University of El Oued, P. O. BOX 789, El Oued 39000, Algeria
Email naima_chem@yahoo.fr
Received: 23 Jun 2014 Revised and Accepted: 15 Aug 2014
ABSTRACT
Objective: The aim of the present study was to evaluate the antioxidant capacity and total phenolic of ethanolic extracts of two plants; Origanummajorana and Origanumvulgare.
Methods: Total phenolic was estimated by the Folin-Ciocalteu method. The antioxidant capacity was measured using the 2,2-diphenyl-1-picrylhydrazyl (DPPH) method for spectrophotometrical technique and cyclic voltammetry for electrochemical assay.
Results: According to the results the leaves extracts have very important values for polyphenols (266.86 mg GAE/g and 194.78 mg GAE/g) and high antioxidant activity; DPPH (IC50= 1.37 mg/L and IC50= 1.53 mg/L) for species majorana, and vulgare respectively. The antioxidant capacity of two species of Origanum was measured using ascorbic acid equivalent antioxidant capacity assays. The O. majorana extract showed the highest antioxidant capacity (292.97mg/g) followed by O. vulgare extract (163.64mg/g).
Conclusion: The results show that the antioxidant capacity expressed in terms of ascorbic acid equivalent antioxidant capacity obtained from electrochemical experiments (cyclic voltammetry) is higher than that obtained from spectrophotometrical experiments using DPPH. This outcome can be attributed to the overestimation of the total polyphenolic contents due to the interferences of other non-phenolic species.
Keywords: Origanummajorana, Origanumvulgare, DPPH, Voltammetry cyclic.
INTRODUCTION
Marjoram was formerly classified as coming from a sister genus of Oregano, but is now officially a species of Oregano itself [1]. In New Zea land the names are often used interchangeably, though marjoram (also known as sweet marjoram) differs from oregano in having a milder flavour.
Oregano is one of the most studied herbs, as it has shown consistently high levels of phenolics, antioxidant activity both had extremely high levels of phenolics as well as antioxidant activity. Oregano similarly ranked very highly in a number of studies over a range of different antioxidant assays, demonstrating its various modes of antioxidant activity [2-4]. A range of phenolic compounds has been identified in Oregano including rosmarinic, caffeic, p-coumaric acids and caffeoyl derivatives, the phenolic monterpenes, carvacrol, thymol, flavonoids, luteolin, apigeninmyricetin and quercetin [5-10]. The aim of this work is to measure the IN VITRO antioxidant capacity of the ethanolic extracts of south Algerian Origanum. We used the following two assays systems (i) DPPH radical scavenging activity assay and(ii) cyclic voltammetry assay[11-14]. Total phenolic contents of ethanolic extract of Origanum majorana and Origanum vulgre were determined by standard colorimetric method.
MATERIALS AND METHODS
Vegetable matter
The two species of Origanum family Lamiatae were cultivated in the area of El-Oued, south of Algeria.
Instrument: UV-Visible spectrophotometer
(PRIM Advanced SCHOTT Instruments Gmbh), centrifuge machine (SLW centryge Ultra-8TL), PGP301 potentiostat with voltamaster 4 version 7.08 software (radiometer analytical SAS), rotary evaporator (IKA evaporator RV 06-ML).
Ethanolic extracts
The powders of each plant material (10 g) was extract with 135 mL of ethanol absolute into the Soxlet apparatus, and was extracted for 3 hours. The liquids extracts were filtered by Whatman. The filtrate was concentrated under reduced pressure at 40 °C by rotary evaporator (BUCHI R-210, Switzerland) to eliminate the ethanol, and stored in -4°C to give a crude extract yielding0.8165 g for fresh leaves of Origanummajoranas and 0.711 g for Origanumvulgare, diluted in ethanol and distilled water for next concentrations needed in this work.
