
1School of Science, 2The Research Unit of Natural Product Utilization, 3School of Allied Health Sciences and Public Health, Walailak University, Nakhon Si Thammarat, 80161, Thailand, 4Department of Chemistry, Faculty of Science, Chiang Mai University, Chiang Mai, 50200, Thailand
Email: worrapong@gmail.com
Received: 02 Jun 2016 Revised and Accepted: 22 Jul 2016
ABSTRACT
Objective: The present study aimed to isolate and identify the phytochemical constituents of Garcinia schomburgkiana branches and evaluate the antioxidant activity of the compounds.
Methods: The chromatographic and spectroscopic (UV, IR, NMR and MS) techniques were used for the isolation and elucidation of the compounds, respectively. The antioxidant activity of the isolated compounds was examined through DPPH, ABTS, nitric oxide and hydroxyl radical scavenging assay.
Results: The (-)-5,7,3′,5′-tetrahydroxyflavanone (1), which was firstly found in the Garcinia species, together with kaempferol (2), (-)-dihydrokaempferol (3), euxanthone (4), gentisein (5) and norathyriol (6) were isolated from G. schomburgkiana. Among the isolated compounds, compound 1 and 6 exhibited the highest potential for anti-radical activities.
Conclusion: Compound 1 could be used as the chemotaxonomic marker of G. schomburgkiana. The branches of G. schomburgkiana could be the alternative source of the antioxidants. The possible inhibitory mechanisms were proposed through the action of electron transfer, chelation, and nitrosylation.
Keywords: Xanthones, Flavonoids, Anti-radical activities, Garcinia schomburgkiana
© 2016 The Authors. Published by Innovare Academic Sciences Pvt Ltd. This is an open access article under the CC BY license (http://creativecommons. org/licenses/by/4. 0/)
DOI: http://dx.doi.org/10.22159/ijpps.2016v8i9.13213
INTRODUCTION
In Thailand, there are 29 species of the genus Garcinia, belonging to the family Clusiaceae. A variety of phytochemicals, xanthone, flavonoid, phloroglucinol and triterpene, as well as pharmacological activities, anti-oxidant, anti-inflammatory, antimicrobial and anti-cancer, have been being studied [1]. Garcinia schomburgkiana, locally named Ma-dan, is commonly found in South-East Asia. Its fruits, leaves and roots have been traditionally used as a cough and diabetes treatment [2]. The wood, stem and bark of G. schomburgkiana were studied on the chemical constituents and their cytotoxicity. They revealed the presence of xanthones, benzophenones, biphenyls and bioflavonoids [3-5]. Some flavonoids from the genus Garcinia such as morelloflavone and fukugeside have been used as the chemotaxonomic markers [6]. Prior to this investigation, the branch of G. schomburgkiana, however, has never been reported on the anti-radical activity. Hence, the present study was undertaken to examine the anti-radical activity and phytochemical constituents of the branch of G. schomburgkiana.
MATERIALS AND METHODS
Plant material
In this study, branches of G. schomburgkiana Pierre. were collected from Yan Ta Khao district, Trang Province, Thailand, in October 2013. A voucher specimen (GS-001WU) is deposited at the Research Unit of Natural Product Utilization, Walailak University, Nakhon Si Thammarat, Thailand.
