
aDepartment of Pharmaceutical Chemistry, SNJB’s SSDJ College of Pharmacy, Chandwad, bNGSPM’s College of Pharmacy, Nasik
Email: taelegokuls@gmail.com
Received: 15 Apr 2016 Revised and Accepted: 20 June 2016
ABSTRACT
Objective: The present research work was aimed to observe the effect of Metformin hydrochloride () on non-enzymatic glucosylation of recombinant human serum albumin (rHSA).
Methods: Albumin was incubated at 37 ° in 10 mM phosphate buffer (pH 7.4) using 0.2% sodium azide for 7 d with different concentrations of D-(+)-glucose and MET. Incorporation of D-(+)-glucose (5-12 mM) into rHSA was calculated in the presence of metformin hydrochloride (1-5 µg/ml) following extensive dialysis of the incubation mixture. The binding experiments were exercised at respective plasma concentration of rHSA, D-(+)-glucose and MET in corresponding to that of diabetic and non-diabetic population. Glycosylation of rHSA was quantified using 2-thiobarbituric acid (2-). Whereas, metformin hydrochloride was quantified using a validated LC-MS/MS method with negative ion electrospray ionization using multiple reactions monitoring () mode. MET was eluted isocratically on X-Bridge BEH Phenyl column with a mobile phase consisting of mixture of water (containing 50 mM ammonium acetate) and acetonitrile in a ratio of 70:30.
Results: The weighted (1/X2) calibration curve from 20 to 10, 000 ng/ml was employed for the calculation of in sample with line equation of Y= 0.0020584x+0.0037475. The binding pattern of to rHSA, was specific and pH dependent, possibly due to a change in ionization state of MET and change in conformation of rHSA during the binding process.
Conclusion: All the described parameters were in accordance to the FDA Guideline (inside 85-115% for the accuracy and less than 15% for the precision), thus it can be concluded that the bioanalytical method is were fully validated as per USFDA guideline. These experiments showed the affinity of toward the rHSA proved to be higher than its affinity toward the glucose.
Keywords: Recombinant human serum albumin (rHSA), Metformin hydrochloride, glycosylation of albumin, Protein binding, LC-MS/MS
© 2016 The Authors. Published by Innovare Academic Sciences Pvt Ltd. This is an open access article under the CC BY license (http://creativecommons.org/licenses/by/4.0/)
INTRODUCTION
Albumin is known to have a set of multitude functions viz. binding and transport capacities, oncotic pressure regulation and antioxidant properties [1]. Non-enzymatic glycation is one of the primary modification factors that contribute to various alterations in functions of serum albumin particularly in diabetes [2]. Erythrocyte protein [3], lipoprotein [4], nerve proteins [5], lens protein [6] and plasma proteins [7] are glycosylated more in diabetic patients as compare to non-diabetic subjects and play a key role in progression of chronic diabetic complications [8]. Binding of drugs have been impaired due to glycosylation of albumin in both in vitro and in vivo conditions [9]. Oral antidiabetic sulfonylurea, gliclazide has shown increase in binding with glycosylated albumin [10]. Indurthi et al. (2014) have observed that albumin binding sites were altered due to various glycosylation reagents in a reagent specific manner [11]. Thus the binding of diclofenac was altered with modified glycosylated serum albumin.
Inorganic [12] and organic polyamine cations [13] has shown binding with HSA in a pH-specific manner. The authors have observed that the polyamine cations induce conformational changes with a reduction of α-helicles and increase in β-structure of HSA.
Metformin HCl (MET; fig. 1), is a strongly basic compound with pKa about 11, present in cationic form under physiological conditions, which is seem to be essential for its mechanism. MET is known to repair antioxidant property of serum albumin [14]. MET inhibit the formation of early, intermediate and advanced glycation end products [15]. The interaction of MET with levofloxacin lowered the affinity and decreased the percentage of binding of MET in the mixture to bovine serum albumin (BSA) leads to increase in free MET concentration in plasma [16]. One of the possible mechanism of inhibition of formation of advanced glycation end products is reaction of MET with dicarbonyl compounds [17]. MET induce conformational change in human serum albumin and glycosylated albumin. The α-content of HSA was decreased MET concentration dependent [18].

