
Department of Pharmaceutical Chemistry, B N Institute of Pharmaceutical Sciences, Sevashram Road, Udaipur, Rajasthan, India, 313001
Email: mona30mph@gmail.com
Received: 24 Jun 2016 Revised and Accepted: 12 Aug 2016
ABSTRACT
Objective: The objective of this research was to synthesize and evaluate anti-microbial properties of 1-(6-nitro-2H-benzo[b][1,4]thiazine-3(4H)-ylidene)hydrazine-1,1-dioxide derivatives.
Methods: These new compounds were synthesized by reaction of 2H-benzo[b][1,4]thiazin-3(4H)-one with hydrazine derivatives and oxidized at the sulfur atom by 30% hydrogen peroxide to obtain sulfones. All the synthesized compounds were evaluated for antimicrobial activity using the disc diffusion method.
Results: The FTIR, 1HNMR, 13CNMR and Mass studies confirms the synthesis of some new 1-(6-nitro-2H-benzo[b][1,4]thiazine-3(4H)-ylidene) hydrazine-1,1-dioxide derivatives. Compound 5f showed potent antimicrobial activity whereas compounds 5c and 5e showed moderate antimicrobial activity.
Conclusion: Result obtained in this research work clearly indicated that the compound 5f having methyl at 2 position and nitro groups at 2′ and 4′ position showed the most potent antimicrobial activity.
Keywords: 1,4-Benzothiazines, Sulfones, Hydrazines, Anti-microbial activity
© 2016 The Authors. Published by Innovare Academic Sciences Pvt Ltd. This is an open access article under the CC BY license (http://creativecommons. org/licenses/by/4. 0/)
DOI: http://dx.doi.org/10.22159/ijpps.2016v8i10.13673
INTRODUCTION
1,4-Benzothiazines constitute an important class of heterocyclic organic compounds containing 1,4-thiazine ring fused to a benzene ring. 1,4-Benzothiazine derivatives play an important role in the synthetic chemistry because of their unique chemical, physical and biological properties [1-6]. In particular, the synthesis of 1,4-benzothiazines and their sulfone derivatives has attracted tremendous interest evidenced by a large number of publications [7-9]. The oxidation of sulfide linkage in 1,4-benzothiazines to dioxide leads to an important class of heterocyclic sulfones not only from the medicinal and industrial point of view but also from structural aspects. Conversion of benzothiazine into sulfone has provided an opportunity to study the changes in infrared and nuclear magnetic resonance spectra caused by the conversion of the sulfide linkage to sulfones.
In the worldwide as well as in the developing countries, the most human death occurs due to infectious bacterial disease [10]. Drug resistance in human pathogenic microbes has developed due to the indiscriminate use of the commercial antimicrobial drugs for the treatment of the infectious disease. Drug resistance is the major hurdle of this era which is leading towards mortality and morbidity [11]. This condition has forced to the researcher to search for the new anti-microbial substance which is more effective and having lesser side effect with improved physical properties. With the aim of developing a new class of effective antimicrobial drugs, several 1-(6-nitro-2H-benzo[b][1,4]thiazin-3(4H)-ylidene) hydrazine-1,1-dioxide derivatives 5a-f were synthesized. The newly synthesized compounds have been screened for antibacterial and antifungal activity by disc diffusion method [12].
MaterialS and methods
Chemistry
All the chemicals used in the study were of analytical grade. Melting points were determined in open capillary tubes and are uncorrected. The purity of the compounds was checked by thin layer chromatography on silica gel plates with a 0.2 mm thickness. Compounds were powdered, mixed with KBr at 1% concentration and pressed into pellets before IR spectra be recorded on Bruker FT/IR Vertex spectrometer. 1H-and 13C-NMR spectra were recorded on a Bruker Avance II 400-NMR spectrometer using DMSO-d6 as a solvent, TMS as an internal standard and the chemical shifts (δ) are expressed in parts per million (ppm), and coupling constants (J) are given in hertz (Hz). The Mass spectra were recorded on a Waters, Q-TOF MS-ES spectrometer. Elemental analysis was done on Carlo Erba 1108 Elemental analyzer.
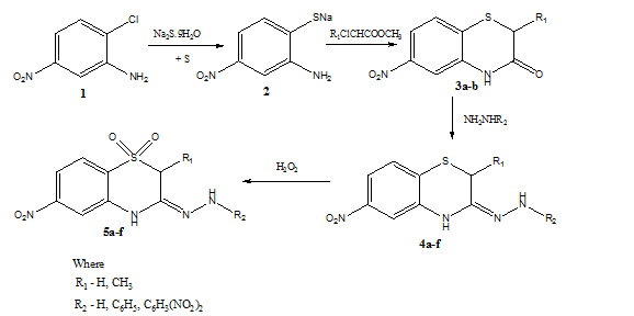
The synthesis of compounds 5a-f started from the treatment of 2-chloro-5-nitro-aniline 1 with sodium sulfide and sulfur gave Sodium-2-amino-4-nitrobenzenethiol 2, which was cyclized with β-heloesters in ethanolic solution [13,14] to yield 6-nitro-2H-benzo[b][1,4]thiazin-3(4H)-one derivatives 3a-b. Compounds 3a-b were refluxed with some nitrogen containing nucleophilic hydrazines in methanol [15] to yield 1-(6-nitro-2H-benzo[b][1,4]thiazine-3-yl)hydrazines 4a-f. The further step, i.e. the oxidation of the sulfur, was usually performed with 30% hydrogen peroxide in glacial acetic acid [7] to produce their sulfones 5a-f. The synthesis, physical and analytical properties of compound 2 and 3a have been previously described in references [14, 16].