General experimental procedures and chemicals
Ultraviolet (UV) spectra were obtained on a JASCO V-630 spectrophotometer. Infrared (IR) spectra were recorded with Bruker Tensor 27 spectrophotometer. HR-ESI-MS spectra were recorded on a Bruker micrOTOF-Q spectrometer. The 1H and 13C nuclear magnetic resonance (NMR) spectra were recorded on Bruker AV 300 MHz and Varian Unity Inova 500 MHz spectrometers. Column chromatography (CC) was performed on silica gel (SiO2, Merck, 40-63 µm) and Sephadex LH-20 (GE Healthcare). The silica gel thin-layer chromatography (TLC) (SiO2, Merck, 60 F254) was used for analysis and the spots were visualized under the UV light at 254 or 366 nm and stained with p-anisaldehyde solution in 2 % H2SO4/EtOH. All solvents were distilled at their boiling point ranges prior to use. Sodium nitroprusside dehydrates (Loba Chemie), N-1-naphthyl ethylene diamine dihydrochloride (Loba Chemie), sulphanilamide (Carlo Erba Reagents), potassium persulphate (Ajax Finechem), salicylic acid (Ajax Finechem), 1,1-diphenyl-2-picrylhydrazyl (DPPH) (Sigma-Aldrich), ascorbic acid (Carlo Erba Reagents). 2,2′-azinobis(3-ethylbenzothiazoline-6-sulfonic acid) diammonium salt (ABTS) (Sigma-Aldrich), 6-hydroxy-2,5,7,8-tetramethylchroman-2-carboxylic acid (Trolox) (Sigma-Aldrich), quercetin (Sigma-Aldrich), and dimethyl sulfoxide (DMSO) (Sigma-Aldrich), gallic acid (Merck) and AR grade methanol (Fisher Chemicals) were used for the anti-radical activity evaluation.
Extraction and isolation
Powdered, dried branches of G. schomburgkiana (17.5 kg) were macerated twice with acetone (32 l) for 5 d at room temperature. The filtrate was combined and the solvent evaporation was carried out under a vacuum to give the crude extract (400 g). The crude extract (100 g) was then subjected to a silica gel column chromatography eluted with gradient CH2Cl2: MeOH to yield 12 fractions (A-L).
Fraction G (2.80 g) was separated by column chromatography (silica gel, hexane: EtOAc, 70:30 to 0:100 (to obtain 7 sub-fractions (G1-G7). Sub-fraction G2 (693.8 mg) was divided into 7 sub-fractions (G2A-G2G) with the use of sephadex LH-20 column chromatography eluted with MeOH. Sub-fraction G2D (12.5 mg) and G2G (5.2 mg) were further separately purified through column chromatography (silica gel, CH2Cl2: EtOAc 70:30) to give compound 4 (7.5 mg) and compound 5 (2.4 mg), respectively.
Fraction H (6.44 g) was isolated by column chromatography (silica gel, CH2Cl2: MeOH, 100:0 to 80:20) to afford 8 sub-fractions (H1-H8). Sub-fraction H4 (427.7 mg) was separated by sephadex LH-20 column chromatography eluted with 50 % MeOH in CH2Cl2 to give 7 sub-fractions (H4A-H4G). Compound 2 (2.8 mg) was then isolated from sub-fractions H4G (7.5 mg) by column chromatography (silica gel, CH2Cl2: MeOH, 95:5). Sub-fraction H5 (1.49 g) was separated into 12 sub-fractions (H5A-H5L) by sephadex LH-20 column chromatography eluted with 50 % MeOH in CH2Cl2. Subfractions H5H (39.4 mg) and H5I (70.4 mg) were separately subjected to column chromatography (silica gel, CH2Cl2: MeOH, 95:5) to provide compound 3 (12.6 mg) and compound 1 (3.5 mg), respectively.
Fraction I (8.67 g) was purified by silica gel column chromatography with the gradient solvent system (CH2Cl2:MeOH, 95:5 to 70:30) to afford 8 sub-fractions (I1-I8). Sub-fraction I4 (625.0 mg) was subjected to sephadex LH-20 column chromatography eluted with MeOH to obtain 12 sub-fractions (I4A-I4L). Compound 6 (5.1 mg) was from the purification of sub-fraction I4I (116.7 mg) through sephadex LH-20 column chromatography (100 % MeOH) and silica gel column chromatography (CH2Cl2:MeOH 90:10) successively.
Antiradical activity assay
The diphenyl-2-picrylhydrazyl (DPPH) radical scavenging assay
The DPPH radical scavenging was determined using the method described by Zongo et al. and Gogoi et al. [7, 8]. Ascorbic acid was used as the standard. Briefly, the 100 µl of the extracts or standard solution in DMSO (various concentrations: µg/ml) and 100 µl of the DPPH-radical (100 µg/ml in methanol) were mixed. After 15 min at room temperature in the dark, the absorbance of the mixture was measured at 517 nm. The data were expressed as the half maximal radical scavenging concentration (SC50). The equation 1 below was used to calculate the percentage of DPPH-radical scavenging.
