
Centre for Biotechnology, Maharshi Dayanand University, Rohtak, Haryana, India
Email: anil.chhillar@gmail.com
Received: 06 May 2016 Revised and Accepted: 20 Jun 2016
ABSTRACT
Objective: To investigate the in vitro antibacterial and antioxidant potential of B. lacera (leaves). The most active extracts were examined for their chemical composition and cytotoxicity.
Methods: The antibacterial activity of five different extracts were examined against 8 bacterial strains (5 Gram-positive and 3 Gram-negative) using resazurin based microtitre dilution assay (RMDA) and disk diffusion assay (DDA). The antioxidant activity of extracts was demonstrated by using DPPH (1, 1-diphenyl-2-picrylhydrazyl) assay and superoxide radical scavenging assay. Chemical composition and cytotoxicity were assessed by using gas chromatography-mass spectrometry (GC-MS) and haemolytic assay, respectively.
Results: According to RMDA, the petroleum ether extract (PEE) and chloroform extract (CE) exhibited highest antibacterial activity. The PEE showed highest activity against Salmonella enterica ser. typhi and Serratia marcescens with MIC i.e. 390.62 μg/ml. Similarly, the CE showed highest antibacterial activity against Bacillus cereus and Micrococcus luteus with MIC i.e. 390.62 μg/ml. In DPPH assay, CE showed the highest radical scavenging activity with IC50 57.46 µg/ml. In GCMS analysis, the principal compounds in PEE and CE were stigmasterol (12.86 %) and L-(+)-ascorbic acid 2, 6-dihexadecanoate (11.73 %), respectively. In haemolytic assay, the PEE and CE showed non-toxic behaviour up to 125 µg/ml and 500 µg/ml, respectively.
Conclusion: The present investigation represents B. lacera as an incredible herb. The PEE and CE were found to possess promising antibacterial and antioxidant properties. The CE exhibited lesser toxicity as compared with PEE.
Keywords: Antibacterial, Antioxidant, B. lacera, Chemical composition, Cytotoxicity
© 2016 The Authors. Published by Innovare Academic Sciences Pvt Ltd. This is an open access article under the CC BY license (http://creativecommons.org/licenses/by/4.0/)
INTRODUCTION
Multidrug resistance to conventional antibiotics is responsible for the alarming rates of pathogenic microbes. Bacterial infections are still amongst the leading causes of mortality worldwide [1]. Imprudent use of chemotherapeutic agents and improper diagnosis of microbial infections leads to the emergence of drug resistant pathogens [2]. This imperative need for novel therapeutic agents leads to re-emergence of natural products for drug discovery. According to Food and Drug Administration (FDA), 34% of new approved medicines between 1981 and 2010 including anticancer drugs and immunosuppressants were based on natural products or their derivatives [3]. Phytoconstituents are also a safer alternative to prevent cancers [4]. Oxidative stress and cell death are widely related to the generation of reactive oxygen species (ROS) which attack on macromolecules. Various degenerative human diseases including Alzheimer’s disease, diabetes mellitus, neurodegenerative disorders, Parkinson’s disease, inflammation, atherosclerosis, cancer and ageing are associated with uncontrolled generation of free radicals [5]. Several medicinal plants are known for their antioxidant capacity since antiquity [6]. The genus Blumea consists of about 80 species.
B. lacera (Burm. f.) DC (Compositae) is generally known as Janglimulli, Siyalmutra, Kakaronda and Susksampatra [7]. It is a perennial, corymbosely branched herb with well known odour of camphor. Its stem is erect with ash colour. The whole plant is covered with long soft hairs. Leaves are obovate and deeply serrated. It has yellow groundsel-like flowers, arranged in axillary cymes or terminal panicle. Fruits are oblong and without ribs. Its blooming period is during January to April. It is generally found in roadside areas, river margins and wastelands. B. lacera occurs all over the plains of India from the north-west ascending to 2,000 ft in the Himalayas. It is also dispersed to Australia, China and Tropical Africa. Ethnomedicinally, the plant is used as an astringent, stimulant, thermogenic, styptic, opthalmic, digestive, liver tonic, anthelmintic and expectorant [8]. B. lacera also possesses anticancer, anti-inflammatory, antispasmodic, antipyretic, tranquilizing and diuretic activities. Various phytoconstituents including flavones, triterpenes, β-sitosterol, cineol, campesterol, lupeol, hentriacontane and α-amyrin are obtained from essential oils, leaves, root and bark of B. lacera [9].
