1CIRBSc, Jamia Millia Islamia, New Delhi 110025, India, 2Faculty of Unani Medicine, AMU, Aligarh 202002, India.
Email: mohammadarshad.medchem@gmail.com
Received: 13 Jun 2014 Revised and Accepted: 14 Aug 2014
ABSTRACT
Heterocyclic chemistry is fundamental to biology and medicine. It is not implausible to say that we are living in the age of heterocyclic chemistry. It constitutes a large group of organic molecules exhibiting a wide range of biological activities which is the basis of life and society. The majority of pharmaceutical products that mimic natural products with biological activity are heterocyclic in nature. Azoles, five-membered heterocyclic compounds with two or three nitrogen atoms, constitute a large group of organic substances exhibiting a wide range of biological activities. Triazole, a five-membered azole nucleus composed of three nitrogen atoms and two carbon atom is found to possess enormous biological activity such as anti-HIV, anti-HBV, antibacterial, antitumor, anti-inflammatory, antiviral, CNS stimulant, antifungal and antituberculosis activities. Moreover, triazole nucleus is found in many drugs such as anastrozole, estazolam, ribavirin and triazolam. Here in this review article we have reported the recent development in the pharmacological activity of some newly synthesized triazole derivatives.
Keywords: Triazoles, Synthesis biological activity.
INTRODUCTION
Triazole, a five-membered ring structure composed of three nitrogen atoms and two carbon atom and is used as an intermediate in the synthesis of pharmaceuticals, there are two possible isomers of triazoles (1, 2, 3-triazole and 1, 2, 4-triazole) shown to exhibit tautomerism depending on the position of hydrogen atom as shown in Figure-1[1-2].
Fig. 1:
The pharmacological activity of 1,2,4-triazoles has been extensively explored. Thus, compounds possessing that ring exhibit anti-HIV, anti-HBV [3], antibacterial [4-6], antitumor [7], anti-inflammatory [8], antiviral [9-10], CNS stimulant [11], antifungal [12-13] and antituberculosis [14] activities. Moreover, 1,2,4-triazole nucleus is found in many drugs such as anastrozole, estazolam, ribavirin and triazolam. Anastrozole is used for treatment of breast cancer after surgery and for metastases in post-menopausal women [15-16]. Estazolam and triazolam have anxiolytic, anticonvulsant, sedative and skeletal muscle relaxant properties [17-19]. Ribavirin is an antiviral drug for severe RSV infection (individually), hepatitis C infection and other viral infections [20-22]. There are a number of currently available drugs containing triazole nucleus Figure-2 representing the structure of some selected 1,2,4-triazole drugs sucha as estazolam, anastrazole, ribavirin and triazolam.
Review of literature
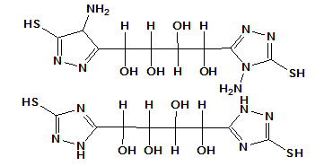
M. Koparir et al. [23] reported the synthesis and biological activities of some novel aminomethyl Derivatives of 4-substituted-5-(2-thienyl)-2,4-dihydro-3H-1,2,4-triazole-3-thiones. The antimicrobial activity study revealed that all the tested compounds showed good antibacterial and antifungal activities against pathogenic strains. The structure and biological activity relationship of title compounds showed that the presence of thienyl groups and biologically active groups like morpholine, 4-benzylpiperazine, N-methylpiperidine and trifluoromethylphenylpiperazine groups attached to the triazole ring of the title compounds are responsible for good antimicrobial activity. A similar correlation was observed for antioxidant activity. All compounds greatly improved their activity compared to precursors. Therefore, the significant antifungal, antibacterial and antioxidant activity of compounds may be due to the presence of morpholine, N-methylpiperidine and piperazine moiety in addition to thienyl, phenyl, methyl, ethyl and allyl group Figure-3.

