1Analytical chemistry department, faculty of pharmacy - cairouniversity, kasr el-aini post, et-11562cairo, egypt. 2makin research center (mrc), 9th zone, nasr city, cairo, egypt.
Email: emaangalal@hotmail.com
Received: 10 June 2014 Revised and Accepted: 11 Jul 2014
ABSTRACT
Objective: To develop and justify a validated simple and selective RP-HPLC method for simultaneous determination of betamethasone valerate (), clioquinol (CLIO) together with their potential interferents including their proposed degradation products, the preservatives methyl paraben (MPB) and propyl paraben (PPB) as well as gentamycin and tolnaftate.
Methods: Degradation products of betamethasone and clioquinol were prepared then the technique was built using an efficient chromatographic separation on a Zorbax C18 column (25 cm×4.6 mm, 5.0 μm) using water- methanol-acetonitrile- glacial acetic acid (394: 50: 550: 6, v/v/v/v) as mobile phase and the eluent was monitored at 275 nm.
Results: The developed method was linear over the concentration ranges of 12-240 µg mL-1, 30-3000 µg mL-1, 7-140 µg mL-1 and 3.5-70 µg mL-1 for , CLIO, MPB and PPB, respectively, with high degree of accuracy and precision.
Conclusion: The method was successfully applied for the analysis of BETA and CLIO in their pharmaceutical preparations and their combined formulation with gentamycin and tolnaftate. Recoveries were quantitative, and the results obtained agreed with those obtained by official methods.
Keywords: Betamethasone, Clioquinol, Degradation, HPLC, Stability, potential interferents.
INTRODUCTION
Betamethasone valerate, 9-fluoro-11β, 21-dihydroxy-16β-methyl-3, 20-dioxopregna-1,4-dien-17-yl pentanoate. It is a corticosteroid anti-inflammatory agent, but clioquinol, 5-chloro-7-iodoquinolin-8-ol, is an antifungal and antiprotozoal, while methylparaben and propylparaben arecommonly used as antimicrobial preservatives [1].

Fig. 1: It shows the structural formulae of studied drugs
Betamethasone valerate and clioquinol are commonly dispensed together in creams and ointments formulations. Due to the critical role of preservatives in the improvement of the shelf-life of such semisolid products, different preservatives are widely added. The esters of 4-hydroxy benzoic acid, viz. parabens, are quite commonly used for preserving those semisolid preparations. Therefore, it was essential to resolve and determine such co-formulated preservatives in an a single LC-method for the determination of betamethasone and clioquinol in their dosage form or probably decomposed preparations [2].
Since betamethasone 17-valerate was reported to be thermally degraded into betamethasone 21- valerate [3-9] and clioquinol is chemically related to the quinolones among which there are many phototoxic compounds[10-12], so the development of chromatographic method in order to follow the stability of the pharmacutical dosage form during its manufacturing, handling and storage processes is essential. Several chromatographic methods, such as TLC methods [13-15] and HPLC methods were widely used as stability indicating methods for betamethasone valerate in different pharmaceutical preparations [3,5, 16-19], have been reported for the determination of betamethasone valerate in different pharmaceutical preparations. Different chromatographic procedures, such as LC [20-26] and/or GC [27] have been suggested for the determination of clioquinol in different pharmaceutical preparations. Till date, there is no reported procedure, particularly selective LC-methods has been described for simultaneous separation of BETA, CLIO and their degradation products in presence of parabens pereservatives as well as gentamycin and tolnaftate. The principal objective of this study was to develop a new, simple, economic, selective, precise and reproducible high-performance liquid chromatographic (HPLC) method with a wide linear range and good sensitivity for assay of BETA, CLIO in the presence of their potential interferents including their proposed degradation products, the preservatives methyl paraben (MPB) and propyl paraben (PPB) as well as gentamycin and tolnaftate. Time and effort-saving in quality control routine work is of a great value, so one of the main tasks of this work was to consider a valuable analysis at a short time, particularly if multi-components are existing in a complex matrix, like creams and ointments. The method was validated in accordance with International Conference on Harmonization (ICH) guidelines [28].
