
Department of Biochemistry, North-Eastern Hill University, Shillong 793022, Meghalaya, India
Email: sry_bhan@yahoo.co.in
Received: 02 May 2016 Revised and Accepted: 20 Jun 2016
ABSTRACT
Objective: The aim of the present study was to determine the effect of chlorophyllin (CHL) on hyperglycemia and hyperlipidemia in streptozotocin (STZ) induced diabetic mice.
Methods: Diabetes was induced in mice by administering 150 mg/kg body weight (bw) dose of STZ. The effect of 10, 25, 50 and 100 mg/kg bw doses of CHL on hyperglycemia was examined in diabetic mice for the acute and sub-acute period. The intraperitoneal glucose tolerance test (IPGTT) was performed in diabetic (Group A) as well as diabetic treated with CHL (Group B), metformin (Group C), glibenclamide (Group D), and insulin (Group E) groups. The percent glycosylated hemoglobin (GHb%) level, lipid profile, and atherogenic index (AI) were determined in normal (Group A), diabetic (Group B) as well as diabetic treated with CHL (Group C), and metformin (Group D) groups.
Results: In both acute and sub-acute antihyperglycemic study, 50 mg/kg bw dose of CHL was found effective in reduction of blood glucose level significantly and considered as an optimum dose. In IPGTT, the significant reduction of blood glucose level in Group B was observed at 2 h (h) and 4 h in comparison with Group A. The GHb%, lipid profile and AI value of Group C were found significantly different from Group B in the study.
Conclusion: The present study justifies the antihyperglycemic and antihyperlipidemic effects of CHL in STZ induced diabetic mice, hence suggesting its beneficial effect in the treatment of diabetes.
Keywords: Chlorophyllin, Diabetes mellitus, Streptozotocin
© 2016 The Authors. Published by Innovare Academic Sciences Pvt Ltd. This is an open access article under the CC BY license (http://creativecommons.org/licenses/by/4.0/)
INTRODUCTION
Diabetes mellitus (DM) is a serious global health issue with 415 million assessed populace under diabetes grip worldwide in 2015 and this fig. might ascend to 642 million by 2040 [1]. It’s also a serious matter of concern that India holds the second position after China with 69.2 million diabetic population in 2015 amongst all nations and evaluated to be 123.5 million by 2040 [1].
DM is a metabolic disorder with heterogeneous etiology characterized by chronic hyperglycemia and deficiency of insulin secretion, insulin action or both that result in disturbances of carbohydrate, fat, and protein metabolism [2]. DM can be divided primarily into Type 1 or insulin dependent diabetes mellitus (IDDM) and Type 2 or non-insulin dependent diabetes mellitus (NIDDM). In both sorts of DM, prolonged hyperglycemia causes symptoms like polyuria, polydipsia, and various complications including retinopathy, nephropathy, and neuropathy [3, 4].
Insulin deficiency has been known to cause lipolysis in adipose tissue and inactivation of lipoprotein lipase that prompts hyperlipidemia. Hyperlipidemia is one of the major factors in the development of micro and macrovascular complications of diabetes which causes morbidity and death [5].
Chlorophyllin is a water-soluble, sodium-copper salt of the chlorophyll molecule. It has been well proved that CHL exhibits highly potent antioxidative activity under different oxidative stress conditions such as radiation and photosensitization induced oxidative damage [6-9]. However, many plants derived chemical compounds with antioxidant activity have been using therapeutically due to their ability to cure free radicals induced oxidative stress and diabetic complications. Recently, a search for appropriate antihyperglycemic and antihyperlipidemic agents has focused on plants used in traditional medicine because natural as well as semi-synthetic products may be a better option than currently used drugs. Therefore, the present work has been undertaken to ascertain the effect of CHL as antioxidant on hyperglycemia and hyperlipidemia in STZ induced diabetic mice.
MATERIALS AND METHODS
Chemicals
CHL, STZ, and Metformin were procured from Sigma-Aldrich Co. (St. Louis, MO, USA.). Glibenclamide was purchased from Emcure Pharmaceuticals Ltd. (Pune, India). Insulin was purchased from Gland Pharma Ltd. (Hyderabad, India). Glycosylated hemoglobin kit obtained from Medsource Ozone Bio-medicals Pvt. Ltd. (Faridabad, India). Total Cholesterol, triglyceride, and HDL kits were procured from Coral Bio-systems (Goa, India). The other chemicals used were of analytical grade procured from Merck Co. (Mumbai, India), Sisco Research Laboratories (Mumbai, India), and Himedia (Mumbai, India).
