
aCollege of Pharmacy, Al Ain University of Science and Technology, Al Ain, Abu Dhabi, UAE, bFaculty of Pharmacy, The University of Sydney, NSW 2006, Australia
Email: amallal@hotmail.com
Received: 26 Apr 2016 Revised and Accepted: 20 June 2016
Abstract
Objective: Resveratrol, a trihydroxystilbene, has been claimed to be a potent activator to SIRT-1 enzyme activity, which in turn could have a useful future application in the management of many chronic conditions such as metabolic syndrome and obesity. A group of novel tetrahydroxystilbene derivatives were isolated from Kangaroo Island propolis in Australia. Due to its structural similarities with resveratrol, the aim of this research was to explore the activity of Kangaroo Island prenylated stilbenes on SIRT-1 enzyme.
Methods: In vitro fluorometry measurement of SIRT-1 enzyme activity using SIRT-1 assay kit (Cayman®).
Results: None of the tested compounds had shown any activation to SIRT-1 enzyme, on contrary, they produced mild inhibition to the enzyme. Compound 3 (C20H22O4, 3,5,4'-trihydroxy-3'-methoxy-2-prenyl-E-stilbene) was the most potent inhibitor.
Conclusion: Compound 3, in addition to compounds 2, 4, and 6 are candidate compounds for further investigation. A discussion of the results as well as the contradictory results in the literature has been presented in this article.
Keywords: SIRT-1 enzyme, Resveratrol, Piceatannol, Tetrahydroxystilbenes, Stilbenes, Propolis
© 2016 The Authors. Published by Innovare Academic Sciences Pvt Ltd. This is an open access article under the CC BY license (http://creativecommons.org/licenses/by/4.0/)
Introduction
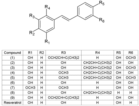
Propolis is a sticky resinous material collected by honeybees from different plant origins, transported to the hive and mixed with bees wax. Propolis has an important role in maintaining a healthy hive for brood development. Also it can be used as an embalming substance to cover the body of dead insects which are too large to remove out of the hive. Propolis has shown to have strong biological activities including; antimicrobial, antioxidant, anti-inflammatory, hepato-protective and anti-cancer activities [1, 2]. Propolis originated from Kangaroo Island, South Australia is a unique type of propolis which is rich in prenylated stilbenes (fig. 1). It is estimated that 75% of the ethyl acetate extract of Kangaroo Island propolis is stilbenes. Six of the prenylated stilbenes were novel compound in addition to a novel cinnamic acid derivative and chalcone [3]. SIRT1 is a member of Sir2 family (class ΙΙΙ) which is a NAD-dependent histone deacetylase. Deacetylation by SIRT1 enzyme can target many substrates including histone, tumor suppressor p53, forkhead transcription factor (FOXO), peroxisome proliferator-activated receptor-γ (PPARγ) and co-activator-1α (PGC-1α) [4]. In humans, histone deacetylases are classified into four classes. Classes Ι, ΙΙ, ΙV are zinc ion-dependent for their activity, while class ΙΙΙ, which are also called “sirtuins”, is NAD+-dependent for its catalytic activity. Seven homologs (SIRT1-SIRT7) have been identified from class ΙΙΙ. SIRT1 is the mammalian ortholog of Sir2p (silent information regulator 2 protein) in the yeast Saccharomyces cervisiae [5].
SIRT1 has been shown to be involved in the regulation of many physiopathological processes like inflammation, cellular aging, apoptosis/proliferation, metabolism and cell cycle regulation [6]. Accordingly, SIRT1 activation could be a potential therapeutic target to control many diseases such as metabolic syndrome, obesity, neurodegenerative disorder, skeletal muscle dysfunction and aging-related diseases [5]. On the other hand, many researcher observed an overexpression of SIRT1 enzyme in several cancers such as prostate cancer, colorectal cancer, hepatocellular carcinoma and leukemia [7]. Based on these observations, SIRT1 inhibition was proposed as a potential target for anticancer treatment [8]. The aim of this research was to investigate the in vitro effect of prenylated stilbenes (fig. 1) isolated from Kangaroo Island propolis on SIRT-1 enzyme activity.

