
1Sun Pharmaceutical Industries Limited, RandD-II, Sarhaul, Sec 18, Gurgaon 122015, Haryana, India, 2Birla Institute of Technology, Mesra, Ranchi 835215, Jharkhand, India
Email: msk.vats@gmail.com
Received: 13 Jun 2016 Revised and Accepted: 12 Aug 2016
ABSTRACT
Objective: To study the mechanism and factors affecting the design of an industrially scalable formulation in a combined drug delivery module containing solid dispersion (SD) multiunit pellets with novel polymer Soluplus® in a modified release system to address chronotherapeutic needs of hypertension therapy.
Methods: Nisoldipine-Soluplus® SD pellet formulations were prepared using the central composite design of experiments (CCD) to study the effect of inert core level and drug to polymer ratio. The solid dispersions were formed on inert pellets surface by fluidized bed coating and characterized by dissolution efficiency and time for 90% drug release. The data was statistically analyzed to develop a response surface for optimum SD formulation in pellets. The SD pellets were characterized by FTIR, DSC and SEM. The optimum formulation of SD coated pellets was further coated with Eudragit S100-L100 polymer mix and characterized for dissolution in multimedia and two-step dissolution for lag time.
Results: A response surface was developed for highest dissolution efficiency (%DE) and least time to release 90% drug (T90). The model was significant, and the role of core pellets was found to be more significant than the drug-polymer ratio. The study of the desirability function indicated that a polymer content of 75% and inert core level to yield 23% net weight gain, provided optimum dissolution enhanced SD pellets. The drug was found to exist in amorphous form. The final capsules containing Eudragit S100-L100 coated delayed release SD pellets showed a lag time of 2 h and a definite pH-gradient towards drug release.
Conclusion: The findings from this study helped to understand the mechanism, design and factors affecting drug release from a delayed release SD system for a poorly soluble drug for potential hypertension chronotherapy.
Keywords: Central composite design, Soluplus®, Design of experiments, Chronotherapy, Fluidized-bed, Dissolution efficiency, Eudragit, JMP
© 2016 The Authors. Published by Innovare Academic Sciences Pvt Ltd. This is an open access article under the CC BY license (http://creativecommons. org/licenses/by/4. 0/)
DOI: http://dx.doi.org/10.22159/ijpps.2016v8i10.13442
INTRODUCTION
The solubility and/or dissolution rate is the rate limiting step to oral absorption of BCS Class II drugs, and hence improvement in either or both properties is considered a key factor for enhancing their bioavailability [1]. Dissolution enhancement of poorly soluble drugs based on solid dispersion (SD) technology has been a method of choice for its simplicity. Despite being of the preferred method, the commercial success for SD has been very limited owing to the problems associated with industrial scalability [2]. Solvent evaporation using fluidized bed layering is one such simple and convenient technology which provides for excellent reproducible solid dispersions at industrial scale [3].
Soluplus® (polyvinyl caprolactam–polyvinyl acetate–polyethylene glycol graft copolymer), a novel amphiphilic polymer used in HME technology for its solid solution forming capability [4] outperforms many of the well-known surfactants and solubilizers for solubility enhancement. Due to its bifunctional character, it acts as a matrix polymer for solid solutions capable of solubilizing insoluble drugs in aqueous solution. However, there are very few reports in the literature about its use in solvent evaporation and multi-particulate based SD systems containing Soluplus®.
There is a need to combine modern controlled release technologies with dissolution enhanced SD system to address issues like the hepatic first-pass metabolism, short half-life, and site-specific drug delivery, etc. To understand the design of a dual mechanism delivery system (combining dissolution enhancement and modified release), nisoldipine, a potent, second-generation dihydropyridine calcium channel blocker having a peripheral and coronary vasodilatory action, [5] was selected a model drug. Nisoldipine has poor water solubility (BCS class-II) and low oral bioavailability (3.9-8.4%) which necessitates for making a dissolution improved system.
