Division of Crop Utilization, ICAR-Central Tuber Crops Research Institute, Sreekariyam, Thiruvananthapuram, Kerala, India. Pin 695017
Email: sreejyothi_in@yahoo.com
Received: 18 Jun 2014 Revised and Accepted: 01 Aug 2014
ABSTRACT
Objectives: The present study describes loading of curcumin onto cassava starch nanoparticles to improve its cellular absorption.
Methods: Cassava starch nanoparticles were prepared by acid hydrolysis. A solution of curcumin in acetone was mixed thoroughly with the starch nanoparticles suspension and the loading efficiency was determined. The loaded nanoparticles were characterized by transmission electron microscopy (TEM), Fourier transform infrared spectroscopy (FTIR), differential scanning calorimetry (DSC) and fluorescence spectra. Antioxidant activity of pure curcumin and curcumin loaded on nanostarch was studied. Cytotoxicity and cellular uptake of the curcumin were studied using L929 fibroblast cell lines.
Results: Curcumin was successfully loaded on starch nanoparticles as revealed by microscopic analyses. Antioxidant assay revealed that antioxidant activity was on par for pure curcumin and loaded curcumin as observed from the EC50 values. The result of cytotoxicity showed that curcumin incorporated starch nanoparticles were non-toxic to normal cells. The cellular absorption of curcumin, which was loaded on starch nanoparticles was significantly higher than that of pure curcumin.
Conclusion: Curcumin loaded on starch nanoparticles exhibited improved cellular absorption with non-toxicity and hence it can be potentially used in various pharmaceutical applications.
Keywords: Nanostarch, Curcumin, TEM, Cellular absorption, Cytotoxicity, Antioxidant activity.
INTRODUCTION
Curcumin is a hydrophobic polyphenolic compound present in the rhizomes of Curcuma longa L, commonly known as Turmeric. It is also present in some other species of Curcuma such as Curcuma Zedoaria. Turmeric is an important ingredient in the Indian system of medicine called Ayurveda and is also commonly used as a spice and food preservative. Curcumin has numerous biological properties which include antioxidant, antimicrobial, anti-carcinogenic and anti-inflammatory activities [1-4]. In spite of the numerous bioactive and therapeutic properties as well as its clinically proven safety even at large doses, pharmaceutical role of curcumin is limited due to the poor water solubility and relatively low in vivo bioavailability. Several approaches have been proposed to overcome these limitations of curcumin; the most important ones being its encapsulation on nanoparticles, liposomes, hydrogels etc [5] and solid dispersion technology [6,7]. Two phenolic rings and active methylene groups in curcumin are potential sites to conjugate any bio macromolecules onto it.
Large drug crystals have poor absorption properties, whereas smaller particles (micro-nanometer) result in rapid dissolution and bioavailability. Yallapu et al., (2012) have reviewed the various types of curcumin nanoformulations used in cancer therapeutics and they have highlighted them as future nanomedicine for cancer [8]. For pharmaceutical applications, the cytotoxicity of the matrix is also very important. The cytotoxicity studies of curcumin in various cell lines were reported and the studies revealed that upto a particular concentration, curcumin is nontoxic to normal cells and at the same time it is toxic to cancer cells [9-13].
Without any change in the biological activities like anticancer, antioxidant activities etc, the incorporation of curcumin into various matrices is a difficult task. In an effort to create a safe carrier, several different types of poly(lactic-co-glycolic acid) (PLGA) nanoparticles for curcumin encapsulation have been explored and a simple solid–oil–water solvent evaporation method has been used to prepare curcumin-encapsulated PLGA NPs [14]. Solvent evaporation method was designed to regulate the curcumin-encapsulated PLGA NPs through a lower particle size, enhanced intracellular uptake and antibody conjugation features [8]. The development of surface-modified PLGA NPs with a thiolated chitosan was studied by Grabovac and Bernkop [15].
Curcumin encapsulated in dextran sulfate–chitosan NPs were prepared and the cellular uptake was studied using a spectrophotometric method in L929, MCF-7, PC-3 and MG 63 cells [16]. A cytotoxicity assay and fluorescence-activated cell sorting (FACS) study suggested that anticancer activity of this formulation was high in MCF-7 compared with other cancer cells. Co-encapsulation of curcumin and doxorubicin in polymer NPs enabled multi drug resistance cancer cells (K-562 cells) to be treated more effectively [17]. A patented technology described the synthesis of curcumin-encapsulated chitosan NPs which were proved to be safe in rat studies [18].
Starch, being a natural polymer which is abundant, biodegradable, biocompatible and non-toxic, it can be an effective and safe material for the encapsulation of curcumin for pharmaceutical and food applications. There are some reports on the encapsulation of curcumin on starch based matrices [19,20]. The use of cassava starch nanoparticles for the incorporation of curcumin has been reported by Rajeswari et al., (2011) [21] and preparation of nanoemulsion based on curcumin and sago starch was reported by Chin et al., (2014). However, reports on the activity and bioavailability of nanostarch loaded curcumin are scanty.
The objective of the present study was to enhance the utilization potential of curcumin in pharmaceutical preparations by loading it on cassava starch nanoparticles for improved cell availability and also to study the effect of loading on the antioxidant activity and cell toxicity of curcumin.
MATERIALS AND METHODS
Materials
Cassava starch was extracted from a variety, H-165 according to a reported procedure [22]. Curcumin was purchased from Himedia Laboratories (Mumbai, India) and all other chemicals used were of analytical grade.
Methods
Preparation of cassava starch nanoparticles
Cassava starch was subjected to acid hydrolysis according to the procedure of Angellier et al., [23]. Briefly, 5g of cassava starch was weighed out into a 100 mL Erlenmeyer flask and 50 mL of 3.16M sulphuric acid solution was added to it. The flasks were kept under shaking at a speed of 100 rpm at a temperature of 30±2oC for five days. The starch nanoparticles were filtered through a Millipore filter having a pore size of 220 nm.
Loading of curcumin on starch nanoparticles
The loading of curcumin on starch nanoparticles was performed as follows [21]: To the cassava starch nanosuspension, curcumin dissolved in acetone (30mg in 5 mL) was added with continuous stirring. The resulting solution was centrifuged and washed with methanol to remove any free curcumin until the filtrate became colourless. The product obtained was air dried.
Loading efficiency of curcumin
The loading efficiency of curcumin on starch nanoparticles was calculated as per a reported procedure [24]. Curcumin incorporated starch nanoparticles prepared as described in the previous section, were collected by centrifugation.
The filtrate was collected and the curcumin present in it was quantified spectrophotometrically. From the free curcumin available in the supernatant, the entrapped curcumin was calculated and was expressed as loading efficiency.