% Radical scavenging activity = [1-(Asample/Acontrol)] x100 ……….. (1)
Where,Asample: The absorbance of the extracts or standards mixed with DPPH Acontrol: The absorbance of the DMSO mixed with DPPH
The 2,2′-azinobis(3-ethylbenzothiazoline-6-sulfonic acid) diammonium salt (ABTS) cation radical scavenging assay
The ABTS cation radical scavenging was performed according to Re et al. [9] with slight modification. Trolox was used as the standard. Briefly, the ABTS radical cation was produced by the reaction of 7 mmol ABTS solution in DI water with 2.45 mmol K2S2O8 in DI water. After the mixture was stored in the dark at 4 °C for 12–16 h, the absorbance of the mixture (ABTS cation radical) was adjusted to 0.70±0.02 at 734 nm by diluting with DI water. The 20 μl of the extracts or standard solution in DMSO (various concentrations: µg/ml) was mixed with 180 µl of ABTS cation radical. After 3 min at room temperature, the absorbance was measured at 734 nm. The data were expressed as the half maximal radical scavenging concentration (SC50). To calculate the percentage of ABTS cation radical scavenging, equation 2 below was used.
% Radical scavenging activity = [1-(Asample/Acontrol)] x100 ………. (2)
Where,Asample: The absorbance of the extracts or standards mixed with ABTS+· Acontrol: The absorbance of the DMSO mixed with ABTS+.
The nitric oxide scavenging assay
This nitric oxide scavenging activity was estimated according to the method of Harput et al., Ho et al. and Krishnaveni [10-12]. Vitamin C and quercetin were used as the standards. Briefly, 50 µl of the extracts with varying concentrations (µg/ml) in DMSO and 50 µl of 10 mmol sodium nitroprusside in phosphate buffer saline (PBS), pH 7.4, were mixed. After incubation at room temperature for 150 min under the light condition, 100 µl of Griess reagent (1 % sulfanilamide and 0.1 % N-(1-Naphthyl) ethylenediamine dihydrochloride in 2.5 % H3PO4) was added. After 10 min at room temperature, the absorbance was recorded at 577 nm. The percentage of nitric oxide scavenging was calculated through equation 3 below. The data were represented as the half maximal radical scavenging concentration (SC50).
% NO-scavenging activity = [1-(Asample-Asample blank/Acontrol-Acontrol blank)] x100 ……. (3)
Where, (Asample-Asample blank): The difference in the absorbance of the extracts or standards, with or without sodium nitroprusside (Acontrol-Acontrol blank): The difference in the absorbance of DMSO, with or without sodium nitroprusside
The hydroxyl radical scavenging assay
The hydroxyl radical scavenging activity was carried out according to Omwamba et al. [13] With slight modification. Trolox and gallic acid were used as the standards. Briefly, 50 µl of the extracts with various concentrations in DMSO (µg/ml), 25 μl of FeSO4.7H2O (8 mmol), 35 μl of salicylic acid (5.7 mmol) and 40 μl of H2O2 (6 mmol) were mixed. After incubation at 37 °C for 30 min, the absorbance was measured at 562 nm. Equation 4 below was used to calculate the percentage of nitric oxide scavenging and the results were expressed as the half maximal radical scavenging concentration (SC50).
% OH-scavenging activity = [1-(Asample-Asample blank/Acontrol-Acontrol blank)] x100 ……… (4)
Where,(Asample-Asample blank): The difference in the absorbance of the extracts or standards, with or without salicylic acid. (Acontrol-Acontrol blank): The difference in the absorbance of DMSO, with or without salicylic acid
Statistical analysis
All analyses were tested in triplicate and represented as the means±standard deviation (SD).