It is well established that essential oils of B. lacera possessed a broad range of activity spectrum however true potential of its leaves formulations has to be explored. So, we have carried out this study with a broad range of representative bacterial strains and investigate the in vitro antibacterial potential of B. lacera. The in vitro antioxidant potential of B. lacera was also evaluated. Chemical composition and cytotoxicity of extracts having antibacterial and antioxidant properties were assessed.
MATERIALS AND METHODS
Plant material
Fresh leaves of B. lacera were collected from District Jhajjar, Haryana, India, in November 2012. The plant was identified from Department of Botany, Maharshi Dayanand University, Rohtak, Haryana (India) with voucher no. CBT-05 and further authenticated with the help of flora of Haryana [10].
Chemicals and reagents
Petroleum ether, chloroform, acetone, methanol, dimethylsulfoxide (DMSO), hydrochloric acid, Dragendorff’s reagent, ferric chloride, conc. sulphuric acid, Luria broth (LB), Luria agar (LA), resazurin dye, gentamicin, 1, 1-diphenyl-2-picryl hydrazyl radical (DPPH), ascorbic acid, nitro blue tetrazolium (NBT), sodium dihydrogen orthophosphate, di-sodium hydrogen orthophosphate, sodium chloride, NADH, phenazine metho-sulphate (PMS), gallic acid, triton X-100 were purchased from Himedia Chemicals; India.
Extraction procedure
Fresh leaves were air-dried under shade for four successive weeks at room temperature. The dried plant material was chopped and fully grinded into fine powder. The powdered plant material (95 g) was extracted using Soxhlet’s method of extraction. Five different solvents (petroleum ether, chloroform, acetone, methanol and water) were used in ascending order of their polarity. The extract suspensions were filtered through Whatman filter paper No. 1. Filtrates were concentrated under reduced pressure at 40 °C using a rotary evaporator (Buchi Rotavapor R-210) to yield the residues of petroleum ether soluble extract (14.73 g, 15.5 % w/w) chloroform soluble extract (8.37 g, 8.8 % w/w), acetone soluble extract (6.59 g, 6.9 % w/w), methanol soluble extract (16.56 g, 17.4 % w/w) and water soluble extract (10.42 g, 10.9 % w/w). Stocks solutions of concentration 25 mg/ml in DMSO (10 % v/v) were prepared [11].
Bacterial strains
Eight bacterial strains including Bacillus cereus (MTCC-10085), Staphyllococcus aureus (MTCC-3160), Escherichia coli (MTCC-433), Salmonella enterica ser. typhi (MTCC-733), Bacillus subtilis (MTCC-8142), Bacillus pumilus (MTCC-2299), Serratia marcescens (MTCC-9527) and Micrococcus luteus (MTCC-8132) were obtained from Institute of Microbial Technology (IMTECH), Chandigarh.
Preparation of bacterial culture
Under aseptic conditions, a single colony of bacteria was transferred into 100 ml LB and incubated at 37 °C for 12-18 h at 120 rpm. After incubation, the culture was centrifuged at 4000 rpm for 5 min. The supernatant was discarded and pellet was resuspended in 20 ml PBS and centrifuged again at 4000 rpm for 5 min. This step was repeated until the supernatant was clear. The pellet was then suspended in phosphate buffer saline (PBS). Absorbance was estimated by UV-Vis Spectrophotometer (Shimadzu) at 600 nm and dilutions were carried out until the absorbance was in the range of 0.5-1.0, which corresponds to bacterial concentration of 5x106 CFU/ml. This final concentration of 5x106 CFU/ml of log phase culture of bacteria was used for antibacterial assays [11].
