
1Department of Pharmaceutics, National Organization for Drug Control and Research (NODCAR), Egypt, 2Department of Pharmaceutics and Industrial Pharmacy, Faculty of Pharmacy, Cairo University, Cairo, Egypt
Email: dalia_pharma2006@hotmail.com
Received: 22 May 2016 Revised and Accepted: 22 Jul 2016
ABSTRACT
Objective: The aim of this work is to investigate the influence of different casting solvents on the physicochemical properties of cetylpyridinium chloride (CPC) chitosan mucoadhesive buccal films.
Methods: Screening formulations were prepared by casting solvent technique using organic acids; 1% acetic acid (AA), 1% lactic acid (LA) and inorganic acid; 0.1N HCl (FS1-FS3). Then, 21X31 factorial design study was done using 2 factors; solvent type (AA, LA, Mixture of 0.1N HCl and LA) and solvent concentration (AA and LA; 1%, 2% and mixture of 0.1N HCl: 1% LA; 2:1, 1:2). Films were evaluated for their physicochemical properties through, mechanical properties, mucoadhesion, in vitro release of CPC and antimicrobial activity.
Results: The studied factors showed a significant effect on both mucoadhesion and tensile strength. Film casted from 0.1 N HCl was brittle and did not show any elasticity, so it was used in further studies mixed with LA to improve physicochemical properties of the prepared films. Films casted from LA showed swelling for an initial period of 15 min then no more swelling occurred while swelling of those casted from AA occurred throughout approximately 2 h. A film containing 2:1 HCl: LA (F5) dissolved in both media while 1:2 HCl: LA (F6) showed swelling properties. This was reflected on the in vitro release of CPC in which F5 gave higher % released (DE300 min 54.37%) than the other formulations.
Conclusion: Casting solvent was proved to have a significant effect on the physicochemical properties of chitosan CPC mucoadhesive films.
Keywords: Chitosan, Cetylpyridinium chloride, Films, Mucoadhesion, Tensile strength, In vitro release
© 2016 The Authors. Published by Innovare Academic Sciences Pvt Ltd. This is an open access article under the CC BY license (http://creativecommons. org/licenses/by/4. 0/)
DOI: http://dx.doi.org/10.22159/ijpps.2016.v8i9.12999
INTRODUCTION
The use of natural polymers as drug carriers has received significant consideration in the design of new dosage forms, particularly from the safety viewpoint. The abundance of chitin in nature beside its safe toxicological profile had prompted researchers worldwide to investigate the potential pharmaceutical and biological applications of this unique biopolymer and its products. It is widely distributed in nature as the principle component of shells of crustaceans, insects and of cell walls of bacteria and mushrooms. Chitin, an abundant natural polysaccharide, is a straight polymer consisting of β-(1-4)-N-acetyl-D-glucosamine units with a three-dimensional α-helical arrangement. Partial deacetylation of chitin leads to the production of chitosan, which is (poly-(N-acetyl-glucosamine) [1, 2].
Chitosan consists of copolymers of N-acetyl-glucosamine and glucosamine. Chitosan amino groups are protonated when present in solution, thereby giving the molecule a positive charge. Being cationic, chitosan reveals superior compatibility with organic compounds as cationic dyes, surfactants, starches, quaternary ammonium salts and with most cationic and non-ionic polymers. On the other hand, multivalent anions easily crosslink with chitosan to form gels and precipitates [3]. He and his co-workers [4] proposed that positive charges of chitosan could cause strong electrostatic interaction with negatively charged mucosal glycoproteins by a salt bridge effect.
A major obstacle for the efficacious eradication of oral cavity infections is the dilution and fast elimination of topically applied drugs due to the flushing effect of saliva. Therefore, the delivery system in which the drug is incorporated is considered a significant factor in prolonging the drug action in the oral cavity.
Films is a dosage form that can be used to extend the action of drugs in the oral cavity. It should be soft, flexible and elastic yet sufficiently robust to withstand rupture due to stress from mouth activities. In addition, it should also retain good mucoadhesive strength so that it can be attached in the mouth for the needed duration [5, 6]. On the contrary of other dosage forms, as oral gels, which have low residence time in the mouth since they are easily washed by saliva [7, 8].