Experimental
Samples
Pure samples (References)
Betamethasone-17valerate BNo. 90565M, Dr. Reddy’s,(Hyderabad-India) was assayed by BP-2010 method[1] and its purity was found to be (100.33 ± 0.31%).
Betamethasone-21-valerate:reference standard specimen (British Pharmacopoeia Commission, U.K.).
Clioquinol BNo. 0705010153, Synthexim,(Germany), was assayed by BP-2010 method[1] and its purity was found to be (100.19± 0.55%).
Methyl paraben BNo. 20070307, Biesterfeld,(Hamburg-Germany), was assayed by BP-2010 method[1] and its purity was found to be (100.21± 0.80%).
Propyl paraben BNo. 408277P, Biesterfield,( Hamburg-Germany), was assayed by BP-2010 method[1] and its purity was found to be (100. 07± 0.62%).
Market samples
-Betaval-C® cream, BN: 110906, labelled to contain 0.1% (w/w) betamethasone (asvalerate), 3% (w/w) clioquinol, 0.7%(w/w) methyl paraben and 0.35% (w/w) propyl paraben, manufactured by Arab Drug Co., Cairo-Egypt.
-Betaval-C® ointment, BN: 221008, labelled to contain 0.1% (w/w)betamethasone (as valerate) and 3%(w/w) clioquinol, manufactured by Arab Drug Co., Cairo-Egypt.
-Betnovate- C® cream, BN: 081813 A, labelled to contain 0.1% (w/w) betamethasone (as valerate) and 3%(w/w) clioquinol, manufactured by Glaxosmithline,Cairo-Egypt.
-Quadriderm® cream, BNo.:ET-08-VNC2-60, labelled to contain 0.05%(w/w) betamethasone (as valerate), 1%(w/w) clioquinol, 0.1%(w/w) gentamicin sulfate and 1%(w/w) tolnaftate, manufactured by Schering, Germany.
Instrumentation and chromatographic conditions
Instrumentation
HPLC analysis were carried out on an Agilent-1200 series LChromatograph system, Agilent Technologies, (Germany).Liquid chromatograph consisted of an isocratic pump, a variable wavelength UV-detector, equipped with autosampler injector and integrator, Agilent, (USA).
Preperative TLC glass plates; prepared by accurately weighing 25 gm of silica gel F254 in a 100-mL stoppered conical flask, 50-mL of distilled water was added to the powder, shaken rapidly and poured onto the centre of a clean glass plate. The plates were left overnight, activated in an oven at 120oC for about one hour and allowed to cool in a desicator.
IR Spectrophotometer: Shimadzu 435 (Kyoto-Japan), sampling was undertaken
as KBr-discs.
Gas chromatograph-mass spectrometer: Shimadzu QP1000 EX (Kyoto-Japan).
20µL Hamilton syringe.
Chromatographic Conditions
HPLC Chromatographic separation was achieved on a Zorbax RP-C18-column (5 µm, 25cm x 4.6 mm i.d.). Water, methanol, acetonitrile and glacial acetic acid in a ratio (394: 50: 550: 6 v/v/v/v) used as a mobile phase. The mobile phase was filtered through 0.45 μm millipore membrane filter and was degassed for 15 minutes in an ultrasonic bath prior to use. The flow rate of mobile phase was 1.5 mL/min. The column temperature was maintained at 25°C and wavelength was monitored at 275 nm. The injection volume was 10μL. The standard and the test dilutions were prepared in methanol.
TLC chromatographic separation was achieved using methylene chloride-methanol (95:5, v/v,) as a developing system. The degradation product was separated on preparative TLC plates. The plates were developed over a distance of 15 cm in the usual ascending manner and the tank was previously saturated with the mobile phase and plates were visualized under UV-lamp at 254 nm.
