-(phenylmethylidene)amino]thiourea;[(E)-(phenylmethylidene)amino]thiourea;[(E)-[(2-nitrophenyl)methylidene]amino]thiourea; [(E)-[(3-cyanophenyl)methylidene]amino]thiourea
Nine long chain aliphatic thiosemicarbazones and their nickel complexes were synthesised with the aim to test their effect on histiocytic lymphoma U937 cell proliferation. Only one ligand (fig. 20) and its nickel complex were selected on solubility basis for the in vitro assay. Though the ligand itself was ineffective, its Ni(II)complex showed good antiproliferative (IC50=3.46uM) activity against the U937 cell line [57].
Table 4: IC50 values of Pt(II) complex of ligand 1
| Complex/cellline | H460 | ME180 | M-14 | DU145 | MCF-7 | HT-29 | PC3 | K562 |
| Pt(II)Ligand1(IC50) | 0.09 | 0.12 | 0.10 | 0.08 | 0.11 | 0.07 | 0.08 | 0.08 |
Fig.20:[(E)-heptylidenamino]thiourea
Twenty-six thiosemicarbazones were synthesised via three steps starting from hydrazine hydrate and carbon disulphide. The testing of anticancer activity of these compounds in vitro against P-388 (mouse lymphoma cell line), A-549 (small cell lung cancer), and SGC-7901 (human gastric cancer cell line) shows that the following compounds (fig. 21) possess higher inhibitory ability for P-388 and SGC-7901. IC50 for compound 2 was found to be as low as 0.032uM against SGC-7901 cell line [58].

Fig.21:4-(pyridin-2-yl)-N-[(E)-[1-(1,3-thiazol-2-yl)ethylidene]amino]piperazine-1-carbothioamide; 4-(pyridin-2-yl)-N-[(E)-[1-(pyridin-2-yl)ethylidene]amino]piperazine-1-carbothioamide
CONCLUSION
Thiosemicarbazones are known to possess several biological activities owing to the presence of hetero atoms like nitrogen and sulphur and the attached aromatic or heterocyclic fragments. Many new pharmacological activities have been explored lately and much are to be disclosed. However greater emphasis has been led on their antineoplastic activities because of the promising and positive outcomes of the studies centred on their anticancer potential. They have been shown to be active antiproliferative agents in both in vitro as well as in vivo.
In recent studies these derivatives have also been found to possess low acute toxicity with no to minimal mutagenic as well as teratogenic potential. Thus it can be an advantage over the available anticancer drugs which in spite of having good therapeutic properties precipitate serious adverse effects like myelosupression which calls for discontinuation of use. Owing to structural variations these derivatives have also shown selectivity towards particular cell lines in in vitro cytotoxic assays. Thus they can be a boon in the field of advanced cancer research and deserve further extensive studies to be developed as drug candidates for cancer chemotherapy.
CONFLICT OF INTERESTS
Declared none
REFERENCES
How to cite this article