Synthesis of 2-methyl-6-nitro-2-H-benzo[b][1,4]thiazin-3-one (3b)
Sodium-2-amino-4-nitrobenzenethiol (1.2 gm, 0.01 mol) (2) and methyl-2-chloropropionate (1.1 gm, 0.01 mol) was dissolved in 30 ml ethanol. 5 ml of 10% NaOH was added and refluxed for 3 h. Product was poured in ice, washed with water and recrystallized from ethanol to obtain compound 3b. Light yellow crystal, yield, 93%; m. p. 174-175 °C; Rf, 0.89 (toluene-ethyl acetate, 7:5); UV (DMSO) λmax (log Ɛ) 346 (4.66) nm; IR (υ cm-1): 3360, 2924, 1671, 1578, 1392, 650;1H-NMR (δ ppm, DMSO-d6): 1.5 (d, 3H, J=7 Hz, CH-CH3), 3.7 (q, 1H, H-2), 7.6 (d, 1H, J=8.4 Hz, H-8), 7.9 (dd, 1H, J=8.6 and 2.2 Hz, H-7), 8.1(d, 1H, J=2.4 Hz, H-5), 10.95 (s, 1H, NH); 13C-NMR(δ ppm, DMSO-d6): 19.9 (CH3, CH-CH3), 50.5 (CH, C-2), 115.7 (CH, C-5), 116.9 (CH, C-7), 127.9 (CH, C-8), 131.4 (C, C-9), 143.3 (C, C-10), 145.0 (C, C-6), 169.4 (C, C-3); ESMS m/z (%): 224 (55), 195 (38), 181 (100), 143 (24), 95 (12). Anal. calcd for C9H8N2O3S: C, 48.21; H, 3.60; N, 12.49; S, 14.30. Found: C, 48.23; H, 3.58; N, 12.53; S, 14.31.
General method for the synthesis of compounds 4a-f
2-Substituted-6-nitro-benzo[b][1,4]thiazin-3(4H)-one (3a-b) (0.01 mol) and hydrazine derivative (0.01 mol) was dissolved in 15 ml methanol. Then 10 ml conc. HCl was added into reaction mixture and heated on a steam bath at 70-80 °C for 2 h. The reaction mixture was concentrated and cooled in an ice bath.
1-(6-Nitro-2H-benzo [b][1,4]thiazin-3(4H)-ylidene)hydrazine (4a)
The title compound was prepared from 6-nitro-2H-benzo [b][1,4]thiazin-3(4H)-one (3a) and hydrazine hydrate. Product was extracted with cyclohexane (3x50 ml) and purified by column chromatography on silica gel with a mixture of toluene-ethyl acetate (8:2) as eluent. Light yellow oil; yield, 51%; Rf, 0.68 (benzene-acetone, 1:3); UV (DMSO) λmax (log Ɛ) 222 (4.14) nm; IR (υ cm-1): 3192, 2904, 1701, 1575, 1362, 1024, 644;1H-NMR (δ ppm, DMSO-d6, 400 MHz): 2.81 (s, 2H, H-2), 7.19 (1H, d, J=2.5 Hz, H-5), 7.29 (1H, d, J=8.6 Hz, H-8), 7.45 (1H, dd, J=2.5, 8.6 Hz, H-7), 8.23 (s, 2H, NH2), 10.77 (s, 1H, NH); 13C-NMR (δ ppm, DMSO-d6, 100 MHz): 33.5 (CH2, C-2), 110.6 (CH, C-5), 111.8 (CH, C-7), 126.3 (C, C-9), 128.6 (CH, C-8), 145.7 (C, C-10), 149.6 (C, C-6), 154.7 (C, C-3); ESMS m/z (%): 224 (11), 185 (39), 150 (24), 124 (100), 88 (11), 74(5); Anal. calcd for C8H8N4O2S: C, 42.85; H, 3.60; N, 24.99; S, 14.30. Found: C, 42.83; H, 3.64; N, 24.96; S, 14.32.
