
Lovely Professional University, Jalandhar-Delhi G. T. Road (NH-1), Phagwara, Punjab (India)
Email: gopal_niper@rediffmail.com
Received: 04 Jul 2016 Revised and Accepted: 12 Aug 2016
ABSTRACT
Objective: To identify the novel and simple bioactive antiandrogens, that can overcome to side effects as well as drug resistance.
Methods: The AutoDock Vina (ADT) 1.5.6 software is used for molecular docking purposes. The molecular structures were drawn in ChemBiodraw ultra and by the help of ChemBiodraw 3D, all structures were energy minimized by MM2 method and converted to pdb extension file which is readable at the ADT interface.
Results: Total ten compounds from both series were shown better binding affinity than R-bicalutamide including oxadiazole and triazole series. Among these pk42 and pk46 were studied in-depth which showed best binding affinity to the androgen receptor. The cis-isomers were found better than their trans-isomer.
Conclusion: Novel 5-styryl-1,2,4-oxadiazole/triazole derivatives were studied through molecular modeling using Autodock Vina. The potent compounds which showed better binding affinity than R-bicalutamide like pk24 and 46 were further analyzed for their interactions. The conformational effect also found significant in binding to the androgen receptor.
Keywords: Antiandrogen, Oxadiazole, Triazole, Autodock Vina, Molecular docking, Prostate cancer
© 2016 The Authors. Published by Innovare Academic Sciences Pvt Ltd. This is an open access article under the CC BY license (http://creativecommons. org/licenses/by/4. 0/)
DOI: http://dx.doi.org/10.22159/ijpps.2016v8i10.13844
INTRODUCTION
Prostate cancer is one of the major concerns worldwide as it has emerged as the second leading cause of cancer-related deaths in men [1]. More than 6,70,000 men are diagnosed with prostate cancer every year. In 2013 in the United States, 233,000 newer cases of cancer were found and 29,480 deaths were reported [2, 3]. Although PC incidence rates are lower in Asian countries but in India, it has increased recently [4]. Testosterone and dihydrotestosterone are the two steroidal androgenic hormones which act as the main facilitators for the progression and development of the prostate cancer [5]. Androgens upon binding to the androgen receptor (AR) cause conformational changes in the AR genes. These AR-regulated genes encode prostate-specific antigen (PSA), is a serine protease, which acts as an important biomarker for the pathogenesis of PCa [6-8]. Hence steroidal agents like cyproterone acetate and spironolactone were employed for the treatment of prostate cancer (fig. 1) [9-11].
But this therapy failed due to several drawbacks attributed to the non-specific effects of steroidal antiandrogens such as cross-reactivity, poor bioavailability and lack of tissue selectivity, etc. these limitations has shifted the focus of researchers towards non-steroidal class of anti-androgens as a potential of diminishing the cross reactions with other steroidal hormones which eliminates the unwanted side effects [12]. Another important application of non-steroidal antiandrogens is their potential to provide various structural modifications to afford more potent scaffolds. Although this approach initially shows an 80–90% response rate, but when treatment is continued for 1–2 y, approximately 50% of patients progress to fatal androgen independent disease [13-41].
Clearly, there is an unmet medical need for the treatment of advanced CaP. For this reason, efforts have been devoted to identifying novel small-molecule antagonists of the AR that are more effective than the current therapies which led to the newer classes of non-steroidal compounds which showed more potent activity as compared to the marketed non-steroidal anti-prostate drugs.
However, these newer discoveries in the class of non-steroidal AR ligands provide the new insights to achieve the specificity and selectivity in tissue targeting as selective androgen receptor modulators (SARMs).
Fig. 1: Antiandrogen ligands
Recently 3-aryl-6-methyl-2-thioxotetrahydropyrimidin-4(1H)-ones were reported as anti-prostate cancer agents, selectively inhibiting the androgen receptor [42-45]. Our interest and research works on biologically active heterocyclic scaffolds resulted in identifying a new class of antagonists based on 1,2,4-oxadiazole [43]; their stereo chemical aspects and preliminary virtual screening results are discussed herein. The target molecules were designed on the basis of molecular modeling, considering the structures of R-bicalutamide as a gold standard non-steroidal anti-prostate cancer agent.
