
1Post Graduate Program in Biochemistry and Bioprospecting, Center of Chemistry, Pharmaceutical and Food Science, Federal University of Pelotas (UFPel), Pelotas, 96010-900, Rio Grande do Sul, Brazil, 2Laboratory of Microbiological Research, Health Sciences, Franciscan University Center (UNIFRA), Santa Maria, 97010-032, Rio Grande do Sul, Brazil, 3Laboratory of Nanotechnology, Post Graduate Program in Nanosciences, Franciscan University Center, Santa Maria, 97010-032, Rio Grande do Sul, Brazil, 4Laboratory of Pharmaceutical Technology, University of High Uruguay Regional Integrated (URI), Santiago, 97700-000, Rio Grande do Sul, Brazil, 5Microbiology and Parasitology Department, Health Sciences Center, Federal University of Santa Maria (UFSM), Santa Maria, 97105-900, Rio Grande do Sul, Brazil, 6Soils Laboratory, State University of Santa Catarina (UDESC), Chapecó, 88330-668, Santa Catarina, Brazil, 7Laboratory of Biochemistry and Applied Microbiology, Institute of Science and Technology of Food, Federal University of Rio Grande do Sul (UFRGS), Porto Alegre, 91501-970, Rio Grande do Sul, Brazil
Email: rodvaucher@hotmail.com
Received: 03 Jun 2016 Revised and Accepted: 21 Sep 2016
ABSTRACT
Objective: To evaluate whether antimicrobial substances produced by autochthonous lactic acid bacteria (LAB) from Minas Frescal cheese are able to enhance the activity of bacteriocin P34 against Listeria monocytogenes and investigate the influence of P34 in specific gene expression of this bacterium after the inoculation in Minas Frescal cheese.
Methods:Bacillus sp. P34 and L. monocytogenes ATCC 7644 were used in this study. The antimicrobial peptide P34 was purified and applied (0, 800 or 6400 AU/ml) to cheese surface before inoculation with L. monocytogenes. Antimicrobial activity and synergism were detected using the agar diffusion technique. Expression levels of D-Alanine-D-alanyl carrier protein ligase (dltA), Putative phospholipid lysinylation (Imo 1695) and EIIABMan of mannose-specific PTS (mptA) mRNAs in bacteriocin-treated L. monocytogenes growing in Minas Frescal cheese were determined using real-time PCR.
Results: The peptide P34 showed increased antilisterial activity when combined with culture supernatants of some selected LAB isolated from Minas Frescal cheese. The addition of peptide P34 to cheese caused a decrease of up to 3 log cycles in viable counts of artificially inoculated L. monocytogenes. The influence of peptide P34 on the expression of genes associated with components of the cell surface of L. monocytogenes was investigated by real-time PCR. A significant increase in the expression of the genes dltA, Imo 1695 and mptA was observed after 96 h in the presence of peptide P34.
Conclusion: These results suggest that the peptide P34 influences the expression of genes involved in D-alanylation of teichoic acids and lipoteichoic acids and lysination of the cell membrane of phospholipids.
Keywords: bacteriocin, Lactic acid bacteria, Listeria monocytogenes, Minas Frescal cheese, Gene expression
© 2016 The Authors. Published by Innovare Academic Sciences Pvt Ltd. This is an open access article under the CC BY license (http://creativecommons.org/licenses/by/4. 0/)
DOI: http://dx.doi.org/10.22159/ijpps.2016v8i11.13234
INTRODUCTION
Lactic acid bacteria (LAB) have been extensively used in food fermentation. They contribute to the organoleptic properties of the final product, as well as to its preservation. Their antimicrobial activity is mainly because of the production of a range of metabolites such as ethanol, diacetyl, lactic acid, hydrogen peroxide and bacteriocins [1, 2].
Bacteriocins are ribosomally synthesized antimicrobial peptides or proteins with major activity against low-GC Gram-positive species. These peptides are grouped into three major classes, as suggested by Cotter et al. (2005) [3]: Lanthionine-containing bacteriocins/lantibiotics (Class I), non-lanthionine-containing bacteriocins (Class II) and non-bacteriocin lytic proteins (bacteriolysis) or in pairs (Class IIb); and large, heat-labile proteins (Class III) [3]. The identification of LAB bacteriocins with broad inhibitory spectra against spoilage and pathogenic microorganism has gained increasing interest toward their application as food bio-preservative [4]. Despite the intensive investigation on LAB, interesting antimicrobial peptides are produced by other bacterial classes [5, 6].
