
Faculty of Pharmacy, Jerash University, Jerash, Jordan
Email: jaljamal@jpu.edu.jo
Received: 16 Jun 2016 Revised and Accepted: 21 0ct 2016
ABSTRACT
Objective: The search for new, potentially useful antimycobacterial agents. In continuation with our previous screening for the discovery of novel drugs for tuberculosis, a new series of 1,8-naphthyridines derivatives were synthesized and evaluated in vitro for antimycobacterial activity against Mycobacterium tuberculosis H37Rv.
Methods: Several 4-morpholinomethyl-1.8-naphthyridine derivatives have been synthesized in excellent yields. The synthesized compounds were characterized by spectroscopic methods as well as elemental analyses. They were screened for their antimycobacterial activity. The growth was monitored radiometrically in 7H12 broth with the BACTEC 460 TB system. The minimum inhibitory concentration (MIC) was determined for compounds that demonstrated ≥ 90% growth inhibition in the primary screening.
Results: The obtained data suggested that all compounds showed significant activity against Mycobacterium tuberculosis H37Rv compared to the standard reference drug. Analogues (6-11) having heterocyclic groups in position 7 were the most potent of those we tested.
Conclusion: These findings clearly identify the 1,8-naphthyridine analogue (10) with a 6-amino-2-(4'-methoxy benzylamine-4-morpholinomethyl-7-morpholino-substituent as promising anti-tubercular agents possessing significant activity against Mycobacterium tuberculosis H37Rv
Keywords: Anti-mycobacterial activity, 1,8-naphthyridine, Piperidine, Morpholine
© 2016 The Authors. Published by Innovare Academic Sciences Pvt Ltd. This is an open access article under the CC BY license (http://creativecommons.org/licenses/by/4. 0/)
DOI: http://dx.doi.org/10.22159/ijpps.2016v8i12.13503
INTRODUCTION
Tuberculosis (TB) is a major global health problem. It causes ill-health among millions of people each year and ranks alongside the human immunodeficiency virus (HIV) as a leading cause of death worldwide. In 2014, there were an estimated 9.6 million new TB. There were also 1.5 million TB deaths (1.1 million among HIV-negative people and 0.4 million among HIV-positive people) [1]. Mycobacterium tuberculosis, the causative organism, produces a chronic infection in the lungs that can become disseminated. It still remains one of the foremost among infectious disease in the world causing the maximum number of deaths due to the spread of single microorganism [2-5].
The difficulty in managing tuberculosis is the prolonged treatment duration, the emergence of drug resistance and co-infection with HIV/AIDS. The increase in the incidence of drug-resistant TB in HIV-infected individuals is a leading cause of death and is further worsening the TB situation worldwide. The association of tuberculosis with HIV infection is so dramatic that in some cases, nearly two third of the patients diagnosed with the tuberculosis are also HIV seropositive [6-11]. The disease tuberculosis, once considered eradicated, has again become a major global health concern. The resurgence in the disease is caused by an inadequate and extended chemotherapy that relies on drugs developed in the mid-twentieth century.
Tuberculosis control requires new drugs that act at novel drug targets to help combat resistant forms of M. tuberculosis and reduce treatment duration [12-14].
We have previously [15,16] described the preparation of some 1,8-naphthyridine derivatives, bearing various substituents in position 2, 4 and 7 and reported on the results of their in vitro evaluation against M. tuberculosis H37Rv, some of these compounds showed a marked activity.
Taking into account some observations of the structure-activity relationship, a new series of 1,8-naphthyridines derivatives carrying a morpholino methyl group in the 4 position and different groups in the 2, 6 and 7 positions of the 1,8-naphthyridine nucleus were synthesized and radiometric analyses were conducted to determine their antitubercular activities against Mycobacterium tuberculosis H37Rv with the aim to get better antimycobacterial activity.
MATERIALS AND METHODS
Instrumental analyses
Chemicals used in this study were of analytical grade and obtained from Merck or Sigma.