MATERIALS AND METHODS
Molecular modeling is a well-explored tool for identification of potent compound without investing too much effort and money in research [46-50]. For molecular docking purpose we have used the AutoDock Vina (ADT) 1.5.6 software [51] and for comparison, the outcomes is compared in binding affinity score for best-docked conformation. The molecular structures were drawn in ChemBiodraw ultra and by the help of ChemBiodraw 3D, all structures were energy minimized by MM2 method [52] and converted to pdb extension file which is readable at the ADT interface. To identify the potential antiandrogen, we have used the 1Z95 pdb file downloaded from pdb data bank (http://www. rcsb. org/pdb/explore. do?pdbId=1z95). The outcomes of results were analyzed by AutoDock Vina result which reveals close contact, hydrogen bond, hydrophilic and hydrophobic interactions.
RESULTS AND DISCUSSION
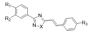
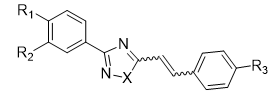
The X-ray crystal structure of R-Bicalutamide in WL AR LBD complex revealed that it oriented at the active binding site in a bent conformation, due to hydrogen bonding interactions of chiral hydroxyl with amide nitrogen (fig. 2). Therefore, we assumed that conformationally restricted model with relevance to anti-prostate activity can be investigated. With our current interests on heterocyclic scaffolds and anti-prostate cancer agents, we designed conformationally restricted oxadiazole derivatives with bioisosteric replacement with Cl, CN, CF3, F, NO2, Br [37,38].
The restricted conformation further strengthens with a double bond at ring B in the newly designed pharmacophore (fig. 2). Total 160 compounds were designed and studied by molecular docking through software Autodock Vina. The designed compounds were drawn in 3D structure by using ChemBioDraw Ultra 12.0 (Cambridge Soft) and geometry was minimized by using MM2 (molecular mechanics method).
All geometries minimized structures were then converted or transformed into a readable format (pdb) by ChemBioDraw Ultra and used in Autodock-vina software (ADT). The protein 1Z95 (androgen receptor) is prepared by ADT through removing water molecules, repairing for missing atoms, adding polar hydrogen atoms only, adding Kollman charges, and saved as macromolecule 1Z95. The validation of method is performed by extracting the ligand present in the protein viz R-bicalutamide and docked which showed similar interaction as reported by Dalton et al. [23, 24]. The results obtained from molecular docking of designed ligands on the validated protein 1Z95 and are summarized in table 1 for oxadiazoles and in table 2 for triazoles derivative. Here the binding affinity of ligand towards mutant androgen receptor is represented in terms of docking score.
Fig. 2: Design of novel series of compounds based on R-bicalutamide
Table 1: Designed ligands of oxadiazole derivatives (Series 1)

| Entry | Code | R1 | R2 | X | R3 | Binding affinity (Kcal/mol) |
| cis | Trans | |||||
| 1 | pk1 | pk81 | H | H | O | H |
| 2 | pk2 | pk82 | H | H | O | F |
| 3 | pk3 | pk83 | H | H | O | Cl |
| 4 | pk4 | pk84 | H | H | O | Br |
| 5 | pk9 | pk89 | F | Cl | O | H |
| 6 | pk10 | pk90 | F | Cl | O | F |
| 7 | pk11 | pk91 | F | Cl | O | Cl |
| 8 | pk12 | pk92 | F | Cl | O | Br |
| 9 | pk17 | pk101 | Cl | F | O | H |
| 10 | pk18 | pk102 | Cl | F | O | F |
| 11 | pk19 | pk103 | Cl | F | O | Cl |
| 12 | pk20 | pk104 | Cl | F | O | Br |
| 13 | pk25 | pk105 | Cl | CN | O | H |
| 14 | pk26 | pk106 | Cl | CN | O | F |
| 15 | pk27 | pk107 | Cl | CN | O | Cl |
| 16 | pk28 | pk108 | Cl | CN | O | Br |
| 17 | pk33 | pk113 | Cl | CF3 | O | H |