RESULTS
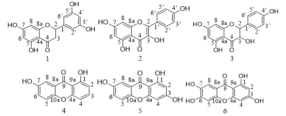
Having been dried and powdered, branches of G. schomburgkiana were macerated with acetone. The crude acetone extract, then, was subjected to a multi-step chromatographic purification to obtain (-)-5,7,3′,5′-tetrahydroxyflavanone (1) [6, 14], kaempferol (2) [15], (-)-dihydrokaempferol (3) [16], euxanthone (4) [17], gentisein (5) [18] and norathyriol (6) [19] (fig. 1). Characteristics of these chemical structures were interpreted through the analysis of the spectroscopic data (UV, IR, NMR and MS) and the comparison with the literature.
Fig. 1: Structures of the compounds isolated from G. schomburgkiana
Compound 1 was obtained as light yellow powder; UV λmax (MeOH):326, 287 and 205 nm. IR νmax (neat):3379, 3256, 1637, 1453, 1272, 1163, 1089 and 819 cm-1; 1H-NMR δ (300 MHz, methanol-d4):6.93 (1H, s, H-4′), 6.80 (2H, s, H-2′ and H-6′), 5.91 (1H, d, J =2.1 Hz, H-8), 5.88 (1H, d, J =2.1 Hz, H-6), 5.29 (1H, dd, J =12.6 Hz, 3.0 Hz, H-2), 3.08 (1H, dd, J =17.1 Hz, 12.9 Hz, H-3a) and 2.70 (1H, dd, J =17.1 Hz, 3.0 Hz, H-3b); 13C-NMR δ (75 MHz, methanol-d4):196.2 (C-4), 167.1 (C-7), 164.0 (C-8a), 163.4 (C-5), 145.4 (C-3′ or C-5′), 145.1 (C-5′ or C-3′), 130.4 (C-1′), 117.8 (C-4′), 114.8 (C-6′), 113.3 (C-2′), 101.9 (C-4a), 95.6 (C-6), 94.8 (C-8), 79.8 (C-2) and 42.7 (C-3); C15H12O6, HR-ESI-MS m/z 311.0526 [M+Na]+(calcd. for C15H12O6Na 311.0531).
Compound 2 was obtained as yellow powder; UV λmax (MeOH):371, 266 and 205 nm; IR νmax (neat):3356, 1612, 1509, 1381, 1312, 1176 and 818 cm-1; 1H-NMR δ (300 MHz, methanol-d4):8.10 (2H, d, J =8.7 Hz, H-2′ and H-6′), 6.92 (2H, d, J =8.7 Hz, H-3′ and H-5′), 6.40 (1H, s, H-8) and 6.19 (1H, s, H-6); 13C-NMR δ (75 MHz, methanol-d4):175.9 (C-4), 164.3 (C-7), 159.1 (C-4′), 156.8 (C-8a), 161.1 (C-5), 146.6 (C-2), 135.7 (C-3), 129.2 (C-2′ and C-6′), 122.3 (C-1′), 114.9 (C-3′ and C-5′),103.1 (C-4a), 97.9 (C-6) and 93.1 (C-8); C15H10O6, HR-ESI-MS m/z 287.0550 [M+H]+(calcd. for C15H11O6 287.0556).
Compound 3 was obtained as light yellow powder; UV λmax (MeOH):329, 291 and 215 nm; IR νmax (neat):3245, 1638, 1458, 1362, 1233, 1164, 1088 and 833 cm-1; 1H-NMR δ (300 MHz, methanol-d4):7.36 (2H, d, J =8.7 Hz, H-2′ and H-6′), 6.84 (2H, d, J =8.7 Hz, H-3′ and H-5′), 5.93 (1H, d, J =2.1 Hz, H-8), 5.84 (1H, d, J =2.1 Hz, H-6), 4.98 (1H, d, J =11.4 Hz, H-2) and 4.55 (1H, d, J =11.4 Hz, H-3); 13C-NMR δ (75 MHz, methanol-d4):197.0 (C-4), 167.4 (C-7), 163.9 (C-8a), 163.1 (C-5), 157.8 (C-4′), 128.9 (C-2′ and C-6′), 122.3 (C-1′), 114.7 (C-3′ and C-5′), 100.4 (C-4a), 95.9 (C-6), 94.9 (C-8), 85.5 (C-2) and 72.2 (C-3); C15H12O6, HR-ESI-MS m/z 311.0526 [M+Na]+(calcd. for C15H12O6Na 311.0531).