Nisoldipine undergoes first-pass metabolism in the liver and gut. The absorption occurs across the entire gastrointestinal tract with an increase in bioavailability in the colon because of the lower concentrations of metabolizing enzyme in the distal gut wall [6]. It is indicated for the treatment of hypertension, and it is taught in literature that cardiovascular events are more apt to occur in the early morning hours [7]. The blood pressure and heart rate in both normotensive and hypertensive patients are higher during the morning hours (04:00–06:00 h) than any other time of the day due to a decrease in sympathetic output occurring at night while the individual is asleep [8].
An extended release multi particulate system can provide not only for dose flexibility but also aid in ease of administration on soft foods as sprinkles. A reservoir based multiunit drug delivery system containing a solid dispersion is not common in the literature. The present research work undertakes the development of a dissolution enhanced drug delivery system using design of experiment (DoE) technique and presents the solid dispersion formulation as a modified drug release product to synchronize the drug delivery from solid dispersion with the time of peak cardiovascular events.
MATERIALS AND METHODS
Materials
Nisoldipine was procured from Erregierre S. p. A., Italy. Inactive ingredients were sourced from JRS Pharma GMBH and Co. KG, Germany (Sugar spheres #35-40 ASTM), BASF Corporation, USA (Soluplus®), Evonik, USA (Eudragit S100, Eudragit L100), Vertullus Inc., USA (Triethyl Citrate), Imerys Inc., USA (Talc) and Merck limited, India (Acetone). All other chemicals were of analytical grade and were used as obtained. Nisoldipine is prone to photolytic degradation and hence all the experiments were carried out using golden fluorescent light and analysis was carried out using low-actinic amber color glassware. Statistical data analysis was carried out using JMP® software (version 12, SAS Inc., USA) and significance was ascertained at p<0.05.
Methods
Phase solubility studies
Solubility measurements were performed in triplicate using the method reported by Higuchi and Connors [9]. An excess amount of nisoldipine was added to purified water containing increasing concentrations (0-10% w/v) of Soluplus®. The vials were sealed and shaken at 37±0.5 °C for 72 h in a thermostatically controlled orbital shaker-cum incubator (Colton, India) and the samples were filtered through a 0.45μ polyvinylidene fluoride (PVDF) filter. The filtrate was suitably diluted and the concentration in the solution was determined spectrophotometrically at λmax 238 nm (Shimadzu UV-2450 spectrophotometer, Japan).
Preparation of solid dispersion pellets
Layering on inert cores by solvent evaporation method using the fluidized bed coating technique is one of the most industrially feasible methods for solid dispersion preparation. Solid dispersion pellets were manufactured as according to the previously described procedure with modifications [10]. The drug and the polymer were dissolved in acetone under stirring with a solid content of 10% in all the experiments listed in table 1. Sugar spheres (425-500 µ) were loaded into the fluidized bed coater (Glatt Air Techniques Inc., GPCG 1.1, Germany). The coating was performed using 1.0 mm nozzle at 2.0 bar air atomization pressure maintaining a ramped up spray rate of 12 g per minute and a product temperature of 30±2 °C. The air volume used was 60-80 Cubic feet/min. Post-coating, the pellets were dried at 40 °C for 20-40 min (target %LOD<1%). The pellets were stored in sealed triple-laminated bags (TLB) till analysis.
Optimization of SD pellets using design of experiments
A face-centered central composite design (FC-CCD) consisting of 2-level 2-factor design with 2-center points was used to investigate the influence of drug-polymer ratio (X1) and the inert core level for solid dispersion loading (X2). Dissolution efficiency (% DE) and time for 90% drug release (T90); in 0.1N HCl containing 0.25% sodium lauryl sulfate (SLS)/900 ml/USP-II/50rpm; were selected as critical quality attributes (response). The optimum condition reached in one response might have an opposite influence on the other response. In order to find the best possible combination of factors, the multifactor problem can be treated as a single criterion problem by using the desirability function approach. Any value of D in between zero and one gave an opportunity to improve the product quality. The individual desirability is then combined using the geometric mean, which gave the overall generalized desirability (D) as follows [11]:
D = [d1(Y1) × d2(Y2) × …. dk(Yk)]1/k ……. (1)
Where k denoting the number of responses. Notice that, if any response, Yi was completely undesirable [di(Yi)=0)], then the overall desirability was zero. In practice, fitted response values “i” were used in place of the Yi. Desirability scale value (D) one indicated the optimum property level of the product or service, whereas zero desirability indicated an unacceptable product.