CPC is a cationic quaternary pyridinium antiseptic which has been found effective in controlling and preventing the accumulation of bacterial plaque and cures any consequent gingivitis as it has a bactericidal activity for oral infections [9].
CPC is used chiefly as lozenges or solutions for curing minor mouth and throat infections. It has been used extensively in oral hygiene formulations. These preparations have been shown to reduce plaque formation while none of these dosage forms can release the antibacterial drug into the oral cavity for an elongated period of time because of their short residence time in the mouth [10-12].
Therefore, CPC was chosen as a model drug to study the effect of different casting solvents on chitosan mucoadhesive buccal films.
MATERIALS AND METHODS
Materials
CPC Kindly supplied from Amoun pharmaceutical Company, Elsalam city, Egypt. Chitosan, (85% deacetylated), Sigma, USA. Glacial acetic acid, analytical grade, Assay 99.9%, Honel limited, London, UK. Lactic acid 88%, Hydrochloric acid 37%, Potassium dihydrogen orthophosphate, Disodium hydrogen orthophosphate, analytical grade, El-Nasr Company, Egypt. Sodium Chloride, analytical grade, Taylor Chemical Company, St. Louis.
Methodology
Preparation of CPC-chitosan mucoadhesive buccal films
Chitosan (1% w/v) was dispersed in 70% of the volume of casting solvent [13]. Then the drug was dissolved in the remaining solvent, added to the chitosan solution and stirred using magnetic stirrer overnight at room temperature till a clear solution was obtained. This solution was left to equilibrate at room temperature to guarantee clear, bubble-free solution. The solution was casted in glass petri dish and allowed to dry in an oven adjusted at 37˚C till the films reach a constant weight. Then, films were carefully peeled off the glass petri dish and stored in tightly closed container at room temperature.
Formulations were prepared as follows:
-Screening formulations
First, three screening formulations were prepared using 1% AA, 1% LA and 0.1 N HCl as shown in table 1 to establish a preliminary study of the physicochemical properties of the prepared films using different solvents.
-21 X 31 factorial design
21 X 31 factorial design was established as presented in table 2. Solvent Type and concentration were used as independent factors. The used solvents were AA in 1% and 2% v/v, LA in 1% and 2% v/v, and mixtures of 0.1N HCl and 1% LA (2:1, and 1:2 respectively) as shown in table 3.
Table 1: Composition of the prepared screening CPC-chitosan mucoadhesive buccal films
| Ingredients | Formulations |
| FS1 | |
| Chitosan* | 1% |
| CPC* | 0.1% |
| AA** | 1% |
| LA** | ـ |
| HCl | ـ |
*% wt/vol, **vol/vol
Table 2: Composition of the prepared CPC-chitosan mucoadhesive buccal films according to 21 X 31 factorial design
| Ingredients | Formulations |
| F1 | |
| Chitosan* | 1% |
| CPC* | 0.1% |
| AA** | 1% |
| LA** | ـ |
| 0.1N HCl: 1%LA | ـ |
*% wt/vol, **vol/vol
Table 3: Factors used in the planned factorial design
| Solvent type | Solvent concentration |
| Low | |
| AA | 1% (F1) |
| LA | 1% (F3) |
| Mixture of 0.1N HCl: 1%LA | 2:1 (F5) |
Physicochemical compatibility studies of chitosan/CPC films with different casting solvents
Differential scanning calorimetric (DSC) analysis for screening formulations
The DSC patterns of the drug alone, chitosan and the prepared screening CPC-chitosan mucoadhesive buccal films using different casting solvents (1% AA, 1% LA and 0.1N HCl) were analyzed using a Shimadzu DSC device at a scanning rate of 20 °C/min from 10 °C to 400 °C under nitrogen gas stream at a flow rate of 40 ml/min. Samples of 4-8 mg were precisely weighed and encapsulated into flat-bottomed aluminum pans with crimps on lids.
The instrument was calibrated with indium as a standard.
