1Department of Pharmaceutics, Government College of Pharmacy, Kathora Naka, Amravati. 444604, India, 2Department of Pharmaceutical Chemistry, Government College of Pharmacy, Kathora Naka, Amravati 444604, India.
Email: shende_mulchand@rediff.com
Received: 09 June 2014 Revised and Accepted: 11 Jul 2014
ABSTRACT
Objective: The sustained release of drug from dosage form is useful especially for achieving controlled plasma level of the drug as well as improving bioavailability. The objective of the present work was to develop sustained release diltiazem hydrochloride matrix tablets using natural polymers and gums like jackfruit mucilage and tamarind polysaccharide.
Methods: Tablets were prepared by direct compression method and evaluated for various physical parameters. Direct compression method using response surface methodology, followed by optimization of the evaluation parameters were employed to get final optimized formulation.
Results: Among all formulations, M2 shows 92.87% better controlled release at the end of 12 hrs. The release co-efficient values ‘n’ (>0.5) indicated that the drug release followed non fickian anomalous mechanism based on formulation factors. The stability studies were carried out according to ICH guideline which indicates that the selected formulation was stable.
Conclusion: Diltiazem HCl matrices could be developed with desirable release modulation for a once daily administration.
Keywords: Diltiazem HCl (DLT), Jackfruit mucilage, Tamarind seeds, Matrics
INTRODUCTION
Oral administration is the most convenient, widely utilized, and preferred route of drug delivery for systemic action. However, when administered orally, many therapeutic agents are subjected to extensive presystemic elimination by gastrointestinal degradation and/or first pass hepatic metabolism as a result of which low systemic bioavailability and shorter duration of therapeutic activity and formation of inactive or toxic metabolites [1]. Since the early 1950s, the application of polymeric materials for medical purposes is growing very fast. Polymers have been used in the medical field for a large extent [2]. Natural polymers remain attractive primarily because they are inexpensive, readily available, be capable of chemical modifications, non-carcinogenicity, mucoadhesivity, biodegradable, biocompatible, high drug holding capacity and high thermal stability [3]. This led to its application as excipient in hydrophilic drug delivery system. The various natural gums and mucilages have been examined as polymers for sustained drug release in the last few decades for example; guar gum, tragacanth gum, xanthan gum, pectin, alginates etc. In the development of a sustained release tablet dosage form, an important issue is to design an optimized formulation with an appropriate dissolution rate in a short time period and minimum trials. Many statistical experimental designs have been recognized as useful techniques to optimize the process variables. For this purpose, response surface methodology (RSM) utilizing a polynomial equation has been widely used. Different types of RSM designs include 3-level factorial design, central composite design (CCD), Box-Behnken design and D-optimal design. Response surface methodology (RSM) is used when only a few significant factors are involved in experimental optimization. The technique requires less experimentation and time, thus proving to be far more effective and cost-effective than the conventional methods of formulating sustained release dosage forms [4-6].
Diltiazem HCl is a calcium channel blocker, widely used for management of hypertension. It is given as oral dosage form in the treatment of angina pectoris and the management of hypertension [7]. Due to its short biological half life (3-4.5 h), high water solubility, and frequent administration (usually three to four times a day) make it a potential candidate for sustained release preparations. The present study investigates jackfruit mucilage and tamarind seed polysaccharides use as a suitable, natural hydrophilic rate controlling matrix materials by optimization using 32 full factorial designs for the formulation of sustained release tablets.
MATERIALS AND METHODS
Materials
Diltiazem HCl was obtained as gift sample from Panchsheel Organics Ltd, Indore. Jackfruit and tamarind seeds were purchased from local market of Amravati district Maharashtra state. Microcrystalline cellulose (MCC) PH-101, Talc, Magnesium Stearate, Acetone were procured from SD Fine Chemicals, Mumbai. All the chemicals and reagents were used of analytical grade.
Methods
Isolation of tamarind Seed Polysaccharide and Jackfruit mucilage
The outer covering of seeds were removed by heating the seeds in sand and crushed. The crushed seeds of tamarindus indica were soaked in distilled water for 24 h, boiled for 2 h and kept aside for 2 h to the release of gum into water. The marc was removed by squeez in a muslin bag. An equal quantity of acetone was added into filtrate to precipitate the gum. The gum was separated by filtration and dried in hot air oven at temperature 400C. The dried gum was powdered and stored in airtight container [8]. For Jackfruit mucilage isolation jackfruit pulp was soaked in distilled water for 24 h remaining procedure was same as per tamarind seed polysaccharide isolation [9].