Preparation of degradation products of Betamethasone-17valerate and clioquinol
Thermal degradation product of Betamethasone-17valerate
Pure Betamethasone-17valerate (30 mg) was accurately weighed into 100-mL conical flask, dissolved in 50-mL methanol. The methanolic solution was subjected to heat at 80ºC in a water bath and the samples were taken every 30 minutes for testingthe completeness of thermal degradation by the proposed HPLC method. The disappearanceof intact betamethasone-17valerate peak at time of 4.67 min. indicates the complete thermal degradation, which was achieved after about 6 heating hours. Results were confirmed by comparing retention time of the resulted degradation peak with that of betamethasone-21valerate reference standard using the proposed chromatographic conditions.
Photodegradation products of clioqionol
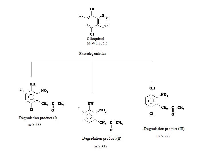
Pure clioquinol (37.5 mg) was accurately weighed into 50-mL sealed volumetric flask, dissolved in 25-mL methanol and the volume was completed to the mark with methanol. The methanolic solution was subjected to laboratory diffuse sunlight (beside an open window). Such natural day-light illumination provides information about the drug photodegradation by simulation. The laboratory temprature was 25ºC ± 2 ºC. Samples were taken every 1 day and tested for completeness of the photolytic degradation. Complete degradation was confirmed by TLC through the disappearance of drug spot. A control test was done to avoid errors. It was found that no spots was observed at Rf = 0.41 at which the intact clioquinol appears, indicating the complete photolysis, which was occured after almost three weeks. Preparative TLC was used for the separation of the prepared degradation products, The bands corresponding to each degradation product were scratched and dissolved in methanol. The solutions were stirred, filtered and the solvent was allowed to evaporate under reduced pressure.
After complete separation and purification of the three degradation compounds, they were subjected to IR & MS analysis (using gas chromatograph-mass spectrometer) for subsequent identification and structure elucidation. Good and interpretable results of the spectral data were confirming the postulations.
Standard Stock solutions
All standard solutions were stable for one week,on keeping refrigerated and clioquinol solutions, in particular, must be protected from direct light.
Stock solution of betamethasone-17valerate (0.6 mg mL-1) in methanol: 30mg of pure betamethasone-17valerate was accurately weighed into 50-mL calibrated volumetric flask, dissolved in about 25-mL methanol and the volume was completed to the mark with methanol.
Stock solution of clioquinol (1.5 mg mL-1) in methanol:75 mg of pure clioquinol was accurately weighed into 50-mL calibrated volumetric flask, dissolved in about 25-mL methanol and the volume was completed to the mark with methanol.
Stock solution of methyl paraben (3.5 mg mL-1) in methanol: 350 mg of pure methyl paraben was accurately weighed into 100-mL calibrated volumetric flask, dissolved in about 50-mL methanol and the volume was completed to the mark with methanol.
Stock solution of propyl paraben (1.75 mg mL-1) in methanol: 175mg of pure propyl paraben was accurately weighed into 100-mL calibrated volumetric flask, dissolved in about 50-mL methanol and the volume was completed to the mark with methanol.
Standard solution of thermal degradation product of Betamethasone-17valerate: after the degradation was completed (as previously detailed), appropriate dilution was made in order to obtain concentration of 0.3 mg mL-1.
Standard solution of photodegradation products of clioquinol: after the degradation was completed (as previously detailed), appropriate dilutions were made in order to obtain concentration of 0.75mg mL-1.
Procedures
Construction of calibration curves
The calibration curves were constructed from various standard solutions prepared by diluting stock solutions of betamethasone-17valerate (0.6 mg mL-1), clioquinol (1.5 mg mL-1), MPB (0.35 mg mL-1) and PPB (0.175 mg mL-1) in methanol, such they cover the concentration ranges of 12 -240 µg mL-1, 30-3000 µg mL-1, 7-140 µg mL-1 and 3.5-70 µg mL-1 for betamethasone-17valerate, clioquinol, MPB and PPB respectively. 10µl were injected in triplicates to liquid chromatograph. Relative peak area values (peak areas of BETA, CLIO, MPB and PPB to that of external standard 60µg mL-1, 150 µg mL-1, 35µg mL-1 and 17.5 µg mL-1 for BETA, CLIO, MPB and PPB respectively) were then plotted against the corresponding concentrations of BETA, CLIO, MPB and PPB to obtain the calibration graphs.