Colour and transparency
The prepared films were examined visually to determine their colour and transparency.
Average weight
Three films from each formulation were weighed, and the mean weight of the three films was calculated.
Uniformity of film thickness
The thickness of each film was measured using digital micrometer (model: PK-1012E, Mitutoya, Japan) at 5 different regions then the average thickness was calculated.
Uniformity of drug content
A content uniformity test was performed to ensure uniform distribution of CPC in the different prepared chitosan films. Three samples (1 cm2)representing different regions within the film were cut, weighed and dissolved in 10 ml 1% AA by the aid of magnetic stirrer. After complete solubilization, the solution was filtered, and then the amount of drug present in this piece of film was calculated by measuring the absorbance of CPC spectroscopically at λmax 260 nm against known concentration of standard CPC.
Surface pH
The surface pH of medicated films was determined to evaluate the possible irritative effects of the formulations on the mucosae. Films were cut into uniform pieces of 1x1 cm surface area and were left to swell for 2 h in 4 ml distilled water. Then, pH was measured by placing the bulb of the microelectrode in contact with the surface of the films [14]. The readings are the average of three trials.
Water uptake of the films
The swelling properties of the prepared films were determined as they may affect drug release from the polymer matrix. Besides, swelling of the polymer is necessary for initiating mucoadhesion [15]. The swelling index of medicated mucoadhesive films was determined using two aqueous vehicles; namely, distilled water and simulated saliva solution (2.38g Na2HPO4, 0.19g KH2PO4 and 8g NaCl/liter of distilled water adjusted with phosphoric acid to pH 6.8±0.05) [16]. Films (1x1 cm) were weighed alone and placed on a pre-weighed wire mesh (49 openings/cm2). The mesh with the film was submerged into 15 ml of one of the previously mentioned aqueous vehicles. The mesh with the film was weighed at the specified time intervals for 3 h after removing excess water using filter paper. The increase in weight was determined up to 3 h. The readings are the average of three trials.
The Swelling Index was calculated using the formula [17-19].
S. I = Wt-Wo/Wo
Where: Wt: weight of film at time t (weight of swollen state).
Wo: weight of film at time zero (weight of dry state).
Determination of the mechanical properties
Mechanical properties of the films were measured using Chatillon Force Tensile strength Tester. Films were cut into uniform pieces of dimension 3 x 0.5 cm using a sharp blade. The film sample was clamped between the two jaws of the machine where the upper jaw is fixed, and the lower one is movable. The machine was switched on at low speed where the lower jaw moves down till the break point of the film.
Percent elongation, modulus of elasticity and tensile strength were calculated as follows [6, 19, 20]:
Tensile Strength = F/A
Where: F is the breaking load (N)
A is the cross-sectional area of the film (cm2)
Percent Elongation = (Ls-Lo)/lo x 100
Where: Lo is the original length
Ls is the length of the film after elongation
The modulus of elasticity of the film was calculated using Hook`s law
F/A = E (Ls-Lo)/lo
Where: E is called modulus of elasticity or Young`s modulus.
Determination of mucoadhesion
Mucoadhesion of the prepared films was measured using Chatillon Force device. An inverted beaker was fixed on the lower movable side of the apparatus. Films were cut into a uniform dimension of 1x1.5 cm. A section of the chicken pouch, obtained from a local poultry slaughter, was frozen and only thawed to room temperature before use [21]. It was fixed on one slide, moistened with 1 ml simulated saliva solution while the film was fixed to another slide. Then the fixed film was placed on the chicken pouch [21, 22] and left for 10 seconds applying a force of 10 g so that the adhesion bonding forces could be established. The apparatus was allowed to move down at a constant rate of 2 mm/min till the two sides were separated. The breaking force was recorded. Each experiment was done in triplicate and the mean result was taken.