Preparation of Matrix Tablets of Diltiazem HCl
The tablets were prepared by direct compression method using Rimek Minipress rotary tablet machine to obtain the tablets of desired specification. The drug/polymer mixture ratio prepared by homogenously mixing the DLT HCl with various concentration of jackfruit mucilage/tamarind seed polysaccharide. The total weight of tablets of all the ingredients were weighed, sifted and mixed by geometric dilution method and finely mixed using polythene bag for proper mixing, then prior compression magnesium stearate and talc was added as lubricating agent and compressed using a 10 mm oval shape punch in a 10 station tablet punching machine.
Table 1: Formulation components for different batches
| S. No. | Name of Ingredient | Formulation Code | ||||||||
| M1 | M2 | M3 | M4 | M5 | M6 | M7 | M8 | M9 | ||
| 1 | Diltiazem HCl | 90 | 90 | 90 | 90 | 90 | 90 | 90 | 90 | 90 |
| 2 | Jackfruit Gum | 50 | 60 | 50 | 70 | 60 | 60 | 50 | 70 | 70 |
| 3 | Tamarind Gum | 70 | 50 | 50 | 50 | 70 | 60 | 60 | 60 | 70 |
| 4 | MCC(Avicel) | 180 | 190 | 200 | 180 | 170 | 180 | 190 | 170 | 160 |
| 5 | Magnesium Stearate | 5 | 5 | 5 | 5 | 5 | 5 | 5 | 5 | 5 |
| 6 | Talc(Aerosil) | 5 | 5 | 5 | 5 | 5 | 5 | 5 | 5 | 5 |
| 7 | Total weight (mg) | 400 | 400 | 400 | 400 | 400 | 400 | 400 | 400 | 400 |
Formulations were developed following 32 factorial designs after setting the individual excipient series of formulations mentioned in the Table 1 and statistically evaluated the effects of two formulation variables viz., percentage of jackfruit mucilage and percentage of tamarind seed polysaccharide on tablet parameters. The optimized formulations were obtained by subjecting the evaluation parameters to ANOVA and numerical optimization using the software ‘Design Expert’.
Drug-excipient compatibility studies by Fourier Transform Infrared (FTIR)
Pure drug (DLT HCl), jackfruit mucilage, tamarind seed polysaccharide and their physical mixtures were examined by Fourier Transform Infrared (FT-IR) spectra using potassium bromide pellet method. The FTIR spectra were recorded from 4000 cm-1 to 400 cm-1 in a FTIR Affinity-1(DRS-8000), Shimadzu Japan Spectrophotometer [10].
Pre-compression parameters
Pre-compression studies were carried out of blend powder mixtures for flow properties, bulk density, tapped density, compressibility index and hausner’s ratio.
Post-compression parameters
The formulated matrices were evaluated for thickness, hardness, friability, content uniformity, weight variation, matrix erosion, swelling index and in-vitro drug release.
Weight variation and hardness
Weight variation test was conducted according to USP and the hardness was measured with Monsanto hardness tester.
Content Uniformity
Randomly three tablets were weighed and powdered. A quantity equivalent to 90 mg of diltiazem HCl was placed in 100 mL volumetric flask and dissolved in 0.1 N HCl solutions, sonicated for 5 minutes and made up the volume up to the mark and filtered through membrane filter. After appropriate dilutions, the drug content was determined by UV spectrophotometer at 237 nm against suitable blank using standard plot equation.
In-vitro release study
The in-vitro release study for all the formulations were carried out for 12 hrs using a USP-Dissolution Test Apparatus Type-II (USP Dissolution Apparatus IP/USP, Veego Scientific DA6D, Mumbai) using 900 mL of 0.1 N HCl (pH 1.2) for first 2 hr and then 7.4 pH phosphate buffer at 37±0.5ºC with paddle rotation speed of 100 rpm. At predetermined intervals 5 mL sample was withdrawn and equal volume was replaced to maintain sink condition. The sample was further diluted with corresponding media and absorbance measured in a UV spectrophotometer (Pharma Spec UV- 1700; Shimadzu, Japan) at 237 nm against suitable blank. The absorbance was converted to drug concentration using a calibration curve (ABS = 0.059xCONC + 0.245; R2 = 0.999) and then cumulative % drug released was calculated with the help of dilution factor.