Studies on structure activity and gene expression of Listeria species indicated that the use of bacteriocins as antilisterial agents had been associated with the development of resistance in target bacterial strains [7, 8]. Most research in this area is focused on specific bacteriocins, such as nisin and some peptides of the class IIa. For example, the low-level resistance to class IIa bacteriocins may be caused by alterations in membrane lipid composition [7, 9]. Some studies have suggested that the interaction of class IIa bacteriocins is highly dependent on the mannose structural family (EIItMan) and the mechanism of resistance to class II bacteriocins in Listeria monocytogenes seems to be linked to reduced expression of a mannose-specific phosphotransferase system (EIIABMan PTS, encoded by mptA) [3].
Other important mechanisms for modulating the charge of the cell envelope are D-alanylation of teichoic acid (TA) and lipoteichoic acid (LTA) in the cell wall, and lysinylation of cell membrane phospholipids [9]. The lysinylated phospholipids L-lysyl-PG and L-lysyl-cardiolipin are among the four major phospholipids of Listeria spp. [10], and it is conceivable that these phospholipids could display differences in lysinylation in the different strains.
Changes of the cell-surface charge by D-alanyl-esterification of TA and lysinylation of membrane phospholipids have been investigated by expression of genes that can be potentially influenced such modifications (dltA and Imo1695). The cross-resistance to class I and class II bacteriocins has been described and the combined use of different bacteriocins can be successful in this case [7, 11, 12].
Bacillus sp. P34 produces a novel antimicrobial peptide that inhibits important food pathogens like L. monocytogenes and Bacillus cereus [13]. The mode of action of this peptide appears to cause perturbation in the cell envelope of the target bacteria [14] and it may, therefore, influence the expression of the above-mentioned genes of L. monocytogenes.
The aim of the present work was to evaluate whether antimicrobial substances produced by autochthonous LAB from Minas Frescal cheese are able to enhance the activity of peptide P34 against L. monocytogenes, as well as to investigate the influence of P34 on specific gene expression of this bacterium after the inoculation in Minas Frescal cheese.
MATERIALS AND METHODS
Bacterial strains
The producer strain was Bacillus sp. P34, characterized as described elsewhere [13]. Bacillus sp. P34 and Listeria monocytogenes ATCC 7644 were stored in Brain Heart Infusion Broth (BHI; Oxoid, Basingstoke, UK) containing 20% glycerol (v/v) at-21 °C, and propagated twice in BHI broth before use.
Production of bacteriocin P34
Bacillus sp. P34 was grown in 100 ml of BHI broth in an orbital shaker (LAC-INA-800, Láctea) at 180 rpm for 24 h at 30 °C. The culture was centrifuged at 10,000 x g for 10 min, and the supernatant was sterilized with a membrane (Millipore, Bedford, MA). The bacteriocin was purified by ammonium sulfate precipitation and gel filtration chromatography as previously described [14].
Addition of P34 to minas frescal cheese
Minas Frescal cheese produced without the addition of starter cultures was obtained from a local dairy. A sample was used to isolate autochthonous LAB by the spread and pour-plate procedures [15]. Isolated LAB strains were maintained in MRS agar (Vetec, Brazil) at 5 °C until used. The remaining cheese was divided into four treatment groups. Application of peptide P34 (0, 800 and 6400 AU/ml) was done on cheese surface, and then L. monocytogenes was inoculated by submerging the product in a suspension of 104 CFU/ml. A control group without antimicrobial peptide and L. monocytogenes were done by replacing the treatments by 10 mmol phosphate pH 7.0. After inoculation, the packages were sealed and kept at 5 °C for up to 7 d. Each treatment was repeated for two independent cheese samples. Samples were removed at time zero, after 96 h and 168 h for evaluation of L. monocytogenes growth. Cheese samples () were homogenized with 90 ml of 0.1% peptone water in a blender for 60 s. Decimal dilutions were prepared and plated on MOX Agar (Modified Oxford Listeria agar base added of Oxford Listeria Selective Supplement, Merck). Colony counting was performed after 48 h incubation at 37 °C.
Detection of antimicrobial activity
Antimicrobial activity was detected using the agar diffusion technique [16]. Briefly, LAB (n=40) were inoculated onto MRS agar and incubated at 30 °C for 24 h. Then, the plates were overlaid with 10 ml of BHI soft agar (broth plus 0.6% w/v agar) inoculated with 200 μl of the overnight culture of L. monocytogenes and incubated at 37 °C for 24 h. Inhibition zones around LAB colonies were measured. The strains that showed antimicrobial activity were selected to synergism test with the peptide P34.
