
School of Pharmaceutical Sciences, SOA University, Bhubaneswar, Odisha
Email: tapanpandapharmacy@gmail.com
Received: 03 Jul 2016 Revised and Accepted: 23 Aug 2016
ABSTRACT
Objective: To formulate once daily capsule filled with multiple unit mucoadhesive sustain release (SR) mini tablets of bosentan prepared using combination gelucire 43/01 and hydroxypropyl methyl cellulose (HPMCK4M), sodium carboxymethyl cellulose (NaCMC) and chitosan to sustain drug release for 24 h.
Methods: The mini tablets were prepared by melt granulation technique using gelucire 43/01 as meltable hydrophobic release retardant. The polymers such as hydroxypropyl methylcellulose (HPMCK4M), sodium carboxymethyl cellulose (NaCMC) and chitosan were added as release modulators and mucoadhesives. The physical mixture of drug and excipient were subjected Fourier transform infrared (FT-IR) and differential scanning calorimetry (DSC) for evaluation of drug-polymer interaction. Mini tablets were evaluated for mucoadhesive strength, in vitro drug release, swelling index and percentage of hydration. The optimized mini tablets of formulation F23 were filled into zero sizes hard gelatin capsule.
Results: The release of bosentan from gelucire 43/01 based sustain release mini tablets extended drug release for 24 h with an initial burst release of more than 32 %. Incorporation of NaCMC, HPMCK4M and chitosan into the mini tablets controlled initial burst release with mucoadhesion.
Conclusion: Hence mini tablets prepared with a combination of gelucire 43/01 (release retardant) and NaCMC (release modulator and mucoadhesive polymer) filled into zero sizes hard gelatin capsule can be used to formulate once daily formulation of bosentan.
Keywords: Gelucire 43/01, NaCMC, Burst release, Sylysia 350, Release modulator
© 2016 The Authors. Published by Innovare Academic Sciences Pvt Ltd. This is an open access article under the CC BY license (http://creativecommons.org/licenses/by/4. 0/)
DOI: http://dx.doi.org/10.22159/ijpps.2016v8i10.13859
INTRODUCTION
Bosentan is a class II drug under biopharmaceutical classification system (BCS), exhibiting 50% absolute bioavailability. Bosentan is a dual endothelin receptor antagonist indicated mainly in the management of pulmonary artery hypertension. It has also been investigated in heart failure and hypertension [1]. The terminal elimination half-life of bosentan is about 5 h. In pulmonary hypertension, it is given by mouth with an initial dose of 62.5 mg twice daily, increased after 4 w to a maintenance dose of 125 mg twice daily. In patients with low body weight (below 40 kg) both the initial and maintenance dose are 62.5 mg daily [2]. There is a need to improve therapeutic efficacy and patient compliance of bosentan by formulating sustain release system to deliver the drug for a period of 24 h i.e. a dose of 125 mg with once daily administration.
The development of mini tablet is a promising area in the formulation of once daily sustain release (SR) dosage form which has attracted interest for several reasons such as customized drug release [3] and reduced possibility of dose dumping [4]. Mini-tablets offer an alternative for pellets because of their relative ease of manufacturing [5]. In addition, they offer dosage forms of equal dimensions and weight with a smooth regular surface that could be obtained in a reproducible and continuous way [6].
These formulations can be designed by filling multiple unit SR mini tablets into a single unit capsule dosage form. The use of gelucires with low HLB value are currently gaining importance in the design of sustain release formulations for the following reasons vis-à-vis low melt viscosity, obviating the need for solvents, the absence of toxic impurities, potential for biocompatibility and biodegradability, prevention of gastric irritation by forming a coating around the drug [7]. Gelucire 43/01 is a highly hydrophobic lipid with an HLB value of 1 and a melting point of 43 °C [8]. The extreme hydrophobicity of gelucire 43/01 provides release-retarding properties.
A unique problem generally encountered with the gelucire 43/01 based oral sustained release dosage forms is their inability to reside in the stomach and proximal part of the small intestine for a prolonged period of time. The gelucire 43/01 based formulations are also known to exhibit initial burst release of the drug [9].