Fig. 1: Chemical structures of (a) Metformin and (b) Ranitidine (IS)
The present study was conducted to assess the effect of MET on non-enzymatic glycosylation of rHSA in in vitro condition. Equilibrium dialysis and ultrafiltration techniques were employed to observe protein binding for glycosylated and non-glycosylated albumin. MET was quantified using validated liquid chromatography coupled to tandem mass spectrometric method.
MATERIALS AND METHODS
Chemical and reagents
Qualified standard of ranitidine hydrochloride (>99.8 %) was gifted by torrent research centre (TRC Ahmadabad, India). The standards of metformin hydrochloride, recombinant human serum albumin (rHSA) and glucosylated human serum albumin (Gly-HSA) were purchased from sigma aldrich (Bangalore, India) and used as supplied. Analytical/HPLC grade chemicals and solvents used were purchased from ranbaxy fine chemicals limited (Delhi, India). Unless otherwise specified, all solutions were filtered using 0.22 µm Ultipor® Nylon-66 membrane filter (Pall Life Sciences, USA) prior to use.
Instrumentation and chromatographic conditions
The liquid chromatography (LC) system coupled with mass spectrometry (MS/MS), used for quantitation of MET, was consisting of solvent delivery (LC 10ADVP), controller (LC10ADVP), autosampler (SIL HTC) and column oven (CTO10ASVP) from Shimadzu (Kyoto, Japan). The 10 µl aliquots of the processed samples were injected on Xbridge BEH Phenyl (75 x 4.6 mm, 2.5 µm particle size and 130Å pore size) column. The isocratic mobile phase consisting of a mixture of water (containing 50 mM ammonium acetate) and acetonitrile (ACN) in a ratio of 70:30 was delivered at 0.5 ml/min into the mass spectrometer’s electrospray ionization chamber. The total run time for analysis was 5.0 minute. Ranitidine hydrochloride (fig. 1b) was used as internal standard (IS) for quantitation method of MET. Quantitation was achieved by MS/MS detection in positive ion modes for both MET and ranitidine (IS) using a triple quadruple mass spectrometer (API 2000) made by AB Sciex Instruments (Toronto, Canada). The split ratio, cone voltage and collision energy were 1:7, 20V and 20eV, respectively. Detection of the ions was performed in the multiple reaction monitoring (MRM) mode using the transition pairs of MET at the m/z 130.1 precursor ion to the m/z 70.9 and m/z 315.02 precursor ion to the m/z 176.15 product ion for IS. The analytical data was processed by Analyst software (version 1.4.1). All the chromatograms into the same batch were processed automatically by the software using the same processing parameters such as integration type, smooth, peak-to-peak amplitude and peak detection.
The validation parameters viz. specificity, calibration curve, precision and accuracy and stability studies were exercised as per the USFDA’s bioanalytical validation guideline [19] for determination of MET spiked to rHSA. The calibration curve was performed from 20 to 10, 000 ng/ml of MET. Three quality control (QC) batches representing concentration 100, 1000 and 8000 ng ml-1of MET for lower QC (LQC), middle QC (MQC) and higher QC (HQC), respectively, were employed for accessing accuracy and precision (PandA). The stability of the MET in spiked sample as well as in analytical solution was observed for 90 d.
Extraction studies for MET
Protein precipitation technique was employed for extraction of MET form rHSA [20]. For spiking purposes a laboratory mixture, containing rHSA (47.5 mg/ml) and 5 mM of D-(+)–glucose and 0.05 parts of internal standard in water, was prepared and used as Plasma blank. The protein precipitation was carried out for a plasma blend containing 1 part of plasma blank and 0.1 part of drug. About 20 µl of Diluted standard solution containing MET (10 µg/ml) was added to 200 µl of plasma blank in a 1.5 ml capacity micro-centrifuge tube. The blend was subjected to vortex for about 3 min. The mixture was allowed to stabilize for two minutes then 770 µl of ACN was added and the blend was subjected to vortex for two minute. The mixture was subjected to vortex for 10 min followed by centrifugation for 10 min at 15,000 rpm. The mixture was allowed to stabilize for two minutes then 100 µl of supernatant washed using dichloromethane and dried. The extracts were reconstituted with a fixed volume of water and an aliquot of that was analysed by LC-MS/MS.