1-(6-Nitro-2H-benzo[b][1,4]thiazin-3(4H)-ylidene)-2-phenyl-hydrazine (4b)
The title compound was prepared from 6-nitro-2H-benzo [b][1,4]thiazin-3(4H)-one (3a) and phenyl hydrazine hydrochloride and recrystallized from ethanol. Light brown crystals; yield, 71%; m. p. 148-150 °C; Rf, 0.66 (benzene-acetone, 1:3); UV (DMSO) λmax (log Ɛ) 206 (4.23) nm; IR (υ cm-1): 3148, 2898, 1700, 1523, 1434, 1118, 644; 1H-NMR (δ ppm, DMSO-d6, 400 MHz): 2.81 (s, 2H, H-2), 6.45 (2H, dd, J=1.6, J=8.5 Hz, H-2’,6’), 6.65-7.19 (3H, m, H-3’, H-4’, H-5’), 7.19 (1H, d, J=8.6 Hz, H-8), 7.29 (1H, d, J=2.5 Hz, H-5), 7.45 (1H, dd, J=2.5, 8.6 Hz, H-7), 10.40 (s, 1H, NH), 10.73 (s, 1H, NH-4); 13C-NMR (δ ppm, DMSO-d6, 100 MHz): 33.5 (CH2, C-2), 110.5 (CH, C-5), 111.7 (CH, C-7), 116.3 (CH, C-2’, C-6’), 118.8 (C, C-4’), 126.2 (C, C-9), 127.8 (CH, C-8), 129.7 (CH, C-3’, C-5’), 147.1 (C, C-1’), 148.2 (C, C-10), 153.3 (C, C-3, C-6); ESMS m/z (%): 300 (14), 261 (7), 212 (11), 186 (39), 150 (24), 136 (100), 122 (12). Anal. calcd for C14H12N4O2S: C, 55.99; H, 4.03; N, 18.65; S, 10.68. Found: C, 55.96; H, 4.06; N, 18.68; S, 10.66.
1-(6-Nitro-2H-benzo[b][1,4]thiazin-3(4H)-ylidene)-2-(2,4-dinitrophenyl) hydrazine (4c)
The title compound was prepared from 6-nitro-2H-benzo[b] [1,4]thiazin-3(4H)-one (3a) and 2,4-m-dinitrophenyl hydrazine and recrystallized from ethanol. Yellow crystal; yield, 83%; m. p. 198-200 °C; Rf, value: 0.68 (benzene-acetone, 1:3); UV (DMSO) λmax (log Ɛ) 211 (4.14) nm; IR (υ cm-1): 3315, 1660, 1577, 1379, 1242, 1056;1H-NMR (δ ppm, DMSO-d6, 400 MHz): 2.81 (s, 2H, H-2), 7.20 (1H, d, J=8.6 Hz, H-8), 7.29 (1H, dd, J=2.5, 8.6 Hz, H-7), 7.45 (1H, d, J=2.5 Hz, H-5), 8.03 (1H, d, J=8.7 Hz, H-6’), 8.68 (1H, dd, J=2.6, 8.8 Hz, H-5’), 8.89 (1H, d, J=2.6 Hz, H-3’), 10.72 (s, 1H, NH-4), 11.34 (br, 1H, NH); 13C-NMR(δ ppm, DMSO-d6, 100 MHz): 33.3 (CH2, C-2), 110.4 (CH, C-5), 111.4 (CH, C-6’, C-7), 121.1 (CH, C-3’), 125.1 (C, C-9, C-2’), 127.0 (CH, C-5’), 128.7 (CH, C-8), 142.7 (C, C-4’), 147.4 (C, C-1’), 148.3 (C, C-10), 153.6 (C, C-3, C-6); ESMS m/z (%): 390 (10), 351 (38), 302 (44), 276 (25), 240 (100), 122 (8). Anal. calcd for C14H10N6O6S: C, 43.08; H, 2.58; N, 21.53; S, 8.21. Found: C, 43.05; H, 2.54; N, 21.57; S, 8.20.
1-(2-Methyl-6-nitro-2H-benzo[b][1,4]thiazin-3(4H)-ylidene)hydrazine (4d)
The title compound was prepared from 2-methyl-6-nitro-2H-benzo[b][1,4]thiazin-3(4H)-one (3b) and hydrazine hydrate. Product was extracted with cyclohexane (3x50 ml) and purified by column chromatography on silica gel with a mixture of toluene-ethyl acetate (8:2) as eluent. Light yellow oil; yield, 60%; Rf, 0.49 (toluene-ethylacetate 3:2); UV (DMSO) λmax (log Ɛ) 220 (4.47) nm; IR (υ cm-1): 3362, 3194, 1655, 1576, 1230, 1080; 1H-NMR (δ ppm, DMSO-d6, 400 MHz): 1.19 (d, 3H, J=7 Hz, CHCH3), 10.82 (s, 1H, NH), 2.53 (q, 1H, H-2), 7.20 (1H, d, J=8.6 Hz, H-8), 7.29 (1H, d, J=2.5 Hz, H-5), 7.45 (1H, dd, J=2.5, 8.6 Hz, H-7), 8.51 (s, 2H, NH2), 10.82 (s, 1H, NH); 13C-NMR (δ ppm, DMSO-d6, 100 MHz): 15.2 (CH3, CHCH3), 36.6 (CH, C-2), 110.7 (CH, C-5), 111.6 (CH, C-7), 126.3 (C, C-9), 128.0 (CH, C-8), 139.3 (C, C-10), 149.5 (C, C-6), 154.6 (C, C-3); ESMS m/z (%): 238 (16), 199 (39), 150 (100), 124 (11), 88 (55), 74(5); Anal. calcd for C9H10N4O2S: C, 45.37; H, 4.23; N, 23.51; S, 13.46. Found: C, 45.35; H, 4.25; N, 23.54; S, 13.43.