In vitro release study of CPC
The release of CPC was determined using Hanson Research device using apparatus 5 (paddle over disc). The prepared film was fixed onto watch glass for transdermal patches and the exposed surface was covered with plastic screen (opening size 1.96 mm2) and fixed with three plastic holders. This assembly was placed at the bottom of a USP dissolution vessel containing 300 ml deareated simulated saliva solution of pH 6.8±0.05 [16] equilibrated at 37 °C±0.5 °C with 50 rpm. Aliquot samples of 2 ml were withdrawn from the vessels at the predetermined time intervals, and the amount of CPC released was measured spectrophotometrically at λmax 260. All experiments were done in triplicate, and the mean result was taken.
Analysis and computation of the CPC release data
As the polymer matrix of chitosan used in this study is swellable in nature, the release data of the drug from these swellable systems can be analyzed according to Korsmeyer et al. equation [23, 24].
Mt/Mα = ktn (Eq.1)
where, Mt is the amount of drug released at time t, Mα is the total amount of drug that expected to be released after an infinite time, k is a release rate constant, and n is the diffusional release exponent demonstrating the mechanism of CPC release. To illuminate the release exponent for different formulations, the log value of percentage drug dissolved was plotted against log time for each formula.
Log (Mt/Mα) = Log k+n Log t (Eq.2)
where n ≤ 0.45 corresponds to a Fickian diffusion release (case I), 0.45<n<0.89 to a non-Fickian (anomalous) transport, n = 0.89 is for zero-order (case II) release kinetics, and n>0.89 corresponds for a super case II transport.
Case II and Super case II generally refers to the relaxation of the polymeric chain while non-Fickian (anomalous) transport denotes a combination of both relaxation and diffusion controlled drug release [25]. For determination of the exponent n, only the first portion of the release curve (0.1<Mt/Mα<0.7) is used, since transformed values instead of original data as presented in equation (2) [23]. To further illustrate the drug release process, the mean dissolution time (MDT) was calculated according to Mockel and Lippold using the following equation:
MDT = (n/n+1). k-1/n (Eq.3)
Mean dissolution time (MDT) is used to characterize drug release rate from a dosage form and designates the drug release retarding efficiency of the polymer. MDT is a measure of the dissolution rate; the higher the MDT, the slower the release rate. The MDT value was also found to be affected by polymer loading, polymer nature and physicochemical property of the drug molecule [26].
Antimicrobial activity of the selected CPC-chitosan muco-adhesive buccal films
-Determination of Minimum Inhibitory Concentration (MIC) of CPC
Representative microorganisms were used in this study, which included Staphylococcus aureus ATCC29213, Bacillus subtilis ATCC 6633 and Escherichia coli ATCC 11105. Minimum inhibitory concentration (MIC) was done by agar dilution technique [27] by using a stock solution of 10 mg/ml of CPC in water to prepare agar plates containing serial concentrations of the CPC (1–50 µg/ml). Nutrient agar (Difco) was used for growing the tested bacterial strains.
In vitro susceptibility of the prepared films
A fresh culture of the tested strain of the above-mentioned microorganisms was subcultured in Nutrient broth (Difco) for bacterial cultures and incubated at 30 °C for 24 h. Plates of respective agar medium were then surface inoculated with the fresh culture of the tested strain (106 CFU/ml). After agar solidification, the selected films were cut into circles of area equal to 1 cm2 and placed aseptically on the agar surface. Plates were incubated at 30 °C for 24 h. The diameter of inhibition zone was recorded after 24 h. Each assay was done in triplicate, and the mean of the inhibition zone diameter was taken. The percentage microbiological activity was calculated with reference to a standard solution of CPC in simulated saliva solution pH 6.75. This solution had the same concentration of the piece of the film applied to the agar solution.
Statistical analysis
In this work, data was expressed as a mean mean±SD. One-way analysis of variance (ANOVA) with the least significant difference test was used to investigate the statistically significant difference of tensile strength, % elongation, mucoadhesion. Differences were considered to be significant for values of P<0.05.
RESULTS AND DISCUSSION
Physicochemical compatibility studies of chitosan/CPC films with different casting solvents
Differential scanning calorimetric (DSC) analysis for screening formulations
Fig. 1 shows the characteristic thermal peaks of CPC, chitosan and medicated films casted from AA, LA and 0.1N HCl (FS1-FS3).