Disc diffusion assay
Disc diffusion assay was performed in radiation sterilized Petri plates of 90.0 mm diameter (Tarsons). The LB agar plates were prepared and plated with bacterial culture (5 × 106 CFU/ml). Agar plates were allowed to dry and sterilized discs (6.0 mm in diameter) of Whatman filter paper No. 1 were placed on the surface of the agar. Various extracts were impregnated on the discs at a concentration of 1000 μg/disc. The agar plates were incubated at 37 °C for 24 h. After incubation, agar plates were observed for zone of inhibition, if any, around the discs. The concentration, which developed the zone of inhibition of at least 7.00 mm diameter, was considered as minimum inhibitory concentration (MIC) [11] otherwise, no growth inhibition was recorded. Percent inhibition (% I) for each extract was calculated [12]. Gentamicin was used as standard.
Percent inhibition = (Zone of inhibition of extract/Zone of inhibition of antibiotic) x 100.
Resazurin based microtitre dilution assay
Resazurin based microtitre dilution assay was performed in 96-well plates (Tarsons) under aseptic conditions. Different concentrations of test extracts ranging from 12500.0-6.10 𝜇g/ml were prepared in 100 𝜇l of LB broth by serial dilution method in 96-well plates. Then, 10 𝜇l of resazurin indicator solution (5X) was added in each well. Finally, 10 𝜇l of bacterial suspension was added (5 × 106 CFU/ml) to each well. Each plate had a set of controls i.e. growth control and sterility control. The plates were prepared in triplicate and incubated at 37 °C for 18-24 h at 100 rpm. After incubation, colour change was observed visually. Any colour change from blue to pink was recorded as positive. Resazurin (7-hydroxy-3H-phenoxazin-3-one 10-oxide) is a blue dye and irreversibly reduced to the pink coloured compound by viable bacteria. The lowest concentration at which colour remained unchanged was taken as the MIC value. The average of three values was calculated and was considered as the MIC for the test extract against bacterial strain [11]. Gentamicin was used as standard.
Total activity (TA)
Total activity value (ml/g) is the volume to which the extract can be diluted retaining the ability to inhibit bacterial growth [13]. Total Activity (TA) = Amount extracted from 1 g plant material (mg/g dry weight)/MIC of the extract (mg/ml)
Phytochemical tests
The phytochemical analysis of five extracts was performed by various classical methods [14].
DPPH radical scavenging activity
Extract solutions were prepared at 1 mg/ml concentration by dissolving dry extract in methanol. A volume of 2.0 ml of 0.004 % DPPH solution in methanol was mixed with 1.0 ml of plant extracts in methanol at various concentrations ranging from 1000.0-31.25 μg/ml and incubated at 25 °C for 30 min. Absorbance was taken at 517 nm using a UV-VIS spectrophotometer (Shimadzu). DPPH solution was reduced from purple to a yellow coloured product, diphenylpicryl hydrazine by radical scavenging activity of extract [15]. All experiments were performed in triplicate along with ascorbic acid (standard).
Percent inhibition was calculated using the following expression,
% Inhibition = (1–As/Ab) x 100
Where Ab and As stand for absorption of the blank sample and tested extract solution respectively.
Superoxide radical scavenging activity
Nitro blue tetrazolium (NBT) reduction method was used to determine superoxide scavenging activity. The reaction mixture was prepared by mixing 1.0 ml of NBT solution (312.0 μM NBT in 100.0 mM phosphate buffer, pH 7.4), 1.0 ml NADH solution (936.0 μM NADH in 100.0 mM phosphate buffer, pH 7.4) and 0.1 ml different extracts of B. lacera at different concentrations ranging from 1000.0-31.25 μg/ml. Further, 100.0 μl of phenazine methosulphate solution (120.0 μM PMS in 100.0 mM phosphate buffer, pH 7.4) was added to the reaction mixture. Then test tubes were incubated for 15 min and the absorbance was measured at 560 nm using a UV-VIS spectrophotometer [16]. All experiments were performed in triplicate along with gallic acid as standard. The percent inhibition of superoxide radicals was calculated by following formula:
% Inhibition = (1-As/Ab) × 100
Where Ab and As stand for absorption of the blank sample and tested extract solution respectively.
Calculation of inhibition concentration (IC50) values
IC50 value is defined as the amount of an antioxidant required to decrease the initial concentration of the free radical activity by 50%. A graph was plotted between % inhibition and the log 10 concentrations of the extracts.