1-(2-Methyl-6-nitro-2H-benzo[b][1,4]thiazin-3(4H)-ylidene)-2-phenylhydrazine (4e)
The title compound was prepared from 2-methyl-6-nitro-2H-benzo[b][1,4]thiazin-3(4H)-one (3b) and phenyl hydrazine hydrochloride and recrystallized from ethanol. Brown crystals; yield, 75%; m. p. 135-137 °C; Rf, 0.54 (toluene-ethylacetate 3:2); UV (DMSO) λmax (log Ɛ) 204 (4.25) nm; IR (υ cm-1): 3362, 2941, 1692, 1523, 1359, 1245, 1062, 624;1H-NMR (δ ppm, DMSO-d6, 400 MHz): 1.20 (d, 3H, J=7 Hz, CHCH3), 2.74 (q, 1H, H-2), 6.47 (2H, dd, J=1.6, J=8.5 Hz, H-2′,6′), 6.58-7.07 (3H, m, H-3′, H-4′, H-5′), 7.20 (1H, d, J=8.6 Hz, H-8), 7.30 (1H, d, J=2.5 Hz, H-5), 7.45 (1H, dd, J=2.5, 8.6 Hz, H-7), 10.50 (s, 1H, NH), 10.94 (s, 1H, NH-4); 13C-NMR (δ ppm, DMSO-d6, 100 MHz): 15.3 (CH3, CHCH3), 36.9 (CH, C-2), 110.5 (CH, C-5), 111.6 (CH, C-7), 116.2 (CH, C-2′, C-6′), 118.8 (C, C-4′), 126.2 (C, C-9), 127.8 (CH, C-8), 129.6 (CH, C-3′, C-5′), 147.1 (C, C-1′), 148.0 (C, C-10), 150.4 (C, C-6), 154.4 (C, C-3); ESMS m/z (%): 314 (8), 275 (14), 226 (40), 200 (7), 164 (24), 136 (100), 122 (12). Anal. calcd for C15H14N4O2S: C, 57.31; H, 4.49; N, 17.82; S, 10.20. Found: C, 57.34; H, 4.46; N, 17.80; S, 10.22.
1-(2-Methyl-6-nitro-2H-benzo[b][1,4]thiazin-3(4H)-ylidene)-2-(2′,4′-dinitrophenyl)hydrazine (4f)
The title compound was prepared from 2-methyl-6-nitro-2H-benzo[b][1,4]thiazin-3(4H)-one (3b) and 2,4-dinitrophenyl hydrazine and recrystallized from ethanol. Orange crystals; yield, 85%; m. p. 108-110 °C; Rf, 0.86 (toluene-ethylacetate 3:2); UV (DMSO) λmax (log Ɛ) 234 (4.19) nm; IR (υ cm-1): 3294, 2924, 1687, 1585, 1422, 1044, 907;1H-NMR (δ ppm, DMSO-d6, 400 MHz): 1.21 (d, 3H, J=7 Hz, CHCH3), 2.77 (q, 1H, H-2), 7.19 (1H, d, J=8.6 Hz, H-8), 7.29 (1H, d, J=2.5 Hz, H-5), 7.45 (1H, dd, J=2.5, 8.6 Hz, H-7), 8.03 (1H, d, J=8.8 Hz, H-6′), 8.49 (1H, dd, J=2.6, 8.8 Hz, H-5′), 8.84 (1H, d, J=2.6 Hz, H-3′), 10.71 (s, 1H, NH-4), 11.27 (br, 1H, NH); 13C-NMR(δ ppm, DMSO-d6, 100 MHz): 15.2 (CH3, CHCH3), 36.2 (CH, C-2), 110.5 (CH, C-5), 111.6 (CH, C-6′, C-7), 120.7 (CH, C-3′), 126.7 (C, C-9, CH, C-5′), 127.8 (CH, C-8), 133.0 (C, C-2′), 140.1 (C, C-10), 142.6 (C, C-4′), 147.4 (C, C-1′), 150.1 (C, C-6), 153.1 (C, C-3); ESMS m/z (%): 404 (13), 365 (11), 316 (54), 290 (7), 254(13), 240 (100), 122 (11). Anal. calcd for C15H12N6O6S: C, 44.55; H, 2.99; N, 20.78; S, 7.93. Found: C, 44.52; H, 2.96; N, 20.79; S, 7.97.
General method for the synthesis of compounds 5a-f
1-(6-Nitro-2H-benzo[b][1,4]thiazin-3(4H)-ylidene)hydrazine derivative (4a-f) (0.01 mol) in glacial acetic acid (20 ml) and 30% hydrogen peroxide (5 ml) was added and refluxed for 15 min. Heating was stopped and another lot of hydrogen peroxide (5 ml) was added. The reaction mixture was again refluxed for 3-4 h. The excess of the solvent was removed by distillation under reduced pressure and poured into crushed ice.