Compound 4 was obtained as yellow needles; UV λmax (MeOH):383, 314, 260, 235 and 204 nm; IR νmax (neat):3385, 1643, 1607, 1579, 1479, 1221, 1161 and 818 cm-1; 1H-NMR δ (500 MHz, methanol-d4):7.60 (1H, t, J =8.5 Hz, H-3), 7.50 (1H, d, J =3.0 Hz, H-8), 7.41 (1H, d, J =9.0 Hz, H-5), 7.24 (1H, dd, J =9.0, 3.0 Hz, H-6), 6.92 (1H, dd, J =8.5, 0.5 Hz, H-4), and 6.71 (1H, dd, J =8.5, 0.5 Hz, H-2); 13C-NMR δ (125 MHz, methanol-d4):183.5 (C-9), 162.8 (C-1), 157.8 (C-7), 155.5 (C-4a), 151.4 (C-10a), 137.8 (C-3), 126.3 (C-6), 122.1 (C-8a), 120.3 (C-5), 110.6 (C-2), 109.4 (C-4), 109.2 (C-8) and 108.0 (C-9a); C13H8O4, HR-ESI-MS m/z 251.0315 [M+Na]+(calcd. for C13H8O4Na 251.0320).
Compound 5 was obtained as yellow needles; UV λmax (MeOH):373, 308, 258, 235 and 204 nm; IR νmax (neat):3286, 1660, 1622, 1586, 1482, 1240, 1149 and 821 cm-1; 1H-NMR δ (500 MHz, methanol-d4):7.47 (1H, d, J =3.0 Hz, H-8), 7.34 (1H, d, J =9.0 Hz, H-5), 7.23 (1H, dd, J =9.0, 3.0 Hz, H-6), 6.29 (1H, d, J =1.8 Hz, H-4), and 6.15 (1H, d, J =2.0 Hz, H-2); 13C-NMR δ (125 MHz, methanol-d4):181.7 (C-9), 167.7 (C-3), 164.6 (C-1), 159.6 (C-4a), 155.2 (C-7), 151.2 (C-10a), 125.2 (C-6), 122.2 (C-8a), 119.7 (C-5), 109.4 (C-8), 103.5 (C-9a), 99.0 (C-2) and 94.9 (C-4); C13H8O5, HR-ESI-MS m/z 245.0444 [M+H]+(calcd. for C13H9O5 245.0450).
Compound 6 was obtained as yellow-brown needles; UV λmax (MeOH):370, 312, 254, 237 and 206 nm; IR νmax (neat):3222, 1656, 1614, 1514, 1491, 1443, 1297, 1183, and 824 cm-1; 1H-NMR δ (300 MHz, methanol-d4): 7.44 (1H, s, H-8), 6.82 (1H, s, H-5), 6.29 (1H, d, J =1.8 Hz, H-4), and 6.15 (1H, d, J =2.0 Hz, H-2); 13C-NMR δ (75 MHz, methanol-d4):179.7 (C-9), 164.8 (C-3), 163.0 (C-1), 158.0 (C-4a), 153.8 (C-7), 151.8 (C-10a), 143.4 (C-6), 112.5 (C-8a), 107.8 (C-5), 102.1 (C-8), 101.9 (C-9a), 97.3 (C-2) and 93.2 (C-4); C13H8O6, HR-ESI-MS m/z 261.0394 [M+H]+(calcd. for C13H9O6 261.0399).
In order to evaluate the anti-radical activities, DPPH, ABTS cation and hydroxyl radical scavenging assay and nitric oxide scavenging assay were applied and the results were reported in table 1. The compound 6, exhibited the highest capacities against DPPH, ABTS cation, and hydroxyl radical with SC50 43.29, 69.12 and 477.16 µg/ml, respectively. Among isolated compounds, (-)-5,7,3′,5′-tetrahydroxyflavanone (1) exhibited the best nitric oxide scavenging activity with SC50 905.29 µg/ml.