1H NMR, and 13C NMR spectra were recorded on a Varian CFT-20 NMR spectrometer, in DMSO-d6 or CDCl3 operating at 300 MHz (1H NMR), and 75 MHz (13C NMR).
Analytical TLC was carried out on E. Merch 0.20 mm precoated silica-gel glass plate (60 F254) and the location of spots was detected by illumination with an UV lamp. Melting points were determined on a kofler hot-stage apparatus and are uncorrected table 1.
Elemental analysis for C, H, N and Cl was carried out by a micro method using the elemental Vario EL III Elemental analyzer. The results of elemental analysis were within±0.4 % of the theoretical values, table 1.
Synthesis
Preparation of 7-amino-2-(4'-methoxybenzylamine)-4-moro-holinomethyl-1,8-naphthyridine (1)
To a mixture of 7-acetylamino-2-chloro-4-morpholinomethyl-1,8-naphthyridine derivative (X) (2.0 g, 7.82 mmole) and 4-methoxybenzylamine (3.55 ml, 27 mmole) was added pyridine (35 ml) under N2. The mixture was heated to reflux for 48 h and then cooled to room temperature, the pyridine was removed and the compound (1) was obtained by column chromatography followed by recrystallization table 1 and 2.
13C-NMR (CDCl3) δ compound (1), 55.45, 158.62, 114.25, 130.51, 132.20, 130.54, 114.80, 46.41, 159.21, 112.78, 148.51, 64.30, 55.21, 66.70, 66.70, 55.21, 107.70, 136.3, 109.91, 158.9, 155.60.
Table 1: Physical data of 1,8 naphthyridine derivatives

Comp. |
R |
R1 |
Yield % |
M. P. [a] |
Mol. formula |
Analysis (calcd/found %) |
|||
C |
H |
N |
Cl |
||||||
1 |
NH2 |
H |
78 |
188-190 [b] |
C21 H25 N5 O2 |
66.47 |
6.64 |
18.46 |
- |
2 |
OH |
H |
35 |
173-175 [c] |
C21 H24 N4 O3 |
66.30 |
6.36 |
14.73 |
- |
3 |
OH |
NO2 |
28 |
143-145 [c] |
C21 H23 N5 O5 |
59.29 |
5.45 |
16.46 |
- |
4 |
Cl |
H |
91 |
171-173 [b] |
C21 H23 N4 Cl O2 |
63.23 |
5.81 |
14.05 |
8.89 |
5 |
Cl |
NO2 |
82 |
148-150 [b] |
C21 H22 N5 Cl O4 |
56.82 |
5.00 |
15.78 |
7.99 |
6 |
Morph |
H |
86 |
154-156 [b] |
C25 H31 N5 O3 |
66.79 |
6.95 |
15.58 |
- |
7 |
Morph |
NO2 |
67 |
152-154 [b] |
C25 H30 N6 O5 |
60.72 |
6.11 |
16.99 |
- |
8 |
Pip |
H |
71 |
138-140 [d] |
C27 H34 N4 O2 |
72.62 |
7.67 |
12.55 |
- |
9 |
Pip |
NO2 |
66 |
137-139 [d] |
C27 H33 N5 O4 |
65.97 |
6.77 |
14.25 |
- |
10 |
Morph |
NH2 |
80 |
148-150 [d] |
C25 H32 N6 O3 |
64.63 |
6.94 |
18.09 |
- |
11 |
Pip |
NH2 |
74 |
138-140 [b] |
C27 H35 N5 O2 |
70.25 |
7.64 |
15.17 |
- |
[a] recrystallization solvent [b] toluene [c] separated by flash chromatography with EtOAc as solvent [d] petroleum ether 100-140 °C
Table 2: 1H-NMR Chemical shifts (δ PPM/TMS)

Comp. |
H3 |
H5 |
H6 |
C6H5 |
NH-(t) |
-CH2-(t) |
4’-OCH3 |
Morph |
Pip (m) |