This led to the incorporation of polymers which can serve the dual purpose of modulation of initial burst release and adhesion to a mucous layer of the gastrointestinal tract to increase retention time. The principle of mucoadhesive sustain release mini tablets offer a simple, practical approach and is particularly useful to prolong the retention time of a dosage form in the mucous lining of the gastrointestinal tract. Hence the objective of the present research work was to prepare once daily capsule filled with multiple unit mucoadhesive SR mini tablets of bosentan prepared using combination gelucire 43/01 and hydroxypropyl methyl cellulose (HPMCK4M), sodium carboxymethyl cellulose (NaCMC) and chitosan to sustain drug release for 24 h.
MATERIALS AND METHODS
Materials
Bosentan (Mepro Pharmaceuticals Ltd, India), sylysia 350 (Fuji Sylysia, Japan), poloxamer 188 and chitosan (Sigma-Aldrich, USA), NaCMC (Himedia, India) and HPMCK4M (Colorcon, India).
Methods
FT-IR spectroscopy
FT-IR spectra of bosentan and its 1:1 physical mixture with polymers such as gelucire 43/01, HPMCK4M, NaCMC and chitosan were recorded in IR Afiinity-1, (Shimadzu) using potassium bromide (KBr) discs to investigate polymer drug interactions. The instrument was operated under dry air purge and the scans were collected at a scanning speed of 2 mm/sec with a resolution of 4 cm-1 over the region 4000-400 cm-1. The FT-IR spectra are shown in fig. 1.
Differential scanning calorimetry (DSC)
The DSC measurements were performed for bosentan and its 1:1 physical mixture with polymers such as gelucire 43/01, HPMCK4M, NaCMC and chitosan to study drug polymer interaction on a DSC with a thermal analyzer (DSC-60, Shimadzu, Japan). All the accurately weighed samples (about 2 mg) were placed in sealed aluminum pans before heating under nitrogen flow (20 ml/min) at a scanning rate of 10 °C/min from 25 to 175 °C. The DSC thermogram is shown in fig. 2.
Preparation of sustain release mini tablets
The SR mini tablets of bosentan were prepared by melt granulation method using hydrophobic meltable carrier gelucire 43/01. The proportion of sylysia 350 was kept 25 % of gelucire 43/01 in all formulations. Gelucire 43/01 was heated in a jacketed water bath at 60 °C while stirring. Bosentan was added to the liquid molten mass of gelucire 43/01 and stirred for 15 min. The molten mixture was then added drop-wise to sylysia 350 with continued mixing for 15 min at room temperature. The mixture was allowed to cool to room temperature by air-cooling followed by sieving through mesh # 30 to get uniform size granules. The final blend was compressed into 3 mm flat, circular mini tablets using multitip punches. The compositions of SR mini tablets are shown in table 1.
Preparation of sustain releases mucoadhesive mini tablets
The SR mucoadhesive mini tablets of bosentan were prepared by melt granulation method using hydrophobic meltable carrier gelucire 43/01. The proportion of sylysia 350 was kept like 25 % of Gelucire 43/01 in all SR formulations. Gelucire 43/01 was heated in a jacketed water bath at 60 °C while stirring.
To the molten liquid of gelucire 43/01, bosentan and mucoadhesive polymers such as sodium carboxymethylcellulose (NaCMC), hydroxypropyl-methylcellulose (HPMCK4M) and chitosan were added and stirred for 15 min at 60 °C. The molten mixture was then added drop-wise to sylysia 350 with continued mixing for 15 min at room temperature. The mixture was allowed to cool to room temperature by air-cooling followed by sieving through mesh # 30 to get uniform size granules. The final blend was compressed into 3 mm flat, circular mini tablets using multitip punches. The compositions of SR mucoadhesive mini tablets are shown in table 1.