Influence of MET on glycosylation of rHSA
The laboratory mixture for rHSA (Fraction V; 47.5 mg/ml) solution was prepared in 10 mM phosphate buffer (pH 7.4) with0.2% (w/v) sodium azide and D-(+)-glucose corresponding to plasma concentrations ranging from 5-12 mM. Following the addition of D-(+)-glucose, MET was added to its plasma concentration range from 1-5 µg/ml. The laboratory mixture was incubated for upto7 d in capped, sterile vials at 37 ° and 20 RPM in envirogenie® metabolic shaker. The pH of the reaction solutions was varied from 5.0-11.0 and difference in glycosylation was observed at 10 mM glucose concentration correspondence to plasma concentration of MET (5 µg/ml). At the end of each incubation period, 1-ml samples were removed and dialyzed against several 1000-fold volumes of distilled water for 24 h at 4 °. The remainder was lyophilized and stored at-20 °. A portion of the dialysate was monitored for the presence of free glucose by the glucose oxidase method. The remainder was lyophilized and stored at-20 °. Incubated samples were compared to control samples which were prepared and incubated for same time period by dissolving identical quantities of albumin incubated with glucose in phosphate buffer and dialyzing against distilled water for 24hr [21].
2-Thiobarbituric acid test for glucosylated albumin
The assay of glucosylated albumin (Gly-HSA) was performed with little modification as procedure described in literature [7]. About 5 mg lyophilized samples of glucosylation process end product of rHSA were placed in 15-ml culture tubes and dissolved in distilled water (2 ml). After the addition of 1.0 N oxalic acid (1.0 ml), the tubes were gently shaken, capped, and placed in a heating block at 98 ° for 6 hr. The tubes were subsequently cooled and cold 10% trichloroacetic acid (0.5 ml) was added to precipitate the protein. The contents were then centrifuged at 9000 ×g for 10 min. An aliquot (2 ml) of the supernate was removed and added to a solution of 0.05 M aqueous 2-thiobarbituric acid (1.0 ml). After mixing and an incubation period of 20 min at 37 °, the absorbance of each sample was measured at 442 nm using an UV-Visible spectrophotometer (Shimadzu 1800, Kyoto Japan).
Isolation of unbound MET and determination of its concentration in rHSA and Gly-HSA solutions
Binding of MET was observed for non-glycosylated and 10-15 % glycosylated rHSA. The results of protein binding were compared for equilibrium dialysis and ultrafiltration techniques. A mass balance approach was performed for assaying MET in dialyzed as well as in the undialyzed samples. Amicon® ultrafiltration tubes were utilized to perform protein binding experiment. MET present in dialysate or in filtrate, was quantified using the validated LC-MS/MS method without any extraction step. The dialysate was diluted and filtered through 0.45 µm Dispo® syringe nylon filter for every step. MET and the IS were extracted from rHSA by protein precipitation extraction method as mentioned in Section 2.3. At the end, the mass balance studies were executed to estimate the protein binding of MET.
RESULTS
Liquid chromatographic mass-spectrometric system
MET was eluted isocratically on X-Bridge BEH Phenyl (75 x 4.6 mm, 2.5 µm particle size and 130Å pore size) column with a mobile phase consisting of mixture of water (containing 50 mM ammonium acetate) and acetonitrile in a ratio of 70:30. Typical chromatograms of the MRM transition for MET and IS are shown in fig. 2.
The method had fulfilled the requirement of analysis with the use of MRM transitions130.1>70.9 and 315.02>176.15 for MET and IS, respectively as shown in fig. 3.
Validation of LC-MS/MS method
All the described parameters were in accordance to the FDA guideline (inside 85-115% for the accuracy and less than 15% for the precision), it can be concluded that the bioanalytical method was fully validated as per USFDA guideline and sufficient to quantify the MET in rHSA. Results of bio-analytical method validation for MET in rHSA are summarized in table 2.