Others (d) |
|||
H2' |
H3' |
H5' |
H6' |
||||||||||
1 |
7.47 |
6.47 (d) |
7.15 |
7.31 |
7.18 |
3.10 |
3.72 |
3.13,3.51 |
|
7.84 |
7.74 |
7.17 |
6.92 |
2 |
7.88 |
6.58 (d) |
7.48 |
7.25 |
7.25 |
3.22 |
3.58 |
3.41,3.63 |
|
7.85 |
7.83 |
7.25 |
6.75 |
3 |
7.98 |
8.35 (s) |
- |
7.68 |
7.32 |
3.21 |
3.54 |
3.38,3.49 |
|
7.93 |
7.96 |
7.18 |
6.87 |
4 |
8.15 |
6.32 (d) |
7.59 |
7.62 |
7.33 |
3.35 |
3.47 |
3.21,3.61 |
|
7.77 |
7.84 |
7.29 |
6.91 |
5 |
7.74 |
8.21 (s) |
- |
7.78 |
7.55 |
3.45 |
3.52 |
3.28,3.65 |
|
7.71 |
7.92 |
7.31 |
7.11 |
6 |
7.68 |
6.28 (d) |
7.11 |
7.84 |
7.41 |
3.41 |
3.55 |
3.30,3.55 |
|
7.93 |
7.74 |
7.14 |
6.65 |
7 |
6.81 |
8.19 (s) |
- |
7.59 |
7.35 |
3.49 |
3.63 |
3.24,3.48 |
|
7.91 |
7.62 |
7.28 |
6.84 |
8 |
7.68 |
6.18 (d) |
7.68 |
7.68 |
7.51 |
3.55 |
3.69 |
3.29,3.64 |
1.53,3.40 |
7.97 |
7.48 |
7.41 |
6.94 |
9 |
7.92 |
8.31 (s) |
- |
7.74 |
7.58 |
3.41 |
3.72 |
3.41,3.73 |
1.48,3.55 |
7.84 |
7.67 |
7.46 |
6.84 |
10 |
7.55 |
8.32 (s) |
- |
7.81 |
7.65 |
3.47 |
3.76 |
3.50,3.81 |
|
7.66 |
7.81 |
7.17 |
6.81 |
11 |
7.25 |
8.47 (s) |
- |
7.48 |
7.48 |
3.33 |
3.66 |
3.34,3.60 |
1.59,3.64 |
7.78 |
7.82 |
7.28 |
6.96 |
Preparation of 7-hydroxy-2-(4'-methoxybenzylamine)-4-morpholinomethyl-1,8-naphthyridine (2) and 7-hydroxy-6-nitro-2-(4'-methoxybenzylamine)-4-morpholinomethyl-1,8-naphthyridine (3)
To a solution of 1.0 mmole of 7-amino derivative (1) in 5 ml of concentrated sulfuric acid, sodium nitrite was added portion wise at-5 °C, after standing at room temperature for 1 h crushed ice was added and then concentrated ammonium hydroxide until pH about 5.0, the solid was collected by filtration and purified to give compound (2) and (3), table 1 and 2.
13C-NMR (CDCl3) δ compound (2), 55.80, 158.20, 114.36, 130.25, 132.58, 130.25, 114.28, 46.41, 159.89, 112.25, 148.25, 64.30, 55.70, 66.70, 66.70, 55.70, 100.80, 133.69, 114.67, 156.39, 147.25.
13C-NMR (CDCl3) δ compound (3), 55.80, 158.30, 114.21, 130.50, 132.64, 130.58, 114.36, 46.37, 159.37, 112.31, 148.80, 64.39, 55.70, 66.70, 66.70, 55.70, 101.52, 127.10, 137.90, 159.90, 153.90.
Preparation of the 7-chlor-2-(4'-methoxybenzylamine)-4-morpholinomethyl-1,8-naphthyridine (4) and 7-chlor-2-(4'-methoxy-benzylamine)-6-nitro-4-morpholinomethyl-1,8-naphthyridine (5)
A mixture of the appropriate hydroxyl-1,8-naphthyridine (2) or (3) (10 mmole), and POCl3 (15 ml) was heated at 90 °C for 45 min. After cooling, the solution obtained was treated with ice and H2O and alkalinized with concentrated NH4OH. The solid obtained (compound 4 or 5) was washed with H2O and purified by crystallization, table 1 and 2.