Fig. 2:
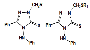
T. Plech et al. [24] have synthesized some 4-alkyl-1,2,4-triazole derivatives and also observed the effect of the size of the alkyl fragment on anticonvulsant activity. A sensitive and selective method was elaborated for the determination of the anticonvulsant compounds levels in mice brain tissue, based on HPLC with diode array detector (DAD). 4-alkyl-1,2,4-triazole-3-thione derivatives showed significant anticonvulsant activity, determined in the maximal electroshock-induced seizure (MES) test. It was observed that an introduction of an alkyl substituent in N-4 position leads to pharmacologically active compounds. The anticonvulsant effect of the synthesized compounds against maximal electroshock-induced seizures in mice was greater than that of valproate. Chromatographic tests allow one to state that the lack of permeability through the blood-brain barrier was the reason for the lack of activity of some compounds in this series Figure-4.

Fig. 3:

Fig. 4:
Elamari H. et al. [25] reported synthesis and in vitro evaluation of potential anticancer activity of mono- and bis-1,2,3-triazole derivatives of bis-alkynes [Figure-5] and compared the result of their anticancer activities. Results revealed that some of the synthesized products showed noteworthy activity against B16 melanoma cells. Interestingly, one of the bis-alkynes was very potent, as well as a bis-triazole prepared from another less active mono-triazole. A tentative SAR was formulated as a starting point aiming at better understanding the required substituent for biological activity in this series of compounds. When considering the unexpected results obtained for the mono- and bis-1,2,3-triazole derivatives, it appears that the presence of a phenyl ring between the two alkynes yielded compounds with higher cytotoxic activities. However, the presence of the phenyl ring itself does not seem to be the only influence in this dramatic increase in activity. It thus seems that the presence of an ethynyl group in a meta position was necessary for a strong activity.

Fig. 5:
DNA aptamers are increasingly recognized as drug candidates. Recently, DNA aptamers that bind to thrombin have emerged as potent inhibitors of thrombin function. These molecules are now extensively studied with respect to controlling blood clotting [26]. Currently available anticoagulants cause serious side effects, mainly due to low specificity or indirect action and the development of new anticoagulants is of great importance due to the prevalence of cardiovascular disease. Therefore, Varizhuk A. M. et al. [27] synthesized a series of DNA aptamers bearing triazole internucleotide linkages that bind to thrombin. The novel aptamers were structurally analogous to the well-known thrombin-inhibiting G-quadruplexes TBA15 and TBA31. The secondary structure stability, binding affinity for thrombin and anticoagulant effects of the triazole-modified aptamers were measured. A modification in the central loop of the aptamer quadruplex resulted in increased nuclease resistance and an inhibition efficiency similar to that of TBA15. The likely aptamer-thrombin binding mode was determined by molecular dynamics simulations. Due to their relatively high activity and the increased resistance to nuclease digestion imparted by the triazole internucleotide linkages, the novel aptamers are a promising alternative to known DNA-based anticoagulant agents Figure-6.
Fig. 6:
Nucleoside analogs have become essential agents for the treatment of various infectious diseases such as human immunodeficiency virus (HIV), hepatitis B virus (HBV) and hepatitis C virus (HCV) over the past forty years. Their mechanism of action generally involves the direct or delayed chain termination of viral DNA or RNA elongation by incorporation of nucleoside triphosphate analogs. However, the use of nucleoside drugs has been relatively limited by their toxicity, drug resistance development and more worryingly, the fact that some newly HIV-infected patients carry viruses that are already resistant to the currently approved acquired immunodeficiency syndrome (AIDS) treatment [28-31].
Wu J. et al. [32] reported the first highly efficient synthesis of novel 40sdN analogs with 1,2,3-triazole moiety nucleus at the 40-position through a CUAAC reaction and their anti-HIV-1 activity was evaluated in vitro. Initial biological evaluation indicated that most of these compounds exhibited potent anti-HIV-1 activity without significant cytotoxicity at the highest tested concentration up to 25 mM. It was observed that some compounds were found extremely potent against HIV-1 wide-type strain without obvious cytotoxicity and merits further development as an anti-AIDS clinical trial candidate Figure-7 [33].