Inhibition of glucose binding to rHSA
Glycosylated albumin was quantified using method as described in literature. It was including formation of 5-(hydroxy-methyl)-2-furaldehyde, as a result of ketamine covalent linkage between glucose and rHSA followed by reduction with oxalic acid, which shown a characteristic coloured adduct with 2-thiobarbituric acid (2-TBA). Increase in free glucose concentration was observed with corresponding increase in MET concentration or vice versa.
Incubation of MET with rHSA at physiological pH and temperature was resulted in the displacement of glucose binding sites of rHSA. The incorporation of glucose to rHSA was decreased linearly with increase in plasma concentration of MET.
The binding pattern is glucose was found though specific and linear. About 5-10% inhibition was observed at higher MET concentration. The result of influence of MET on non-enzymatic glucosylation of rHSA is shown in fig. 4.

Fig. 2: Representative chromatogram of MET (a) and IS (b)


Fig. 3: Mass spectra of MET precursor ion (a), product ion (b), mass spectra of Ranitidine precursor ion (c) and product ion (d)

Fig. 4: Influence of MET on non-enzymatic glucosylation of rHSA
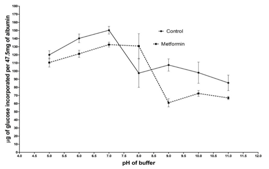
The degree of in vitro non-enzymatic glucosylation process of rHSA was depended mainly on the pH of buffer. At pH 6.5~7.5, the rHSA is assumed to be a weak cation exchanger which exhibited negative charge, uniformaly distributed at the surface. The reaction between rHSA and D-(+)-glucose most likely occurs by means of a nucleophilic interaction of an unprotonated amino group of rHSA toward the glucose molecule. At physiological pH, few of the primary groups exist of rHSA in the unprotonated state. At physiological pH MET exist in the ionized form, which is the active form of the drug. Therefore, MET may be preferred to make interaction with rHSA as compare to glucose and this situation may account for the relatively slow rate of the glucosylation reaction in the presence of MET. At physiological pH and temperature, incorporation of MET to rHSA was although specific and but biphasic and not similar to binding pattern of glucose. The dissimilarity of binding pattern of MET as compare to glucose at higher pH value possibly due to its varying degree of ionization. However, at every glucose concentration employed, MET incorporation into rHSA was significantly greater than that incorporated by rHSA bound with glucose particularly at pH value less than 9.0. Here we can predict that within the protein molecule with free-COO-groups preferentially to bonds with the quaternary form of MET (-NH+). The affinity of rHSA for MET would be limited since the-COO-groups are “blocked” by internal-OH bonds.
The rate of MET incorporation into rHSA was independent to the incubation period. Whereas, incorporation of glucose to rHSA was concentration depended. In cases of glucose binding, the incubation of glucose to rHSA was incorporation was linear and time dependent, whereas, glycosylation of rHSA was affected by MET in a concentration and time independent manner as shown in fig. 5.

Fig. 5: Effect of incubation period on non-enzymatic glucosylation of rHSA in the presence of MET
We had observed that MET inhibits non-enzymatic glcosylation of rHSA. Protein binding MET to albumin was low and concentration independent as shown in fig. 6. Binding of MET to glycosylated HSA has followed the same pattern as that of non-glycosyalted HSA with significantly lower in binding of MET to glycated albumin.
DISCUSSION
Optimization of the chromatographic system
MET is a weak base with high pKa value (BH+, 11.41) [22] and the drug had shown very short retention on reversed phase column. Therefore, Reversed phase HPLC method was not the first choice to estimate the MET in in vitro solutions. Various analytical techniques viz. ion-pair reversed phase LC, normal phase LC, HILIC and liquid chromatography coupled with mass spectrometry have been employed to solve this problem. Among these techniques, ion pair-reversed phase HPLC is the most commonly used method for metformin analysis with “controllable” retention in reversed phase sorbent. Initially, a cationic ion pair HPLC method was developed for estimation of MET spiked in rHSA. Though the method was capable in quantifying the MET but in complex matrices, an additional degree of certainty is required to confirm the presence of metformin, which was achieved by the cationic ion-pair method. MET eluting close to the solvent front, resulted in a difficult separation and poor resolution of metformin from co-eluting matrix components especially from plasma protein. Therefore, MS was decided for detection coupled to LC as method of choice.