13C-NMR (CDCl3) δ compound (4), 55.80, 158.60, 130.25, 132.35, 130.25, 114.31, 46.60, 159.68, 112.34, 148.35, 64.30, 55.70, 66.70, 66.70, 55.70, 116.30, 137.67, 120.35, 148.98, 156.24.
13C-NMR (CDCl3) δ compound (5), 55.84, 156.25, 114.87, 130.28, 132.30, 130.54, 114.25, 46.40, 159.36, 112.70, 148.80, 64.32, 55.70, 66.70, 66.70, 55.70, 117.21, 131.30, 144.78, 145.35, 162.71.
Preparation of 2-(4'-methoxybenzylamine)-7-morpholino-4-morpholinomethyl-1,8-naphthyridine (6) and 2-(4'-methoxy-benzylamine)-6-nitro-7-morpholino-4-morpholinomethyl-1,8-naphthyridine (7)
A mixture of 7-chloro-2-(4'-methoxybenzylamine)-4-morpholino-methyl-1,8-naphthyridine (4) or 7-chloro-2-(4'-methoxybenzyl-amine)-6-nitro-4-morpholinomethyl-1,8-naphthyridine (5) (1 mmole) and morpholine (2 mmole) was heated in a sealed tube at 140 °C for 12 h, the resulting crude residue was treated with water and the solid was collected by filtration and purified by crystallization to obtain morpholino derivatives (6) or (7), table 1 and 2.
13C-NMR (CDCl3) δ compound (6), 55.87, 158.35, 114.10, 130.25, 132.25, 130.25, 114.25, 46.38, 159.58, 112.70, 148.25, 64.35, 55.70, 66.70, 66.70, 55.70, 106.90, 136.25, 109.95, 154.10, 155.10, 48.70, 66.30, 66.30, 48.70.
13C-NMR (CDCl3) δ compound (7), 55.80, 158.31, 114.10, 130.25, 132.25, 130.25, 114.10, 46.25, 159.00, 112.70, 148.80, 64.36, 55.70, 66.70, 66.70, 55.70, 107.36, 130.25, 129.68, 152.36, 161.25, 47.70, 66.30, 66.30, 47.70.
Preparation of 2-(4'-methoxybenzylamine)-7-(piperidin-1-yl)-4-morpholinomethyl-1,8-naphthyridine (8) and 2-(4'-methoxybenzylamine)-6-nitro-7-(piperidin-1-yl)-4-morpholinomethyl-1,8-naphthyridine (9)
A mixture of 7-chloro-2-(4'-methoxybenzylamine)-4-morpho-linomethyl-1,8-naphthyridine (4) or 7-chloro-2-(4'-methoxy-benzylamine)-6-nitro-4-morpholinomethyl-1,8-naphthy-ridine (5) (1 mmole) and piperidine (2 mmole) was heated in a sealed tube at 140 °C for 12 h, the resulting crude residue was treated with water and the solid was collected by filtration and purified by crystallization to obtain piperidine derivatives (8) or (9), table 1 and 2.
13C-NMR (CDCl3) δ compound (8), 55.87, 158.62, 114.36, 130.25, 132.58, 130.25, 114.87, 46.25, 159.36, 112.70, 148.80, 64.30, 55.70, 66.70, 66.70, 55.70, 106.91, 136.25, 109.95, 154.25, 155.12, 47.20, 25.50, 24.50, 25.51, 47.20.
13C-NMR (CDCl3) δ compound (9), 55.84, 158.61, 114.25, 130.25, 132.65, 130.54, 114.10, 46.41, 159.58, 112.70, 148.84, 64.30, 55.70, 66.70, 66.70, 55.70, 107.87, 130.30, 129.01, 152.80, 161.35, 51.70, 25.50, 24.50, 25.50, 51.70.
Preparation of 6-amino derivatives (10) and (11)
A solution of 1.1 mmoles of 6-nitro derivatives (7) or (9) in glacial acetic acid was hydrogenated in the presence of 30 mg of 10% palladium on charcoal at room temperature and at atmospheric pressure for 3 h.