Table 1: Formulation of mucoadhesive SR mini-tablets of bosentan
Formulation code |
Quantities (mg)/Mini tablet | Total weight | |
| Bosentan | Gelucire 43/01 | Sylysia 350 | |
| F1 | 5 | 2.5 | 0.625 |
| F2 | 5 | 5 | 1.25 |
| F3 | 5 | 7.5 | 1.875 |
| F4 | 5 | 10 | 2.5 |
| F5 | 5 | 7.5 | 1.875 |
| F6 | 5 | 7.5 | 1.875 |
| F7 | 5 | 7.5 | 1.875 |
| F8 | 5 | 7.5 | 1.875 |
| F9 | 5 | 7.5 | 1.875 |
| F10 | 5 | 7.5 | 1.875 |
| F11 | 5 | 7.5 | 1.875 |
| F12 | 5 | 7.5 | 1.875 |
| F13 | 5 | 7.5 | 1.875 |
Filling of mini tablets into hard gelatin capsule
The mini tablets of the optimized formulation were filled into the zero size hard gelatin capsule. 25 number of mini tablets each containing 5 mg of bosentan were filled into hard gelatin capsule. The total dose administered for drug release up to 24 h was 125 mg. The capsule was evaluated for In vitro dissolution and mucoadhesive strength.
Flowability and compressibility of SR granules
Bosentan (pure drug powder) and granules of each formulation were characterized for flow and compressibility by measuring Compressibility index (%), Hausner’s ratio (H. R) and angle of repose (Ɵ) [10]. The results are shown in table 2.
The Hausner’s ratio is a number that is correlated to the flowability of the powder. The Hausner’s ratio is determined by the following a formula.

Compressibility index (CI) was determined according to the formula

Then the angle of repose (θ) was calculated using following formula. The radius (r) and height (H) of the pile were measured.

Physical characteristics of mini tablets
The prepared mini tablets were subjected to quality control tests as per USP. Weight variation was determined by weighing 20 tablets individually; the average weight was calculated, and the percentage variation of each tablet was determined. Hardness was determined by testing 6 mini tablets from each formulation using a digital portable hardness tester EH-01 (Electrolab, India) and the average applied pressure (kg/cm2) required to crush each mini tablet was determined. Friability was determined by weighing 20 mini tablets then placing them in a friability test apparatus EF-2W (Electrolab, India) which was rotated for 4 min at 25 rpm. After dusting, the total remaining weight of the mini tablets was recorded and the percentage of friability was calculated. The results are shown in table 3.
Ex-vivo mucoadhesive strength
The mucoadhesive strength of mini-tablets was studied in a modified physical balance [11]. This apparatus consist of a modified double pan physical balance in which additional weight has been added to the right pan to make the right side weight equal with left side pan. A small beaker filled with simulated intestinal fluid (SIF) without enzyme was placed below the right side of the balance. Goat intestine mucosa was used as a model membrane and SIF without enzyme was used as the moistening fluid. The goat intestine mucosa was collected from the local slaughter house and kept in a Kerb’s solution during transportation. The underlying mucous membrane was separated using a surgical blade and washed thoroughly with SIF. It was then tied over the small beaker using a thread, cello tape and elastic robber. The small beaker was filled with SIF without enzyme up to the upper surface of the goat intestinal mucosa viability during the experiments. The one side of the mini-tablet was attached to the right arm pan of the physical balance, and then the beaker was raised slowly until contact between goat mucosa and mucoadhesive SR mini-tablet was established. A Preload of 1 gm was placed on the slide for 5 min (preload time) to established adhesion bonding between mucoadhesive SR mini-tablets and goat intestinal mucosa. The preload time was kept constant for all formulations. After the completion of preload time, preload was removed from the right side and then water was added to the glass beaker in the left side arm by burette at a constant rate of 100 drops per min. The addition of water was stopped when mucoadhesive SR mini tablets were detached from the goat intestine mucosa. The weight of water required to detach mucoadhesive SR mini tablet from intestinal mucosa was noted as mucoadhesion strength (g). The results are shown in table 4.