Fig. 7:
In search for novel potential immunosuppressive agents with high efficacy and low toxicity Chinthakindi P. K. et al. [34] reported the synthesis of α-Santonin derived new series of 1,2,3-triazoles through Azide-Alkyne Huisgen 1,3-dipolar cycloaddition reaction between substituted aryl azide and a propargylated adesmotrosantonin were bio-evaluated for their diminutive effect on ConA induced T-cell and LPS induced B-cell proliferation. Interestingly most of the synthesized compounds showed better immunosuppressant activity than asantonin Figure-8.
Fig. 8:
Non-steroidal anti-inflammatory drugs (NSAIDs) are still used for the treatment of many rheumatic diseases, but they cause many adverse side effects, the most important being the gastric injuries that might later cause gastric ulceration leading to death [35]. Drugs with selective COX-1 vs. COX-2 inhibition mechanisms [36] have of late been used as anti-inflammatory agents. Haider S. et al. [37] have synthesized a focussed library of novel bis-heterocycles encompassing benzoxazolinone-1,2,3-triazole moieties conjugated through a methylene linkage and evaluated them for their antiinflammatory, antinociceptive activity and ulcerogenic risk evaluation. Some compounds exhibited potent anti-inflammatory and antinociceptive activity without exhibiting any gastric ulceration Figure-9.
Fig. 9:
Joshi M. C. et al. [38] reported the synthesis, in vitro antimalarial activity, β-haematin inhibition and structure activity relationships in a series of quinoline triazoles. The antimalarial activity was evaluated against the Plasmodium falciparum chloroquine-sensitive D10 strain. The findings demonstrate the feasibility of producing hydrophilic analogues with strong activity and low cross-resistance with chloroquine Figure-10.
Fig. 10:
Plech T. et al. [39] reported that a series of novel 1,2,4-triazole-ciprofloxacin hybrids was designed, synthesised and evaluated in vitro against drug-susceptible and drug-resistant bacteria. Antibacterial activity of the synthesized compounds has been examined with regard to drug-susceptible Gram-positive (S. aureus ATCC 25923, Staphylococcus epidermidis ATCC 12228, Bacillus subtilis ATCC 6633, Bacillus cereus ATCC 10876, Micrococcus luteus ATCC 10240) and Gram-negative bacteria (Escherichia coli ATCC 25922, Proteus mirabilis ATCC 12453, Pseudomonas aeruginosa ATCC 9027). Moreover, the research was also based on drug-resistant strain of S. aureus (MRSA). The activity of synthesised compounds has been compared with the activity of CPX and in case of MRSA strain also with the activity of vancomycin. A significant part of the compounds obtained showed antibacterial activity higher than the activity of CPX both towards Gram positive and Gram-negative bacteria Figure-11.
Fig. 11:
Hassan G. S. et al. [40] reported the synthesis, biological evaluation and molecular modeling study of nonclassical antifolates-part 4. 5-(2-Aminothiazol-4-yl)-4-phenyl-4H-1,2,4-triazole-3-thiols as a new class of DHFR inhibitors Figure-12.
Fig. 12:
Raj R. et al. [41] prepared twenty-two different triazoles and examine the anti-Trichomonas vaginalis structure activity relationships (SAR) within the β-lactameisatinetriazole conjugate family. The compounds were synthesized by copper-catalyzed ‘click chemistry’ In vitro activity against T. vaginalis was determined at 10 and 100 mM for each compound, with eighteen of the synthesized hybrids showing 100% growth inhibition at 100 mM, Figure-13.
Fig. 13:
Alzheimer’s disease (AD) is a progressive neurodegenerative disorder accompanied by memory decline, cognitive impairment and visual-spatial disorientation for which no effective treatment exists today. Post-mortem brain analysis of AD patients reveals extensive formation of neurofibrillary tau-protein tangles and amyloid plaques. The serine/threonine kinase cdk5 along with its cofactor p25 (or the longer cofactor, p35) has been supposed to hyperphosphorylate tau, leading to the formation of paired helical filaments and deposition of cytotoxic neurofibrillary tangles and thus responsible to neurodegenerative disorders such as Alzheimer’s disease, Parkinson’s disease, stroke, or Huntington’s disease [42-44].