Application to pharmaceutical preparations (Betaval-C®cream, Betaval-C®ointment, Betnovate-C®cream and Quadriderm®cream)
Active ingredients were extracted from each formula by melting of an accurately weighed amount of it in methanol (3 x 30 mL) at 50ºC temprature till complete melting with contineous stirring, cooling then filtration in 100-mL calibrated volumetric flask, the volume was completed with methanol. 10µl were injected in triplicates to liquid chromatograph. The concentrations of , CLIO, MPB and PPB were calculated from their regression equations.
RESULTS AND DISCUSSION
Two problems in pharmaceutical quality control work were facing the analysis of betamethasone-17valerate and clioquinol in admixtures with parabens preservatives. The first problem was that the pre-separation was almost a requirement for the analysis of each active ingredient and preservative and some of these methods need complicated extractions, non-selective and are time consuming. The second problem was in testing the stability of betamethasone valerate and clioquinol together in their pharmaceutical dosage forms. Betamethasone-17valerate was reported to be degraded to betamethasone-21valerate either in its powder form or formulations[3-8]. Expermimtally it was found that betamethasone-17valerate is succeptable to thermal degradation [80ºC in a water bath for 30 minutes] and betamethasone-21valerate was confirmed by compering its HPLC chromatogram with that of reference standard betamethasone-21valerate. This thermal degradation could be happened during the manufacturing process which usually subjected to multiprocedures including a fusion method which applied for fatty compounds and melting of ointment base, mixing to ensure homogeneity, then continuously stirring until congealing[9].
Clioquinol like other quinolines is liable to photo-degradation[8-10]. Preparative TLC is commonly used for separation and purification of many compounds[29]. Photodegradation was carried out and a preparative TLC was used for separation of the three degradation products that appeared at Rf values (0.26, 0.63 and 0.81) while the intact clioquinol spot was appeared at Rf value 0.41. The assignment of the three photodegradates was based on comparison of IR and mass spectral data. Mass spectra of the three degradation products were characterized by their molecular ion peaks at m/z 355, m/z 318 and m/z 227 respectively.

Solvent front Start
Fig. 2: It shows the TLC separation of clioquinol photodegradates
![]() |
![]() |
![]() |
![]() |
Fig. 3: It shows the IR spectra of clioquinol and its photodegradates
![]() |
![]() |
![]() |
Fig. 4: It shows the mass spectra of clioquinol and its photodegradates.

Fig. 5: It shows the proposed mechanism of clioquinol photodegradation
System suitability: Parameters of the system suitability have been calculated under the optimized experimental conditions. All components could be eluted in forms of symmetrical peaks quite away from each others.
The data describe the calculated resolution values (Rs) as well as selectivity factor (α), which ensures the complete separation of all components under investigation. The Tailing factor of each drug peak also revealed linear isotherm peak elution without noticeable tailing.

Fig. 6: It shows good separation of all components
In this paper, a simple, sensitive and selective LC method was developed for simultaneous quantification of betamethasone-17valerate, clioquinol in presence of their potential interferents including the thermal degradation product of betamethasone-17salt and the photo-degradation products of clioquinol, the preservatives methyl paraben (MPB) and propyl paraben (PPB) as well as gentamycin and tolnaftate, in different pharmaceutical preparations.
These two mechanisms of degradation either thermal or photo were liable to be formed in nature during manufacturing, transportation or storage. In modern analytical laboratory, there is always a need for significant selective methods in order to follow the drug(s) stability. No LC method has been yet described for simultaneous determination of those compounds in their admixtures, especially in semisolid pharmaceutical formulations.
Method Optimization
Several trials have been carried out to reach a satisfactory separation of such combination with the degradation products, which may present as a result of thermal degradation of BETA and photodegradation of CLIO their potential interferents either in raw materials or finished products.