Differential scanning calorimetry studies
In order to understand the thermal behavior of the solid dispersion, differential scanning calorimetry (DSC) patterns were generated for pure API, polymer, and selected solid dispersions using a DSC-60 (Shimadzu, Japan). The samples (~10 mg) were sealed in perforated aluminum pans and thermograms were obtained in the atmosphere of nitrogen at a heating rate of 10 °C/min in the temperature range of 40 °C to 200 °C.
Fourier-transform infrared spectroscopy studies
In order to study any interaction between the drug and polymer; pure drug and solid dispersions were subjected to Fourier-transform infrared spectroscopy (FTIR, Pristige-21, Shimadzu-Japan) spectroscopic analysis. A finely ground, approximately 1% mixture of a solid sample in KBr was fused into a transparent disk using a hydraulic press and analyzed over the range of 4000 to 400 cm-1.
Scanning electron microscopy
The morphological characteristics of coated pellets surface and the cross section was performed by means of a scanning electron microscope (Jeol-JSM-5300, Japan). The samples were mounted on a glass stub with double-sided adhesive tape and coated under vacuum with gold in an argon atmosphere prior to observation. Micrographs with different magnifications were recorded at 10 KV.
Preparation of delayed release SD pellets
The SD pellets formulation, showing the best outcome from DoE results, was coated with Isopropyl alcohol-water (90:10) dispersion containing Eudragit S100-L100 mixture (70:30) with 15% triethyl citrate and 20% talc (both with respect to dry polymer). The dispersion was stirred for 60 min and filtered through 60# sieve before use. The SD coated pellets were loaded into the fluidized bed coater (Glatt Air Techniques Inc., GPCG 1.1, Germany) and coated with above dispersion. The process parameters used were as: atomization air pressure 2.0 bars, 1.0 mm nozzle bore, product temperature 30±2 °C, fluidization air 60-80 cubic feet per min, spray rate 16 g per minute. After 35 % coating, the pellets were dried till %LOD<1%. The final coated pellets were cured in the fluidized bed itself for 2 h at 45 °C product temperature. The final pellets were lubricated with 1% talc before filling in capsules and stored in TLB till further analysis.
Dissolution studies
The in vitro dissolution behavior of pure drug and solid dispersion pellets were studied using dissolution system (2100C, Distek Inc., USA) equipped with auto-sampler (Evolution 4300, Distek Inc., USA). The dissolution studies for 17 mg dose equivalent pellets were performed using USP Dissolution apparatus type II (paddle) in 900 ml of 0.1N HCl containing 0.25%SLS as dissolution media at 50rpm and 37±0.5 °C temperature (n=6). The dissolution test was performed for 2 h with 5 ml sampling every 15 min and replaced with the same volume of fresh media post each sampling. The samples were filtered using 0.45µ PVDF filter, diluted and analyzed by UV spectrophotometer at 238 nm. The cumulative amount of drug dissolved (with sampled volume adjustment) was calculated using a linear calibration equation, over a range of 1-20µg/ml. Dissolution efficiency and T90 were calculated from the dissolution data using DD solver application in MS excel [12].
To understand the acid resistance and rate of drug release in alkaline conditions, the drug release from delayed release pellets was characterized change over media i.e. in 900 ml of 0.1N HCl containing 0.25% sodium lauryl sulfate (SLS) in USP-I (basket) at 50rpm followed by 900 ml of pH 6.8 phosphate buffer containing 0.25% sodium lauryl sulfate (SLS) in in USP-I (basket) at 50rpm. Also, the dissolution was conducted in 0.1 N HCl/900 ml and pH 5.5 acetate buffer/900 ml in USP-1 media at 50rpm without a changeover.