CPC showed a sharp endothermic peak at 85.94 °C which represents its melting phase while chitosan showed a sharp exothermic one at 305.78 °C which is characteristic of chitosan degradation [28].
Films prepared from different solvents showed variable thermograms. All films showed the characteristic endothermic peaks of CPC which indicated the absence of any interactions. Thermogram of film casted from AA (FS1) showed the characteristic exothermic peak of chitosan while that casted from LA (FS2) did not show it and instead, a new endothermic peak at 200 °C appeared which may indicate the formation of new compound (complex) between chitosan and LA [29].
In the case of FS3, the exothermic peak of chitosan was shifted which may indicate the formation of chitosan HCl soluble salt.

Fig. 1: DSC thermo gram of (A) CPC, (B) Chitosan, and films casted from: (C) 1% AA (D) 1% LA (E) 0.1 N HCl
Evaluation of chitosan CPC mucoadhesive buccal films
All prepared films showed acceptable physicochemical results. Colour, transparency, average weight, thickness, drug content and surface pH of the prepared CPC-chitosan buccal films are shown in table 4. Film thickness measurements varied with the van-der-Waals molecular volume counter ion of the casting solvent as films casted from LA (0.1-0.16 mm) were thicker than other films [31].
Films casted from AA gave higher pH (4.5–4.61) than those casted from LA (pH=2.84-2.92) and from mixtures of HCl and LA (pH=3–3.2). This indicated that films casted from AA showed more suitable pH to the buccal environment.
Table 4: Physical properties of CPC-chitosan buccal films casted from different casting solvents*
| Formulations | Colour | Transparency | Average weight (mg/cm2) | Thickness (µm) | Drug content (%) | Surface pH |
| F1 | white | opaque | 8.68±0.02 | 82.1±0.006 | 101.67±0.4 | 4.61±0.08 |
| F2 | white | opaque | 9.17±0.15 | 93.2±0.006 | 106.67±0.2 | 4.5±0.18 |
| F3 | yellowish | clear | 12.3±0.01 | 100±0.043 | 103.33±0.173 | 2.92±0.11 |
| F4 | yellow | clear | 20.85±0.08 | 165±0.017 | 108.33±0.1 | 2.84±0.09 |
| F5 | coulourless | clear | 12.17±0.18 | 130±0.01 | 103±0.36 | 3±0.23 |
| F6 | yellowish | clear | 9.91±0.04 | 120±0.01 | 99±0.1 | 3.2±0.13 |
*All values are expressed as mean±SD, n=3 except for thickness n=5
Water uptake of the films
The swelling profile of chitosan films differed according to the casting solvent and media used as presented in fig. 2-3. Generally, all chitosan films showed higher swelling index in distilled water than in SSS. The lower swelling index in SSS may be attributed to the cross-linking between a cationic amino group of chitosan and phosphate anions in SSS. First, the films absorb water and swell, and an amino group of chitosan was simultaneously protonated. Then phosphate anions in the medium penetrate the swollen film to cross-link at quaternary ammonium groups of chitosan molecules. This might be the reason for the decrease in volume of swollen films and in turn the decrease in their weight in simulated saliva solution in comparison to that in distilled water [32].
Dissolving chitosan in HCl, which is a strong acid, allows chitosan molecules to be bound to the dissociated hydrions and so the chitosan chains became extended coils due to electrostatic repulsion of molecules. Together with, chitosan chains had a weak impact on chloride anions in HCl solution and so no strong cross-linking took place [30]. Besides, chitosan chloride salts are water soluble [33] As a result films casted from HCL dissolved in both media and did not show any swelling behavior (dissolved in less than 5 min).
In the case of those casted from AA swelling occurred throughout approximately 2 h. The behavior of chitosan in weak acids is absolutely different than in strong acids. Li and his coworkers [30] observed that chitosan chains in weak acids interact with carboxylic acid molecules and entangle strongly with each other. Amino groups first become protonated with the dissociated hydrions (H+) leading to the formation of chitosan chains carrying positive charges that repel each other and become extended coils because of the electrostatic action.