Analysis of in-vitro drug release kinetics and mechanism
To describe the kinetics and % releases of the drug release from sustain release matrix diltiazem formulation (trial and factorial batches). The drug release data from trial and factorial batches were fitted in to various kinetic release mathematical models such as zero order, first order, Higuchi, Korsmeyer-Peppas models by using PCP-Disso-v3 software. The regression coefficient (r2) value compared to each other and selected best fit model, the release mechanism of diltiazem HCl from system were decided from release exponent value.
The zero-order kinetic describes the system in which the drug release rate is independent of its concentration. The first order kinetic describes the system in which the drug release rate is concentration dependent. Higuchi describe the release of drug from an insoluble matrix as square root of time dependent process. The Hixon-Crowell cube root law describes the drug release from system in which there is change in the surface area and the diameter of particles present in dosage form.
(100-W) 1/3 = 1001/3 – k3t
Mt/M0 = k5tn
Similarity factor
The similarity factor f2 was calculated from the mean dissolution data according to the following equation:

where ‘n’ is the number of pull points, Wt is an optional weight factor, Rt is the reference profile at time point t and Tt is the test profile at the same time point. For a dissolution profile to be considered similar, the value of f2 should be between 50 and 100. An f2 value of 100 suggests that the test and reference profiles are same and, as the value becomes smaller, the dissimilarity between releases profiles increases. For reference an ideal modified-release dosage form should release the loading dose (25%) in the first hour and the remaining drug (75%) should be released at a constant rate, i.e., 6.8%/hr. This ideal release pattern was considered as a reference release and compared with test batches.
Stability Study
The optimized formulation was subjected to stability at 40 ±20C and 75 ± 5 % RH for period of six months. After each month tablet sample was analyzed for physical characteristics and drug release profile [11].
RESULTS AND DISCUSSIONS
p>Jackfruit mucilage and tamarind seed polysaccharide were isolated from fruits pulp of jackfruit (A. heterophyllus Lam.) and tamarind seeds with the average yield of dried mucilage 23.14 % w/w and 71.32 % w/w respectively. A compatibility study was carried out to find out compatibility between drug and excipients used in the formulations. The FT-IR spectrum of the diltiazem HCl sample was compared with standard spectrum and characteristic band observed as shown in Fig. 1. The characteristic bands of diltiazem HCl were found at 1743 cm-1 (ester -C=0 Stretching) 1675 cm-1 (amide), 1606cm-1 (C=C- benzene) due to presence of ester, amide and functional group and aromatic ring in the structure of diltiazem HCl.
Fig. 1: FTIR spectra of diltiazem HCL (A), jackfruit mucilage (B), tamarind seed polysaccharide (C), physical mixture of diltiazem HCL, jackfruit mucilage and tamarind seed polysaccharide (D)
The characteristic band of jackfruit mucilage were found at 1728 cm-1 and 1643cm-1 (-C=O, aldehyde stretching), 3332 cm-1 (O-H stretching) due to carboxylic and hydroxyl group. Tamarind seed gum shows 1045 (C-O-C stretching), 1650 and 1745 (-C=O, aldehyde stretching), 3340 and 3420 (primary-OH). Spectrum of physical mixture shows that all the bands of diltiazem HCl in physical mixture were preserved and shows at 1743 cm-1 (Ester -C=0 Stretching) 1675 cm-1 (Amide), 1606cm-1 (C=C- Benzene) along with other bands of other excipient.
This shows that there are no considerable changes in the position of characteristic bands associated with drug and individual ingredients, thus there is no interaction between drug-polymer and polymer-polymer. The bulk and tapped density of prepared granules are found to be in the range of 0.184 – 0.323 and 0.210 – 0.310, respectively. Carr’s compressibility index and Hausner ratio were determined to be less than 19% and <1.22 for all formulations respectively, which indicates that the prepared granules of all the formulations have fair to good flow property. The physical properties of tablets like hardness, friability, thickness, diameter, drug content and weight variation are found to be within limits indicating that the prepared matrix tablets met the USP specifications.