Animals
Healthy male swiss albino mice (Balb/C strain), weighing 25–30 g, were used for the study. All the experiments were carried out in accordance with the Institutional Ethics Committee (IEC) guidelines. Mice were housed in a room maintained at temperature 22 °C on a 12 h light/dark cycle. They were provided a standard laboratory feed and water ad libitum.
Induction of diabetes mellitus
Diabetes was induced by a single high dose of STZ. After overnight fasting, mice were administered 150 mg/kg bw dose of STZ intraperitoneally (i. p.) i.e. prepared in ice-cold citrate buffer (0.1 M, pH 4.5). After STZ dose, mice had free access to food and 5% glucose solution overnight to counter the hypoglycemic shock [10]. The fasting blood glucose (FBG) level was checked with SD Check glucometer (SD Biosensor Inc., Korea) on the 3rd day after STZ injection. Mice with blood glucose level ≥ 200 mg/dl were selected and used for the experiments.
Antihyperglycemic study
Diabetic mice were divided into five different groups to carry out acute and sub-acute antihyperglycemic study.
Group A: Diabetic Control, administered only the distilled water.
Group B: administered the 10 mg/kg bw dose of CHL.
Group C: administered the 25 mg/kg bw dose of CHL.
Group D: administered the 50 mg/kg bw dose of CHL.
Group E: administered the 100 mg/kg bw dose of CHL.
For acute study, doses were injected i. p. to overnight starved mice of respective groups and FBG level was checked at 0.5 h, 1 h, 2 h, 4 h, and 6 h after injection. While in the sub-acute study, doses were injected i. p. on every alternate day for up to 28 d (d) and FBG level was checked on 1 d, 7 d, 14 d, 21 d, and 28 d respectively.
Intraperitoneal glucose tolerance test (IPGTT)
The IPGTT was carried out into five different groups of diabetic mice and they were starved overnight before the experiment.
Group A: Diabetic Control, administered only the distilled water.
Group B: administered the 50 mg/kg bw dose of CHL.
Group C: administered the metformin.
Group D: administered the glibenclamide.
Group E: administered the insulin.
The reference drugs insulin, glibenclamide, and metformin were administered as described by Syiem et al. prior to the glucose load (2 g/kg bw) [11]. The FBG level was measured before and subsequently at 0.5 h, 1 h, 2 h, and 4 h after the glucose load. From blood glucose versus time plot, the area under the glucose tolerance curve [AUGTC (t0–t4)] was calculated using the trapezoidal method.
Biochemical analysis
For biochemical analysis, four different groups of mice were selected and doses were injected i. p. on every alternate day for 28 d.
Group A: Normal Control, administered only the distilled water.
Group B: Diabetic Control, administered only the distilled water.
Group C: Diabetic mice were administered the 50 mg/kg bw dose of CHL.
Group D: Diabetic mice were administered the 50 mg/kg bw dose of metformin.
At the end of the study, blood was collected from retro-orbital sinus under anesthesia. The GHb% level was estimated in blood using cation exchange method’s kit [12, 13]. The GHb% is the ratio of absorbance of glycosylated hemoglobin fraction and total hemoglobin fraction. Serum was prepared for lipid profile test according to the protocol described by Gasting et al. [14]. In lipid profile test, total cholesterol, HDL-C, and triglyceride levels were estimated using CHOD/PAP method, PEG/CHOD–PAP method, and GPO/PAP method’s kit respectively. The LDL-C and VLDL-C levels were calculated using the following formula [15].
VLDL-C = Triglycerides/5
LDL-C = Total cholesterol–(HDL-C+VLDL-C)
AI value was calculated according to the following formula mentioned by Malaspina et al. to determine the cardiac risk in experimental groups [16].
AI = Total Cholesterol/HDL-C
Statistical analysis
Results are expressed as mean±SEM for six mice in each group. One-way analysis of variance (ANOVA) followed by Tukey’s post hoc test was performed to compare differences between experimental groups using the statistical package “IBM SPSS Statistics 19.0 for Windows.” Statistical significance was set at p<0.05.
RESULTS
Antihyperglycemic study
The result of the acute study of CHL is depicted by fig. 1. There was no significant reduction of FBG level in Group B whereas Group C showed significant reduction of FBG only at (324±20.92) 6 h in comparison with the Group A. The FBG level was reduced significantly at (354±12.81) 2 h, (312±24.60) 4 h, and (311±23.10) 6 h in Group D and (362±10.85) 1 h, (349±11.73) 2 h, (308±18.71) 4 h, and (303±11.86) 6 h in Group E as compared with the Group A in the study.