Choice of mobile phase
The trials involved the use of different mobile phases with different flow rates and ratios. Mobile phase of choice was found to be water, methanol, acetonitrile and glacial acetic acid in a ratio (394: 50: 550: 6 by volumes) with an isocratic elution mode with a flow rate of 1.5 mL/min. Increasing ratio of water in mobile phase leads to great delay and broadning in all peaks, also its decrease leads to bad separation between all peaks, addition of methanol gives the optimum separation between betamethasone-17valerate peak and its thermal degradation product peak, addition of glacial acetic acid affords better separation between peaks of betamethasone-17valerate and its thermal degradation product and increase the sharpness of clioquinol peak.
Choice of stationary phase
Different stationary phases C8&C18 (Zorbax, Nucleodure, Nucleosil, Eclipse) with different dimentions and particle sizes were used, it was found that Zorbax-C18 column with 5µm particle size gave the most suitable resolution between all peaks, while the use of C8-column failed in thier separation.
Choice of detector wavelength
The choice of detector wavelength was optimised at 275 nm since the three degradation products of clioquinol have no absorbances at this wavelength and subsequently no corresponding peaks in the chromatogram, which ensures no overlaping between degradation products peaks and those of intact drugs, leading to good resolution of BETA, CLIO and their degradation products in presence of MPB and PPB.
Upon applying the optimum chromatographic condition, a good separation and sharp peaks without tailing was acheived. Well resolved sharp peaks of BETA, CLIO, MPB and PPB in presence of BETA degradation product,were appeared at ~4.67 min., 6.17 min., 1.29 min. and1.88 min.,in order, without an interference from the clioquinol degradations products. Only very little practical deviations from the mean tR-values of the resolved drugs were observed, although different days. The total run time for a complete quantification of all the five substances was ~ 8 minutes.

Fig. 7: It shows good separation in presence of degrdation products

Fig. 8: It shows good separation in presence of garamycin and tolnaftate
Table 1: It shows the system suitability parameters for Analytes
| Parameter | Separated compounds | |||
| BETA | CLIO | MPB | PPB | |
| Retention time tR | 4.67 | 6.17 | 1.29 | 1.88 |
| Capacity factor K’ | 6.78 | 9.28 | 1.15 | 2.13 |
| Resolution Rs | 13.60 | 6.69 | 6.29 | |
| Selectivity factor α | 1.92 | 1.32 | 1.45 | |
| Tailing factor | 1.02 | 1.12 | 1.10 | 1.06 |
| Theoretical plates(column efficiency) | 11306 | 11306 | 3279 | 6350 |
Method Validation
Linearity: Linear relationships were obtained between relative peak areas and concentrations for BETA, CLIO, MPB and PPB in concentration ranges of 12-240µg/mL, 30-3000 µg/mL, 7-140 µg/mL and 3.5-70 µg/mL, respectively. The regression equations were computed from the relative peak area of each drug substance to that of external standardversus their corresponding concentrations.
Accuracy
Different concentrations of pure samples of BETA, CLIO, MPB and PPB were analyzed by the proposed HPLC method. The concentrations were calculated from their corresponding regression equations. The mean percentage recoveries were found to be (100.37 ± 0.300)%, (100.24± 0.328)%, (100.06 ± 0.545)% and (99.93 ± 0.580) %for BETA, CLIO, MPB and PPB respectively.
Standard addition technique
Various amounts each of pure BETA, CLIO, MPB and PPB, from their stock-solutions, were added to the pharmaceutical formulations (ointments or cream), then applying the procedure in the recommended ranges of dilutions. The concentractions of each added compound were calculated from the corresponding regression equations of that substance.
Precision
The intra-day precision (repeatability) of the method was evaluated by assaying three different concentrations of freshly prepared solutions of BETA, CLIO, MPB and PPB within the same day. On the other hand, the intermediate precision of the method was calculated by analyzing the same BETA, CLIO, MPB and PPB concentrations on three successive days. The relative standard deviations (RSD%) for each studied component was calculated using the proposed HPLC-method.
Specifity and Selectivity
The specificity of the method was tested by analyzing mixtures of BETA, CLIO, MPB and PPB in presence of common interfering decomposition products (degradation products, gentamicin and tolnaftate) with good resolution and recoveries of the target compounds. Separation showed goodrecoveries, without noticeable interference of the common excipients and other additives.
