
1Department of Biotechnology, Maharishi Markandeshwar University, Mullana
Email: tapanmu@yahoo.com
Received: 07 May 2016 Revised and Accepted: 22 Jul 2016
ABSTRACT
Objective: Main aim of the present study was to determine differential effects of temperature and pH on the sensitivity/resistance of bacteria against ciprofloxacin and chloramphenicol.
Methods: Both the bacterial strains were subjected to MIC determination. These were subjected to the varying values of environmental stresses including temperature and pH. The growth was monitored using spectrophotometer and degree of resistance if gained was screened over the agar dilution plates. Morphological changes were also observed in the shape and size of bacteria using light microscope at 1000X.
Results: Present study enlightened the facts that pathogenic strain and a non-pathogenic strain of E. coli behave differently for factors like pH and temperature. It is not so that if non-pathogenic E. coli gains resistance to antibiotic under a specified condition of temperature and pH, then the pathogenic strain would also gain resistance the same way. It was noticed in present study that non-pathogenic E. coli is not very sensitive to the antibiotics, but the pathogenic E. coli is much more sensitive to antibiotics like ciprofloxacin, however it is easy for the pathogenic strain than the non-pathogenic one to gain resistance to antibiotic if proper environmental condition is made available like temperature of 30 °C and pH 6.5 (which appeared to be the best value of respective stresses regarding gain of resistance). However, it is not so that two drugs like ciprofloxacin and chloramphenicol acts with efficacy in similar environmental conditions. Similarly, the bacteria also gains resistance to these drugs under different environmental conditions. The study proved pivotal in concluding that temperature alone can’t induce resistance in the bacteria against the antibiotic, also pH plays more significant role in the efficacy of antibiotic and the resistance acquired against it.
Conclusion: Both pathogenic and non-pathogenic strains of E. coli behave differently against the abiotic stresses and there may exist a different mechanism of stress regulation in both the strains, which may get even more complicated if the combination of stresses are taken into consideration. These points may help us to understand and get a permanent solution for antibiotic resistance of bacteria hence making pathogens sensitive and non-pathogenic/useful bacteria resistant to the antibiotics.
Keywords: Drug resistance, Abiotic stress, Escherichia coli
© 2016 The Authors. Published by Innovare Academic Sciences Pvt Ltd. This is an open access article under the CC BY license (http://creativecommons. org/licenses/by/4. 0/)
DOI: http://dx.doi.org/10.22159/ijpps.2016v8i9.12664
INTRODUCTION
The gastrointestinal tract is predominantly considered as to be the main habitat of Escherichia coli in humans and in other animals and in general, is not harmful to host [1]. There exists a variety of biotic and abiotic stresses which affect the transcriptional regulatory systems, eventually affecting the morphological and physiological changes that enable the organisms to adapt and ensure their survival efficiently [2]. Temperature and pH variations are one amongst major abiotic factors influencing the survival and its susceptibility towards antibiotic stress. But these may affect pathogenic and non-pathogenic bacteria in a different manner, which remains unknown till now. The aim of this work was to determine the differential effects of temperature and pH on the antibiotic resistance of pathogenic and non-pathogenic strains of E. coli.
MATERIALS AND METHODS
Bacterial strains under study
Two Escherichia coli (E. coli) strains were purchased from IMTECH Chandigarh with strain numbers MTCC 9537 as pathogenic strain and MTCC 1195 as non-pathogenic strain were used in this study.
Chemicals and reagents
Luria bertani mix, purchased from HImedia vide product number M1245 and M9 powder 5X from Sigma-Aldrich, vide product number-M6030 were used to prepare liquid and solid media according to the manufacturer’s recommendations. Two antibiotics viz ciprofloxacin and chloramphenicol, taken into consideration for the present study were purchased from Sigma-Aldrich INDIA vide CAS Number 85721-33-1, product number 33434 (for ciprofloxacin) and CAS Number: 56-75-7, product number C3175 (for chloramphenicol). Stock solutions of these were prepared according to manufacturer’s recommendation.
Antibiotic susceptibility testing and MIC determination
Susceptibility of E. coli strains to different antibiotics was tested in terms of MIC(minimum inhibitory concentration) for antibiotics like chloramphenicol and ciprofloxacin for each kind of medium i.e. LB and M9 using 96 well plate microdilution method as suggested by Jorgensen and Ferraro [3].