FTIR analysis
The vibrational spectra of the compounds were taken from a Perkin Elmer FTIR spectrometer (Spectrum RX1, Perkin Elmer, Norwalk, CT, USA). The spectra were recorded in the wave number range 400-4000 cm-1using a diffused reflectance accessory (DRA) and the background spectrum was that of KBr.
Scanning electron microscopy (SEM)
The ultra structure of the samples was studied using a scanning electron microscope (JEOL/EO model JSM-6390, JEOL, Tokyo, Japan) at 15 KV.
Fluorescence spectra
The fluorescence spectra of the samples were taken by using a FluoroLog-3 spectro fluorometer (Horiba Scientific, Japan). The pure curcumin and curcumin loaded nanostarch samples in water were excited at a wavelength of 400 nm. The spectra were obtained in the wavelength region of 400 nm to 650 nm.
Transmission electron microscopy (TEM)
The TEM images of starch nanoparticles and the curcumin loaded nanoparticles were obtained using a Jeol 1001 Transmission electron microscope (Jeol Ltd., Japan) operating at 80 KV accelerating voltage.
Differential scanning calorimetry (DSC)
The DSC analysis of the samples was carried out on a Mettler Toledo DSC instrument (DSC 22e, Mettler Schcoerfenbach, Switzerland). The melting temperature of curcumin, nanostarch and curcumin incorporated starch nanoparticles was recorded by heating 5mg of each sample in a DSC aluminium pan from 30 to 300oC at a rate of 20oC/min and cooling back to 30oC at the same rate. An empty aluminium pan was used as reference. The melting temperature (Tm) and enthalpy of melting (ΔH) were recorded and the determinations were done in triplicate.
X-Ray diffraction studies
The powder X-ray diffraction patterns of the samples were recorded using a Bruker X-ray diffractometer (Model D8 Advance, Bruker AXS Inc., Madison, W1 USA) with Cu Kα radiation (λ = 0.15406 nm).
DPPH assay
The antioxidant activity of the samples was studied by DPPH assay [25]. The initial concentration of 2,2-diphenyl-1-picrylhydrazyl (DPPH) was set as 10-2 mmol in the assay. The result was interpreted in terms of EC50 values, which is the amount of antioxidant necessary to decrease the initial concentration of DPPH by 50%. The percentage of DPPH inhibited by the antioxidant at a particular time was calculated as follows:
% Inhibition of DPPH = [(Abc-Abs)/Abc] ×100
Where, Abc and Abs were the absorbance of the control and the sample respectively.
Cytotoxicity study
L929 fibroblast cell lines were purchased from National Center for Cell Science (Pune, India) and was maintained in Dulbecco’s modified eagles media (Mumbai, India) supplemented with 10% FBS (Invitrogen) and grown to confluency at 37°C in 5% CO2 in a humidified atmosphere in a CO2 incubator (NBS, Eppendorf, Germany). The cells were trypsinized (500 µl of 0.025% Trypsin in phosphate buffer (PBS)/0.5 mM EDTA solution (Himedia)) for 2 minutes and passed to T-flasks in complete aseptic conditions. Extracts were added to grown cells at a concentration of 10µg and 50µg from a stock of 10mg/ml and incubated for 24 hours. The % difference in cell viability was determined by standard MTT assay after 24 hours of incubation. The cell culture suspension was washed with 1×PBS and then added 30 µl of MTT solution to the culture (MTT-5mg/ml dissolved in PBS). It was then incubated at 37°C for 3 hours. MTT was removed by washing with 1×PBS and 200 µl of DMSO was added to the culture. Incubation was done at room temperature for 30 minutes until the cell got lysed and colour was obtained. The solution was transferred to centrifuge tubes and centrifuged for 2 minutes to precipitate cell debris [26]
The percentage cell viability was calculated as follows:

Cellular uptake
The cellular uptake of curcumin was studied in L929 fibroblast cell lines. The cells were incubated with media containing native curcumin and curcumin incorporated starch nanoparticles with a concentration similar to that used for cytotoxicity studies. After 24h, the cells were taken out from the media, washed with phosphate buffer, dried and then images were taken by using a fluorescent microscope.
RESULTS AND DISCUSSION
Loading efficiency
The loading efficiency of curcumin on cassava starch nanoparticles was found to be quite high and it was 66.57%. According to earlier studies, it was found that the loading efficiency of curcumin on nanoparticles was higher than that in other matrices [5,27,28]. The loading efficiency of curcumin in sunflower oil/ethanol microemulsion was 48% (Chin et al., 2014), whereas it was 68.2% when loaded on transfer some designed for transdermal delivery [24]. Encapsulation efficiency of 61.67% was obtained when curcumin was loaded on pluronic 127 and chitosan nanoparticles [29].
FTIR analysis
The FTIR spectra of curcumin, nanostarch and curcumin incorporated nanostarch are presented in Figure 1. The spectrum of nanostarch was found to be similar to that of native cassava starch, in which all the typical absorption peaks were present. For nanostarch, the peak at 3373 cm-1 indicated the -OH stretching frequency and the absorption band at 1116 cm-1 represents the -C-O- stretching on the polysaccharide skeleton. In the case of curcumin incorporated nanostarch, the broad peak around 3400 cm-1 indicates the stretching of hydrogen bonded -OH groups. In the FTIR spectrum of curcumin, the functional groups such as hydroxyl group, carbonyl group and the ethylene group showed peaks at 3509 cm-1, 1600-1650 cm-1 and 1510 cm-1respectively. For the curcumin incorporated nanostarch, the peaks corresponding to these functional groups were observed at 3500-3200 cm-1, 1629 cm-1 and 1508 cm-1 respectively, which indicates that the major peaks of curcumin were retained in the case of curcumin incorporated nanostarch also. In the spectrum of curcumin, the peaks at 725 cm-1, 817 cm-1and 967 cm-1 indicated the bending vibrations of -CH bond of alkene group [30]. In the case of curcumin incorporated nanostarch also, these peaks were observed in the same region. Both curcumin and curcumin incorporated starch nanoparticles showed a peak around 1250 cm-1, which corresponds to the C-O stretching frequency of ether group in curcumin [31, 32]. The peak intensity was almost similar for nanostarch loaded curcumin and pure curcumin. The absorption around 1500-1400 cm-1 indicated the –C-O elongation frequency of –OH groups in curcumin and curcumin incorporated nanostarch [30]. Our results are in agreement with the reports of Singh et al., 2013 and Krishna Mohan et al., 2012 [33, 34].