The catalyst was filtered and the solvent evaporated to dryness in vacuo to give compound (10) or (11), which was purified by crystallization, table 1 and 2.
13C-NMR (CDCl3) δ compound (10), 55.80, 158.24, 114.21, 130.25, 132.25, 130.36, 114.25, 46.38, 159.98, 112.70, 148.84, 64.36, 55.70, 66.70, 66.70, 55.70, 107.84, 123.80, 132.58, 152.68, 144.32, 48.70, 66.30, 66.30, 48.70.
13C-NMR (CDCl3) δ compound (11), 55.81, 158.36, 114.10, 130.25, 132.36, 130.25, 114.10, 46.98, 159.68, 112.30, 148.91, 64.30, 55.70, 66.70, 66.70, 55.70, 107.25, 123.80, 132.25, 152.20, 52.70, 25.50, 24.50, 25.50, 52.70.
Biological evaluation
Minimum inhibitory concentration (MIC) determination
The 7H12 broth medium which contained [14]C-labeled substrate (palmitic acid) as a single source of carbon, was used in these studies. Growth of Mycobacterium tuberculosis H37Rv led to consumption of the substrate and release of [14]CO2 into the atmosphere above the medium in the sealed vial, and the BACTEC 460 TB (Johnston Laboratories, Towson, Md) was used to detect the amounts of [14]CO2 and recorded it as growth index (GI) [17]. Appropriate solutions of the studied compounds were added in a volume of 0.1 ml to vials containing 7H12 broth medium, to achieve the desired final concentrations. One 7H12 broth medium, inoculated with M. tuberculosis H37Rv that had reached a sufficient growth detected radiometrically (GI = 400–500) was used as an inoculum. 0.1 ml of this broth pretest vial was added undiluted and two drug-free controls were used; one vial was inoculated to match the drug-containing test vials, and the seconds was inoculated with a 1:100 dilution of the inoculum to represent 1% of the bacterial population of the other vials. The vials were incubated at 37 °C and the GI readings were recorded daily. The MIC was determined radiometrically in 7H12 broth medium. It was defined as the lowest concentration of the drug which produces, for 3 d, a daily GI increase and final GI reading lower than those in the 1:100 controls, and corresponds to the daily concentration that resulted in>99% inhibition of the bacterial population growth.
Statistical analysis
All measurements were made in triplicate and each experiment was performed on two separate occasions; data are expressed as the mean±standard error of the mean (SEM). Differences were judged to be statistically significant when p value equal to or below 0.05. Statistical analysis was conducted using SPSS 11.5 statistical software.
RESULTS
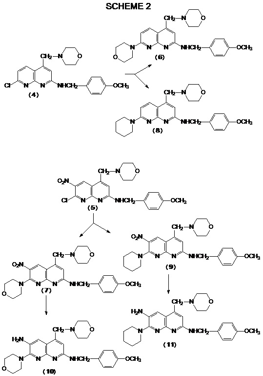
The synthetic pathways employed to prepare the new targeted derivatives are depicted in Schemes 1 and 2.
The 7-acetylamino-2-chloro-4-morpholinomethyl-1,8-naphthyridine (X) [18], was treated with 4-methoxy benzylamine to obtain 7-amino-2-(4'-methoxybenzylamine)-4-morpholinomethyl-1,8-naphthyridine (1), (scheme 1).