Fig. 1: Chemical structures of stilbenoids isolated from Kangaroo Island propolis
MaterialS and Methods
Extraction and isolation
The detailed procedures of extraction, isolation, elucidation of structures and identifying the botanical origin of Kangaroo Island propolis were mentioned in our previous works [3, 9]. In summary, propolis collected from Hog Bay Apiary (20 g) in Kangaroo Island was powdered and dissolved in 150 ml ethyl acetate (EtOAc). The mixture was stirred for 24 h in dark until a solution with suspended solid formed. The mixture was then filtrated twice to obtain ethyl acetate soluble fraction. The solvent evaporated and the residue then suspended in 150 ml dichloromethane (CH2Cl2) and loaded into normal phase short-column vacuum chromatography (SCVC) to start the first SCVC. Elution was carried out with a step-wise gradient system of CH2Cl2-EtOAc (1:0-3:1). As a result, 33 fractions were collected and grouped into four groups: A (f5-f8), B (f15-f20), C (f21-f29) and D (f30-f33).
Fraction B was subjected to further normal-phase SCVC and afforded compound 1 (C20H22O4, 5,4'-dihydroxy-3'-methoxy-3-prenyloxy-E-stilbene), and compound 5 (C21H24O4, 5,4'-dihydroxy-3,3'-dimethoxy-2-prenyl-E-stilbene). Fraction C was subjected to multistep fractionation and separation and resulted in the isolation of compound 7 (4',5'-dihydroxy-3,5-dimethoxy-E-stilbene), compound 8 (C19H20O2, Flavestin B), compound 9 (C19H20O4, 3',4',5-trihydroxy-3-prenyloxy-E-stilbene), and compound 3 (C20H22O4, 3,5,4'-trihydroxy-3'-methoxy-2-prenyl-E-stilbene).
Fraction D was subjected to normal-phase SCVC using a gradient system of CH2Cl2-EtOAc followed by RP-HPLC using Econosil C18 column and isocratic mobile phase of acetonitrile-H2O, which resulted in the isolation of compound 4 (C20H22O4, 5,3',4'-trihydroxy-3-methoxy-2-prenyl-E-stilbene), compound 2 (C19H20O4, 3,5,3',4'-tetrahydroxy-2-prenyl-E-stilbene) and compound 6 (C14H12O4, piceatannol).
SIRT1 direct fluorescent screening assay
The kit was purchased from Cayman chemical company, Michigan, USA. The procedure is based on two steps performed in the same microplate. In the first step, we incubate the substrate; which comprises the p53 sequence Arg-His-Lys-Lys(ε-acetyl)-AMC (7-amino-methylcoumarin); along with its cosubstrate NAD+. Deacetylation sensitizes the substrate, such that treatment with the developer in the second step releases a fluorescent product which can be analysed using fluorimeter.
To one of the thawed SIRT1 peptide vials add 240 µl of NAD+and 850 µl of diluted assay buffer. The addition of 15 µl to the assay yields a final concentration of 125 µM peptide and 3 mM NAD+. For the 100% initial activity wells (3 wells), add 25 µl of assay buffer, 5 µl of diluted SIRT1, and 5 µl of solvent (DMSO). For background wells (3 wells) add 30 µl of assay buffer and 5 µl of solvent. For Inhibitor/Activator wells (3 wells), add 25 µl of assay buffer, 5 µl diluted SIRT1, and 5 µl of inhibitor/activator. Initiate the reaction by adding 15 µl of substrate solution to all the wells being used. Cover the plate with the plate cover and incubate on a shaker for 45 min at room temperature. In order to prepare the stop/developing solution, weigh 30 mg of developer into a vial, then add 200 µl of nicotinamide and 4.8 ml of diluted assay buffer, vortex until the developer is into solution. Remove the plate cover and add 50 µl of stop/developing solution to each well. Cover the plate and incubate for 30 min at room temperature. Finally remove the plate cover and read the plate in a fluorimeter using an excitation wavelength of 350-360 nm and an emission wavelength of 450-465 nm. Determine the average fluorescence of each sample and subtract the fluorescence of the background wells from the fluorescence of the 100% initial activity and the inhibitor/activator wells. The experiment was carried out in two independent assays, each performed in triplicate. The results were calculated according to the following formula:
% Inhibition/Activation = [(Initial activity–Sample)/Initial activity] x 100
Results and Discussion