In vitro dissolution
The dissolution profile of SR mini tablets, mucoadhesive SR mini tablets and capsule filled with mini tablets of optimized formulation was determined using USP Apparatus II. The dissolution test was performed using 900 ml of SIF without enzyme at 37±0.5 °C and 50 rpm. A sample (5 ml) of the solution was withdrawn from the dissolution apparatus up to 24 h for mini tablets. The dissolution samples were replaced with fresh dissolution medium at each sampling time. The samples were filtered through a 0.45 μm membrane filter and analyzed at λmax 222 nm using a UV/Vis double beam spectrophotometer (UV-1800, Shimadzu, Japan). The dissolution profiles are shown in fig. 3.
Kinetic analysis of dissolution data
The rate and mechanism of release of bosentan from the prepared mini tablets were analyzed by fitting the dissolution data into the zero-order equation [12]
Q = K0 t [Eq 6] Where Q is the amount of drug released at time t, and K0 is the zero order release rate constant, fitted to the first order equation [13]

Where K1 is the first order release rate constant.
The dissolution data was fitted to the Higuchi’s equation [14]. Higuchi tried to relate drug release to physical constants based on diffusion, which is shown in the following equation
Q = [D(2C − Cs)Cs t]1/2 (Eq 8)
Where C is the initial drug concentration, Cs is the drug solubility in matrix media, and D is the diffusivity of drug molecules in matrix substance. The simplified form of Higuchi equation is
Q = KH t1/2 (Eq 9)
Where KH is the diffusion rate constant
The dissolution data was also fitted to the well-known equation (Korsmeyer Peppa’s equation), which is often used to describe the drug release behavior from polymeric systems [15]

where Mt is the amount of drug released at time t, M∞is the amount of drug release after infinite time, k is a release rate constant incorporating structural and geometric characteristics of the mini tablet and n is the diffusional exponent indicative of the mechanism of drug release. The kinetics of dissolution data are shown in table 5.
Swelling index and percentage of hydration
Weighed SR mucoadhesive mini tablets (W0) were placed in a beaker containing 200 ml of SIF without enzyme for predetermined times (0.5, 1, 2, 4, 8, 12, 18 and 24 h). After immersion, the mini-tablets were removed from beaker and excess surface water was removed from the mini-tablets using filter paper and weighed (Wt) [16]. The profile of swelling index and percentage hydration are shown in fig. 4 and 5 respectively.

RESULTS AND DISCUSSION
Infrared spectra of bosentan and it's 1:1 physical mixture with gelucire 43/01, HPMCK4M, NaCMC and chitosan are presented in fig. 1. Bosentan alone showed–OH monomeric stretching at 3630 cm-1,-CH stretching of aromatic rings in the range of 3000-3100 cm-1, secondary–C-O stretching at 1170 cm-1and primary–C-O stretching at 1072 cm-1which remained unchanged in case of physical mixtures with all polymers. Hence there was no interaction between bosentan and polymers used in the current research such as gelucire 43/01, HPMCK4M, NaCMC and chitosan.

Fig. 1: Fourier transforms infrared spectra of bosentan and physical mixture (1:1) of drug with polymers
Fig. 2 represents the overlaying DSC thermo grams of bosentan and its 1:1 physical mixture with gelucire 43/01, HPMCK4M, NaCMC and chitosan. The DSC thermogram of bosentan exhibited a sharp endothermic peak at 104.9◦C (Tfus), with onset at 96 °C and latent heat of fusion (ΔHfus) of-267.7 mJ, indicated the crystalline nature of the drug whereas the DSC thermogram of its 1:1 physical mixture with each polymer also exhibited endothermic peaks nearer to that of pure drug. It was revealed that there was no interaction between the drug and polymers used in the present study.

Fig. 2: Differential scanning calorimetry thermograms of bosentan and physical mixture (1:1) of drug with polymers
The values of angle of repose (43 °), C. I (31 %) and H. R (1.36) for pure drug bosentan revealed that it is a poorly flowable drug whereas flowability and compressibility of SR granules were within the theoretical range for processing into tablet dosage form (table 2). Desirable micromeritic properties and the optimal presence of water diminish the cohesiveness of the powder, resulting in an increased bulk density for SR granules revealed enhanced flowability [17]. Addition of Sylysia 350 (25 % of the quantity of gelucire 43/01) in each formulation was found to be the optimum quantity for converting the waxy dispersion into freely flowable granules which can be processed into a tablet. This could be attributed to high oil adsorption capacity and high specific surface area of Sylysia 350 [18]. Incorporation of mucoadhesive polymers into the molten mass of gelucire 43/01 also exhibited desirable flowability and compressibility (table 2).