| 18 | pk34 | pk114 | Cl | CF3 | O | F |
| 19 | pk35 | pk115 | Cl | CF3 | O | Cl |
| 20 | pk36 | pk116 | Cl | CF3 | O | Br |
| 21 | pk41 | pk121 | CN | CF3 | O | H |
| 22 | pk42 | pk122 | CN | CF3 | O | F |
| 23 | pk43 | pk123 | CN | CF3 | O | Cl |
| 24 | pk44 | pk124 | CN | CF3 | O | Br |
| 25 | pk49 | pk129 | NO2 | CF3 | O | H |
| 26 | pk50 | pk130 | NO2 | CF3 | O | F |
| 27 | pk51 | pk131 | NO2 | CF3 | O | Cl |
| 28 | pk52 | pk132 | NO2 | CF3 | O | Br |
| 29 | pk57 | pk137 | NO2 | F | O | H |
| 30 | pk58 | pk138 | NO2 | F | O | F |
| 31 | pk59 | pk139 | NO2 | F | O | Cl |
| 32 | pk60 | pk140 | NO2 | F | O | Br |
| 33 | pk65 | pk145 | CF3 | F | O | H |
| 34 | pk66 | pk146 | CF3 | F | O | F |
| 35 | pk67 | pk147 | CF3 | F | O | Cl |
| 36 | pk68 | pk148 | CF3 | F | O | Br |
| 37 | pk73 | pk153 | CH3O | CH3O | O | H |
| 38 | pk74 | pk154 | CH3O | CH3O | O | F |
| 39 | pk75 | pk155 | CH3O | CH3O | O | Cl |
| 40 | pk76 | pk156 | CH3O | CH3O | O | Br |
| 41 | R-Bicalutamide | -10.9 |
*NA–no result
Table 2: Designed ligands of triazole derivatives (Series 2)

| Entry | Code | R1 | R2 | X | R3 | Binding affinity (Kcal/mol) |
| cis | trans | |||||
| 1 | pk5 | pk85 | H | H | NH | H |
| 2 | pk6 | pk86 | H | H | NH | F |
| 3 | pk7 | pk87 | H | H | NH | Cl |
| 4 | pk8 | pk88 | H | H | NH | Br |
| 5 | pk13 | pk93 | F | Cl | NH | H |
| 6 | pk14 | pk94 | F | Cl | NH | F |
| 7 | pk15 | pk95 | F | Cl | NH | Cl |
| 8 | pk16 | pk96 | F | Cl | NH | Br |
| 9 | pk21 | pk97 | Cl | F | NH | H |
| 10 | pk22 | pk98 | Cl | F | NH | F |
| 11 | pk23 | pk99 | Cl | F | NH | Cl |
| 12 | pk24 | pk100 | Cl | F | NH | Br |
| 13 | pk29 | pk109 | Cl | CN | NH | H |
| 14 | pk30 | pk110 | Cl | CN | NH | F |
| 15 | pk31 | pk111 | Cl | CN | NH | Cl |
| 16 | pk32 | pk112 | Cl | CN | NH | Br |
| 17 | pk37 | pk117 | Cl | CF3 | NH | H |
| 18 | pk38 | pk118 | Cl | CF3 | NH | F |
| 19 | pk39 | pk119 | Cl | CF3 | NH | Cl |
| 20 | pk40 | pk120 | Cl | CF3 | NH | Br |
| 21 | pk45 | pk125 | CN | CF3 | NH | H |
| 22 | pk46 | pk126 | CN | CF3 | NH | F |
| 23 | pk47 | pk127 | CN | CF3 | NH | Cl |
| 24 | pk48 | pk128 | CN | CF3 | NH | Br |
| 25 | pk53 | pk133 | NO2 | CF3 | NH | H |
| 26 | pk54 | pk134 | NO2 | CF3 | NH | F |
| 27 | pk55 | pk135 | NO2 | CF3 | NH | Cl |
| 28 | pk56 | pk136 | NO2 | CF3 | NH | Br |
| 29 | pk61 | pk141 | NO2 | CF3 | NH | H |
| 30 | pk62 | pk142 | NO2 | CF3 | NH | F |
| 31 | pk63 | pk143 | NO2 | CF3 | NH | Cl |
| 32 | pk64 | pk144 | NO2 | CF3 | NH | Br |
| 33 | pk69 | pk149 | CF3 | F | NH | H |
| 34 | pk70 | pk150 | CF3 | F | NH | F |
| 35 | pk71 | pk151 | CF3 | F | NH | Cl |
| 36 | pk72 | pk152 | CF3 | F | NH | Br |
| 37 | pk77 | pk157 | CH3O | CH3O | NH | H |
| 38 | pk78 | pk158 | CH3O | CH3O | NH | F |
| 39 | pk79 | pk159 | CH3O | CH3O | NH | Cl |
| 40 | pk80 | pk160 | CH3O | CH3O | NH | Br |
| 41 | R-Bicalutamide | -10.9 |
*NA–no result
The results obtained from molecular docking of designed analogs were studied and analyzed. The molecular docking analysis showed that all ligands were docked in the same ligand binding site as that of R-bicalutamide and showed a high binding affinity towards the androgen receptor [23]. The effect of geometrical isomers: cis and trans was studied, and cis geometrical isomers were found to be more potent as compared to trans isomers. Geometry has a profound influence on binding affinity as observed that cis isomers (adopt perfect bent conformation) are found better than their corresponding trans isomers as shown below in fig. 3 and fig. 4. Total ten compounds from both series were shown better binding affinity than R-bicalutamide including pk34, pk41, pk42, pk43, pk50 from oxadiazole series in table 1, entries 18, 21,22,23,26 respectively and pk38, pk45, pk46, pk47, pk55 from triazole series are in table 2, entries 18,21,22,23,27 respectively. Among these pk42 and pk46 were studied in-depth which showed best binding affinity to the androgen receptor. The cis-isomers were found better than their trans-isomer.