RESULTS AND DISCUSSION
Phase solubility studies
Nisoldipine belongs to BCS class-II drugs. Its aqueous solubility was determined to be 5.91 µg/ml. The saturation solubility of drug was evaluated in Soluplus® solutions at 0-10%w/w concentration. The phase solubility curve is shown in fig. 1
The solubility of nisoldipine increased as a function of polymer concentration. The data was modeled into a linear trend line (y=29.249+17.32, r² = 0.9876) and it followed an AL-type phase solubility curve [9]. The drastic increase in solubility with the increased Soluplus® concentration can be reasoned basis the chemical nature of the polymer. Soluplus® has an amphiphilic molecular structure that acts as a polymeric solubilizer. Its large number of hydroxyl groups facilitates solubilization by molecular interaction. Additionally, the polymer dissolves to form micellar structure, which facilitates the solubility enhancement.

Fig. 1: Phase solubility study of nisoldipine at various soluplus® concentrations (n=3, mean±SD)
Design of experiments for SD Pellets optimization
Response surface designs are used when the variables are continuous, and a correlation between the variables studied yields equation (design space) which can be used to predict the outcome even at those levels of the factors which might not be part of the original experimental design. The drug layered pellets were prepared as per the drug-polymer combinations given in table 1. The dissolution data was generated and modelled to study the release kinetics using model-dependent methods [13] for zero-order, first order, Higuchi, Hixon-Crowell and Korsenmayer-Peppas (KP) kinetics. A comparison of release kinetics among these models using overall R2 and AIC criterion indicated that the dissolution followed KP kinetics and hence T90 values were derived from KP equation.
This indicates that the use of a higher quantity of polymer in SD pellets will improve the dissolution in the microenvironment and result in complete drug release from the final product.
Table 1: Experimental design matrix and observed responses for solid dispersion pellets
| Formulation variables | Role | Level 1 | Level 2 |
| Polymer with respect to drug (X1) | Continuous | 17 | 85 |
| Inert core (X2) | Continuous | 200 | 400 |
| Responses | |||
| Dissolution efficiency (% DE) Y1 | Maximize | - | 1.0 |
| Time for 90% release (T90) Y2 | Minimize | 30 | - |
| Exp. No. | Pattern | [X1] | [X2] |
| F1 | −+ | 17 | 400 |
| F2 | −− | 17 | 200 |
| F3 | 00 | 51 | 300 |
| F4 | ++ | 85 | 400 |
| F5 | 0a | 51 | 200 |
| F6 | +− | 85 | 200 |
| F7 | a0 | 17 | 300 |
| F8 | 00 | 51 | 300 |
| F9 | A0 | 85 | 300 |
| F10 | 0A | 51 | 400 |
The data analysis indicates that the T90 time varied between 23.24 min to 119.7 min and the dissolution efficiency was>=0.7 in all the cases. To understand the significance of factors at p<0.05, data was analyzed using standard least square method with emphasis on effect screening. The results are presented in table 2 and 3.
Table 2: ANOVA results for model fitting
| Source | Dissolution efficiency (%DE) | Time for 90% drug release (T90) |
| R2 | 0.932 | 0.914 |
| R2Adj. | 0.847 | 0.807 |
| Prob>F | 0.0188 | 0.0296 |
Table 3: Parameter estimate for dissolution efficiency (%DE, Y1) and time for 90% drug release (T90, Y2)
| Source | Y1 | Y2 |
| Coefficient | Prob>F | |
| Intercept | 0.82 | <.0001* |
| Core level (200,400) | 0.0333 | 0.0247* |
| Polymer (17,85) | 0.0567 | 0.0040* |
| Polymer * Polymer | -0.005 | 0.6896 |
| Core level * Core level | -0.04 | 0.0585 |
| Polymer * Core level | 0.01 | 0.5475 |
The ANOVA results indicate that the model fitted well as evident from high r2 and a low p-value (<0.05) for both the factors. Based on the correlation derived from the model, actual by predicted plots were generated as shown in fig. 2.