The tablets obtained exhibited in- vitro release profile having large deviation from target. The target release profile was obtained by dividing the controlled release dose constant level is to be maintained. For calculation of similarity factor f2 an ideal modified-release dosage form should release the loading dose (25%) in the first hour and the remaining drug (75%) should be released at a constant rate, i.e., 6.8%/hr. This ideal release pattern was considered as a reference release. From those, an optimized formula was selected for preparation and evaluation based on the predicted and target values of the evaluation parameters that were taken into consideration in optimization process. The release was found to be influenced by the presence of both the rate limiting polymers; jackfruit mucilage and tamarind polysaccharide.
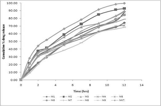
Table 2: Cumulative % drug release of formulation batches
| Dissolution Medium |
Time(Hrs) | Cumulative % drug release | |||||||||
| M1 | M2 | M3 | M4 | M5 | M6 | M7 | M8 | M9 | MKT | ||
| 1.2 pH (0.1 N HCl) |
0 | 0 | 0 | 0 | 0 | 0 | 0 | 0 | 0 | 0 | 0 |
| 1 | 12.08 | 21.54 | 21.56 | 15.24 | 10.85 | 15.56 | 20.31 | 15.41 | 8.81 | 28.34 | |
| 2 | 22.12 | 37.68 | 35.79 | 31.34 | 21.33 | 30.94 | 34.37 | 29.67 | 20.05 | 44.03 | |
| 7.4 pH Phosphate buffer |
3 | 29.36 | 41.58 | 41.47 | 37.96 | 31.06 | 36.32 | 39.59 | 35.09 | 29.84 | 52.15 |
| 5 | 45.83 | 58.79 | 55.86 | 49.85 | 45.34 | 48.34 | 47.44 | 45.52 | 38.68 | 66.28 | |
| 7 | 55.93 | 72.56 | 68.67 | 60.71 | 53.71 | 56.62 | 63.24 | 57.39 | 48.14 | 78.27 | |
| 9 | 62.74 | 84.94 | 73.66 | 70.31 | 62.67 | 68.55 | 73.76 | 68.49 | 61.59 | 91.44 | |
| 11 | 68.62 | 91.17 | 83.42 | 76.93 | 69.48 | 78.87 | 82.76 | 75.05 | 66.21 | 98.3 | |
| 12 | 74.25 | 92.87 | 89.73 | 87.68 | 70.7 | 84.33 | 88.72 | 78.81 | 68.37 | 99.59 |
From the in-vitro dissolution data (Table 2), it was found that formulations M1 to M9 released 68.37 to 92.87% (24 hrs), 20.05 to 37.68 % (2 hrs) and 61.59 to 84.94 % (9 hrs) of drug respectively, all the formulations showed better drug release profile for 12 hrs. Formulation containing 15% jackfruit mucilage and 12.5% tamarind polysaccharide showed drug release within 2 and 9 hrs due to high swelling property and erosion in alkaline media respectively.
The in-vitro drug release profiles of formulations are shown in Fig. 2. All the prepared factorial formulations were studied for in-vitro drug release kinetics shown in Table 3 and found to be following the matrix (Higuchi) (r2 value close to 1) The r2 values of Higuchi‘s plot indicated that the formulation exhibit linearity towards diffusion mechanisms with a correlation values in the range of 0.9847- 0.9978.
Further the data treatment using Korsemeyer-Peppas equation indicated that all the formulations have the n‘value> 0.5. The value of n ≤ 0.5 indicates quasi-Fickian diffusion mechanism. For n > 0.5, an anomalous non-fickian diffusion and the special case of n = 1 that has gained importance due to its potential application in the development of swelling controlled drug delivery systems.

Fig. 2: Cumulative % drug release of factorial batches
The results indicate that the drug was released by a combination of diffusion as well as polymeric chain relaxation. The r2 values of matrix as well as Korsemeyer-Peppas release pattern for all formulations were near one implying a mixed order kinetics being operative.