Scheme 1: Synthetic pathways of intermediate 1and target compounds 2–5
Diazotization of the 7-amino derivative (1) was effected with nitrous acid at-5 °C to get the 7-hydroxy-2-(4'-methoxybenzylamine)-4-morpholinomethyl-1,8-naphthyridine (2), and 7-hydroxy-2-(4'-methoxybenzylamine)-4-morpholinomethyl-6-nitro-1,8-naphthyrridine (3), (scheme 1). Introduction of lipophilic groups in position 7, of 1,8-naphthyridine nucleus such as morpholine, and piperidine was obtained by the treatment of 7-hydroxy derivative (2) and (3) with phosphoryl chloride to obtain the relative 7-chloro-2-(4'-methoxybenzylamine)-4-morpholinomethyl-1,8-naphthyridine (4), and 7-chloro-2-(4'-methoxy-benzylamine)-4-morpholino-methyl-6-nitro-1,8-naphthyridine (5), (scheme 1). Which were subsequently treated with morpholine to obtain 7-morpholino-2-(4'-methoxybenzylamine)-4-morpholinomethyl-1,8-naphthyridine (6) and 7-morpholino-2-(4'-methoxybenzylamine)-4-morpholinomethyl-6-nitro-1,8-naphthyridine (7), (scheme 1).
The treatment of 7-chloro derivatives (4) and (5) with piperidine, lead to 2-(4'-methoxybenzylamine)-4-morpholinomethyl-7-piperidinyl-1,8-naphthyridine (8), and 2-(4'-methoxybenzylamine)-4-morpho-linomethyl-6-nitro-7-piperidinyl-1,8-naphthyridine (9).
The 6-nitro derivatives (7) and (9) were reduced with palladium to 6-amino-2-(4'-methoxybenzylamine)-4-morpholinomethyl-7-morpholino-1,8-naphthyridine (10) and 6-amino-2-(4'-methoxy-benzylamine)-4-morpholinomethyl-7-piperidinyl-1,8-naphthyridine (11), (scheme 2).
All the newly synthesized compounds were evaluated for their in vitro anti-tuberculosis activity against Mycobacterium tuberculosis by use of the BACTEC analysis as part of a TAACF TB screening program.
The purpose of the screening program is to check the efficacy of the compound under test to inhibit the growth of M. tuberculosis H37Rv, according to the method described by Collins and franzblau [19]. Mycobacterium tuberculosis H37Rv, susceptible to all antitubercular drugs was preserved frozen before use.
Initial drug dilutions were prepared in dimethyl sulfoxide (DMSO) and stored in aliquots at-70 °C. From these stock solutions, working solutions were prepared in sterile distilled H2O and incorporated into 7H12 broth medium (Johnston Laboratories, Towson, Md).

Scheme 2: Synthetic pathways of intermediates 6,7,9 and target compounds 8,10,11
Primary screening was conducted at a single concentration, 7 µg/ml against Mycobacterium tuberculosis H37Rv in BACTEC 12B medium using a broth microdilution assay. Rifampicin was used as a reference drug due to his low MIC (0.25 µg/ml). Experiments were performed in triplicate, and results were consistent between the three samples.
Compounds effecting <90% inhibition in the primary screening were not generally evaluated further. The active compounds were re-tested by serial dilution beginning at 6.25 µg/ml against Mycobacterium tuberculosis H37Rv to determine the actual minimum inhibitory concentration (MIC) in BABTEC 460.
As shown in table 3, the synthesized compounds were assessed for their activities against Mycobacterium tuberculosis H37Rv in vitro. All the compounds (1-11) were active against the Mycobacterium tuberculosis with MIC in the range of 0.25-1.5 µg/ml, and the activity of most compounds showed MIC values lower than 0.6 µg/ml.
Compound 10 emerged as the most potent analogue with good antimycobacterial activity (MIC = 0.25 µg/ml). Compound 11 also possessed reasonable activity with a MIC value of 0.31 µg/ml.
Besides, derivatives 8, 9, 7, and 6 displayed moderate activity (MIC = 038-0.50 µg/ml). On the other hand, compounds 5, 4, 3, 2, and 1 exhibited modest antimycobacterial activity with MIC values ranging from 0.58 to 1.5 µg/ml. On the basis of the biological results, the most effective substituent in positions 7 seems to be the morpholine and piperidinyl group. Catalytic reduction of the nitro group in position 6 to the relative amino groups exhibited the highest activities in the series.