Shiradkar M. et al. [45] reported that a novel clubbed triazolyl thiophene series of cdk5/p25 inhibitors, potentially useful for the treatment of Alzheimer’s disease, is disclosed. Evaluation of the SAR of substitution within these series has allowed the identification of a range of compounds which significantly reduce brain cdk5/p25 and thus have potential as possible treatments for Alzheimer’s disease Figure-14.
Fig. 14:
Darandale S. N. et. al. [46] reported the novel amalgamation of 1,2,3-triazoles, piperidines, thieno pyridine rings and evaluation of their antifungal activity. The synthesized compounds showed interesting moderate to good antifungal activity, wherein they were able to discriminate between the two species Aspergillus flavus and Aspergillus niger of the same genus. In addition, the main highlight of this series is the sensitivity of the fungal strain Cryptococcus neoformans to the compounds having p-chlorobenzoyl, methane sulfonyl and p-methylbenzene sulfonyl attached to the piperazine nitrogen Figure-15.
Fig. 15:
Raj R. et al. [47] reported the synthesis and antimalarial activities of 1H-1,2,3-triazole tethered 7-chloroquinolineisatin hybrids. Activity against cultured parasites was dependent on the C-5 substituent of the isatin ring as well as the alkyl chain length between the isatin and 7-chloroquinoline moieties. Results revealed that some of the compounds from the series were found to possess better activity with reference to standard drug Figure-16.
Fig. 16:
Duan Y-C et al. [48] a series of novel 1,2,3-triazole-dithiocarbamate hybrids were designed, synthesized and evaluated for anticancer activity against four selected human tumor cell lines (MGC-803, MCF-7, PC-3, EC-109). Majority of the synthesized compounds exhibited moderate to potent activity against MGC-803 and MCF-7 Figure-17.
Fig. 17:
Jiang Z. et al. [49] reported the discovery of highly potent triazole antifungal derivatives by heterocycle-benzene bioisosteric replacement. The designed new triazole derivatives have good antifungal activity toward a wide range of pathogenic fungi. Their binding mode with the target enzyme was clarified by molecular docking Figure-18.
Fig. 18:
Odlo K. et al. [50] reported the synthesis of 1,5-Disubstituted 1,2,3-triazoles as cis-restricted analogues of combretastatin A-4 and evaluated them all for cytotoxicity studies and inhibitors of tubulin Figure-19.
Fig. 19:
Sztanke K. et al. [51] reported the synthesis of imidazoline and imidazo[2,1-c][1,2,4]triazole aryl derivatives containing the methylthio group as possible antibacterial agents. Determination of in vitro antimicrobial activity of the compounds tested was performed using the microdilution method, against pathogenic bacteria, yeast-like fungi and moulds were compared. The following microorganisms were used: S. aureus ATCC 25923, Staphylococcus epidermidis, Streptococcus pyogenes, Streptococcus agalactiae (Gram-positive bacteria), E. coli ATCC 25922, Pseudomonas aeruginosa, Proteus vulgaris, Klebsiella pneumoniae, Enterobacter aerogenes (Gramnegative bacteria), C. albicans and Aspergillus spp Figure-20.