Table 3: In-vitro drug release kinetic study
| BatchCode | Kinetic Models | Best Fit Model | |||||
| Zero order | 1st order | Matrix | Korsmeyer-Peppas | Hix. Crow. | |||
| r2 | n | ||||||
| M1 | 0.9558 | 0.9970 | 0.9847 | 0.9954 | 0.7204 | 0.9904 | 1st order |
| M2 | 0.9183 | 0.9934 | 0.9994 | 0.9951 | 0.5833 | 0.9951 | Matrix |
| M3 | 0.9053 | 0.9869 | 0.9978 | 0.9967 | 0.5508 | 0.9849 | Matrix |
| M4 | 0.9409 | 0.9776 | 0.9906 | 0.9899 | 0.6449 | 0.9855 | Matrix |
| M5 | 0.9524 | 0.9964 | 0.9847 | 0.9913 | 0.7422 | 0.9879 | 1st order |
| M6 | 0.9465 | 0.9884 | 0.9905 | 0.9920 | 0.6337 | 0.9905 | Peppas |
| M7 | 0.9328 | 0.9846 | 0.9931 | 0.9939 | 0.5673 | 0.9892 | Peppas |
| M8 | 0.9398 | 0.9965 | 0.9928 | 0.9937 | 0.6270 | 0.9893 | Matrix |
| M9 | 0.9667 | 0.9963 | 0.9785 | 0.9878 | 0.7895 | 0.9917 | 1st order |
| MKT | 0.8813 | 0.9983 | 0.9995 | 0.9983 | 0.5083 | 0.9151 | Matrix |
The ‘n’ value for each formulation was above 0.5, indicating that mechanism of release is the Non-Fickian diffusion type. Although majority of the formulations followed non-fickian (anomalous) diffusion mediated drug release, the release exponent for optimized formulation is 0.789 which indicates that beyond the equilibration point of jackfruit mucilage, the release mechanism is undergoing a change from non-fickian to Case II transport. This proposed change could be noticed in the changing slopes of the dissolution profile of M2. A two-factor, three-level (32) full factorial design was used for the optimization of polymers carries for sustained released DLT HCl. The levels for the selected independent variables were determined from the preliminary batches: for Jackfruit mucilage and tamarind seed polysaccharide, low (50 mg) and high (70 mg) levels, were selected. Values of responses were added and quadratic equation developed. Their (responses) values tested for ANOVA (P = < 0.05 indicate model terms are significant) and was found to be significant shown in Table 6. Polymers effect on drug release was plotted by Response surface method (RSM).
Similarity factor f2 and % release was calculated for all the 9 batches and optimization was done by using Design Expert 9.0.2.0 Software.
Y = b0 + b1A + b2B + b3AB + b4A2 + b5B2
Where Y is the response; b0 is the intercept (which represents the response when the level of all factors is low), and b1, b2, b3, b4, b5 are regression coefficients. A and B are individual effects; A2 and B2 are quadratic effects; AB is the interaction effect. ANOVA test for model with responses have shown in Table 4 and 5. From the results, 5 % significance level, a model is considered significant if the p value (significance probability value) is less than 0.05. It could be concluded that for all four responses, the cross-product (interaction AB) effect and quadratic effect (A2, B2) are not significant. But the linear (A-Jack, B-Tam) and model terms are significant.
The Polynomial equation (Shown in Table 6) contains coefficient for intercept, regression coefficients, (A and B) individual effects; (A2 and B2) quadratic effects; (AB) the interaction effect. The sign and magnitude of the main effects signify the relative influence of each factor on the responses. The value obtained for main effect of each factor reveal that Tamarind seed polysaccharide, individually, has rather more pronounced effect on all response value.
The equation in terms of coded factors can be used to make predictions about the response for given levels of each factor. By default, the high levels of the factors are coded as +1 and the low levels of the factors are coded as -1.
Table 4: Factorial design with observed response value
| Run | A:Jackmg | B:TamMg | Batch Code | f2 | % Release% |
| 50 | 70 | M1 | 37 | 74.25 | |
| 60 | 50 | M2 | 60 | 92.41 | |
| 50 | 50 | M3 | 58 | 89.73 | |
| 70 | 50 | M4 | 50 | 87.68 | |
| 60 | 70 | M5 | 36 | 70.69 | |
| 60 | 60 | M6 | 47 | 84.32 | |
| 50 | 60 | M7 | 57 | 88.71 | |
| 70 | 60 | M8 | 43 | 78.81 | |
| 70 | 70 | M9 | 33 | 68.37 |
Table 5: ANOVA test for model with responses
| Source | f2 Similarity factor | % Release | ||
| F Value | p-valueProb> F | FValue | p-valueProb> F | |
| Model | 9.699 | 0.046 | 20.058 | 0.017 |
| A-Jack | 6.978 | 0.078 | 8.64 | 0.061 |
| B-Tam | 39.68 | 0.0081 | 86.76 | 0.0027 |
| AB | 0.25 | 0.653 | 0.598 | 0.496 |
| A2 | 0.23 | 0.68 | 0.482 | 0.538 |
| B2 | 1.38 | 0.33 | 3.825 | 0.146 |
Table 6: Quadratic equation of the response surface
| Response | Coded Factors | Actual Factors |
| f2 | f2 = 49.89 -4.33A - 10.33 B +1 AB -1.33A2 - 3.33B2 | F2 = 5.89+0.57 Jack +2.37 Tam +1.00E-02 Jack Tam -0.013 Jack2-0.033 Tam2 |
| % Release | % Release = 84.76 - 2.97 A - 9.42 B -0.96 AB- 1.22 A2 - 3.43 B2 | % Release = -42.6074 + 1.74 Jack + 3.74762 Tam - 9.57E-03 Jack Tam - 0.012166 Jack2- 0.034292 Tam2 |
The coded equation is useful for identifying the relative impact of the factors by comparing the factor coefficients.