Chemicals and reagents
Gallic acid, DPPH, anhydrous sodium sulfate sodium carbonate 20% (Na2CO3), Folin-Ciocalteu (F-C) reagent, ascorbic acid, ethanol (95%), were procured from Sigma–Aldrich Inc (Paris, France), all other reagents used were of analytical grade.
Determination of total phenolic
The total phenolic contents were determined by Folin-Ciocalteu colorimetric method [15]. Briefly, 100 μL of sample (diluted solution) and 500 μL of Folin-Ciocalteu reagent were pipetted into an Eppendorf tube. The contents were vortexed for 10 seconds. 2 mL of 20% (w/v) sodium carbonate solution was added to stop the reaction. The reaction mixture was incubated for 30 minutes at room temperature; the absorbance was measured at 760 nm. Gallic acid concentrations ranging from 0 to 30mg/mL were prepared, and the calibration curve was obtained using a linear fit (Y= 3.435X, R2 = 0.992). The samples were analyzed in duplicate. All results presented are means (±SD) and were analyzed in three replications.
Evaluation of antioxidant capacity by spectrophotometrical techniques
Using the free radical scavenging determination
The DPPH free radical scavenging activity of all extracts was measured according to the well-known DPPH test. The radical scavenging activity using free-radical DPPH assay determinate with the method described by Hatano et al [16] and Falleh et al [17]. Briefly, 100 μL sample of various concentration of ethanolic extract of Origanummajorana (0.312, 0.104, 0.078 and 0.062 mg/mL, R2 =0.938, Y=5.028x+32.69) and 100 μL sample of various concentration of ethanolic extract of Origanumvulgare (1.1, 0.55, 0.36, 0.275 and 0.22 mg/mL, R2 =0.999, Y=8.718x+26.91) was added to 1 mL of a DPPH methanolic solution (4.9 mg DPPH in 50 mL methanol 100%). The mixture was vigorously shaken and left to stand in the dark for 30 minutes at room temperature. The antioxidant activity was then measured by the decrease in absorption at 517 nm using UV-Visible spectrophotometer and corresponds to the extract ability to reduce the radical DPPH*to the yellow-coloured diphenilpicryldrazine. The antiradical activity was expressed as IC50 (μg/mL), the antiradical dose required to cause 50% and calculated by the following equation:

Where Ao is the absorbance of control at 30 minutes, A1 is the absorbance of the sample extract at 30 minutes. All results presented are means (±SD) and were analyzed in three replications.
Evaluation of antioxidant capacity by electrochemical techniques
The measurement of the antioxidant capacity of the studied samples of Origanum was performed using an electrochemical method based on cyclic voltammetry techniques. Cyclic voltammetry measurements were performed in an electrochemical cell with a volumetric capacity of 50 mL containing a glassy carbon electrode (GCE) working electrode (radio meter analytical SAS), a Pt wire counter electrode and an Hg/Hg2Cl2 reference electrode (saturated with KCl). The potential was swept in direct scanning mode starting from-200 to +1000 mV with a scanning rate of 100 mV/s. To avoid reducing the sensitivity of the working electrode, the latter was polished after each cycle by rubbing its surface using alumina oxide (particle size 0.3μm) before every electrochemical assay. After polishing it was rinsed thoroughly with bi distilled water for 30 seconds. The antioxidant capacity of the studied samples of Origanum was obtained using the current density of the anodic curve of the voltammogram. The calibration graph is obtained by plotting the current density of the anodic curve of the voltammogram of each sample of the standard versus its concentration. Ascorbic acid was used as a standard in the calculation of antioxidant capacity of the studied sample of Origanum because of its wide spreading in nature and also because its anodic current density displays excellent linearity toward ascorbic acid concentrations [18-19].
RESULTS AND DISCUSSION
Total phenolic contents in the selected plant
The total phenolic contents of Origanum species were measured using F-Creagent method.
These results obtained by Soxhlet extraction using ethanol absolute solvent are presented in table 1.