Determining the effect of different temperature and pH range on bacterial cultures
To check the effect of temperature on bacterial growth, above mentioned bacterial strains were inoculated in LB and M9 growth medium respectively (with pH 7) and were incubated at different temperature ranges. The temperature range chosen to study this parameter was: 15 °C, 30 °C, 37 °C and 45 °C. The bacterial cell growth was measured spectrophotometrically at 600 nm to determine the effect of temperature on growth of bacterial cultures.
Similarly to assess the effect of pH on bacterial growth, above mentioned two bacterial strains were inoculated in LB and M9 growth medium of different pH range and were subjected to incubation at 37 °C. The pH values chosen to study this parameter were: 3, 4.5, 6, 6.5, 7, 8 and 9. LB and M9 broths were prepared separately and the pH was adjusted to 3, 4.5, 6, 6.5, 7, 8 and 9 using 1N HCL/1N NaOH in different experiments. The resultant autoclaved broth was inoculated with the subject bacterium and incubated at 37 °C.
Determining the effect of temperatures and pH stress on the antibiotic susceptibility of bacterial strains
In a separate experiment, LB and M9 broths were freshly inoculated with both the strains of the subject bacterium and was grown in the presence of antibiotics under study in addition to the temperature and pH conditions as mentioned above (temperature+antibiotic, pH+antibiotic). The dosage of antibiotic chosen for this study was 10% lower than MIC values. The growth was monitored spectrophotometrically at 600 nm and the values thus obtained were compared with normal conditions i.e. 7 pH+37 °C+antibiotics. The aim of this step is to determine how effectively antibiotics work under different stressful conditions.
Determine the antibiotic susceptibility/resistance of resistant bacteria exposed to temperature and pH stress
Luria agar plates in the presence of antibiotics were prepared (having a concentration of the MIC). These plates were used for screening of bacteria to check resistance at MIC values if gained after the attained growth as mentioned in the previous step. In the normal conditions as was expected their wouldn’t have any growth over the agar dilution plate if the inocula were taken from standard culture conditions.
Microscopy
A colony from individual culture was incubated at all the stressful/non-stressful conditions. Gram staining was performed, and the shape, size, arrangement and gram reaction of the culture were observed in a microscopic field using bright field microscope (Olympus) under 1000× magnification.
Statistical analysis
The growth curve points and MIC values were obtained in triplicate studies, and the mean value of these parameters was used in plotting the curve and determination of sub-lethal stress.
RESULTS AND DISCUSSION
Morphological analysis
The first phase of the study included the morphological analysis of the bacterial cell. It was found that under unstressed conditions both the strains exhibited smooth circular colonies with the bacterial shape of coco-bacillus and not the rod-shaped structures besides the common belief that E. coli were rod shaped. These observations were taken when the subject bacterium was not under any kind of stress. However, when both the bacterial strains were grown under minimal conditions, it was observed that at standard conditions of temperature and pH, fried egg shaped colonies appeared after the successful incubation period, the shape of bacterial cells appeared to be filamentous and curved (possibly the L–form). However, it was found that in addition to starvation, rest of the stresses especially antibiotic stress impacts the reduction of the size of bacterial cells and they tend to form a cluster or chains with the addition of more stresses like temperature. Similar to the present study, another article by Nadya Markova in the year 2010 reported the relation of L-form of bacteria under different types of stresses with its survival under such stresses. The author claims that such morphological changes help the bacteria to survive extreme situations of temperature and pH [4].
Determining the MIC of both pathogenic and non-pathogenic bacteria against ciprofloxacin and chloramphenicol
In this phase of the study, minimum drug concentration (in µg/ml) was determined which was able to inhibit visible growth (Spectrophotometric readings below 0.100) in the medium after 24 h of incubation. For this, MIC determination matrices using microdilution method was followed for both of the bacterial strains under different conditions of stresses. As was expected, both the strains were comparatively more sensitive for ciprofloxacin than chloramphenicol. However, ciprofloxacin responds better on pathogenic strain than a non-pathogenic strain. Contrastingly chloramphenicol gave similar values of MIC for both pathogenic and non-pathogenic bacteria. So here we can observe that this drug show some failure in case of pathogenic bacteria as compared to ciprofloxacin. Table no. 1 and 2 represents these observations.