The result of the sub-acute study of CHL is depicted by fig. 2. The FBG level was reduced significantly only on 28 d in (321±14.87) Group B and (318±11.58) Group C as compared with the Group A. The Group D exhibited significant reduction of FBG level on (404±5.89) 14 d, (340±7.91) 21 d, and (221±11.22) 28 d and Group E exhibited significant reduction of FBG level on (416±2.73) 7 d, (387±5.39) 14 d, (332±7.52) 21 d, and (213±4.21) 28 d in comparison with the Group A in the study.

Fig. 1: The acute antihyperglycemic study showing changes of FBG level in different experimental groups. The values represent the mean±SEM; n = 6. Significant difference: *p<0.05, **p<0.01 as compared with the group A

Fig. 2: The sub-acute antihyperglycemic study showing changes of FBG level in different experimental groups. The values represent the mean±SEM; n = 6. Significant differences: *p<0.05, **p<0.01 and ***p<0.001 as compared with the group A
Intraperitoneal glucose tolerance test (IPGTT)
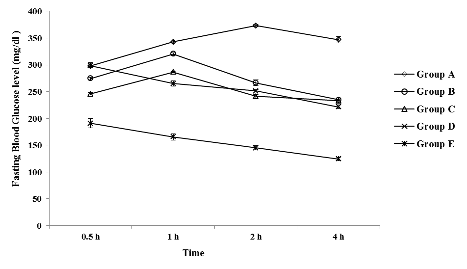
The result of IPGTT is depicted in fig. 3. Following intraperitoneal glucose load (2 g/kg body weight), Group B exhibited significant reduction of FBG level at (29%) 2 h and (32%) 4 h and Group C exhibited significant reduction of FBG level at (35%) 2 h and (33%) 4 h in comparison with the Group A. The significant reduction of FBG level was observed at (23%) 1 h, (33%) 2 h, and (39%) 4 h in Group D whereas Group E exhibited more improved glucose tolerance than other groups with significant reduction of FBG level at (22%) 0.5 h, (36%) 1 h, (52%) 2 h, and (61%) 4 h in comparison with the Group A in the study. As illustrated in fig. 4, the computed values of AUGTC (t0–t4) of (1076.88±7.67) Group B, (992.63±8.07) Group C, (1012.71±8.91) Group D, and (612.21±14.98) Group E were significantly (p<0.001) different from (1377.75±14.57) Group A in the study.

Fig. 3: Result of IPGTT of different experimental groups. The values represent the mean±SEM; n = 6

Fig. 4: The area under the glucose tolerance curves [AUGTC (t0–t4)] of control as well as treated groups. The values represent the mean±SEM; n = 6. Significant differences: ***p<0.001 as compared with the group A
Biochemical analysis
The result of GHb% test is depicted in fig. 5. The result demonstrated that GHb% level was increased significantly in (18.43±0.58) Group B as compared with the Group A whereas significant decrease of GHb% level was observed in (15.02±0.88) Group C and (14.23±0.53) Group D as compared with the Group B in the study.
The result of lipid profile test is demonstrated by table 1. As shown in the table, there was significant difference of total cholesterol, triglyceride, HDL-C, LDL-C, and VLDL-C level in Group B as compared with the Group A in the study.

Fig. 5: Result of the GHb% level of different experimental groups. The values represent the mean±SEM; n = 6. Significant differences: ###p<0.001 as compared with the group A and **p<0.01 as compared with the group B
However, the total cholesterol, LDL-C, HDL-C, VLDL-C, and triglyceride levels in Group C as well as Group D were found significantly different from the Group B in the study. The computed values of AI are also shown in table 1. The AI value was significantly high in Group B as compared with the Group A but Group C and Group D showed significantly less value of AI in comparison with the Group B in the study.
Table 1: Lipid profile test and AI values of different experimental groups
| Groups | Total cholesterol (mg/dl) | Triglyceride (mg/dl) | HDL-C (mg/dl) | LDL-C (mg/dl) | VLDL-C (mg/dl) | AI |
| Group A | 117±7.10 | 99.60±6.05 | 73.40±4.88 | 23.68±2.93 | 19.92±1.21 | 1.60±0.04 |
| Group B | 189.40±10.78### | 169.80±13.06### | 29.20±1.46### | 126.24±9.60### | 33.96±2.61### | 6.60±0.62### |
| Group C | 127.40±6.20*** | 114.80±4.64** | 67.20±2.22*** | 37.24±5.08*** | 22.96±0.93** | 1.90±0.09*** |
| Group D | 119.20±2.13*** | 104.80±2.08*** | 70.40±0.93*** | 27.84±2.42*** | 20.96±0.42*** | 1.70±0.04*** |
The values represent the mean±SEM; n = 6. Significant differences: ###p<0.001 as compared with the Group A and **p<0.01, ***p<0.001 as compared with the group B.