1-(6-Nitro-2H-benzo[b][1,4]thiazin-1,1dioxide-3(4H)-ylidene)hydrazine (5a)
The title compound was prepared by oxidation of 1-(6-nitro-2H-benzo[b][1,4]thiazin-3(4H)-ylidene)hydrazine (4a) and product was extracted with cyclohexane (3x50 ml) and purified by column chromatography on silica gel with a mixture of toluene-ethyl acetate (8:2) as eluent. Yellow oil; yield, 55%; Rf, 0.61 (toluene-ethylacetate-ethanol 3:1:3); UV (DMSO) λmax (log Ɛ) 206 (4.52) nm; IR (υ cm-1): 3322, 1664, 1583, 1380, 1332, 1160, 1064; 1H-NMR (δ ppm, DMSO-d6, 400 MHz): 3.53 (s, 2H, H-2), 7.59 (1H, d, J=2.5 Hz, H-5), 7.91 (1H, dd, J=2.5, 8.6 Hz, H-7), 7.96 (1H, d, J=8.6 Hz, H-8), 8.90 (s, 2H, NH2) 10.73 (s, 1H, NH); 13C-NMR (δ ppm, DMSO-d6, 100 MHz): 50.5 (CH2, C-2), 109.6 (CH, C-5), 111.9 (CH, C-7), 130.2 (CH, C-8), 132.9 (C, C-9), 142.7 (C, C-10), 154.7 (C, C-3, C-6); ESMS m/z (%): 256 (54), 185 (14), 150 (100), 124 (16), 88 (8), 74(5); Anal. calcd for C8H8N4O4S: C, 37.50; H, 3.15; N, 21.87; S, 12.51. Found: C, 37.54; H, 3.12; N, 21.85; S, 12.52.
1-(6-Nitro-2H-benzo[b][1,4]thiazin-1,1dioxide-3(4H)-ylidene)-2-phenylhydrazine (5b)
The title compound was prepared by oxidation of 1-(6-nitro-2H-benzo[b][1,4]thiazin-3(4H)-ylidene)-2-phenylhydrazine (4b) and recrystallized from ethanol. Brown crystals; yield, 64%; m. p. 205-207 °C; Rf, 0.73 (toluene-ethylacetate-ethanol 3:1:3); UV (DMSO) λmax (log Ɛ) 270 (4.38) nm; IR (υ cm-1): 3116, 1670, 1586, 1449, 1381, 1333, 1244, 1162, 1066; 1H-NMR (δ ppm, DMSO-d6, 400 MHz): 3.51 (s, 2H, H-2), 6.45 (2H, dd, J=1.6, J=8.5 Hz, H-2’,6’), 6.65-7.19 (3H, m, H-3’, H-4’, H-5’), 7.31 (1H, d, J=2.5 Hz, H-5), 7.41 (1H, dd, J=2.5, 8.6 Hz, H-7), 7.52 (1H, d, J=8.6 Hz, H-8), 10.64 (s, 1H, NH), 10.97 (s, 1H, NH-4); 13C-NMR (δ ppm, DMSO-d6, 100 MHz): 53.5 (CH2, C-2), 109.5 (CH, C-5), 111.7 (CH, C-7), 116.3 (CH, C-2’, C-6’), 118.8 (C, C-4’), 127.8 (CH, C-8), 129.7 (CH, C-3’, C-5’), 133.2 (C, C-9), 142.2 (C, C-10), 147.1 (C, C-1’), 154.3 (C, C-3, C-6); ESMS m/z (%): 332 (12), 261 (6), 212 (52), 186 (38), 150 (23), 136 (100), 122 (12). Anal. calcd for C14H12N4O4S: C, 50.60; H, 3.64; N, 16.86; S, 9.65. Found: C, 50.63; H, 3.61; N, 16.82; S, 9.67.
1-(6-Nitro-2H-benzo [b][1,4]thiazin-1,1dioxide-3(4H)-ylidene)-2-(2′,4′-dinitrophenyl)hydrazine (5c)
The title compound was prepared by oxidation of 1-(6-nitro-2H-benzo [b][1,4]thiazin-3(4H)-ylidene)-2-(2,4-dinitrophenyl) hydrazine (4c) and recrystallized from ethanol. Yellow crystals; yield, 84%; m. p. 126-128 °C; Rf, 0.52 (toluene-ethylacetate-ethanol 3:1:3); UV (DMSO) λmax (log Ɛ) 217 (4.63) nm; IR (υ cm-1): 3363, 1689, 1587, 1337, 1142, 1015; 1H-NMR (δ ppm, DMSO-d6, 400 MHz): 3.51 (s, 2H, H-2), 7.48 (1H, d, J=2.5 Hz, H-5), 7.64 (1H, dd, J=2.5, 8.6 Hz, H-7), 7.82 (1H, d, J=8.6 Hz, H-8), 8.03 (1H, d, J=8.7 Hz, H-6’), 8.68 (1H, dd, J=2.6, 8.8 Hz, H-5’), 8.89 (1H, d, J=2.6 Hz, H-3’), 10.70 (s, 1H, NH-4), 11.34 (br, 1H, NH); 13C-NMR(δ ppm, DMSO-d6, 100 MHz): 53.3 (CH2, C-2), 109.4 (CH, C-5), 119.4 (CH, C-6’, C-7), 121.1 (CH, C-3’), 123.3 (C, C-9, C-2’), 127.0 (CH, C-5’), 127.7 (CH, C-8), 133.3 (C, C-9), 142.3 (C, C-10), 142.7 (C, C-4’), 147.4 (C, C-1’), 153.6 (C, C-3, C-6); ESMS m/z (%): 422 (11), 351 (12), 302 (52), 274 (13), 240 (100), 122 (36). Anal. calcd for C14H10N6O8S: C, 39.81; H, 2.39; N, 19.90; S, 7.59. Found: C, 39.80; H, 2.37; N, 19.93; S, 7.58.