The Pareto-plot indicates that the core level is the most significant factor affecting the % DE and T90, followed by the polymer content with respect to the drug. This can be due to increase in the surface area upon increasing core quantity which facilitates the faster dissolution. The T90 also would be least in case the core level is at maximum and polymer level at the optimum.
In the case of multiple response variables, an overall desirability function is used [14] to ascertain the optimum levels of the factors studied to provide the desired outcome (maximize %DE and minimize T90). Taking into consideration the effect of the independent variables on the studied parameters, the levels of these factors were determined using the generalized desirability function to maximize all the investigated responses. The prediction profiler (fig. 4) shows that % DE increases and T90 decreases when polymer ratio in increased from 1:1 to 1:3. However, a further increase in polymer level does not impact the responses much. On the contrary, the core level increases always resulted in an increase in the dissolution efficiency and decrease in the time required to release 90% drug.
(a) |
(b) |
Fig. 2: Actual by predicted plot for (a) % dissolution efficiency (Y1) (b) time for 90% drug release (T90)
The magnitude of effect among the factors can be studied by comparing the coefficients. This is done graphically in the Pareto plot shown in fig. 3.
The maximum value of desirability function D was obtained at a drug polymer ratio (X1) between 1:1 to 1:3 and a core level (X2) of 300-400. Response surface plots for both the responses are shown in fig. 5.

A

B
Fig. 3: Pareto plot of transformed estimates (A) % dissolution efficiency (Y1) (B) time for 90% drug release (T90)

Fig. 4: Prediction profiler with desirability function showing the effect of factors on responses
![]() |
![]() |
Fig. 5: Response surface plots for (A) % dissolution efficiency (B) time for 90% drug release (T90)
Effect of inert core level on drug release
As per modified Noyes-Whitney equation or better known as Nernst–Brunner equation (2), an increase in the surface area of the particles results in an increase in dissolution [15].
dC/dt = (D × S/V × h) × (CS − C) …… (2)
Where D is the diffusion coefficient, S is the surface area of the dissolving substrate, h the thickness of the diffusion layer and V is the volume of the dissolution medium; Cs is the saturated solubility, and C is the concentration at time t. According to the Noyes-Whitney equation (2); a higher the surface area leads to faster dissolution. As evident from prediction profiler (fig. 6), the rate of dissolution is higher when the inert core level is more. The more number of sugar sphere particles means less % coating on pellets and provides an increased surface area thereby facilitating the dissolution rate.

Fig. 6: Dissolution profiles (mean±SD, n=3) from (•) nisoldipine and SD pellets of (×) F3 (□) F5 (∆) F10
Effect of Soluplus® ratio on drug release
Although a higher surface area is supposed to facilitate faster dissolution as per equation (2), too low a concentration gradient across the diffusion layer could not significantly promote the dissolution rate even if the surface area of particles available for dissolution is increased to a larger extent [15]. It was interesting to find out that the drug release first increased as the polymer content in pellets increased, but it became plateau and started decreasing (fig. 4, 7). The inert core (sugar spheres) acted as an excellent vehicle to layer the SD. However, the increase in T90 can be reasoned due to the formation of “tightly packed” solid dispersion layers. This increased the coating thickness and reduced the dissolution surface area leading to increased T90. A similar observation has been reported in the literature [16].

Fig. 7: Dissolution profiles (mean±SD, n=3) from (•) nisoldipine and SD pellets of (×) F1 (□) F4 (∆) F10
Apart from the optimum core and polymer level for dissolution enhanced SD, fill weight into final capsule was also considered. That means a higher level of the core not only gives better dissolution enhancement but also increases the number of pellets in the capsule. To keep the fill weight up to a size “0” capsule capability, F3 was selected as the optimum SD formulation (75% polymer and 23% weight gain).