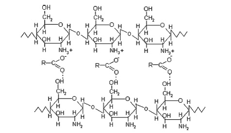
Then OH-group of chitosan chains begins to interact with the C=O group of carboxylic acid molecules through hydrogen bonding leading to entangling and crosslinking of chitosan molecules forming stable and order structure complex as shown in fig. 4. Films casted from 1% AA showed higher swelling index in distilled water than films casted from 2% AA.
This may be due to entrapment of more water in 1% AA than in the case of higher AA concentrations. By increasing the concentration of AA, more carboxylic acidic ions (R-COO–), hydrions (H+) were available to interact with chitosan leading to more entangling of chitosan molecules and so less entrapment of water which led, in turn, to decrease in swelling properties of films casted from a higher concentration of AA.
In both media (distilled water and SSS), films casted from LA absorbed water for an initial period of 15 min and then no more swelling occurred. This may be due to the formation of a complex between chitosan and LA which is insoluble in neutral and alkaline pH. This is in agreement with Rana et al. [26] who stated that this complex is insoluble in alkaline buffer (maximum swelling index were 52 and 63.755 in distilled water and 9.9 and 29.77 in SSS for F3 and F4 respectively). In addition, a gel layer was formed which led to the hindrance of further water uptake.
For films casted from mixtures of 0.1N HCl and 1% LA, swelling of films was affected by the percent of mixing HCl and LA. Film prepared from 2:1 HCl: LA (F5) dissolved in both media which may be due to the higher content of HCl in the mixture which in turn may lead to the formation of soluble chitosan HCl salt. On the other hand, film casted from 1:2 HCl: LA (F6) showed a rapid high swelling, which may be due to LA content followed by a gradual decrease in the swelling index, which may be due to the dissolution effect carried out by HCl as a part of the casting solvent.

Fig. 2: Swelling Index of the prepared CPC-chitosan mucoadhesive buccal films in distilled water
All values are expressed as mean±SE, n=3

Fig. 3: Swelling Index of the prepared CPC-chitosan mucoadhesive buccal films in SSS
All values are expressed as mean±SE, n=3

Fig. 4: Complex of chitosan and carboxylic acid molecules formed through partly ion cross-linking bond and hydrogen bonding [26]
Determination of mechanical properties
Concerning the prepared screening films, the one casted from AA (FS1) showed higher tensile strength (1.34 kg/cm2) than that casted from LA (FS2) (0.2 kg/cm2) while film casted from 0.1 N HCl (FS3) was strong and brittle.
Table 5 shows the tensile strength, % elongation and modulus of elasticity of the prepared films. Solvent type caused a significant effect on both tensile strength and % elongation (p<0.05). Tensile strength was observed to increase in the order of casting solvent AA (1.3 kg/cm2)>mixture of HCl and LA (0.861 kg/cm2)>LA (0.13 kg/cm2).
Increasing concentration of AA, LA and LA content in the mixture of HCl and LA led to a decrease of tensile strength and in turn increase of % elongation and a decrease of the modulus of elasticity. Solvent concentration showed to have a significant effect on tensile strength (p<0.05) but had no significant effect on % elongation (p>0.05) as films casted from AA and mixture of 0.1N HCl and LA did not show a significant difference on % elongation between different concentrations.
Regarding to anion molecular volume, acids belong to two classes: acids of small volume (e. g.; HCl, acetic acid) and acids with larger molecular volume (e. g.; lactic acid). Ascendingly arranging the three anions according to their molecular volume; chloride, acetate and then comes to the lactate anion having the largest molecular volume. The molecular volume of acetate ion represents barely the maximum space that the counter ion can be occupied within chitosan structure without interfering with the crystallite formed. Since the film strength depends on the number and the force of crystallites created during the formation of the film, it could be assumed that anions having a molecular volume superior to molecular volume of acetate anion will interfere with crystallite formation leading to a decrease in film strength [31]. In turn, % elongation of films casted from LA was higher than those casted from AA. Increasing the concentration of lactic acid increased the elasticity of films and so its % elongation and decreased its tensile strength which is in accordance with Sezer and his coworkers [34] who proved that LA acts as plasticizer enhancing film flexibility and decreasing tensile strength [35].