Fig. 1: FTIR spectra of (a) nanostarch, (b) curcumin loaded on nanostarch and (c) pure curcumin
Scanning electron microscopy (SEM)
The SEM images of curcumin and curcumin loaded nanostarch are presented in Figure 2. Curcumin was found to have flat rod like structure and the edges of the particles were clearly distinguished and uniform. This was in agreement with earlier reports of Sav et al., (2012) and Aneef et al., (2012) [35, 36]. In the case of curcumin loaded nanostarch samples, two phases were visible and appeared as crystals with a smaller particle size compared to the native curcumin. Here also, the curcumin particles appeared flat and rod shaped, but in very small sizes. The granularity of starch was found to be retained and the starch nanoparticles were visible in association with curcumin particles in a well dispersed condition. A new solid phase formation during the addition of curcumin into starch nanosuspension was observed in earlier studies also [32].

Fig. 2: SEM images of (a) pure curcumin and (b) curcumin loaded on nanostarch
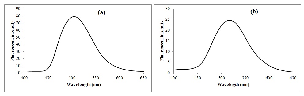
Fluorescence spectra
To understand the incorporation of curcumin in nanostarch, the fluorescence emission spectra were taken at an excitation wavelength of 400 nm (Figure 3). Native curcumin and curcumin loaded starch nanoparticles showed an excitation spectrum at the same wavelength, but with change in peak intensity. The peak intensity of the curcumin incorporated nanostarch was greater than that of curcumin alone. In aqueous medium, the higher intensity of the excitation spectra obtained for curcumin incorporated nanostarch indicated that more number of curcumin molecules were available in the medium. The result was similar to that reported by Rajeswari et al., (2011), Yu et al., (2010) and Chin et al., (2014) [38].

Fig. 3: Emission spectra of (a) curcumin loaded on nanostarch and (b) pure curcumin
TEM analysis
The TEM images of starch nanoparticles as well as curcumin loaded nanoparticles are shown in Figure 4. The starch nanoparticles were spherical in shape and most of the particles have a size range of 20-50 nm. The loading of curcumin on nanostarch resulted in an increase in particles size, which was found to be in the range of 50-200 nm. The curcumin incorporated nanoparticles were also spherical in shape. In a recent study, Chin et al., (2014) also observed that the mean particle size of curcumin loaded starch nanoparticles were observed in the range 50-80 nm [39].

Fig. 4: TEM images of (a) nanostarch and (b) curcumin incorporated nanostarch
Thermal Studies
DSC analysis supports the incorporation of curcumin into starch nanoparticles. The DSC patterns of pure curcumin, nanostarch and curcumin loaded nanostarch are presented in Figure 5. The melting peak of curcumin was observed at 183.57oC with an enthalpy of fusion of 164.7J/g and for nanostarch the melting temperature and enthalpy were 162.12oC and 160.7J/g respectively. Two melting peaks were observed in the case of curcumin incorporated nanostarch. The peak at 167.54oC corresponds to the melting temperature of nanostarch and that at 177.89oC corresponds to that of curcumin. The enthalpy of fusion was 162.9 and 177.9J/g respectively. The melting temperature of nanostarch increased and that of curcumin decreased slightly during incorporation, whereas enthalpy of fusion increased in both cases. The melting peak for curcumin reduced in intensity in the nanostarch loaded sample indicating the existence of major interaction between curcumin and nanostarch in the loaded sample.

Fig. 5: DSC melting curves of (a) pure curcumin, (b) curcumin incorporated nanostarch and (c) nanostarch
X-ray diffraction analysis
The XRD patterns of pure curcumin, nanostarch and curcumin incorporated starch nanoparticles are represented in Figure 6. The percentage crystallinity of curcumin was 78.6% and that of nanostarch was 59.36%. The broad XRD pattern of nanostarch below 30oindicates its semi-crystalline nature. The crystallinity of curcumin was not much altered during incorporation into starch nanoparticles. The percentage crystallinity of curcumin incorporated nanostarch was found to be 78.31%. The major peaks of curcumin were observed at angles 14.56, 17.16 and 21.05°. It was in agreement with the findings of Mallik et al., (2011) [40]. The major peaks of nanostarch were observed at angles 17.06 and a doublet around 22°. For curcumin loaded nanostarch, the absorption peaks were found at diffraction angles of 13.71, 17.89, 23.07 and 26.34°. Hence, the peaks of both curcumin and nanostarch were present in the loaded sample indicating the successful incorporation of both.