The study of most potent compounds also suggests the effect of substituents on both ring; we observed that electron withdrawing functional groups such as CF3, NO2 and CN are found better than electron donating functional groups like CH3, OCH3 on ring A whereas halogen particularly fluoro found better on ring “B”.
The close contacts have shown for the most potent compounds pk42 and pk46 from both classes of designed ligands. The ribbon structure of a protein is depicting the docked conformation of ligand onto the active site of protein as shown in fig. 5 and fig. 6.

Fig. 3: Overlay of close contacts of cis isomers: (pk 42 in magenta color and pk46 in green color) with neighboring amino acid residues

Fig. 4: Overlay of close contacts of trans isomers: (pk122) with neighboring amino acid residues
An in-depth analysis of the docked conformation onto the active site of protein, showed following interactions:
Ring A: CF3 from hydrogen bonding with Gln711, Met745 and Thr677 residues whereas CN situated in a hydrophobic region with Phe764, Val746 amino acid residues (fig. 5).

Fig. 5: Visualization of active binding sites of protein with bound ligand pk42 (oxazole) and 46 (triazole)

Fig. 6: Visualization of active binding sites of protein with bound ligand pk122
Ring B: adopts bent conformation and disrupts AF2 region by interacting with Leu741, Val 903.
These interactions increase the binding affinity of the ligands and suggesting for optimal electron withdrawing function groups as CF3, CN on ring A and F at ring B, also the cis conformation gives the bent structure for better fitting to the binding pocket of AR.
CONCLUSION
Progression of prostate cancer occurs due to the overexpression of androgen receptor. Though it is not limited to only prostate gland it can metastasize beyond the prostate gland also and start affecting another part of the body at that stage it becomes more complicated to treat. There are several ways to cure the prostate cancer but most commonly used is chemotherapy which mainly involves two classes of drugs in treatment that are steroidal based therapy and non-steroidal based therapy. But due to the drawbacks in steroidal derivatives, non-steroidal therapy is preferred. Nonsteroidal antiandrogens also have limited application due to resistance and severe toxicity. Herein we design the novel oxadiazole and triazole, by hoping to overcome these limitations. 160 compounds were designed and studied by molecular docking through software AutoDock Vina. Oxadiazoles and triazoles are found to be potent as androgen receptor modulator. The potency is being affected by the geometry of these novel compounds. Cis isomers showed better binding affinity than the trans isomers. Among these compounds, ten most feasible and potent derivatives were identified. The potent compounds which showed better binding affinity than R-bicalutamide like pk24 and 46 were further analyzed for their interactions. The conformational effect also found significant in binding to the androgen receptor. Further investigations on these novel agents will provide the promising tool for new drug development to treat the prostate cancer.
ACKNOWLEDGEMENT
The authors are grateful to SERB-Department of Science and Technology (DST) Govt of India for research funding under Young Scientist Scheme.
CONFLICTS OF INTERESTS
Declared none
REFERENCES
How to cite this article