Gas chromatography/mass spectrometry (GC/MS) analysis
The extracts were dissolved in respective solvents and filtered through 0.22 μm syringe filter devices (Milipore). These extracts were analyzed for their chemical composition by using a Shimadzu QP-2010 plus with thermal desorption system TD-20 gas chromatography equipped with an Turbo molecular pump (58.0 L/Sec for He), Rotary pump 30.0 L/min (60Hz) and Column (Inert Cap Pure-WAX) flow up to 4.0 ml/min which was operated in EI mode (1.0 pg octafluoronaphthalene m/z 272 S/N ˃200). Helium was the carrier gas at a flow rate of 1 ml/min. The injector and detector temperatures were set at 250 °C and 280 °C respectively. Identification of chemical constituents of the extract was achieved by comparison of their retention indices with their mass spectral fragmentation patterns (NIST database/chemstation data system) [17].
Cytotoxicity
The cytotoxicity study of B. lacera extracts was carried out by haemolytic assay. Healthy human erythrocytes were collected from volunteer and were washed thrice with PBS by centrifugation at 1500 rpm for 10 min. A 2 % (v/v) erythrocyte suspension was treated with different concentrations of test extracts (2000.0-62.5 µg/ml) and incubated for 1 h at 37 °C. After incubation, centrifugation was carried out at 5000 rpm for 10 min. The supernatant was collected and absorbance was measured at 415 nm using an Elisa plate reader (BIORAD). PBS and triton X-100 were used as negative and positive controls respectively. Percent haemolysis for each sample was determined and 10% haemolysis was considered as toxic [18, 19].
Percent haemolysis = 100-(OD of test extract/OD of positive control) × 100
RESULTS
Phytochemical tests
Various chemical tests with five different extracts of B. lacera (leaves) exhibited the presence of alkaloids, tannins, steroids, glycosides, saponins, flavonoids and terpenoids (table 1).
Table 1: Various phytochemicals present in different extracts of B. lacera (leaves)
| S. No. | Extract | Phytochemicals |
| A | ||
| 1. | PEE | + |
| 2. | CE | + |
| 3. | AE | + |
| 4. | ME | + |
| 5. | WE | - |
A-Alkaloids, T-Tannins, S-Steroids, G-Glycosides, SA-Saponins, F-Flavonoids, TE-Terpenoids.-indicates absence and+indicates presence of phytochemicals.
Table 2: Antibacterial potential of B. lacera extracts
| S. No. | Name of bacteria | Extract | MIC (μg/ml) | TA (ml/g) | ZI (mm) | % I |
| 1. | BC | PEE | 781.25 | 164.66 | 14.03±0.15 | 66.81 |
| CE | 390.62 | 174.62 | 15.37±0.31 | 73.19 | ||
| AE | 1562.5 | 39.63 | - | - | ||
| ME | 3125 | 49.18 | - | - | ||
| WE | 6250 | 9.232 | - | - | ||
| G | 15.62 | - | 21.0±0.00 | - | ||
| 2. | SA | PEE | 781.25 | 164.66 | 14.90±0.10 | 74.50 |
| CE | 781.25 | 87.20 | 14.20±0.20 | 71.00 | ||
| AE | 1562.5 | 39.63 | - | - | ||
| ME | 3125 | 49.18 | - | - | ||
| WE | 12500 | 4.616 | - | - | ||
| G | 15.62 | - | 20.0±0.00 | - | ||
| 3. | ST | PEE | 390.62 | 329.74 | 15.70±0.26 | 68.26 |