1-(2-Methyl-6-nitro-2H-benzo[b][1,4]thiazin-1,1dioxide-3(4H)-ylidene)hydrazine (5d)
The title compound was prepared by oxidation of 1-(2-methyl-6-nitro-2H-benzo [b][1,4] thiazin-3 (4H)-ylidene)hydrazine (4d). Product was extracted with cyclohexane (3x50 ml) and purified by column chromatography on silica gel with a mixture of toluene-ethyl acetate (8:2) as eluent. Yellow oil; yield, 48%; Rf, 0.81 (toluene-ethylacetate-ethanol 3:1:3); UV (DMSO) λmax (log Ɛ) 260 (4.24) nm; IR (υ cm-1): 3347, 2974, 1577, 1409, 1332, 1070, 651; 1H-NMR (δ ppm, DMSO-d6, 400 MHz): 1.19 (d, 3H, J=7 Hz, CHCH3), 2.93 (q, 1H, H-2), 7.28 (1H, d, J=2.5 Hz, H-5), 7.41 (1H, dd, J=2.5, 8.6 Hz, H-7), 7.61 (1H, d, J=8.6 Hz, H-8), 8.51 (s, 2H, NH2), 10.82 (s, 1H, NH-4); 13C-NMR (δ ppm, DMSO-d6, 100 MHz): 7.0 (CH3, CHCH3), 51.6 (CH, C-2), 109.7 (CH, C-5), 111.6 (CH, C-7), 128.0 (CH, C-8), 133.3 (C, C-9), 143.3 (C, C-10), 149.5 (C, C-6), 153.6 (C, C-3); ESMS m/z (%): 270 (12), 199 (17), 150 (100), 122 (23), 88 (7), 74(5); Anal. calcd for C9H10N4O4S: C, 40.00; H, 3.73; N, 20.73; S, 11.86. Found: C, 40.02; H, 3.75; N, 20.71; S, 11.82.
1-(2-Methyl-6-nitro-2H-benzo [b][1,4]thiazin-1,1dioxide-3(4H)-ylidene)-2-phenylhydrazine (5e)
The title compound was prepared by oxidation of 1-(2-methyl-6-nitro-2H-benzo[b][1,4]thiazin-3(4H)-ylidene)-2-phenylhydrazine (4e) and recrystallized from ethanol. Brown crystals; yield, 53%; m. p. 171-173 °C; Rf, 0.73 (toluene-ethylacetate-ethanol 3:1:3); UV (DMSO) λmax (log Ɛ) 263 (4.34) nm; IR (υ cm-1): 3193, 2941, 1670, 1586, 1449, 1331, 1244, 1162, 1066; 1H-NMR (δ ppm, DMSO-d6, 400 MHz): 1.20 (d, 3H, J=7 Hz, CHCH3), 2.94 (q, 1H, H-2), 6.47 (2H, dd, J=1.6, J=8.5 Hz, H-2′,6′), 6.58-7.07 (3H, m, H-3′, H-4′, H-5′), 7.31 (1H, d, J=2.5 Hz, H-5), 7.41 (1H, dd, J=2.5, 8.6 Hz, H-7), 7.62 (1H, d, J=8.6 Hz, H-8), 10.50 (s, 1H, NH), 10.94 (s, 1H, NH-4); 13C-NMR (δ ppm, DMSO-d6, 100 MHz): 7.3 (CH3, CHCH3), 51.9 (CH, C-2), 109.5 (CH, C-5), 111.6 (CH, C-7), 116.2 (CH, C-2′, C-6′), 118.8 (C, C-4′), 127.8 (CH, C-8), 129.6 (CH, C-3′, C-5′), 133.2 (C, C-9), 143.0 (C, C-10), 147.1 (C, C-1′), 150.4 (C, C-6), 153.4 (C, C-3); ESMS m/z (%): 346 (8), 275 (14), 226 (49), 200 (35), 164 (12), 136 (100), 122 (15). Anal. calcd for C15H14N4O4S: C, 52.02; H, 4.07; N, 16.18; S, 9.26. Found: C, 52.05; H, 4.04; N, 16.15; S, 9.29.
1-(2-Methyl-6-nitro-2H-benzo [b][1,4]thiazin-1,1dioxide-3(4H)-ylidene)-2-(2′,4′-dinitrophenyl)hydrazine (5f)
The title compound was prepared by oxidation of 1-(2-methyl-6-nitro-2H-benzo[b][1,4]thiazin-3(4H)-ylidene)-2-(2′,4′-dinitrophenyl)hydrazine (4f) and recrystallized from ethanol. Light brown crystals; yield, 69%; m. p. 222-224 °C; Rf, 0.40 (toluene-ethylacetate-ethanol 3:1:3); UV (DMSO) λmax (log Ɛ) 261 (4.48) nm; IR (υ cm-1): 3393, 2952, 1702, 1528, 1329, 1116, 1061, 905; 1H-NMR (δ ppm, DMSO-d6, 400 MHz): 1.21 (d, 3H, J=7 Hz, CHCH3), 3.27 (q, 1H, H-2), 7.48 (1H, d, J=2.5 Hz, H-5), 7.55 (1H, dd, J=2.5, 8.6 Hz, H-7), 7.69 (1H, d, J=8.6 Hz, H-8), 8.03 (1H, d, J=8.8 Hz, H-6′), 8.49 (1H, dd, J=2.6, 8.8 Hz, H-5′), 8.84 (1H, d, J=2.6 Hz, H-3′), 10.71 (s, 1H, NH-4), 11.27 (br, 1H, NH); 13C-NMR (δ ppm, DMSO-d6, 100 MHz): 7.3 (CH3, CHCH3), 52.2 (CH, C-2), 109.5 (CH, C-5), 111.6 (CH, C-6′, C-7), 120.7 (CH, C-3′), 126.7 (CH, C-5′), 129.8 (CH, C-8), 133.0 (C, C-9, C-2′), 143.1 (C, C-10), 142.6 (C, C-4′), 147.4 (C, C-1′), 150.1 (C, C-6), 153.1 (C, C-3); ESMS m/z (%): 436 (13), 365 (12), 316 (52), 290 (8), 254(13), 240 (100), 122 (10). Anal. calcd for C15H12N6O8S: C, 41.29; H, 2.77; N, 19.26; S, 7.35. Found: C, 41.26; H, 2.79; N, 19.28; S, 7.32.