Table 5: Mechanical properties of CPC-chitosan mucoadhesive buccal films casted from different casting solvents*
| Formulations | Tensile strength (kg/cm2) | % Elongation | Modulus of elasticity |
| F1 | 1.34±0.04 | 10%±0.1 | 13.4±0.11 |
| F2 | 1.26±0.01 | 13%±0.01 | 9.69±0.1 |
| F3 | 0.2±0.001 | 125%±0.6 | 0.16±0.004 |
| F4 | 0.06±0.001 | 325%±0.45 | 0.0184±0.001 |
| F5 | 1.3±0.06 | 65%±0.31 | 2±0.2 |
| F6 | 0.425±0.01 | 90%±0.2 | 0.4722±0.001 |
*All values are expressed as mean±SD, n=3
Determination of mucoadhesion
Chitosan, a cationic polymer, can bind to mucin via electrostatic interactions with negatively charged sialic acid moieties of mucin. However, ionic interactions with sialic acid are merely one possible mechanism of polymer-mucin binding. Together with, hydrogen bonding and hydrophobic interactions are typical types of interactions that are desirable for mucoadhesion.
Solvent type showed a significant effect on mucoadhesion (p<0.05). Fig. 5 shows that mucoadhesion was increased in the order of LA (2.255 N)>AA (2.55 N)>mixture of HCl and LA (1.9 N). This may be related to the higher initial swelling of films casted from LA upon contact with the mucous that potentiates mucoadhesion of the film. In addition, the solvent concentration had a significant effect on mucoadhesion (p<0.05) as decreasing the concentration of the casting solvent led to an increase of mucoadhesion. This was obvious with AA, and a mixture of 0.1N HCl and LA.

Fig. 5: Interaction bar plot of mucoadhesion for solvent type and concentration of solvent on the prepared CPC-chitosan mucoadhesive buccal films at 95% confidence interval
In vitro release study
In vitro release studies of the screening films (FS1-FS3) showed that the extent of CPC released is increased in the order of chitosan films casted from HCl (DE300 min 61.44%)>films casted from 1% AA (DE300 min 19.41)>films casted from 1% LA (DE300 min 13.14). This may be due to the formation of gel layer upon exposing to the dissolution medium which was notable in the case of films casted from LA. This gel layer is a diffusional barrier that retards the release of the drug. In the case of films casted from HCl no gel layer was formed but on the contrary, the film was dissolved during the experiment. This may be due to that chitosan chloride salts are water soluble which led to the total dissolution of the film during the release procedure and consequently resulted in the fast release of CPC.
Fig. 6 shows the in vitro release of CPC from the prepared CPC-chitosan mucoadhesive buccal films. Films casted from 1% AA showed no remarkable difference of CPC release than those casted from 2%.
It was stated in the literature that chitosan (being a linear polysaccharide) is reported to form complexes with citrates, sodium carboxymethylcellulose, acacia, pectin, agar, sodium tripolyphosphate, sodium caprylates, stearic acid, glutaraldehyde, lactic acid, malic acid and alginic acid. These complexes are insoluble in alkaline buffer [26, 36, 37]. This may be the cause of the decrease in the release of CPC from chitosan films casted from LA together with the formation of gel layer of the film upon exposure to the dissolution medium which may hinder the release of CPC.
It was observed in films casted from mixtures of 0.1N HCl and 1% LA (DE300 min 33.89-54.37%), that they gave high release of CPC in an extended period of time. So, it was revealed that the addition of 0.1N HCl aided the release of CPC where F5 showed the highest dissolution rate (DE300 min = 54.37%) as it has a higher content of 0.1 N HCl.