The SIRT-1 assay kit utilises a substrate which comprises the p53 sequence Arg-His-Lys-Lys (ε-acetyl)-AMC (7-amino-methyl-coumarin) and a co-substrate (NAD+). The fluorophore produced by the deacetylation reaction can be analysed using fluorometry. None of the compounds tested have shown any activation of the SIRT1 enzyme. Actually all of the tested compounds showed mild inhibition (fig. 2). Resveratrol, which has been used as a positive control, showed a mild activation of almost two folds at a concentration of 100 µM. The resveratrol metabolite with a hydroxyl group at 3’-position, piceatannol (comp.6), completely reversed resveratrol activation of the SIRT-1 enzyme. Piceatannol (comp.6) produced mild inhibition to SIRT-1 enzyme. The replacement of the hydroxyl groups at position 3 and 6 by O-prenyl and methoxy groups respectively (comp.1) has resulted in a significant reduction of the inhibitory activity of piceatannol. The addition of a C-prenyl unit at position 4 (comp.2) slightly enhanced the inhibitory effect of piceatannol. Furthermore, when the hydroxyl groups at position 1 and 3 were replaced by methoxy groups (comp.7), the inhibitory activity of piceatannol was significantly reduced. In relation to the effect of the methoxy group substitution on the C-prenylated tetrahydroxystilbene (comp.2), the substitution of methoxy group at position 6 (comp.3) has slightly increased the inhibitory activity on SIRT-1 enzyme; while the substitution of the same group at position 3 (comp.4) did not produce any significant changes. Combining the two substitutions at positions 3 and 6 (comp.5) has significantly reduced the inhibitory activity on SIRT-1 enzyme. SIRT1 inhibition could be a potential target for the development of new anticancer treatment. In this experiment, comp.3 was the most potent inhibitor of SIRT-1 activity.

Fig. 2: SIRT-1 activity for prenylated stilbenes from Kangaroo Island propolis at 3 concentrations (1, 10 and 100 µM). The results are expressed as % activity (mean±SEM)
Kangaroo island propolis is a unique type of propolis which is rich in prenylated tetrahydroxystilbenes and prenylated cinnamic acid derivatives [3]. Stilbenes in general have been found to possess a wide range of pharmacological effects [10]. Resveratrol; a trihydroxystilbene; is the most studied stilbene and has shown to be a potent activator to SIRT-1 enzyme. This activation was claimed to increase the life span of yeast in experimental setting [11]. Many researchers have studied SIRT-1 activation and reported the therapeutic potential of such activation in many chronic conditions. On the other hand, some researchers hypothesized that activation of SIRT1 enzyme in healthy hepatic cells may work as a protective mechanism against cancer, but when cancer invades the liver, overexpression of SIRT1 enzyme will provide a survival mechanism to cancer cells [12]. The over expression of SIRT-1 enzyme in some cancer cells highlighted the therapeutic potential of SIRT-1 inhibitors as anticancer drugs [13].
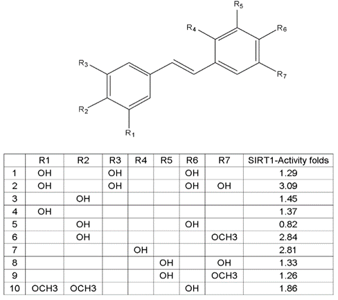
The results of this research agree with some of the results in the literature and contradict others. In the first report published about resveratrol as an activator to SIRT1 enzyme, resveratrol doubled the rate of deacetylation at a concentration of 11 µM, and at concentration of 100 µM it increased the SIRT1 activity by almost 13.5 fold. In the same research, piceatannol and quercetin (at conc. of 100 µM) increased SIRT1 activity by almost 8 and 5 fold respectively [11]; in this research piceatannol did not show any activation of the SIRT1 enzyme. In other research, the resveratrol concentration required to increase SIRT1 activity by 50% was found to be 46.2 µM, and they also found the maximum activation achieved was 2 fold at conc. of 100 µM [14]. Kahyo et al. examined the effect of a group of stilbenes on SIRT1 activity; (fig. 3); they identified piceatannol as the most potent activator, which increased the SIRT1 activity by 3 fold. Resveratrol increased the activity by only 1.29 fold, while quercetin showed very mild inhibition [4]. In general, all the stilbenes tested in that research showed mild inhibition to mild activation to SIRT1 enzyme (0.82–3.09 folds).