Drug content values (95-99%) ensured uniform mixing of bosentan with all the excipients. The hardness of the mini tablets was in the range of 4.7 to 5.3 kg/cm2 indicates the good mechanical strength of mini tablets. Friability values were in the range of 0.18 and 0.83 %, which ensures no loss of material from the surface or edge of mini tablets. All the formulations passed weight variation test as the variation in weight is within the pharmacopoeial specification for variation weight limit (±10 %) for uncoated tablets weighing less than 130 mg. Hence all the formulations passed the weight variation test (table 3).
All mucoadhesive SR mini-tablets of bosentan showed good mucoadhesive strength (g), force of adhesion (N) and bond strength (N/m2) (table 4). Among all formulations, NaCMC based SR mini tablets showed maximum mucoadhesive properties.
The mucoadhesive strength of mini-tablets may be due to chemical bonding, or it could be because of physical entanglement of swelled polymer with mucin thereby producing stronger mucoadhesion [19].
NaCMC exhibited better mucoadhesion because of improved interpenetration ability with the mucus chain [20]. Among different NaCMC based formulations, F9 and F10 showed nearly similar mucoadhesive properties hence F9 was selected as optimum formulation keeping in view minimum quantity of polymer required to produce desired mucoadhesion. The order of mucoadhesion of polymers was in the following order NaCMC>HPMCK4M>Chitosan.
Table 2: Flowability and compressibility of SR granules
| Formulation code | Angle of repose* ( °) | Compressibility index* (%) | Hausner’s ratio* |
| Bosentan | 43±2.3 | 31±2.9 | 1.36±0.3 |
| F1 | 21±2.86 | 19±1.42 | 0.76±0.05 |
| F2 | 23±1.71 | 20±1.23 | 1.19±0.09 |
| F3 | 24±1.38 | 18±1.34 | 1.18±0.04 |
| F4 | 22±1.56 | 19±2.41 | 1.08±0.07 |
| F5 | 23±2.82 | 20±1.23 | 1.13±0.02 |
| F6 | 22±0.84 | 23±1.12 | 1.24±0.06 |
| F7 | 21±1.53 | 21±1.80 | 1.12±0.03 |
| F8 | 23±2.12 | 21±1.51 | 1.21±0.12 |
| F9 | 24±2.34 | 19±1.35 | 1.13±0.03 |
| F10 | 20±2.12 | 21±1.17 | 1.18±0.03 |
| F11 | 22±1.21 | 23±1.31 | 1.17±0.14 |
| F12 | 24±1.43 | 22±1.74 | 1.12±0.12 |
| F13 | 23±1.26 | 22±1.14 | 1.21±0.05 |
*The values are expressed as mean±SD, n = 6.
Table 3: Quality control tests for sustain release mini tablets
| Formulation code | Drug content (%)* | Weight variation* | Hardness (Kg/cm2) * | Friability (%)* |
| F1 | 96.4±2.1 | Passed | 5.2±0.02 | 0.76±0.01 |
| F2 | 96.2±3.5 | Passed | 5.2±0.04 | 0. 52±0.01 |
| F3 | 95. 7±3.8 | Passed | 4.9±0.01 | 0.79±0.03 |
| F4 | 97.6±3.1 | Passed | 5.1±0.04 | 0.83±0.01 |
| F5 | 98.5±3.3 | Passed | 5.0±0.03 | 0.22±0.02 |
| F6 | 98.4±3.8 | Passed | 5.1±0.03 | 0.38±0.03 |
| F7 | 96.5±2.1 | Passed | 4.9±0.02 | 0.62±0.01 |
| F8 | 98.3±3.5 | Passed | 4.9±0.02 | 0.51±0.02 |
| F9 | 96.5±2.2 | Passed | 5.1±0.02 | 0.82±0.07 |
| F10 | 97.8±2.9 | Passed | 4.7±0.05 | 0.33±0.05 |
| F11 | 96.5±2.7 | Passed | 5.3±0.06 | 0.39±0.06 |
| F12 | 97.3±1.8 | Passed | 5.1±0.02 | 0.29±0.005 |
| F13 | 98.5±3.2 | Passed | 4.9±0.05 | 0.18±0.009 |
*The values are expressed as mean±SD, n = 6.