Fig. 20:
Ezabadi I. R. et al. [52] reported that a series of ten new 5-[2-(substituted sulfamoyl)-4,5-dimethoxy-benzyl]-4aryl-s-triazole-3-thiones were synthesized and evaluated for in vitro antifungal and antibacterial activity. All compounds tested showed significant antifungal activity against all the micromycetes, compared to the commercial fungicide bifonazole. Differences in their activity depend on the substitution of different reactive groups. More specifically, best antifungal activity among synthetic analogues was shown with N-dimethylsulfamoyl group. All the compounds tested against bacteria showed the same activity as the commercial agent streptomycin, except for Enterobacter cloacce and Salmonella species. Chloramphenicol showed lower bactericidal effect than the synthetic compounds. Furthermore, it is apparent that different compounds reacted in different ways against bacteria. Gram (-) bacteria seem to be more sensitive to these compounds than Gram (+) species. An effort was made to correlate the above-mentioned differences in activity with lipophilicity studies. Furthermore, molecular modeling was used to obtain the main conformational features of this class of molecules for future structure–activity relationship studies Figure-21.
Fig. 21:
Miyamoto N. et al. [53] describe the design, synthesis and biological evaluation Discovery of N-[5-({2-[(cyclopropylcarbonyl)amino]imidazo[1,2-b]pyridazin-6-yl}oxy)-2-methylphenyl]-1,3-dimethyl-1H-pyrazole-5-carboxamide (TAK-593). All the synthesized compounds were evaluated for VEGFR2 Kinase inhibitor efficacy. Results revealed that some compounds strongly suppressed the proliferation of VEGF-stimulated human umbilical vein endothelial cells Figure-22.
Fig. 22:
Mohammed A. I. et al. [54] described the synthesis of new ether-linked bis-1,2,3-triazole derivatives based on D-glucose and the measurement of the antibacterial activity of these derivatives in vitro against the Escherichia coli (-) and Staphylococcus aureus (+) Figure-23.
Fig. 23:
Miniyar P. B. et al. [55] have been synthesized some Triazole hybrids similar to itraconazole as the new type of anti-fungal agents. The anti-fungal activities of all compounds were performed against Aspergillus niger, Penicillium notatum, A. fumigatus and Candida albicans out of the series six compounds showed remarkable anti-fungal activity Figure-24.
Fig. 24:
Kaushik C. P. et al. [56] reported that a series of 1,4-disubstituted 1,2,3-triazoles having p-substituted aromatic ester functionality were synthesized via Cu(I) catalysed click reaction between p-substituted benzoic acid prop-2-ynyl esters and alkyl azides. The synthesized triazoles were characterized by IR, 1H NMR, 13C NMR and mass spectral techniques. These compounds were evaluated for their antimicrobial activity against Escherichia coli, Staphylococcus aureus, Bacillus subtilis, Pseudomonas aeruginosa, Mycobacterium tuberculosis, Candida albicans, Aspergillus niger and Aspergillus flavus by two fold serial
dilution method. Some of the synthesized 1,4-disubstituted 1,2,3-triazoles possess comparable or even better antibacterial, antitubercular and antifungal activities than reference drugs against tested bacterial, mycobacterial and fungal strains, respectively Figure-25.
Fig. 25:
El-Badih A. G. Ghattas A. et al. [57] reported the synthesis of some new s-triazole derivatives and tested for antibacterial activity. The inhibitory effect of all compounds on the in vitro growth of broad spectrum of bacteria representing one gram positive bacterium, namely Bacillus cereus and two gram negative bacteria namely; Pseudomonas aeruginosa and Escherichia coli was evaluated using agar diffusion method (cup and plate method) Figure-26.
Fig. 26:
Bhalgat C. M. et al. [58] have synthesized some new dihydro pyrimidinecarbonitrile and its triazole fused derivatives. The novel derivatives were characterized by spectral data and elemental analysis of these compounds were evaluated for their antioxidant and anti-inflammatory screening Figure-27.
Fig. 27:
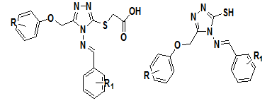
Mange Y. J. et al. [59] reported a series of new Schiff bases were synthesized by the condensation of N-[(4-amino-5-sulfanyl-4H-1,2,4-triazol-3-yl)methyl]-4-substituted-benzamides with various substituted aromatic aldehydes in ethanol-dioxane mixture using catalytic amount of sulfuric acid. All the compounds were evaluated for their antibacterial and antifungal activity using the Minimum Inhibition Concentration (MIC) method by serial dilution technique. Few of the compounds were found to be biologically active Figure-28.