Differential scanning calorimetry studies
The amorphous form of the drug has a higher solubility compared to the crystalline form and hence SD containing amorphous nisoldipine would facilitate the increase in dissolution rate. The DSC studies (fig. 8) of pure nisoldipine indicated an endothermic event occurring between 152 °C to 156 °C and exhibited a sharp melting point at 153.81 °C. The physical mixture showed sharp peaks at 152.96 °C and 188.33 °C corresponding to the drug and sugar spheres.
The solid dispersion at 1:1, 1:3 and 1:5 did not show any endothermic peak in the characteristic region of API indicating that the drug dispersed molecular in the Soluplus® matrix and existed in an amorphous form in SD. However, characteristic sugar sphere peaks (slightly shifted) in the region of 192 °C to 194 °C seen in all the solid dispersion pellets indicating that sugar spheres were an inert component of the solid dispersion pellets.

Fig. 8: DSC thermograms of nisoldipine-Soluplus® solid dispersions at various ratios
Fourier-transform infrared spectroscopy
The molecular structure of the drug and polymer is shown in fig. 9. To understand the molecular interaction between the drug and polymer, FTIR studies were performed (fig. 10). A sharp absorption band at 3321 cm-1 was seen for nisoldipine. This is attributed to stretching of the N-H group in the dihydropyridine (DHP) moiety as shown in a chemical structure in fig. 6. Other Characteristic bands were observed at 2967, 3102, 1656, 1706, 1531 and 1349 cm-1 owing to Csp3-H stretching, Csp2-H stretching, C=N, C=O stretching (carbonyl groups of the two side chain in the structure of DHP), N = O asymmetrical stretching and N = O symmetrical stretching respectively. Among these, the N-H and C=O groups can form hydrogen bonding with the polymer [18]. The IR spectrum of all solid dispersions showed the absence of the characteristic peak at 3321 cm-1 and a peak broadening in this region was seen. This can be due to possible interaction (Hydrogen bonding) between the N-H groups of in the dihydropyridine (DHP) moiety of nisoldipine with the-OH groups of Soluplus® as reported previously [19].
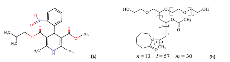
Fig. 9: Chemical Structure of (a) Nisoldipine (b) Soluplus®

Fig. 10: FTIR spectra of nisoldipine-soluplus® solid dispersions
Scanning electron microscopy of pellets
The surface of the pellets was smooth in appearance. As seen in the cross-section of SEM (fig. 11) the solid dispersion and core layer can be distinguished. The SD layer was smooth and continuous with “waxy” texture. Nisoldipine exists as needle shape crystals [20]. However, no such shape is evident in the cross section of drug-layered pellets.
Dissolution from delayed release coated SD pellets
Nocturnally administered antihypertensive, like nisoldipine, provide significant morning coverage for the morning BP surge, which may be of particular relevance to high-risk individuals such as the patient with hypertension, diabetes, and/or renal failure. Since nisoldipine is susceptible first to pass metabolism and is reported to be absorbed better trough lower part of the intestine, targeting the release of the payload in the jejuno-ilelal region would increase absorption and hence bioavailability [21].


Fig. 11: A. Intact SD layered pellets B. Cross-section of SD layered pellet (F3)
Single unit colon targeted drug delivery system may suffer from the disadvantage of the unintentional disintegration of the formulation due to manufacturing deficiency or unusual gastric physiology that may lead to drastically compromised systemic drug bioavailability or loss of local therapeutic action in the colon. Recently, much emphasis has been laid on the development of multi-particulate dosage forms in comparison to single unit systems because of their potential benefits like increased bioavailability, reduced risk of systemic toxicity, reduced risk of local irritation and predictable gastric emptying [22]. The pellet dosage form, as in the current research work, passes easily through the GIT due to small size, which reduces the variability in drug release and offers to solve all these disadvantages. Enteric or delayed release coating using methacrylic acid polymers is a technique commonly employed to protect a solid oral dosage form from the acidic environment of the stomach wherein drug release is retarded until the drug product is exposed to the neutral environment of the upper intestinal tract. Most commonly used pH-dependent coating polymers for peroral delivery are methacrylic acid copolymers, Eudragit L100 and Eudragit S100, which dissolve at pH 6.0 and 7.0 respectively. The combination of these two polymers in various ratios makes it possible to manipulate drug release within 6.0-7.0 pH range.