Table 4: Mucoadhesive strength of SR mucoadhesive mini tablets
| Formulation code | Mucoadhesive strength (g) * | Force of Adhesion (N) * | Bond strength (N/m2) * |
| F5 | 9. 365±0.076 | 0.043±0.004 | 2476.55±21 |
| F6 | 10.453±0.012 | 0.072±0.004 | 2815.09±31 |
| F7 | 11. 243±0.053 | 0.089±0.002 | 2942.68±19 |
| F8 | 14.14±0.19 | 0.129±0.013 | 3865.65±25 |
| F9 | 15.36±0.29 | 0.287±0.015 | 4597.35±31 |
| F10 | 15.56±0.28 | 0.289±0.027 | 4599.29±21 |
| F11 | 5.134±0.023 | 0.031±0.007 | 1678.52±26 |
| F12 | 5.678±0.086 | 0.0521±0.001 | 1976.09±29 |
| F13 | 6.021±0.034 | 0.0591±0.001 | 2034.68±18 |
| F14 | 15.21±0.032 | 0.286±0.002 | 4578.26±15 |
*The values are expressed as mean±SD, n = 6, F14 = hard gelatin capsule filled with 25 numbers of SR mini tablets of formulation F23 each containing 5 mg of bosentan.
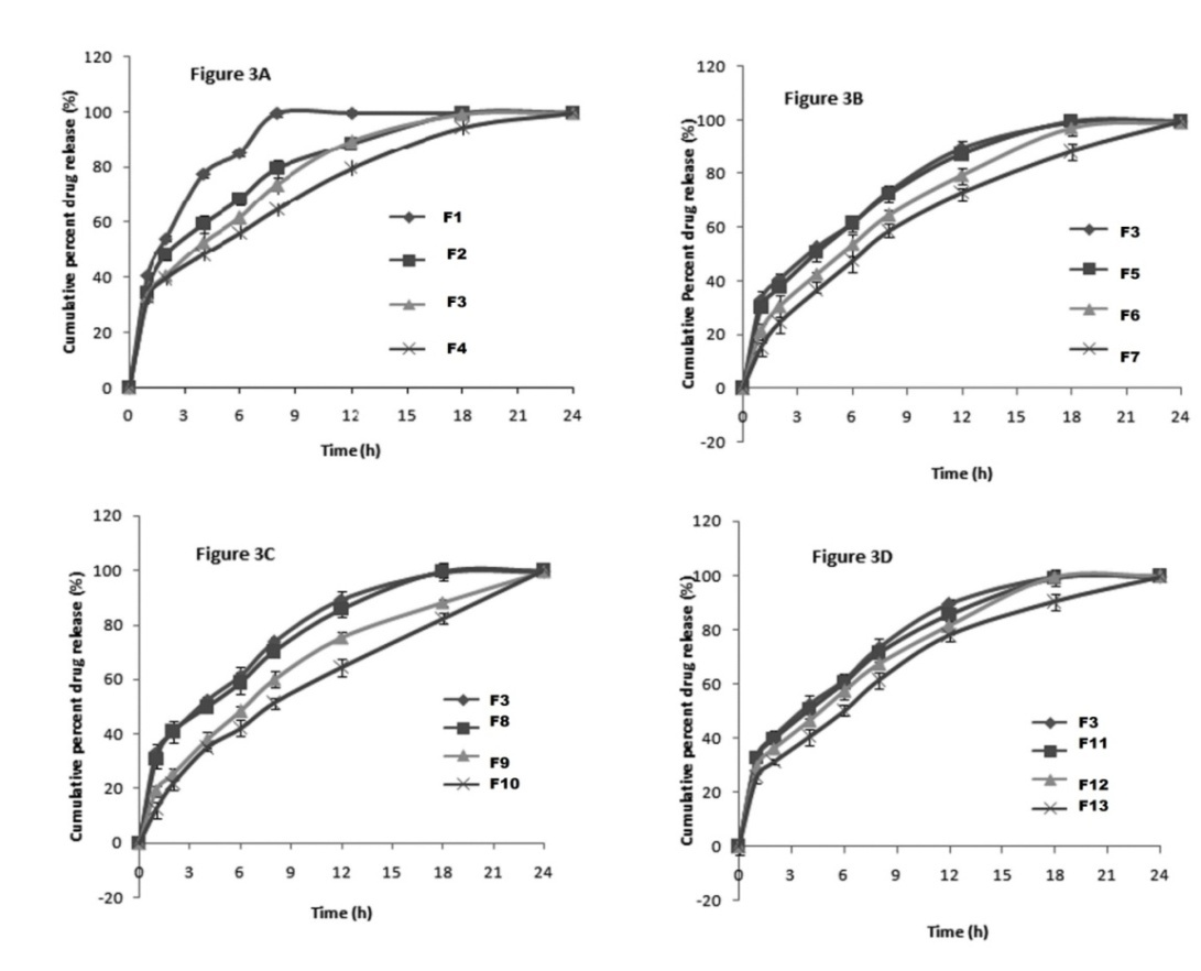
In vitro dissolution study for gelucire 43/01 based bosentan SR mini tablets (F1 to F4) are presented in fig. 3A. As the concentration of gelucire 43/01 increased, the release of bosentan from mini tablets decreased [21]. Formulation F1, F2, F3 and F4 could sustain the release of drug for 8, 18, 18 and 24 h respectively. All gelucire 43/01 based SR mini tablets exhibited initial burst release by dissolving more than 32 % of bosentan within 1 h. In order to overcome the limitations of burst effect, release modulators with mucoadhesive properties were added to the SR mini tablet formulation F3. The following polymers such as HPMCK4M, NaCMC and chitosan were selected to serve the dual purpose of mucoadhesion and release modulation.