| CE | 1562.5 | 43.60 | - | - | ||
| AE | 1562.5 | 39.63 | - | - | ||
| ME | 12500 | 12.30 | - | - | ||
| WE | 6250 | 9.232 | - | - | ||
| G | 7.81 | - | 23.0±0.00 | - | ||
| 4. | EC | PEE | 781.25 | 164.66 | 14.97±0.25 | 71.29 |
| CE | 1562 | 43.60 | - | - | ||
| AE | 781.25 | 79.26 | 14.83±0.35 | 70.62 | ||
| ME | 1562.5 | 98.40 | - | - | ||
| WE | 3125 | 18.464 | - | - | ||
| G | 7.81 | - | 21.0±0.00 | - | ||
| 5. | BS | PEE | 6250 | 20.58 | - | - |
| CE | 1562.5 | 43.60 | - | - | ||
| AE | 1562.5 | 39.63 | - | - | ||
| ME | 3125 | 49.18 | - | - | ||
| WE | 1562.5 | 39.94 | - | - | ||
| G | 15.62 | - | 20.0±0.00 | - | ||
| 6. | BP | PEE | 781.25 | 164.66 | 14.13±0.21 | 74.37 |
| CE | 1562.5 | 43.60 | - | - | ||
| AE | 1562.5 | 39.63 | - | - | ||
| ME | 6250 | 24.60 | - | - | ||
| WE | 3125 | 18.464 | - | - | ||
| G | 31.25 | - | 19.0±0.00 | - | ||
| 7. | SM | PEE | 390.62 | 329.74 | 15.90±0.30 | 72.27 |
| CE | 781.25 | 87.20 | 14.77±0.21 | 67.14 | ||
| AE | 12500 | 4.952 | - | - | ||
| ME | 6250 | 24.60 | - | - | ||
| WE | - | - | - | - | ||
| G | 7.81 | - | 22.0±0.00 | - | ||
| 8. | ML | PEE | 781.25 | 164.66 | 14.00±0.20 | 73.68 |
| CE | 390.62 | 174.62 | 15.60±0.25 | 82.11 | ||
| AE | 3125 | 19.81 | - | - | ||
| ME | 1562.5 | 98.40 | - | - | ||
| WE | 6250 | 9.232 | - | - | ||
| G | 31.25 | - | 19.0±0.00 | - |
ZI = Zone of Inhibition, data expressed as means±SD (standard deviation; n= 3). BC= B. cereus, SA= S. aureus, ST= S. enterica ser. typhi, EC= E. coli, BS= B. subtilis, BP= B. pumilus, SM= S. marcescens, ML= M. luteus, G= Gentamicin.
Antibacterial activity
The antibacterial activity of B. lacera (leaves) extracts was evaluated against eight bacterial strains. According to RMDA, PEE and CE were more active than acetone extract (AE), methanol extract (ME) and water extract (WE). The PEE showed highest activity against S. enterica and S. marcescens with MIC i.e. 390.62 μg/ml. Similarly, the CE showed highest antibacterial activity against B. cereus and M. luteus with MIC i.e. 390.62 μg/ml. The PEE and CE showed higher values of TA, which proves the potential to inhibit the growth of the test microorganisms. Maximum TA value was calculated in PEE against S. enterica and S. marcescens i.e. 329.74 ml/g. However, maximum TA value was calculated in CE against B. cereus and M. luteus i.e. 174.62 ml/g. In DDA, the PEE displayed the highest antibacterial activity against S. aureus (74.50 %), B. pumilis (74.37 %), S. marcescens (72.27 %) and M. luteus (73.68 %). The CE exhibited highest activity against B. cereus (73.19 %), S. aureus (71.00 %) and M. luteus (82.11 %). The AE, ME and WE exhibited lesser activity than PEE and CE. Various MIC values of different extracts against bacterial strains are shown in table 2 along with their total activity, zone of inhibition and percent inhibition. MIC values and zone of inhibition (mm) of gentamicin (standard antibiotic) are also given in table 2.