Synergism between peptide P34 and crude supernatants of LAB
LAB was cultivated in MRS broth for 48 h at 30 °C. After growth, cultures were centrifuged at 10,000 x g for 15 min and the pH of the supernatants was measured. Then half volume of the supernatants was neutralized to pH 7.0 with 1.5M NaOH. The synergism was assessed by agar disc diffusion assay [17]. Aliquots of 20 μl of neutralized supernatants, non-neutralized supernatants, peptide P34 (6400 AU/ml) and the combination of supernatants with the peptide P34 were applied onto 6-mm cellulose discs on BHI agar plates previously inoculated with a suspension of L. monocytogenes. The plates were incubated at 37 °C for 24 h when inhibition zones were measured. Inhibitory activity was expressed relative to the inhibitory zone observed for 1000 IU of commercial nisin (Nisaplin™, Danisco).
RNA extraction
Total RNA of L. monocytogenes was directly isolated from bacterial populations obtained in cheese groups treated with 0, 800 and 6400 AU/ml peptide P34, using the TRIZOL®(Invitrogen, Carlsbad, CA) according to the manufacturer’s instructions. Total RNA was treated with RNase-free DNase (Invitrogen, Carlsbad, CA), and its quality was assessed by running samples on a 1% formaldehyde-agarose gel. RNA was quantified spectrophotometrically.
cDNA synthesis and real-time PCR
The primers used for the real-time PCR were synthesized by Invitrogen (São Paulo, Brazil) and are listed in table 1. The real-time PCR amplification reaction was carried using SYBR® Green One-Step qRT-PCR with Rox (Invitrogen, Carlsbad, CA), according to the manufacturer’s instructions. cDNA was synthesized from 0.5 µg of total RNA, using the specific forward and reverse primers (100 µM) for each gene. PCR reactions were run on the ABI Prism 7500 sequence detector (Applied Bio systems) under the following conditions: 48 °C for 30 min, 50 °C for 2 min and 95 °C for 10 min, followed by 40 cycles at 95 °C for 15 s and 60 °C for 1 min. The assay was accomplished for each gene and included cDNA of the samples treated and control without template.
Table 1: Primers used to evaluate the gene expression in Listeria monocytogenes by real-time PCR
| Target/Specificity | Primer | Sequence (5’-) | Reference |
| D-Alanine-D-alanyl carrier protein ligase | dltA F | CACAAGATCAGCTAATGGACGC | This study |
| dltA R | CTGGAACTTCTCCGAAATGTTT | This study | |
| Putative phospholipid lysinylation | Imo1695 F | GGGATTGACTATCCGTCGCTA | [9] |
| Imo1695 R | TTCCGGGCTTTGAGAAGTTAA | [9] | |
| EIIABMan of mannose-specific PTS | mptA F | CAGGACTTAATTTGCCAATGTTG | [9] |
| mptA R | CGCGAACACCTTCTTGAGCT | This study | |
| Σ[70]Subunit of RNA polymerase | rpoD F | ACTGAAAAAGTTCGGGAAATCCT | [9] |
| rpoD R | TCGCCTAGATGTGAATCGTCTTC | [9] |
Analysis of real-time PCR data
The amplification results were visualized using the ABI Prism 7500 sequence detector and the data were analyzed using Sequence detection system (SDS) software version 1.6.3. Results were obtained as CT (threshold cycle) values. The software determines a threshold line on the basis of the baseline fluorescent signal, and the data point that meets the threshold is given as CT, which is inversely proportional to the starting template copy number. The difference in CT values between the control group, bacteriocin-treated group and endogenous control (rpoD gene encoding the σ[70] subunit of the RNA polymerase) for each reaction (ΔCT) was converted into expression units of rpoD equal to 1000 and dividing by 2ΔCT.
The relative expression genes after incubation were determined by dividing expression units of the bacteriocin-treated group by the control group. All measurements were performed in duplicate in two independent experiments.
Statistical analysis
Treatment comparisons were performed using Tukey’s t-test and the values were considered significantly different each other at p<0.05.
Results and discussion
Inhibition of L. monocytogenes by autochthonous cheese bacteria
Forty different LAB strains were isolated from Minas Frescal cheese, according to morphologic characteristics, and named LB1 to LB40. Initial screening was realized by direct antagonism against L. monocytogenes and eighteen strains demonstrated antibacterial activity against the indicator microorganism (table 2). These LAB strains were selected for additional tests against L. monocytogenes. Crude supernatants of selected LAB had pH between 4.2 and 5.0, but neither non-neutralized nor neutralized supernatants inhibited L. monocytogenes excepting the strain LB38. Preliminary tests on the nature of LB38 activity suggested this strain produces a bacteriocin-like compound.