Pharmacology
Test organism and standard drug
All standard drugs (ofloxacin and ketoconazole) were purchased from K K Pharmaceuticals, Udaipur, Rajasthan, whereas all the microorganisms (Escherichia coli, Staphylococcus aureus, Bacillus subtilis, Aspergillus niger and Candida albicans) were collected from pathology lab of R N T Medical College, Udaipur, Rajasthan. All microbes were cultured overnight in nutrient agar medium.
In vitro potential antimicrobial assessment
In vitro antimicrobial assessment was performed by adopting the disc diffusion method. Representative compounds 5a-f were evaluated for their antibacterial against gram-negative bacteria, Escherichia coli and gram-positive bacteria, Staphylococcus aureus, Bacillus subtilis and antifungal activity against Aspergillus niger, Candida albicans at a concentration of 50 μg/ml using DMSO as a solvent by disc diffusion method. The antibacterial activity was performed with standard drug ofloxacin as a positive control and DMSO as negative control after 24 h of incubation at 37 °C. The antifungal activity was performed with ketoconazole as a positive control, and DMSO was used as negative control after 48 h of incubation at 25 °C.
Relative percentage of inhibition
The relative percentage of inhibition of the compounds with respect to positive control was calculated by the following formula [11].
Relative percentage inhibition = 100 × (ab)÷(c − b)
Where,
a: total area of inhibition of the test compounds
b: total area of inhibition of the solvent
c: total area of inhibition of the standard drug
The total area of the inhibition was calculated by using
Area of inhibitory zone = πr2
Where, r is radius of zone of inhibition
Statistical analysis
The results of the antimicrobial activity of compounds are expressed as mean±SEM of triplicate samples. Statistically, significant differences between groups were measured using one-way analysis of variance (ANOVA) followed by two sample t-test of all groups versus their respective control group and *p<0.05 was considered statistically significant, p>0.05 was considered as non-significant and **p<0.01 was considered highly significant.
Fig. 1: Synthetic pathway of 1-(6-nitro-2H-benzo[b][1,4]thiazine-3(4H)-ylidene)hydrazine-1,1-dioxide derivatives
Result AND discussion
Chemistry
These compounds were synthesized by a conventional method, and their structures have been elucidated on the basis of spectral analysis. In IR spectra of all compounds, the bands occur in the region 1434-1359 cm-1 and 1587-1523 cm-1due to the symmetric and asymmetric stretching vibration of the nitro group. The synthesized 1-(6-nitro-2H-benzo[b][1,4]thiazine-3-yl) hydrazines 4a-f exhibit absorption bands in the region 3393-3100 cm-1 due to the stretching vibration of the secondary amino group. A weak N-N stretching absorption band in the region of 1118-1024 cm-1 and a strong C=N stretching absorption band in the 1660-1702 cm-1 region are observed. 1HNMR spectra of compounds 4a-f exhibit a multiple in the region δ 8.5-6.8 ppm due to aromatic protons. The signal observed in the region δ 10-11 is attributed to–NH protons. The peak observed at δ 2.5-2.8 can be assigned to–CH proton.
In IR spectra the synthesized 1-(6-nitro-2H-benzo[b][1,4]thiazine-3(4H)-ylidene)hydrazine-1,1-dioxide derivatives 5a-f exhibit two sharp absorption bands in the region 1162-1142 cm-1 and 1337-1329 cm-1 due to the symmetric and asymmetric stretching vibration of the SO2 group. In 1HNMR spectra, a broad peak observed in the region δ 8-11 in all 1-(6-nitro-2H-benzo[b][1,4]thiazine-3(4H)-ylidene)hydrazine-1,1-dioxides 5a-f is due to N-H proton. Aromatic protons show multiple in the region δ 6.4-8.9 ppm. The sharp peak observed at δ 2.9-3.5 can be assigned to–CH proton. In compounds, 5a, d a broad peak is observed in the region δ 8.2-8.5 due to–NH2 protons. In compounds 5d, e, f a doublet peak is observed in the region 1.1-1.2 due to CH3 protons at C-2. 13C-NMR spectra of compounds 5a-f have been recorded. In mass spectra of 1-(6-nitro-2H-benzo[b][1,4]thiazine-3(4H)-ylidene)hydrazine-1,1-dioxides 5a-f, the molecular ion peak is in accordance to their molecular weight.