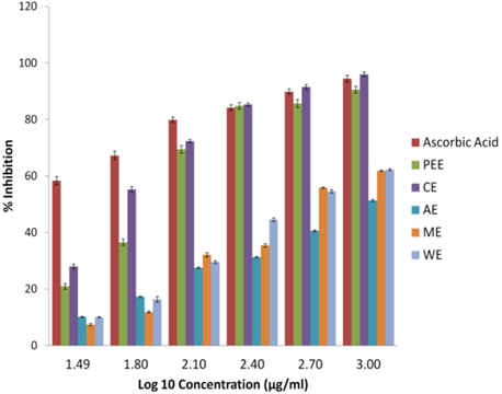
Fig. 1: DPPH radical scavenging activity of B. lacera extracts and ascorbic acid. Data expressed as means±SD (standard deviation; n= 3)

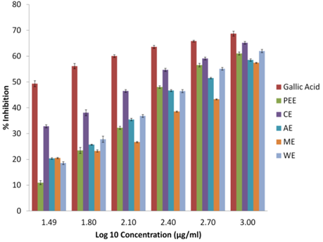
Fig. 2: Superoxide radical scavenging activity of B. lacera extracts and gallic acid. Data expressed as means±SD (n= 3)
Antioxidant activity
The extracts of B. lacera leaves exhibited a concentration dependant scavenging of DPPH radicals and superoxide radicals, which were comparable to the standards (ascorbic acid and gallic acid) at the same concentrations. A concentration–inhibition graph was plotted for each extract along with standards (fig. 1 and 2). According to current investigation, the PEE and CE showed highest radical scavenging activity in reference with ascorbic acid (Standard) with IC50 values i.e. 87.98µg/ml, 57.46 µg/ml and 10.95µg/ml, respectively in DPPH assay. However, in the superoxide radical scavenging assay, CE exhibited the highest scavenging activity in reference with gallic acid (Standard) with IC50 values i.e. 188.24µg/ml and 24.26µg/ml, respectively.
GCMS analysis
The GCMS analysis revealed the chemical composition of most active extracts i.e. PEE and CE. The identified compounds along with their retention indices, % composition, molecular weight, molecular formula, chemical nature and chemical structures are given in table 3 and 4. The dominant compounds in PEE and CE were stigmasterol (12.86 %) and L-(+)-ascorbic acid 2, 6-dihexadecanoate (11.73 %), respectively. The PEE was characterized by the presence of other compounds including 9,12,15-octadecatrienoic acid (Z,Z,Z)-(2.87 %), butane-1,1-dicarbonitrile (3.32 %), bis(2-ethylhexyl) phthalate (2.25 %), tetratriacontane (2.77 %), hexatriacontane (2.37 %), N-hexacosane (7.23 %), ergost-5-en-3-ol, (3. β.,24R)-(2.27 %), gamma.-sitosterol (3.72 %), lup-20(29)-en-3-yl acetate (2.72 %). The CE was also characterized by the presence of other compounds including pentadecanecarboxylic acid (2.12 %), 2,6,10-trimethyl,14-ethylene-14-pentadecne (3.78 %), 2-methyl-7-octadecyne (2.23 %), 3,7-dimethyl-6-octen-1-ol (2.09 %), 9,12,15-octadecatrienoic acid, methyl ester, (Z,Z,Z)-(7.60 %), hexadecanoic acid (3.66 %), hexatriacontane (3.35 %), N-hexacosane (5.70 %), stigmasterol (3.97 %), silane, dimethyl(docosyloxy)butoxy-(2.63 %).
Cytotoxicity
The cytotoxicity analysis of PEE and CE was carried out by heamolytic assay. The PEE and CE were found to be non toxic up to 125.0 µg/ml and 500.0 µg/ml, respectively. However, gentamicin and ascorbic acid, showed non toxic behaviour towards human erythrocytes even at higher concentrations, whereas gallic acid showed moderate toxicity (fig. 3).