Fig. 6: X-ray diffraction patterns of (a) pure curcumin, (b) nanostarch and (c) curcumin incorporated nanostarch
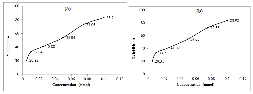
Antioxidant activity
Antioxidant activity of curcumin and curcumin loaded starch nanoparticles was studied by DPPH assay and the results are presented in Figure 7. Both curcumin and curcumin incorporated nanostarch showed almost similar activity. The EC-50 values obtained for curcumin was 0.045 mmol, which is in agreement with the report of Asouri et al., (2013) [41]. For curcumin incorporated starch nanoparticles, the EC-50 was 0.042 mmol. The results showed that loading of curcumin on nanostarch particles did not alter the antioxidant activity potential of the former.

Fig. 7: Percentage inhibition of DPPH (10-2 mmol) at various concentrations of (a) curcumin and (b) nanostarch loaded curcumin
Cytotoxicity study
The optical density and percentage viability of the fibroblastic L929 cells after incubation with curcumin and curcumin incorporated starch nanoparticles at different concentrations are presented in Table 1. The data showed that both curcumin and curcumin incorporated starch nanoparticles were non-toxic to normal cells. At concentrations of 10 and 50µg/ml of curcumin, the percentage viability of cells was 89.90 and 55.52%, respectively, while that of curcumin incorporated starch nanoparticles with the same concentration, it was 89.35 and 55.85 %, respectively. In both cases, the percentage viability of the normal cells was greater than 50%, which means that both are non-toxic to normal L929 fibroblastic cells. Therefore, nanostarch loaded curcumin can be safely used for pharmaceutical applications.

Fig. 8: Fluorescence images of L929 cell lines at 24h of incubation with (a) pure curcumin, (b) curcumin incorporated nanostarch and (c) untreated cells
Table 1: Percentage cell viability in L929 cell lines treated with native curcumin and curcumin loaded nanostarch
Sample |
% Cell viability at a concentration of |
|
10 µg/ml |
50 µg/ml |
|
Curcumin incorporated starch nanoparticles |
89.35 |
55.85 |
Pure curcumin |
88.90 |
55.52 |
Cellular uptake studies
The cellular uptake of curcumin and curcumin incorporated nanostarch was carried out using L929 fibroblastic cells by fluorescent imaging. A significant increase in cellular uptake of curcumin was observed by the nanostarch loaded sample as seen from the fluorescent images (Figure 8). It was observed that after 24h of incubation with the cell lines, the fluorescence obtained for the sample treated with curcumin loaded on nanostarch was higher than that of native curcumin, which implies that the uptake of curcumin by cells was higher in the former case.
This observation was in agreement with earlier reports of Anitha et al., (2011), Mohanty et al., (2010) and Bisht et al., (2007) [16,42,11]. Therefore, loading on nanostarch was found to be a safe and effective tool for increasing the bioavailability of curcumin [16,42].
CONCLUSION
Curcumin was successfully loaded on cassava starch nanoparticles prepared by acid hydrolysis, in order to increase its bioavailability. The loaded nanoparticles were characterized by TEM and SEM analysis. Emission spectra showed an increase in fluorescence intensity at 490 nm for the curcumin incorporated starch nanoparticles in comparison to that of native curcumin. FTIR and DSC analyses confirmed the curcumin incorporation in starch nanoparticles. Antioxidant activity determined by DPPH assay showed that it was on par for the native curcumin and nanostarch loaded curcumin. The curcumin incorporated starch nanoparticles were found to be non-toxic to L929 fibroblastic cells. The cellular uptake was significantly higher in the case of loaded curcumin and hence it can be safely used for pharmaceutical applications.
CONFLICT OF INTEREST
I hereby state that no conflict of interest exists between me and the co-author of this manuscript.
Geetha. K. Athira
I hereby states that no conflict of interest exists between me and the first author of this manuscript.
A. N. Jyothi
ACKNOWLEDGEMENT
The first author wishes to acknowledge the financial support provided by Kerala State Council for Science Technology and Environment (KSCSTE) for carrying out this research work, Sophisticated Test and Instrumentation Centre (STIC), Cochin University of Science and Technology, Kochi, for the SEM and XRD analysis and Biogenix Research Center for cellular studies.
REFERENCES