Synergism among culture supernatants and P34
An increased antimicrobial activity was observed for the combination of peptide P34 and non-neutralized supernatants of six LAB strains, but not with neutralized supernatants (table 3). These results may be associated with the production of organic acids by these LAB cultures. It seems that the concentration of antimicrobial substances in the crude supernatants of selected LAB were not enough to inhibit listerial growth, but adequate to intensify peptide P34 activity. Some studies showed that the antibacterial activity of bacteriocins can be increased in combination with organics acids [17, 18].
Table 2: LAB strains isolated from Minas Frescal cheese and direct antagonism against L. monocytogenes
| Direct antagonism | Isolates |
| Absence | LB4, LB6, LB8, LB 12, LB13, LB14, LB15, LB17, LB19, LB21, LB22, LB24, LB26, LB27, LB29, LB32, LB34, LB35, LB36, LB37, LB39, LB40 |
| Presence | LB1, LB2, LB3, LB5, LB7, LB9, LB10, LB11, LB16, LB18, LB20, LB23, LB25, LB28, LB30, LB31, LB33, LB38 |
Table 3: Inhibitory activity of peptide P34 and culture supernatants (CS) of lactic acid bacteria isolated from Minas Frescal cheese against Listeria monocytogenesa
|
|
|
Inhibitory activity |
|
Isolate |
Ph |
P34 |
CS+P34 |
Neutralized CS+P34 |
LB1 |
4.7 |
3.5±0.1 |
4.8±0.2 |
3.0±0.1 |
LB2 |
5.0 |
3.5±0.1 |
4.3±0.1 |
3.5±0.2 |
LB3 |
4.7 |
3.5±0.1 |
4.7±0.1 |
3.6±0.1 |
LB5 |
4.7 |
2.2±0.1 |
2.6±0.2 |
2.0±0.1 |
LB7 |
4.7 |
2.2±0.1 |
2.4±0.0 |
2.1±0.1 |
LB33 |
4.2 |
2.2±0.1 |
2.5±0.1 |
2.2±0.1 |
aCulture supernatants (CS) alone showed no activity. bInhibitory activity was expressed relative to the inhibitory zone observed for 1000 IU of nisin.
Inhibition of L. monocytogenes in minas cheese
The application of peptide P34 in Minas Frescal cheese caused a decrease of L. monocytogenes growth, and the major inhibition was correlated with the peptide concentration of 6400 AU/ml (fig. 1). A reduction of 1 log cycle was observed using 800 AU/ml of P34, but it tends to reach control values at the end of incubation. The higher dose necessary to reduce L. monocytogenes counts in the cheese may be related with inactivation by endogenous food enzymes or binding to components of the food matrix, which has been described for other bacteriocins [19, 20].
Inhibition of L. monocytogenes by nisin has been demonstrated in some soft cheeses, like ricotta [21], Camembert [22], cottage [23] and the use of natural products [24-25]. However, increasing tolerance or resistance of L. monocytogenes strains to nisin has been reported [26], indicating the importance of research on new substances showing antilisterial activity [27–29].
The bacteriocin cerein 8A was investigated, causing significant reduction of surface contamination of L. monocytogenes in Minas Frescal cheese [30]. Similarly, the results of peptide P34 suggest its potential for use as a bio-preservative in Minas Frescal cheese. Recently, Sant'Anna et al. [31] demonstrated that the peptide P34 showed potential to control L. monocytogenes in refrigerated meat products.
Influence of P34 on gene expression of L. monocytogenes
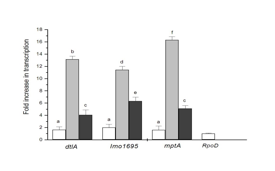
Based on the inhibition of L. monocytogenes in cheese by P34, the expression of three different genes of L. monocytogenes, namely dltA, imo 1695 and mptA, was evaluated by real-time PCR. These genes have been described as coding for possible targets of class IIa bacteriocins, to which some strains of L. monocytogenes present a high level of resistance [32]. In this study, the gene rpoD was utilized as an endogenous control to standardize the different conditions used in real-time PCR as it is a constitutive gene with a homogenous expression between groups. In addition, its CT values were used to calculate the ∆CT of the groups.