DISCUSSION
STZ or N-(methyl nitro carbamoyl)–D-glucosamine is a well reported diabetogenic agent produces mild to severe types of diabetes depending on the route of administration [17]. STZ is a cytotoxic glucose analog which transports through low-affinity GLUT2 transporter into β-cell and causes cell damage through various mechanisms [18-20]. Insulin deficiency due to β-cell damage causes increased production of glucose by the liver and decrease utilization of glucose in peripheral tissues [21]. Therefore, administration of STZ in mice showed a significant increase in blood glucose with a concomitant increase of cholesterol and triglyceride level in the study.
In acute antihyperglycemic study, FBG level was reduced in a dose dependent manner showing both 50 mg/kg bw and 100 mg/kg bw doses of CHL were quite effective in reduction of blood glucose level in diabetic mice. Similarly, dose dependent decrease of FBG level was also noted in the sub-acute study where 50 mg/kg bw dose was able to reduce FBG at same significance level of 100 mg/kg bw dose on 21 d and 28 d in diabetic mice. Therefor 50 mg/kg bw dose of CHL was considered as the optimum dose instead of 100 mg/kg bw dose and used for the further study.
Glucose tolerance test is a diagnostic method to detect pre-diabetic conditions and also used to evaluate blood glucose homeostasis in diabetic patients. In IPGTT, CHL and other standard drugs showed a significant effect on glucose tolerance in diabetic mice however the most pronounced effect was observed in the case of insulin. In CHL administered group, the pattern of glucose clearance from blood was quite similar with the biguanide drug metformin, which acts through enhancing insulin action and absorption of glucose in peripheral tissues and inhibits gluconeogenesis. The other drug glibenclamide used in our study is a sulfonylurea derivative, which functional mechanisms include stimulation of pancreatic β-cells to release more insulin and inhibition of glucagon secretion. Therefore, the functional mechanism of CHL in lowering blood glucose can be predicted as similar to the mechanism of metformin’s action. The AUGTC (t0–t4) was computed to summarize IPGTT and represent a single index value. The AUGTC (t0–t4) value of CHL administered group showed a significant difference from AUGTC (t0–t4) value of STZ induced diabetic mice.
In diabetes mellitus, the glycosylated hemoglobin is formed by non-enzymatic reaction of excess glucose with hemoglobin and the rate of its formation is directly proportional to blood glucose level. Therefore, it is considered as a well-established parameter to check glycemic control during diabetes [22]. It is noted in our present study that GHb% was produced significantly in diabetic mice suggesting glycosylation of hemoglobin due to hyperglycemia. In contrast to diabetic mice, glycosylated hemoglobin was reduced significantly in CHL administered mice suggesting less available of glucose for glycosylation of hemoglobin in the blood.
Cholesterol and triglyceride levels are often increased during diabetes and triggers risk of atherosclerosis and coronary heart disease in diabetic patients [23]. Our data were in line with the notion that STZ induced diabetic mice exhibited clear-cut abnormalities in lipid metabolism as evidenced from the significant elevation of plasma total cholesterol, triglycerides, LDL-C, VLDL-C, AI and reduction of HDL-C levels. Treatment with CHL for 28 d significantly reduced total cholesterol, triglyceride, LDL-C, and VLDL-C associated with a concomitant significant increase in HDL-C level and a decrease in AI in diabetic mice indicating its potent antihyperlipidemic activity. Several studies have exhibited that decrease in LDL-C along with an increase in HDL-C level is associated with the low possibility of coronary heart disease. Therefore, CHL treatment has also the potential to reduce atherosclerosis and cardiac risk in diabetic mice.
CONCLUSION
In conclusion, it can be stated from our findings that CHL has both the antihyperglycemic and antihyperlipidemic effects in STZ induced diabetic mice. However, the exact mechanism(s) of CHL behind these effects was not fully elaborated by this study and further investigative work is underway.
ACKNOWLEDGMENT
We greatly acknowledge Ministry of Social Justice and Empowerment and Ministry of Tribal Affairs, Government of India, for financial support in the form of fellowship under the Rajiv Gandhi National Fellowship Scheme for SC/ST students.
CONFLICT OF INTERESTS
All authors declare that there are no any conflicts of interest
REFERENCES
How to cite this article