Several columns were tested for metformin retention, including the Atlantis HILIC, Water phenyl, YMC Pack Pro–Cyno and conventional reversed phase columns (i.e. C8 and C18). Both the C8 and C18 results showed poor retention due to hydrophilic and ionic character of MET in pH range of essential in chromatography working. Less non polar or more polar stationary phases like–Phenyl was better alternative technique to reversed-phase chromatography for strongly hydrophilic, polar and ionic compounds.
The selected stationary phase was providing complementary selectivity to non-polar sorbent of reversed phase LC, especially for polar compounds. The eluent was an equal volume combination of aqueous buffer that contain ammonium acetate and ACN as organic phase. The selectivity of the selected stationary phase for MET was tuned by varying the amount of organic phase in combination with the ionic strength and the pH of buffer phase. A series of aqueous mobile phases containing different pH values, different concentration buffer solutions and different volume fractions of organic modifier were tested. The optimized LC conditions were achieved with a mobile phase of 10 mM aqueous ammonium acetate and ACN (70:30, v/v). Typical chromatograms of the MRM transition for MET and IS are shown in fig. 2. For MS detection, optimization was performed for two types of interfaces in both the negative and the positive ion mode, and these were subsequently compared for sensitivity of the response. Negative ion mode produced better results than positive ion mode.
Validation of LC-MS/MS method
The matrix effect for the accurate estimation of MET was observed by spiking MET to rHSA. The MS response for mean matrix effect (n=6) was less than 5% as compare to that of MET LLOQ (i.e. 20 ng/ml). Consequently, we prepared the calibration standards by adding metformin working standard solution into blank matrices.
The response function of the MS instrument is corrected by applying weighing to the calibration curve for back calculation of lower concentration samples. The “1/X” weighted calibration curve was providing least error in recovery value at LLOQ level (table 1).
Table 1: Comparison of weighted and unweighted calibration curves for MET
| Name of drug | Calibration range (ng/ml) | Unweighted linearity curve | 1/X weighted linearity curve |
| m | c | ||
| MET | 20-10000 | 3.2 10-3 | -2.9 × 10-2 |
m and c are slope and y-intercept, respectively, for line equation of y=mx+c. SEc is standard error of Y-intercept. And %MRELLOQ is %Mean relative error at LLOQ level
Since all the described parameters were in accordance to the FDA Guideline (inside 85-115% for the accuracy and less than 15% for the precision), it can be concluded that the bioanalytical method is were fully validated as per USFDA guideline and sufficient to quantify the MET in rHSA. Results of bio-analytical method validation for MET in rHSA are summarized in table 2.
Table 2: The summary of LC-MS/MS Bioanalytical method validation for MET spiked in rHSA
| Parameter | Procedure | Results |
| Specificity | Matrix effect due to fatty acid free rHSA and human plasma, Dilution integrity and injection carry over test for six injection |
No interference was observed at retention time of MET and IS |
| Calibration curve | In the range of 20 (LLOQ) to 10, 000 ng ml-1and “Goodness of fit” | Weighing of 1/X2 with line equation of Y= 0.0020584x+0.0037475 |
| Precision and Accuracy | For each QC level, coefficient of variation (% CV for n=6 samples) not exceeding 15% on | |
| Intra Batch (Same day) | Same day and on | Precision= 4.64 Accuracy = 97.8 |
| Inter Batch (Different day) | Different days | Precision= 5.13 Accuracy = 98.9 |
| Recovery studies | Evaluated by calculating the mean of the concentration of each extracted QC sample set and dividing by the mean of the Unextracted sample set. | 72.1±1.15 |
| Stability* | ||
| Post-processing stability | Six aliquots of QC samples at 8-15˚ for 72 h | 2.95 |
| Freeze-and Thaw Stability Tests | Storage of QC samples at the-20ºC followed by thawing unassisted at room temperature | 5.66 |
| Long-Term Stability Test | Six aliquots of QC samples at 8-15˚ for 90 d | 6.96 |
* Stability experiments were performed at two QC level in triplicate
Inhibition of glucose binding to rHSA
Formation of 5-(hydroxy-methyl)-2-furaldehyde, was prepared through ketamine covalent linkage between glucose and rHSA followed by reduction with oxalic acid, had shown a characteristic coloured adduct with 2-thiobarbituric acid (2-TBA). Increase in free glucose concentration was observed with corresponding increase in MET concentration or vice versa.