Fig. 1: Effect of peptide P34 on the growth of L. monocytogenes in Minas Frescal cheese. Cheese samples were treated with 10 mmol phosphate buffer pH 7.0 (control); inoculated with L. monocytogenes (control Lm), or treated with peptide P34 (6400 AU/ml or 800 AU/ml) and inoculated with L. monocytogenes. Samples were stored at 5 °C and analyzed at 0 (white bars), 96 (gray bars) and 168 h (black bars). Bars are the means±standard deviations of duplicates for two independent samples. Different letters indicate significant differences at p<0.05
It was observed a significant increase in the transcription of mptA, dltA and Imo1695 after 96h inoculation on cheeses containing the peptide P34 at a concentration of 6400 AU/ml when compared to the control cheese (without bacteriocin addition). The mptA gene showed approximately 16-fold greater expression than the control, followed by dltA and Imo1695 with 13-fold and 11-fold greater expression, respectively (fig. 2). It can be seen that after 96h of inoculation there was a decrease in bacterial growth in P34-treated samples (fig. 1). At time zero, there was a non-significant increase in gene transcription, where Imo1695, the most expressive, was approximately 2 times higher than control, followed by dltA and mptA. At 168h, transcription levels of all genes decreased significantly (fig. 2), accompanied by a decrease in the counts of L. monocytogenes. Once again, Imo1695 from the P34-treated group was slightly more expressive when compared to control.

Fig. 2: Expression levels of dltA, Imo 1695 and mptA mRNAs in P34-treated L. monocytogenes growing on Minas Frescal cheese. Samples were analyzed at time zero (white bars), 96 (gray bars) and 168 h (black bars) after inoculation. All transcript levels were measured in duplicate for two independent RNA preparations. The rpoD gene was used as the endogenous control. Different letters indicate significant differences at p<0.05
The results found for mptA gene expression were contrary to those observed with class IIa-resistant strains of L. monocytogenes, where a clear correlation between mptA transcription and the decrease in the expression of mannose permease from the phosphor transferase system was observed [32, 33]. The present results also differed from those presented by [9], which observed no alteration in the expression of dltA and Imo1695. It is known that the L. monocytogenes strain utilized in this study is a collection strain and that decrease in mptA expression has been observed in food-borne class IIa-resistant or mutant strains of L. monocytogenes [9, 32, 33]. Previous studies have shown that a 1000-fold increased resistance to class IIa bacteriocins in L. monocytogenes and Enterococcus faecalis resulted from a loss of mptA expression [34–36].
The cell wall of L. monocytogenes is composed by thick peptidoglycans containing two types of anionic polymers: teichoic acids (TA), which are covalently linked to peptidoglycan and lipoteichoic acids (LTAs), which are poly phosphoglycerols substituted with a D-alanyl (D-Ala) ester or a glycosyl residue and anchored in the membrane by their glycolipid moiety [37].
Some authors suggest that bacteriocin-induced lysis could be due to the liberation of autolytic enzymes that are usually electrostatically bound to anionic polymers (teichoic and lipoteichoic acids) of the cell wall, which is displaced by cationic bacteriocins from their binding sites [38–40].
In this study, the peptide P34 influenced the expression of genes that potentially influence cell-surface/cell-membrane structure (dltA and Imo1685 genes). Peptide P34 caused injury to the cell envelope and loss of protoplasmic material in L. monocytogenes, which is consistent with the bactericidal and bacteriolytic effect on this indicator bacterium [41].
Based on these results, it seems that the damage caused by P34 in the cell surface induces a mechanism that affects the expression of genes involved in D-alanylation of teichoic acids (TA) and lipoteichoic acids (LTAs) or lysination of the cell membrane of phospholipids. It should be emphasized that the influence of peptide P34 on gene expression of L. monocytogenes was observed in the finished cheese. Recently, Liu et al. [42] noted that nisin interacts with the CFTR gene product in L. monocytogenes and may contribute to the understanding of the antibacterial mechanisms of bacteriocins.
Conclusion
This approach may properly reflect the results expected to a real condition encountered in food since the influence of physical conditions and chemical composition of the food in the effectiveness of the bacteriocin was considered. Future studies to evaluate the effect of peptide P34 on resistant strains of L. monocytogenes may be useful to further understand the mechanisms of resistance of this important food-borne pathogen.
ACKNOWLEDGEMENT
This work received financial support of CNPq (Conselho Nacional de Desenvolvimento Científico e Tecnológico), CAPES (Coordenação de Aperfeiçoamento de Pessoal de Nível Superior) and FAPERGS (Fundação de Amparo a Pesquisa do Rio Grande do Sul).
CONFLICT OF INTERESTS
There is no conflict of interest
REFERENCES
How to cite this article