Table 3: MIC (µg) values against Mycobacterium tuberculosis H37Rv in vitro

| Comp. | R | R1 | MIC µg/ml |
| 1 | NH2 | H | 1.50±0.09 |
| 2 | OH | H | 0.90±0.06 |
| 3 | OH | NO2 | 0.70±0.03 |
| 4 | Cl | H | 0.73±0.05 |
| 5 | Cl | NO2 | 0.58±0.02 |
| 6 | Pip | H | 0.50±0.03 |
| 7 | Pip | NO2 | 0.45±0.04 |
| 8 | Morph | H | 0.38±0.02 |
| 9 | Morph | NO2 | 0.42±0.06 |
| 10 | Morph | NH2 | 0.25±0.04 |
| 11 | Pip | NH2 | 0.31±0.03 |
| Rifampicin | 0.25±0.06 |
All measurements were made in triplicate and each experiment was performed on two separate occasions, Values are mean±SEM (n=3), Morph: morpholine pip: piperidine.
DISCUSSION
The growing number of multidrug-resistant (MDR-TB) cases resulted in the need for the continuous discovery and development of new anti-tuberculosis entities. In this context, this paper focuses on the synthesis of potent compounds with minimum inhibitory concentration (MIC) in the micromolar range i.e., a very high activity when compared with our previously synthesized compounds which show an average MIC value of 6.25 µg/ml.
Naphthyridines constitute an important class of antibacterial agents, and upon the basis of this observation, we have reported the synthesis of a set of new 1,8-naphthyridines that were active against the M. tuberculosis H37Rv strain [20]. Among these compounds 2, 7-di-(piperidin-1-yl)-4-phenyl-1,8-naphthyridine appeared to have a good activity with MIC of 6.25 µg/ml [15]. Thus, as an extension of our research, we designed and synthesized a series of novel 1,8-naphthyridine derivatives which are of great potential interest that would be expected to provide highly desirable intermediates for the synthesis of new drug candidates.
The discovery of various anti-tuberculosis drugs is based on the growth susceptibility to drug treatment. We have used the sophisticated BACTEC liquid broth growing technique to monitor the growth inhibition of M. tuberculosis H37Rv by eleven of our candidate drugs and the acquisition of MIC values against M. tuberculosis. Results of the biological assay clearly indicate that the compounds containing 6-amino-morpholinyl substituents are more potent than their corresponding 6-amino-piperidinyl series. The most prominent compound 6-amino-2-(4'-methoxy benzylamine)-4-morpholinomethyl-7-morpholino-1,8-naphthyridine (10), exhibited activity comparable to that of the reference standard, rifampicin (MIC 0.25 µg/ml). However, we can note that the activities of compounds (6-11) having heterocyclic groups in position 7 such as morpholine and piperidine were quite different from those having an amine, hydroxy or chloro in position 7. Intriguingly, inhibitory concentrations of newly synthesized compounds were approximately four or more orders of magnitude lower than those determined for the previously synthesized 1,8-naphthyridine analogues. According to the literature [21] candidates for new drugs must have a MIC values lower than 6.25 µg/ml, as is indeed the case for all tested compounds.
This study could lead to greater molecular diversity in new 1,8-naphthyridines analogues, which are of great potential interest for the synthesis of new drug candidates. To the best of our knowledge, compounds (1-11) are herein reported for the first time. However, the ascertaining the therapeutic potential of this class of compounds as anti-mycobacterial agents still require an evaluation of most effective analogue 10 against drug-resistant strains of M. tuberculosis.
CONCLUSION
Several 4-morpholinomethyl-1.8-naphthyridine derivatives, variously modified were synthesized, and their antitubercular activities against Mycobacterium tuberculosis strain H37Rv were in vitro determined.
The obtained results indicated that the new 1,8-naphthyridine analogue (10) with a 6-amino-2-(4'-methoxybenzylamine-4-morpholinomethyl-7-morpholino-substituent was the most potent analogue of this series with MIC of 0.25 µg/ml and offers a promising new lead for further development.
ACKNOWLEDGMENT
This work was supported by the Deanship of Scientific Research, Jerash University.
CONFLICT OF INTERESTS
The authors declare that they have no conflict of interest.
REFERENCES
How to cite this article