Incubation of MET with rHSA at physiological pH and temperature was resulted in the displacement of glucose binding sites of rHSA. The incorporation of glucose to rHSA was decreased linearly with increase in plasma concentration of MET. The binding pattern is glucose was found though specific and linear. About 5-10% inhibition was observed at higher MET concentration. The result of influence of MET on non-enzymatic glucosylation of rHSA is shown in fig. 4. The degree of in vitro non-enzymatic glucosylation process of rHSA was depended mainly on the pH of buffer. At pH 6.5~7.5, the rHSA is assumed to be a weak cation exchanger which exhibited negative charge, uniformaly distributed at the surface. The reaction between rHSA and D-(+)-glucose most likely occurs by means of a nucleophilic interaction of an unprotonated amino group of rHSA toward the glucose molecule. At physiological pH, few of the primary groups exist of rHSA in the unprotonated state. At physiological pH MET exist in the ionized form, which is the active form of the drug. Therefore, MET may be preferred to make interaction with rHSA as compare to glucose and this situation may account for the relatively slow rate of the glucosylation reaction in the presence of MET. At physiological pH and temperature, incorporation of MET to rHSA was although specific and but biphasic and not similar to binding pattern of glucose. The dissimilarity of binding pattern of MET as compare to glucose at higher pH value possibly due to its varying degree of ionization. However, at every glucose concentration employed, MET incorporation into rHSA was significantly greater than that incorporated by rHSA bound with glucose particularly at pH value less than 9.0. Here we can predict that within the protein molecule with free-COO-groups preferentially to bonds with the quaternary form of MET (-NH+). The affinity of rHSA for MET would be limited since the-COO-groups are “blocked” by internal-OH bonds.
The rate of MET incorporation into rHSA was independent to the incubation period. Whereas, incorporation of glucose to rHSA was concentration depended. In cases of glucose binding, the incubation of glucose to rHSA was incorporation was linear and time dependent, whereas, glycosylation of rHSA was affected by MET in a concentration and time independent manner as shown in fig. 5 earlier.
We had observed that MET inhibits non-enzymatic glcosylation of rHSA. Protein binding MET to albumin was low and concentration independent as depicted in fig. 6.
Binding of MET to glycosylated HSA has followed the same pattern as that of non-glycosyalted HSA with significantly lower in binding of MET to glycated albumin.

Fig. 6: Effect of pH on Non-enzymatic glucosylation of rHSA
CONCLUSION
Glycosylation of albumin may alter its binding properties. In Non-Insulin Dependent Diabetes Mellitus patients MET treatment is generally used in high daily dose with a mean plasma concentration ranging from 1-5 µg/ml. MET has shown competitive inhibition of D–(+)-glucose binding to rHSA. The serum albumin may possess some cationic exchanger sites which exposed more at specific pH value. The organic cations are having higher inclination toward rHSA at that specific pH value in a concentration independent manner, which suggest that albumin may contain specific and limited number of cation exchange site. A liquid chromatography coupled to mass spectrometric method was developed and validated as per USFDA bioanalytical method validation guideline. MET is extensively used concomitantly with sulphonyl urea (high protein bound drug category) and results obtained from these suggested that the non-enzymatic glycosylation of rHSA in diabetic patients complicates MET+drug interactions.
ACKNOWLEDGEMENT
The authors are thankful to BCUD, University of Pune to provide fund for this research (Grant no.: 13PHM000692). We are also thankful to Torrent Research Centre (TRC; Ahmedabad, India) for providing gift samples of Ranitidine.
CONFLICT OF INTERESTS
Declared none
REFERENCES
How to cite this article