Table 1: Antiradical activities of compounds 1-6
| Compound | DPPH | ABTS | Nitric oxide | Hydroxyl radical |
| SC50 (µg/ml±SD) | SC50 (µg/ml±SD) | SC50 (µg/ml±SD) | SC50 (µg/ml±SD) | |
| 1 | 96.66±2.28 | 224.76±0.88 | 905.29±7.06 | >1,000 |
| 2 | 95.56±1.48 | >250 | >1,000 | >1,000 |
| 3 | >250 | >250 | >1,000 | >1,000 |
| 4 | >250 | >250 | >1,000 | >1,000 |
| 5 | >250 | >250 | >1,000 | >1,000 |
| 6 | 43.29±2.47 | 69.12±0.24 | >1,000 | 477.16±6.86 |
| Ascorbic acid | 14.29±0.11 | - | 735.35±25.23 | - |
| Trolox | - | 68.67±0.40 | - | >1,000 |
| Quercertin | - | - | 202.41±5.38 | - |
| Gallic acid | - | - | - | 488.52±7.05 |
SC50 represents the half maximal radical scavenging concentration as mean values of three replicated results±SD
DISCUSSION
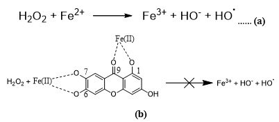
In this phytochemical investigation of branches of G. schomburgkiana, the compounds 1-6 were firstly isolated from this plant. In addition, compound 1 itself was a new natural constituent from the Garcinia genus. It might be useful as the chemotaxonomic marker of G. schomburgkiana. For the anti-radical activity, compound 6 showed the highest activity for DPPH, ABTS cation and hydroxyl radical scavenging, possibly as a result of the readiness of the ortho-dihydroxyl group (Ring B) of compound 6 to be promptly oxidized into the corresponding more stable ortho-quinone [20] (fig. 2). According to the Fenton’s reaction process, compound 6 was proposed to involve either in the reduction process of generated hydroxyl radical to become ortho-quinone [21] or directly in Fenton’s reaction in which 6-OH with 7-OH groups and 1-OH with 9-oxo groups chelated with iron (II) [22, 23] (fig. 3). While, compound 1 displayed the best activity for nitric oxide scavenging. The possible mechanism of compound 1 with nitric oxide was proposed through the nitration process at an electron rich position of an aromatic ring similar to that of tyrosine which was previously reported [24]. Consequently, compound 1, bearing 2 hydroxyl groups, would encourage the nitration at the C-4' position as shown in fig. 4.
R· = The DPPH or ABTS cation radical, R = The stable DPPH or ABTS
Fig. 2: The proposed mechanism of compound 6 for DPPH and ABTS cation anti-radical assays
Fig. 3: (a) Fenton’s reaction process and (b) The proposed mechanism of compound 6 for Fenton’s reaction
Fig. 4: The proposed mechanism of compound 1 for the nitric oxide scavenging assay
CONCLUSION
Investigation of the chemical constituents afforded six compounds, (-)-5,7,3′,5′-tetrahydroxyflavanone (1), kaempferol (2), (-)-dihydrokaempferol (3), euxanthone (4), gentisein (5) and norathyriol (6). Additionally, compound 1, which was never isolated from other Garcinia species, could be useful as the chemotaxonomic marker for the G. schomburgkiana. Compound 1 and 6 exhibited the potential for antioxidant activity. All these results indicated that the branches of G. schomburgkiana could be the promising alternative source of the antioxidants.
ACKNOWLEDGMENT
This work was supported by grant funds from the program Strategic Scholarships Fellowships Frontier Research Networks (Specific for Southern Region) for the Ph. D. Program Thai Doctoral degree from the Office of the Higher Education Commission, Thailand and by Walailak University Fund. The Research Unit of Natural Product Utilization, Walailak University, is also acknowledged for the facilities and technical support.
CONFLICT OF INTERESTS
The authors declare no conflict of interest
REFERENCES
How to cite this article