Robustness
The robustness of a method is its ability to remain unaffected by small changes in parameters. Several modified chromatographic conditions,small changes in proportions of different components, by up to ±0.5 % mainly of the organic part of the mobile phase, in addition to the ionic strength of the o-phosphate salt component, flow rate, different production lot number of Zorbax-C18 column and small deliberate changes in detection wavelength were applied which did not affect the resolution and selectivity of the method.
Stability
Analyzing commercial samples kept at room temperatures (~22±0.5 oC) on the laboratory bench or in the refrigerator (~5 oC) for two weeks has been carried out which resulted in RSD% values within 1.0%. (Clioquinol samples were kept protected from light).
Statistical analysis
Statistical evaluation of results obtained by applying the proposed method and those of the official (BP-2010) ones has been undertaken by the student t-testing, F-ratio calculation where it was concluded that there is no statistically significant differences between them.
Table 2: It shows the Summary of the validation parameters of the proposed HPLC-method for the determination of BETA, CLIO, MPB and PPB in presence of BETA and CLIO degradation products
| Parameter | BETA | CLIO | MPB | PPB |
| LinearitySlopeInterceptCorrelation coefficient (r) | 0.0165+0.00761 | 0.0068-0.03220.9999 | 0.0274+0.01750.9999 | 0.056+0.01690.9999 |
| Range (μg/mL) | 12 -240 | 30-3000 | 7-140 | 3.5-70 |
| Accuracy( Mean ± RSD ) % | 100.37±0.300 | 100.24±0.328 | 100.06±0.545 | 99.93±0.580 |
| Precision (RSD%)RepeatabilityIntermediate precision | 0.188-0.1630.500-0.354 | 0.220-0.1790.399-0.357 | 0.452-0.4360.455-0.239 | 0.367-0.1580.372-0.214 |
Table 3: It shows the tatistical analysis of the results obtained by the proposed HPLC method and the official methods in pure form
| Parameter | The proposed HPLC method | Official method* | ||||||
| BETA | CLIO | MPB | PPB | BETA | CLIO | MPB | PPB | |
| Mean | 100.37 | 100.24 | 100.06 | 99.93 | 100.33 | 100.19 | 100.21 | 100.40 |
| SD | 0.301 | 0.328 | 0.545 | 0.580 | 0.306 | 0.554 | 0.800 | 0.622 |
| RSD % | 0.300 | 0.327 | 0.545 | 0.580 | 0.305 | 0.553 | 0.798 | 0.620 |
| Variance | 0.091 | 0.108 | 0.297 | 0.336 | 0.094 | 0.307 | 0.640 | 0.387 |
| N | 6 | 6 | 6 | 6 | 6 | 6 | 6 | 6 |
| Student'st-test | 0.285(2.201)** | 0.499(2.201)** | 1.021(2.228)** | 1.080(2.228)** | - | - | - | - |
| F-value | 1.33(4.95)** | 2.69(4.95)** | 1.12(5.05)** | 1.35(5.05)** | - | - | - | - |
* Official BP- 2010 method[1] for BETA, CLIO, MPB and PPB are described in the literature review for each compound. ** The figures in parenthesis are the corresponding tabulated values at P = 0.05.
CONCLUSION
The proposed HPLC method gives a good resolution between betamethasone 17valerate, clioquinol in the presence of their potential interferents including their proposed degradation products, the preservatives methyl paraben (MPB) and propyl paraben (PPB) at run time~ 8 minutes, while in presence of gentamycin and tolnaftatethe run time will be ~ 12 minutes. The wide linearity range, sensitivity, accuracy, short retention time, and simple mobile phase make the method suitable for routine quantification of betamethasone valerate, clioquinol, methyl paraben and propyl paraben in their pharmaceutical preparations or in the combined formulation with gentamycin and tolnaftate such as Betaval- C® cream, Betaval- C® ointment, Betnovate- C® cream and Quadriderm® cream.
CONFLICT OF INTERESTS
Declared None
REFERENCES