Fig. 3: SIRT-1 activity of a group of stilbenes. The results are expressed as activity fold [4]
On the other hand, Borra et al. found that resveratrol activated only human SIRT1, but not other sir2 homologs (yeast sir2 and human SIRT2), so linking the increase of yeast life span with resveratrol to the activation of sir2 enzyme is questionable. Although SIRT1 activation by resveratrol was independent of peptide sequence, SIRT1 activation by resveratrol was dependent on the presence of fluorophore-containing substrate [15]. Similar results were obtained by another group of researchers and they found that the fluorophore decreases the binding activity of the peptide, and in the presence of resveratrol, the fluorophore-containing substrate bound more tightly to SIRT1 enzyme [16].
Another research claimed that activation of SIRT1 enzyme by resveratrol could be an experimental artefact, because in the absence of the fluorophore, the peptide itself is not a substrate for the enzyme. Furthermore, using either a p53-derived peptide substrate or acetylated PGC-1α isolated from cells (without fluorophore) did not activate SIRT1 in the presence of resveratrol [17]. When the assay was carried out using native substrates lacking fluorophore, such as p53-derived peptide or acetyl-CoA synthetase 1, no apparent SIRT1 activation has been shown in the presence of resveratrol. Using NMR, surface Plasmon resonance and isothermal calorimetric techniques indicates that resveratrol directly interact with the fluorophore-containing peptide [18]. Recently, SIRT-1 activation was found to be selective to the substrate sequences. By using peptide microarray assay, a 6802 physiologically occurring acetylation sites were tested in the presence and absence of resveratrol, SIRT-1 activation by resveratrol was strongly correlated with the presence of large hydrophobic residues at several positions C-terminal to acetyllysine in substrates. Interestingly, in some substrate sequences resveratrol was able to inhibit SIRT-1 activity [19]. Other researchers claimed that resveratrol indirectly activated SIRT-1 enzyme through the activation of AMP-activated protein kinase (AMPK). This effect was highly dose-dependent [20].
Recently, a group of researchers have added new insights into the interaction of resveratrol and SIRT-1 enzyme. They found that the presence of N-terminal domain in addition to catalytic domain of SIRT-1 was essential for the stimulatory effect of resveratrol. 3 resveratrol molecules were found to mediate the interaction between SIRT-1 and p53-AMC peptide; two of these molecules are essential for the stimulatory effect and bind to the N-terminal domain of SIRT-1.
By using isothermal titration calorimetry measurements, resveratrol was found to increase the binding between SIRT-1 and the fluorogenic peptide p53-AMC, when native peptides that lack the fluorophore such as PGC-1α and FOXO3a were used, no stimulation to SIRT-1 activity was found. The authors concluded that resveratrol works as an adaptor to strengthen the binding between the fluorogenic peptide and the N-terminal domain of SIRT-1 enzyme [21].
All previous contradictory evidence raises questions about the effect of resveratrol and probably other stilbenes on the activity of SIRT1 enzyme. More investigation is required to clarify the situation.
Limitations
This is an in vitro preliminary investigation about the pharmacological effect of Kangaroo Island prenylated stilbenes on SIRT1 enzyme activity using Cayman SIRT1 assay kit. The results cannot be generalized to living tissues without a proper in vivo testing in living cells. Also, the commercial kit used a substrate that simulate a specific sequence of p53 protein, the effect of the tested compounds on other substrates such as histone, FOXO, p53, PPARγ and PGC-1α was not explored. Finally, the results of activation was measured only by increase fold of enzyme activity, but the effect on protein and mRNA levels was not investigated.
Conclusion
None of the tested stilbenes have shown any activation to SIRT-1 enzyme. On the other hand compounds 2, 3, 4 and 6 have shown moderate inhibition to the enzyme activity. Further testing for these compounds is required to explore their potentials as anticancer candidates.
ACKNOWLEDGEMENT
Project Grant funding support from the Australian National Health and Medical Research Council (CD, RD, VT) is much appreciated and gratefully acknowledged.
Conflict of interestS
We declare no conflict of interest in this research
References
How to cite this article