The equation in terms of actual factors can be used to make predictions about the response for given levels of each factor. Here, the levels should be specified in the original units for each factor. This equation should not be used to determine the relative impact of each factor because the coefficients are scaled to accommodate the units of each factor and the intercept is not at the centre of the design space. Mathematical relationships in the form of polynomial equation for the measured response (Similarity factor f2, % release) were obtained with the stat-ease software.

Fig. 3: Linear correlation plot of similarity factor f2 between actual and predicted values
The polynomial equation relating the different response and independent variable in terms of coded factors and in terms of actual factorsis given in Table VI. Fig. 3 and 6 shows linear correlation between actual and predicted values for similarity factor f2 and % release respectively.
From this graph we can conclude that factorial design used for optimization was valid with some error in predicted and actual values. Fig. 4 and 7 Contour Plots showing the effect of amount of polymer jackfruit mucilage and tamarind seed polysaccharide on similarity factor f2, and % release respectively.

Fig. 4: Contour plot for the relationship between amount of jackfruit mucilage and tamarind seed polysaccharide on similarity factor f2

Fig. 5: Response surface plot for the effect of amount of jackfruit mucilage and tamarind seed polysaccharide on similarity factor f2

Fig. 6: Linear correlation plot of % release between actual and predicted values
Fig. 5 and 8 response surface plots showing the effect of amount of polymer jackfruit mucilage and tamarind seed polysaccharide on similarity factor f2 and % release respectively. Fig. 9 shows Overlay plot effect of amount of polymer jackfruit mucilage and tamarind seed polysaccharide on similarity factor f2 and % release. White region shows the desirable region and point where all the responses meet was optimum.
A two-factor, three-level (32) full factorial design mediated formulation development thus helped to develop and optimize the matrices of diltiazem HCl with desired sustained release profile. Keeping in view the dynamic conditions existing in-vivo under which release is supposed to occur in the GIT, it is expected that the units will be release drugs at least up to 12 hrs and doing so would release the drug at a rate sufficient to maintain uniform plasma level for better therapy. Thus, it is expected to be a better clinical option to treat chronic hypertension. The stability studies showed that there was no significant change in dissolution profile after storage.

Fig. 7: Contour plot for the relationship between amount of jackfruit mucilage and tamarind seed polysaccharide on % release

Fig. 8: Response surface plot for the effect of jackfruit mucilage and tamarind seed polysaccharide on % release

Fig. 9: Overlay plot for the effect jackfruit mucilage and tamarind seed polysaccharide on similarity factor f2 and % release
CONCLUSION
Matrix tablets of diltiazem HCl prepared with combination of 15% jackfruit mucilage and 12.5% tamarind polysaccharide were found to have good physical properties. The optimize formulation exhibited less percentage deviation of response parameters from both predicted and target responses in comparison to other predicted formulations. The formulations prepared by combination of jackfruit mucilage and tamarind polysaccharide retarded the drug release effectively for 12 hrs. Formulation M2 exhibited similar drug release profile as that of marketed product. The mechanism of release of diltiazem HCl from matrices was following Higuchi (matrix) as well as Non-Fickian diffusion. From the present study, it can be concluded that diltiazem HCl matrices could be developed with desirable release modulation for a once daily administration.
CONFLICT OF INTERESTS
Declared None
ACKNOWLEDGEMENT
Authors are thankful to Panchsheel Organics limited Indore for donating gift sample of diltiazem HCl and to the Principal, Government College of Pharmacy for providing necessary facilities to carry out this work.
REFERENCES