Fig. 3: Cytotoxicity of PEE, CE of B. lacera along with gentamicin, ascorbic acid and gallic acid. Data are expressed as means±SD (n= 3)
Table 3: Phytoconstituents in PEE of B. lacera (leaves) in GCMS analysis
| S. No. | R time | Compound | % Area |
Molecular formula (Mol. wt.) | Nature of compound |
Chemical structure |
| 1. | 16.357 | 9,12,15-Octadecatrienoic Acid (Z,Z,Z)- | 2.87 | C18H30O2 (278) |
Linolenic Acid | ![]() |
| 2. | 19.821 | Butane-1,1-Dicarbo nitrile |
3.32 | C13H20N2 (204) |
Nitrogen Compound | ![]() |
| 3. | 20.467 | Bis(2-ethyl hexyl) phtha late |
2.25 | C24H38O4 (390) |
Plasticizer | ![]() |
| 4. | 21.948 | Tetratriacontane | 2.77 | C34H70 (478) |
N-Alkanes | ![]() |
| 5. | 22.878 | Hexatriacon tane |
2.37 | C36H74 (506) |
Flavanoid | ![]() |
| 6. | 24.045 | N-hexacosane | 7.23 | C26H54 (366) |
N-Alkanes | ![]() |
| 7. | 29.816 | Ergost-5-en-3-ol, (3. β.,24r)- | 2.27 | C28H48O (400) |
Steroid Compound | ![]() |
| 8. | 30.848 | Stigmasterol | 12.86 | C29H48O (412) |
Steroid Compound | ![]() |
| 9. | 32.043 | Gamma-Sitosterol | 3.72 | C29H50O (414) |
Steroid Compound | ![]() |
| 10. | 37.385 | Lup-20(29)-en-3-yl acetate | 2.72 | C32H52O2 (468) |
Terpenoid | ![]() |
Table 4: Phytoconstituents in CE of B. lacera (leaves) in GCMS analysis
| S. No. | R time | Compound | % Area |
Molecular formula (Mol. Wt.) |
Nature of compound |
Chemical structure |
| 1. | 12.330 | Pentadecane -carboxylic Acid |
2.12 | C16H32O2 (256) |
Palmitic Acid | ![]() |
| 2. | 13.100 | 2,6,10-trimethyl,14-ethylene-14-pentadecne | 3.78 | C20H38 (278) |
Olefins | ![]() |
| 3. | 13.540 | 2-methyl-7-octadecyne | 2.23 | C19H36 (264) |
Alkyne/Unsaturated Hydrocarbon | ![]() |
| 4. | 14.528 | L-(+)-Ascorbic Acid 2,6-Dihexadecano Ate |
11.73 | C38H68O8 (652) |
Polyphenolic Compounds | ![]() |
| 5. | 15.817 | 3,7-dimethyl-6-octen-1-ol | 2.09 | C10H20O (156) |
Terpene Alcohol | ![]() |
| 6. | 16.272 | 9,12,15-Octadecatrienoic Acid, Methyl Ester, (Z,Z,Z)- | 7.60 | C19H32O2 (292) |
Linolenic Acid | ![]() |
| 7. | 19.972 | Hexadecanoic Acid | 3.66 | C19H38O4 (330) |
Saturated Fatty Acid | ![]() |
| 8. | 21.913 | Hexatriacon tane |
3.35 | C36H74 (506) |
Flavanoid | ![]() |
| 9. | 23.961 | N-hexaco sane |
5.70 | C26H54 (366) |
N-Alkanes | ![]() |
| 10. | 30.471 | Stigmasterol | 3.97 | C29H48O (412) |
Steroid Compound | ![]() |
| 11. | 34.696 | Silane, Dimethyl(Docosyloxy) Butoxy- |
2.63 | C28H60O2Si (456) | Silicon Compounds | ![]() |
DISCUSSION
The aim of present investigation is to evaluate the different extracts of B. lacera leaves for their antibacterial activity, antioxidant potential and chemical composition along with their cytotoxicity. The detailed analysis of the literature showed the presence of various previous studies mostly on the essential oil of B. lacera. Although, abundant studies on free radical scavenging and antibacterial activity of B. lacera has been carried formerly. The ariel parts of B. lacera were tested against B. subtilis, S. aureus and S. marcescens. Aqueous extract showed significant results against all tested bacteria with MIC value i.e. 5 mg/ml [8]. In another study, methanol extract of B. lacera tested against S. dysenteriae, S. typhi, B. cereus and S. aureus. In disc diffusion method, the zones of inhibition were found inside the range of 9.0 to 14.0 mm. The maximum zone of inhibition (14.0 mm) was observed against S. dysenteriae [20]. Additionally, we have found no such reports which assess potential of chloroform extract towards B. cereus. In present study, the PEE exhibited highest activity against Gram negative bacteria (S. enterica and S. marcescens) with MIC i.e. 390.62 μg/ml. Similarly, the CE showed highest antibacterial activity against Gram positive bacteria (B. cereus and M. luteus) with MIC i.e. 390.62 μg/ml. The exploration of antibacterial potential against both Gram-negative and Gram-positive bacteria displayed a broad spectrum antibacterial activity. B. lacera is also known for its