Table 1: Total polyphenol of ethanolic leaves extracts of genus Origanum.
| Plant species | Polyphenols (mg GAE/g) |
| Organum majorana | 266.86 ± 1.37 |
| Origanum vulgare | 194.78 ± 1.49 |
Data are expressed as means ± standard deviation of triplicate samples, Values with different row are significantly (P < 0.05).
As can be seen from the table 1, significant phenolic contents were observed for different ethanolic extracts of Origanummajorana (266.86 mg GAE/g,) and Origanumvulgare194.78 mg GAE/g). These concentrations significantly higher if are compared to other medicinal plants like G. multifolial 12.36 mg GAE/g and G. villosa 20.81 mg GAE/g [20], 70.07 mg GAE/g DW for M. edule [17]. According to Zheng & Wang [21], two Oregano species tested (Origanumvulgare and Origanummajorana) both had extremely high levels of phenolic as well as antioxidant activity.
Free radical DPPH scavenging assay
The DPPH radical scavenging activity of ethanolic extract leaves of the two species of Origanumare presented in table2. For ethanolic extract of O. majorana obtained the higher value (IC50=1.37 ± 0.08 mg/L), the value found in Origanumvulgare (IC50=1.53 ±0.07 mg/L). The antioxidant capacity of the two species of Origanumis higher than the positive control BHA (IC50=28.27 ± 3.85mg/L), this antioxidant capacity free radical scavenger DPPH related with the quantity of total polyphenol composition [22]. The relationship is related to their ability to antioxidant activity, free radical scavenger [23]. Similar results were observed in relation to lard [24-25]. The IC50 values are inversely proportional to the anti-radical activity. The values of all ARP (Anti radical activity, ARP=1/IC50) [26] extracts are significant, moreover, these values do not tent and away from zero. The more ARP increases; we can say that our extracts have antioxidant activity. All IC50are very low ranging between 1.37μg/mL and 28.7μg/mL, under this setting sequestration, capacity radical are listed in order:
Origanummajorana>Origanumvulgare>αtocopherol> BHA
Table 2: DPPH radical scavenging activity (IC50 in μg/mL) of the two extracts and ARP authentic standards
| Extracts and standards | DPPH test (IC50 in μg/mL) | ARP* |
| Origanummajorana | 1.37 ± 0.08 | 0.072 |
| Origanumvulgare | 1.53 ± 0.07 | 0.065 |
| BHA[27] | 28.27 ± 3.85 | 0.035 |
| Αtocopherol[27] | 15.99 ± 0.25 | 0.062 |
Data are expressed as means ± standard deviation of triplicate samples, Values with different row are significantly (P < 0.05).* anti-radical activity
Cyclic voltammetry assay
In order to express the antioxidant capacity of different species of the Origanum extracts in equivalent terms of ascorbic acid equivalent antioxidant capacity, different concentrations of the standards ascorbic acid (0.049 to 0.868 g/L) were plotted verses the anodic current density obtained from different cyclic voltammograms at pH 7 in 0.2 M phosphate buffer solution as a supporting electrolyte using a 3 mm-diameter glassy carbon electrode present typical irreversible oxidation processes with the existence of an irreversible one oxidation peak at 260mV (figure 1). As can be seen there is an increase in peak current with the increase in ascorbic acid concentrations which leads to a linear relation between these two parameters [28].
Fig. 1: Cyclic voltammogram referring to different ascorbic acid concentrations
The equation obtained from the linear calibration graph in the studied concentration range for ascorbic acid is, y = 127.39x + 0.12 (where y represents the value of the anodic current density and x, the value of standards concentration, expressed as g/L), with a correlation coefficient ofR2 = 0.998. The total antioxidant capacity was calculated based on the following equation:

Where TAC is total antioxidant capacity, C1 is the Origanum sample extract concentration (g/mL), C2 is the sample concentration in the electrochemical cell (g/mL) calculated by replacing the current density obtained from different voltammograms of sample extracts in the equation y = 127.39x + 0.12. Antioxidant capacity of two Origanum varieties from [5, 7] showed higher antioxidant capacity.