It has been reported earlier that the use of Eudragit S alone is not suitable for colonic delivery since the pH drops from 7.0 at the terminal ileum to 6.0 of ascending colon, such systems sometimes fail to release the drug [23]. In order to overcome this problem, a combination of polymers Eudragit S100 and Eudragit L100 ensures that the release of drug from formulation will occur even when the pH value of the GI tract does not reach more than 6.8 [22, 25]. Plasticizers soften and swell the latex polymer particles, which aids deformation and coalescence, and lowers the minimum film-forming temperatures and glass transition temperatures. Triethyl citrate was added to the polymer mix as a plasticizer. Also, talc was added to dissipate static charge formation due to the use of a solvent for coating. As stated in USP<711>, a two-step dissolution method is needed to determine the integrity of the enteric coating in an acidic environment and to measure the release of the dosage form in a neutral environment [26]
The process was smooth with no static charge. Multimedia dissolution studies were carried out. As seen in fig. 11, the drug release increases from pH 4.5AB>pH 5.5PB>pH 6.8PB. This is because none on the polymer is very soluble below pH 6.0.

Fig. 12: Effect of pH on the drug release (mean±SD, n=3) from delayed release coated solid dispersion
Fig. 13 indicates the drug release in changeover media and shows a clear 2-hour lag in the acidic media.

Fig. 13: Change over media dissolution (mean±SD, n=3) from DR coated SD pellets and marketed product (SULAR®)
There is no significant drug release in acidic conditions, and it starts once the dosage form reaches alkaline conditions. The release from uncoated SD pellets was much faster. However, it was observed that the payload is not dumped immediately at once after coming in contact with the alkaline environment. Rather, it was modified to provide a 4-6 hour controlled release. Such a dosage form, when administered to a hypertensive patient in the night time, would prevent the initial drug release and provide therapeutic drug concentrations in the early morning hours. This modified release pellets containing dissolution enhanced solid dispersion provides for an initial period of no drug release followed by a 4 to 6 h of sustained drug release. To understand the drug release mechanism, the dissolution data were fitted into the KP model (with T-lag). It showed good linearity (r2 = 0.994, Tlag = 2.87 h) with a slope or exponential value n of 0.430 indicating that the release kinetics are a combination of diffusion and erosion, so-called anomalous diffusion. However, then the value indicates that diffusion is the dominant mechanism between the two from the final formulation.
CONCLUSION
The present research work demonstrates the development of a multiunit solid dispersion system based on the one step fluidized bed technique which is scalable industrially. A design of experiments was utilized to understand the factors affecting pellets based SD statistically. The drug release from the SD pellets followed KP kinetics. The level of the substrate core was found to be a more significant factor compared to the drug polymer ratio governing the released drug from the SD pellet. Characterization of SDs indicated that nisoldipine exists in the amorphous form. In view of the high first pass metabolism for nisoldipine and better absorption and bioavailability in the colonic region, the final SD pellets were coated to form a modified release drug delivery from a capsule dosage form. Considering the night time administration for this capsule dosage form, this research work provides novel insight into the development of a reservoir based solid dispersion system for poorly soluble drugs as potential chronotherapeutic drug delivery. The drug release from final pellets in capsule also followed the KP kinetics with a Tlag. The two potentially antagonistic release mechanisms were successfully combined in a single drug delivery module, to address solubility enhancement and drug targeting. Moreover, it provides an opportunity to use such drug product as sprinkles on soft foods for dysphagia patient population.
CONFLICT OF INTERESTS
The authors declare no conflict of interest
REFERENCES
How to cite this article