Fig. 28:
Tahlan S. et al. [60] reported the synthesis, antimicrobial, anticancer evaluation and QSAR studies of N-benzylidene-4-(2-oxo-2-(4H-1,2,4-triazol-4-yl)ethylamino)benzohydrazides Figure-29.
Fig. 29:
Hunashal R. D. et al. [61] reported the synthesis, anti-inflammatory and analgesic activity of 2-[4-(substituted benzylideneamino)-5-(substitutedphenoxymethyl)-4H-1,2,4-triazol-3-yl thio] acetic acid derivatives Figure-30.
Fig. 30:
Narayana Moorthy N. S. H. et al. [62] reported the synthesis, antifungal evaluation and in silico study of novel Schiff bases derived from 4-amino-5-(3,5-dimethoxy-phenyl)-4H-1,2,4-triazol-3-thiol. Pharmacophore analysis revealed that the aromatic/hydrophobic and aromatic/acceptor/donor features in the compounds are essential for the activity. The predicted cardiotoxicity (hERG) and lethal effect of the synthesized compounds can be further investigated for in vivo toxicity studies Figure-31.
Fig. 31:
Raghunath Saundane A. et al. [63] reported the synthesis, antimicrobial and antioxidant activities of 2-oxo-6-phenyl-2-yl-4-(20-phenyl-50-substituted 1H-indol-30-yl)-1,2-dihydro pyridin-3-carbonitriles and their derivatives. The compounds were screened for their antioxidant and antimicrobial activities Figure-32.
Fig. 32:
Amara S. et al. [64] reported a convenient synthesis and antibacterial activity of double headed acyclo-C-nucleosides from unprotected D-glucose. The products were tested in vitro against gram positive bacteria Staphylococcus aureus, Listeria inovanii and gram negative bacteria Klebsiella pneumoniae, Salmonella sp., Escherichia coli and compared with the known antibiotic: amoxicillin + clavulanic acid (AMC) and showed variable effects Figure-33.
Fig. 33:
zlem Gu rsoy-Kol O. et al. [65] synthesized 4,5-dihydro-1H-1,2,4-triazol-5-one derivatives and also investigated by using different antioxidant methodologies such as: reducing power, 1,1-diphenyl-2-picryl-hydrazyl (DPPH) free radical scavenging and metal chelating activities Figure-34.
Fig. 34:
Sunil D. et al. [66] have investigated the in vitro antioxidant property of two triazolothiadiazoles 6-[3-(4-fluorophenyl)-1H-pyrazol-4-yl]-3-[(2-naphthyloxy)methyl][1,2,4]triazolo[3,4-b]-[1,3,4]thiadiazole (FPNT) and 6-[3-(4-chlororophenyl)-1H-pyrazol-4-yl]-3-[(phenyloxy)methyl]-[1,2,4]triazolo[3,4 b][1,3,4]thiadiazole (CPPT) by spectrophotometric DPPH and ABTS radical scavenging methods as well as by lipid peroxide assay. The anticancer activity along with possible mechanism of action of triazolo-thiadiazoles in Hep-G2 cells was explored using MTT assay, [3H] thymidine assay, flow cytometry and chromatin condensation studies. Both FPNT and CPPT exhibited a dose dependent cytotoxic effect on hepatocellular carcinoma cell line, HepG2 Figure-35.
Fig. 35:
CONCLUSION
The pharmacological potential of triazole nucleus is cleared from the literature and clinically used drugs. The literature revealed that triazole nucleus possess diverse biological potential, easy synthetic routes for the synthesis and attracted researchers for development of new therapeutic agents. Though it can be concluded that triazole nucleus are widely investigated as antimicrobial, antifungal, anti-inflammatory and anti cancer agents. From these observations important of the nucleus is highlighted.
CONFLICT OF INTERESTS
Declared None
REFERENCES