The synthesis of 3-arylidenehydrazino-2-methyl-(1H)-1,4-benzothiazines has been previously reported [15]. In the present paper, we describe the synthesis of 1-(6-nitro-2H-benzo[b] [1,4]thiazine-3(4H)-ylidene)hydrazine-1,1-dioxides which contain a nitro group at 6 position and S-oxidized system.
Biological activity
Newly synthesized compounds 5a-f exhibited broad spectrum antimicrobial activity against gram positive bacteria, gram negative bacterial and fungal cultures. Antimicrobial activity was measured as the zone of inhibition and represented as mean±standard deviation (n=3) in table 1. Relative percentages of inhibition are depicted of table 2. After statistical analysis, P value was determined which was significant, i.e., less than 0.05 (P<0.05). It has been noted that compound 5f having methyl at 2 position and nitro groups at 2′ and 4′ position showed the most potent antibacterial activity, whereas compounds 5c having nitro groups at 2′ and 4′ position and 5e having methyl at 2 positions showed moderate antibacterial activity as compared to the reference.
In vitro evaluation of the newly synthesized compounds for the anti-microbial activity is the first step toward achieving the goal of developing a new drug for the infectious disease. Earlier, the synthesis of many 1,4-benzothiazine derivatives [2,11,12,14] and their sulfones [9] have been reported to exhibit antimicrobial activity for pharmacological applications. Various hydrazine derivatives have been previously reported to possessing a broad spectrum antimicrobial activity [17]. In this research, some new class of sulfones of 1,4-benzothiazines containing different hydrazine derivatives in the 3-position was screened for antimicrobial properties. The present study through light on the anti-microbial efficacy of these novel compounds. The result indicated that these synthesized compounds showed more activity towards bacteria as compared to the fungi.
Table 1: Antibacterial and antifungal activity
Compounds |
Antibacterial and antifungal activity at 50μg/ml (Mean zone of inhibition in mm±SD) |
||||
E. coli |
S. aureus |
B. subtilis |
C. albicans |
A. niger |
|
5a |
17.33±2.52 |
16.67±0.58 |
15.33±1.52 |
11.33±0.58 |
12.67±1.00 |
5b |
18.67±0.58 |
16.66±2.30 |
16.33±1.16 |
12.33±1.16 |
13.33±1.16 |
5c |
19.67±0.58 |
18.33±1.53 |
17.66±1.52 |
14.67±0.58 |
15.67±1.16 |
5d |
17.67±1.16 |
16.33±1.16 |
16.33±1.53 |
12.67±0.58 |
13.67±1.16 |
5e |
19.66±0.57 |
18.66±1.52 |
18.33±2.52 |
13.67±0.58 |
14.33±1.16 |
5f |
20.66±1.52 |
20.33±1.53 |
19.33±2.52 |
15.67±0.58 |
16.33±1.16 |
Control |
n. a. |
n. a. |
n. a. |
n. a. |
n. a. |
Ofloxacin |
21.67±0.58 |
22.33±0.58 |
20.33±1.53 |
- |
- |
Ketoconazole |
- |
- |
- |
20.33±0.58 |
21.67±2.08 |
Values are expressed as mean±standard deviation (SD) of the three replicates, E. coli: Escherichia coli, S. aureus: staphylococcus aureus, B. subtilis: Bacillus subtilis, C. albicans: Candida albicans, A. niger: Aspergillus niger, n. a: no activity.
Table 2: Mean relative percentage inhibition of compounds
Compounds |
Mean relative percentage inhibition (%) |
||||
E. coli |
S. aureus |
B. subtilis |
C. albicans |
A. niger |
|
5a |
64.16 |
55.73 |
56.85 |
31.06 |
34.18 |
5b |
74.24 |
55.73 |
64.52 |
36.78 |
37.84 |
5c |
82.40 |
67.56 |
75.46 |
52.07 |
52.29 |
5d |
66.51 |
53.52 |
64.52 |
38.84 |
39.79 |
5e |
82.40 |
69.89 |
81.29 |
45.21 |
43.73 |
5f |
90.99 |
83.06 |
90.40 |
59.41 |
56.79 |
Control |
0.00 |
0.00 |
0.00 |
0.00 |
0.00 |
Ofloxacin |
100 |
100 |
100 |
- |
- |
Ketoconazole |
- |
- |
- |
100 |
100 |
CONCLUSION
In conclusion, we have reported an easy method to prepare 1-(6-nitro-2H-benzo[b][1,4]thiazine-3(4H)-ylidene)hydrazine-1,1-dioxide derivatives, using inexpensive reagents and allowing to introduce different hydrazine derivative in the 3-position. Here compound 5f was found to be most potent which may be effective as a potential source for the development of the novel anti-bacterial drug. A further study of novel 1,4-benzothiazine derivatives is in progress to evaluate a more potent antimicrobial agent with lesser side effects.
ACKNOWLEDGEMENT
Authors are thankful to Sophisticated Analytical Instrumentation Facility, Central Instrumentation Laboratory, Punjab University, Chandigarh for providing spectral and analytical data. Authors are also thankful to the management of B N Institute of Pharmaceutical Sciences, Udaipur for providing necessary facilities.
CONFLICTS OF INTERESTS
Declared none
REFERENCES
How to cite this article