antioxidant potential. Rahman et al. (2013) evaluated the antioxidant potential of B. lacera by various assays and revealed that methanolic, ethanolic and chloroform extract of B. lacera displayed antioxidant activity at a very low concentration (30 μg/ml) in DPPH radical scavenging test. In total antioxidant capacity test, n-hexane extract possessed maximum (6.65 mg/gm) total antioxidant capacity. According to cupric reducing activity test, methanol extract and ethanol extract showed highest reducing capacity with IC50 values i.e. 29.51 and 19.9 μg/ml, respectively [7]. In the current investigation, DPPH assay showed the highest radical scavenging activity in petroleum ether extract and chloroform extract with IC50 values i.e. 87.98 µg/ml and 57.46 µg/ml, respectively. However, in the superoxide radical scavenging assay, chloroform extract exhibited the highest scavenging activity with IC50 value of 188.24µg/ml. Various chemical constituents have been reported in the essential oil of B. lacera include E-beta–farnesene, beta-caryophyllene, alpha-humulene, thymol hydroquinone, caryophyllene oxide, dimethylether, 19 α-hydroxy-12-ene-24,28-dioate-3-O-β-D-xylopyrinoside, 2-isoprenyl-5-isopropyl-phenol-4-O-β-D-xylopyrinoside, 5-hydroxyl-3, 6, 7, 3’, 4’-pentamethoxy flavone, 5, 3’,4’-trihydroxy-3, 6,7-trimethoxy flavone and campesterol [21]. In another study, a-pinene-7b-O-b-D-2’,6’-diacetylglucopyranoside, 5,4’-dihydroxy-6,7,3’-trimethoxy flavone, and 3,5,4’-trihydroxy-6,7,3’-trimethoxyflavone have been isolated from the leaves of B. lacera [22]. Haque et al. (2015) isolated 19α-hydroxyurs-12-ene-24, 28-dioate (triterpenoid glycoside) and 2-isoprenyl-5-isopropylphenol (phenol glycoside) from the whole plant of B. lacera [23]. In the present work, about 84 constituents in PEE and 65 in CE identified in B. lacera leaves in GC-MS analysis. Out of these, the principal compounds in PEE and CE were stigmasterol (12.86 %) and L-(+)-ascorbic acid 2, 6-dihexadecanoate (11.73 %), respectively. Therefore, the antibacterial and antioxidant activity of B. lacera extracts may be due to these components. Other minor constituents may also possess antibacterial potential. An extract is a composite mixture of several compounds, whose bioactivity can be the result of their synergistic effect. A few studies have been performed for the cytotoxicity of B. lacera extracts. Uddin et al. screened the methanolic and aqueous extracts for their cytotoxicity against healthy mouse fibroblasts (NIH3T3) and three human cancer-cell lines (gastric: AGS; colon: HT-29; and breast: MDA-MB-435S) using the MTT assay. The methanol extract of B. lacera exhibited the highest cytotoxicity (IC50 0.01-0.08 mg/ml) against all tested cell lines [24]. The present study demonstrated the cytotoxicity of B. lacera extracts by haemolytic assay. In haemolytic assay, PEE and CE exhibited non toxic behaviour up to 125.0 µg/ml and 500.0 µg/ml, respectively.
CONCLUSION
The study concluded that the antibacterial and antioxidant activities of B. lacera are not only confined to the essential oils. The GC-MS analysis of leaves extracts in petroleum ether and chloroform highlighted the presence of numerous phytoconstituents. The broad spectrum activity of plant extracts may be due to the presence of multiple constituents or their synergistic effects. The in vitro cytotoxicity analysis indicated their non toxic behaviour towards human erythrocytes. Further purification and characterization of the active components from the extracts will offer a better understanding of their mechanism of action and serves as a potential source of lead compounds.
ACKNOWLEDGEMENT
The authors wish to thank University Grant Commission, Special Assistance Programme (SAP), Department of Biotechnology-Builder Programme, New Delhi and Maharshi Dayanand University, Rohtak, India for the necessary support.
CONFLICT OF INTERESTS
The authors declare no conflict of interests
REFERENCES
How to cite this article