Fig. 6: In vitro release of CPC from the prepared chitosan mucoadhesive buccal films
All values are expressed as mean±SE, n=3
Analysis and computation of the CPC release data from different CPC-chitosan buccal films
It is generally accepted that a drug release from hydrated matrix system is governed sequentially by the following process: (1) Hydration or swelling of the polymer matrix which results in the formation of a gel, (2) Dissolution of the drug into the hydrated matrix gel, (3) Diffusion of the drug molecules out through the hydrated matrix gel and finally erosion and/or matrix dissolution occurs. Table 6 shows data obtained from Korsmeyer et al. equation together with Mockel and Lippold equation through which MDT was calculated.
The use of different casting acids led to variation in the type of release and MDT. Films casted from AA (F1-F2) showed a Non-Fickian (anomalous) mechanism which refers that drug release couples both Fickian diffusion with the relaxation of polymer matrix (so-called anomalous diffusion) and may indicate that drug release is controlled by swelling and diffusion. On the other hand, increasing concentration of LA from 1% to 2% changed the release from Non-Fickian (anomalous) to Fickian which may be due to higher complexation of LA with chitosan. F6 which was casted from 0.1 N HCl gave super case II mechanism. Korsmeyer equation was not fitted to F5 as only two points of the release curve were in the range (0.1<Mt/Mα<0.7). F4 gave the highest MDT (1839.5 min) while F6 showed the lowest MDT (1.12 min).
Antimicrobial activity of the selected CPC-chitosan muco-adhesive buccal films
The minimum inhibitory concentration obtained for CPC against the tested microorganisms was 5 μg/ml.
The hypothetical means of inhibition zones as well as the percent microbiological activity of the prepared Formulations are shown in table 7.
As shown in table 7, results revealed that the above-mentioned films have a good inhibitory activity against the selected microorganisms. The hypothetical means were in the order of F5>F2>F4>F1>F6>F3. The plain unmedicated films showed no remarkable activity against the tested microorganisms under the same conditions
Table 6: Mechanism of CPC release from chitosan buccal films casted from different casting solvents
| Formula No. | Korsemeyer R2 | n | log k | Mechanism of release | MDT (min) | DE % |
| F1 | 0.93358 | 0.4733 | -1.4974 | Non-Fickian (anomalous) | 468.76 | 19.41 |
| F2 | 0.9325 | 0.5333 | -1.5866 | Non-Fickian (anomalous) | 326.17 | 21.25 |
| F3 | 0.7802 | 0.5363 | -1.7795 | Non-Fickian (anomalous) | 727.39 | 13.14 |
| F4 | 0.7192 | 0.388 | -1.4815 | Fickian | 1839.5 | 14.07 |
| F5 | − | − | − | − | - | 54.37 |
| F6 | 0.9664 | 2.1584 | -4.8033 | Super caseII | 1.12 | 33.89 |
Table 7: Microbiological activity of CPC-chitosan mucoadhesive buccal films against the tested microorganisms
| Formula | Diameter of inhibition zone* (mm) | % microbiological activity |
| Staph. aureus | E-coli | |
| F1 | 12.5±0.2 | 9.1±0.173 |
| F2 | 12.8±0.264 | 9.4±0.1 |
| F3 | 12.2±0.346 | 8.9±0.1 |
| F4 | 12.4±0.173 | 9.2±0.264 |
| F5 | 13.3±0.264 | 10.5±0.17 |
| F6 | 12±0.173 | 9.5±0.36 |
| Standard | 13±0.01 | 10±0.01 |
*All values are expressed as mean±SD, n=3
CONCLUSION
Casting solvent plays a vital role on the physicochemical properties of the prepared CPC-chitosan mucoadhesive buccal films. Films casted from AA showed more suitable pH to the buccal environment while films casted from LA showed higher elasticity and mucoadhesion than other films. In this study, mixing 0.1 N HCl and 1% LA provided a solvent with new characteristics that enhanced physicochemical properties of the prepared films. Films casted from mixture 0.1 N HCl and 1% LA with a higher percent of HCl (F5) revealed the highest dissolution efficiency (DE300 min 54.37%).
ACKNOWLEDGEMENT
All the work was done in National Organization for Drug Control and Research (NODCAR).
CONFLICTS OF INTERESTS
All authors have none to declare
REFERENCES
How to cite this article