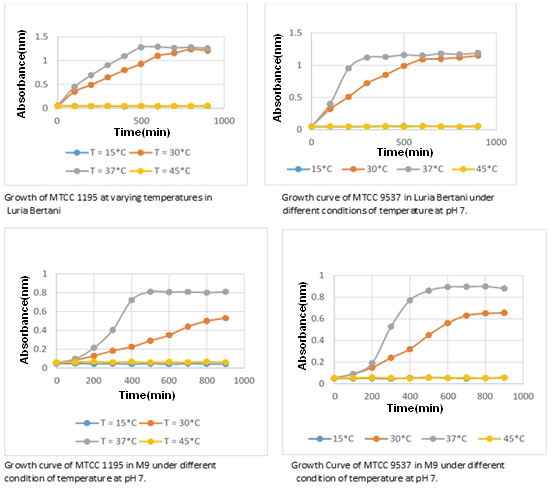
Effect of varying temperature and pH on growth of MTCC 1195 and MTCC 9537
Several studies have previously been conducted on the effects of abiotic stresses including temperature and how it effects the growth of bacteria. One such recent study by Rashed Noor et al. concluded the influence of temperature on E. coli [5]. The present study also focused on the temperature, but the point of concern was the differential influence on pathogen than on non-pathogen. Though initially temperatures of 15 °C and 45 °C showed no satisfactory results for any of the bacterial strains as there was no growth in the broths after incubation periods of 24 h, however, results were promising regarding 30 °C and 37 °C. The growth curve pattern of bacterial strains under all the temperature regimes is represented in fig. 1 below
Table 1: Mean values of MIC of both pathogenic and non-pathogenic bacteria in LB
| Strain number | Ciprofloxacin (µg/ml) | Chloramphenicol (µg/ml) |
| MTCC 1195 | 1.00 | 2.0 |
| MTCC 9537 | 0.90 | 2.0 |
Table 2: Mean values of MIC of both pathogenic and non-pathogenic bacteria in M9
| Strain number | Ciprofloxacin (µg/ml) | Chloramphenicol (µg/ml) |
| MTCC 1195 | .50 | 1.0 |
| MTCC 9537 | .40 | 1.0 |
Under standard conditions of pH 7 but varying conditions of temperature, 37 °C was found to be the optimum temperature for growth of both the strains under study. However at 30 °C both the bacterial strains exhibited heavy growth, but there were prolonged lag and exponential phases, suggesting that this temperature provides a stress to both the strains.
Contrastingly, data from present study suggests that even with a prolonged lag phase of 70 min, the growth curve of pathogenic strain reaches the late exponential phase nearly at the same time i.e. 600 min as the non-pathogenic strain did under similar growth conditions. It was also observed that a pathogenic strain of E. coli under study shows vigorous and rapid growth after attaining the lag phase and the growth curve reaches the stationary phase before the growth curve of non-pathogenic strain. It was also observed that growth curve of pathogenic strain reaches the late exponential phase at about 280 min but the value is about 350 min for non-pathogen. These facts reveal that pathogenic strain of bacteria under study takes the time to adapt to the temperature stress and is sensitive for such changes but has better capability to overcome such stresses. As far as extremes temperatures of 15 °C and 45 °C are concerned, it was noted that both strains under study failed to grow under such temperatures, however surviving inocula was obtained on screen plates at standard conditions from such cultures for 48 h. This suggests that these temperatures don’t act as lethal for these strains.
As far as pH of the growth medium is concerned, several studies have been conducted till now on E. coli. One such study by Francisco et. al also concluded the effects of the acidic medium on the survival of this bacteria [6]. The present study also focused on the effects of acidic and basic media, taking the pathogen as the point of concern in comparison to non-pathogenic strain. Both the strains were grown in the different pH conditions and constant 37 °C temperature. The growth was monitored at regular intervals, and the spectrophotometric points revealed the different curves. Fig. 2 below represents such curves:

Fig. 1: Growth curve of E. coli reporting mean values of growth points from three replicated studies under different conditions of temperature at pH 7

Fig. 2: Growth curve E. coli reporting mean values of growth points from three replicated studies under different conditions of pH and temperature 37 °C
Considering the effect of pH of the medium on bacterial growth, contrasting results were obtained as it was noted that pH values of 3, 4.5 and 9 accounted for no/negligible growth, however these were also found to be sub-lethal because, on the agar screen plates, growth was obtained when these plates were inoculated with inocula from such cultures. The study also suggested that pH 6.5 favors the overall growth of pathogenic bacteria, however, exponential phase revealed lesser elevated curve than growth curve of pH 7. This suggests that optimum pH remains with its value 7 for the pathogenic strain, but pH 6.5 provides a stress for this strain. On the contrary, pH 6.5 provides much more stressful conditions for non-pathogenic strain, resulting in prolonged log phase and lesser overall growth.