Evaluation of antioxidant capacity of Origanummajorana
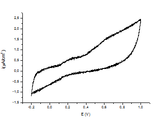
As it can be seen from voltammogram of figure 2, the ethanolic extract of Origanummajorana do not response in the same manner as the standard ascorbic acid. The voltammogram of extract represent two peaks for oxidation at 239.9 mV for first oxidation and another for second oxidation at 674.01 mV. This irreversible electrochemical behavior of ethanolic extract may indicate that the O. majorana extract contain a different polyphenolic contents of that of the standard ascorbic acid. Electrochemical data calculated from voltammetric measurements of voltammogram of figure 2 are presented in table 3.
Fig. 2: Cyclic voltammogram of Origanummajorana ethanolic extract in pH 7, 0.2M phosphate buffer solution at scan rate 100 mV/s.
Table 3: Electrochemical data of ethanolic extract extracts of O. majorana
| Ethanolic extract | Epa (mV)* | ipa* (μA/cm2) | Epa** (mV) | ipa** (μA/ cm2) |
| O. majorana | 239.9 | 0.5504 | 674.01 | 1.4406 |
*First oxidation **second oxidation
Evaluation of antioxidant capacity of Origanumvulgare
Figure 3 indicate that ethanolic extract of Origanumvulgare present the same irreversible electrochemical behavior of that of the standard ascorbic acid, although with oxidation potential value is less positive than ascorbic acid, around 13,4 to 212 mV. This may indicate that, under this electrochemical conditions, the extract of O. vulgre contain the same polyphenolic contents of the standards ascorbic acid. Electrochemical data obtained from voltammogram of ethanolic extract of O. vulgare sample is summarized in table 4.
Fig. 3: Cyclic voltammogram of Origanumvulgare ethanolic extract in pH 7, 0.2M phosphate buffer solution at scan rate 100 mV/s.
Table 4: Electrochemical data of ethanolic extract of O. vulgare
| Ethanolic extract | Epa (mV) | ipa* (μA/cm2) |
| O. vulgare | 212 | 0.8613 |
The ascorbic acid equivalent antioxidant capacity of different species of the two studied samples extracts calculated from the calibration graphs is summarized in table 5.
Table 5: Antioxidant capacities of two different varieties of Origanum
| variety | Ascorbic acid antioxidant capacities |
| Ethanolic extracts (mg/g) | |
| O. majorana | 262.97 |
| O. vulgare | 163.64 |
The ascorbic acid equivalent antioxidant capacity values for different variety of ethanolic extract of studied Origanum indicate that Origanummajorana variety was the most effective with the highest ascorbic acid equivalent antioxidant capacity value (262.97 mg/g), followed by Origanumvulgare variety, ascorbic acid equivalent antioxidant capacity value (163.64mg/g).
CONCLUSION
Both the spectrophotometrical (DPPH) and electrochemical (ascorbic acid equivalent antioxidant capacity) assays suggest that ethanolic extract of two species of Origanum shows IN VITRO antioxidant activities by inhibiting DPPH which may be due to presence phenolic compounds found in preliminary phytochemical screening. The results also show that the antioxidant capacity of Origanummajorana expressed in terms of ascorbic equivalent antioxidant capacity (AEAC) is higher than that obtained for Origanumvulgare. Also the results show that the antioxidant capacity expressed in terms of ascorbic acid equivalent antioxidant capacity obtained from electrochemical experiments (cyclic voltammetry) is higher than that obtained from spectrophotometrical experiments using DPPH. This outcome can be attributed to the overestimation of the total polyphenolic contents due to the interferences of other non-phenolic species.
CONFLICT OF INTERESTS
Declared None
REFERENCES