Effect of varying temperature and pH on antibiotic susceptibility/resistance of MTCC 1195 and MTCC 9537
Till now, the study concluded the differential roles of temp/pH on the sensitivity of pathogenic and non-pathogenic E. coli strains. However, these effects become pivotal in this study when antibiotics are incorporated into the medium. Till now several studies have been conducted on antibiotics and resistance gained by bacteria against them. One such study was conducted by M. Ann S et al. in 2007 [7]. The present study also relates to previous studies but focusses more on the impact of temp and pH on the differential resistance gained by a pathogenic bacterial strain of E. coli in comparison with non-pathogenic strain. The study proved pivotal in exhibiting the fact that it is not always so that ciprofloxacin acts better than chloramphenicol. It is actually the temp/pH conditions which decide the efficacy of the antibiotic. The study revealed that ciprofloxacin works best under acidic conditions, but chloramphenicol works best under basic conditions. It was noted that ciprofloxacin was best efficient under pH value of 4.5 and temperature 30 °C, however, chloramphenicol works best at the pH of 8. From the growth curve points, it was observed that log phase ended much before i.e. at 10th hour after inoculation at 37 °C at the pH value of 6.5 than pH value of 6 i.e. 15th hr. Though at the end of log phase, overall growth at pH 6.5 was higher than the growth at pH 6, it is concluded that declining pH up to 4.5 supports ciprofloxacin in its efficacy. However, it is not the similar trend with the resistance gained by bacteria against this drug. When both the bacterial strains were grown in both the mediums under varying pH values and 37 °C, with a drug (ciprofloxacin) concentration of 10% less than the MIC value and after successful incubation period of 24 h, an inocula was picked and screened over agar dilution plates having the ciprofloxacin MIC dosages, it was noted that inocula from pH 6.5 showed vigorous growth over agar dilution plates. However, there was no growth over the screen plates when the inocula were picked from pH 6. This experiment was carried out for successive 3 generation of the bacteria, i.e. inocula were picked from 6 pH culture having ciprofloxacin and was used to inoculate another broth having similar pH and drug concentration. It was noted that with each successive generations lag phase shortened and at the end of 3rd generation pathogenic bacteria also gained resistance and showed growth over screen plates having drug concentrations equivalent to MIC values. However, non-pathogenic strain failed to do so. This suggested that pH 6.5 is more helpful than pH 6 to the bacteria to adapt for the antibiotic ciprofloxacin, it was also concluded that it is the pathogen which adapts better to the ciprofloxacin than the non-pathogenic strain under such conditions. Likewise ciprofloxacin, a similar trend was observed in chloramphenicol too, except the difference that the spectrophotometric readings observed were higher indicating higher/vigorous growth during the log phase, directly indicating towards the drug failure in case if the bacteria becomes resistant. This fact was also observed in the screen plate experiment where bacterial inocula from such cultures having chloramphenicol in the medium exhibited prominent growth over the agar dilution plates having an antibiotic (chloramphenicol) dosage of MIC value.
As far as temperature is concerned w. r. t to the resistance of bacteria towards antibiotic, the study, pointed out that temperature alone can’t help the bacteria to gain resistance against the antibiotic. It was because, when similar experiment was repeated as was done in case of pH, it was noted that even after 5th generation culture, inocula from 30 °C culture failed to show growth over agar dilution plates having antibiotic (ciprofloxacin and chloramphenicol) dosage of MIC value kept at standard conditions of temp 37 °C and pH 7.
CONCLUSION
It is concluded from the present study that pathogenic strains of E. coli are naturally sensitive to the antibiotics and environmental conditions than the non-pathogenic strains. However, pathogenic E. coli gains resistance to the antibiotics much easier than the non-pathogenic one. Though the bacteria under study survived the temperature stress but it cannot be confirmed that temperature alone was able to induce resistance in bacteria against antibiotics. However, pH evolved as the major factor responsible for the drug resistance. So the study suggests that if some work is carried out over the combinations of the biotic and abiotic factors and a relation is established with the stress regulation in bacteria, we may find a prominent solution against the drug resistance.
CONFLICTS OF INTERESTS
All authors have none to declare
REFERENCES
How to cite this article