In vitro release study for HPMCK4M based mucoadhesive SR mini tablets (F5 to F7) are shown in fig. 3B. Incorporation of HPMCK4M into gelucire 43/01 based SR mini tablet (F3) significantly modulated the burst release of bosentan. In the case of formulation F5 no modulation of burst release was observed. However, in formulation F6 and F7 a significant modulation of burst release was observed as only 21 and 15 % of bosentan was dissolved in 1 h respectively. HPMCK4M based SR mucoadhesive mini tablet further extended the release bosentan from 18 to 24 h as observed in formulation F7. Hence incorporation of HPMCK4M (F7) into formulation F3 modulated the initial burst release and exteneded drug release from 18 to 24 h. This can be attributed to hydration rate of pH-independent HPMC, depends on the solubility and nature of alkyl-hydroxy-alkyl-cellulose ether moiety with methoxy and hydroxyl-propyl groups of the polymer. HPMC K4M forms a viscous gel when exposed to aqueous media and may be helpful in controlled delivery drugs. The release of the drug was prolonged with the increase in the proportion of HPMCK4M [23].
In vitro release study for NaCMC based mucoadhesive SR mini tablets (F8 to F10) are shown in fig. 3C. Incorporation of NaCMC into gelucire 43/01 based SR mini tablet (F17) significantly modulated the burst release of bosentan. In the case of formulation F8 no modulation of burst release was observed. However, in formulation F9 and F10 a significant modulation of burst release was observed as only 19 and 12 % of bosentan was dissolved in 1 h respectively. NaCMC based SR mucoadhesive mini tablet further extended the release bosentan from 18 to 24 h as observed in formulation F9 and F10. Hence keeping in view the minimum amount of polymer, incorporation of NaCMC (F9) into formulation F3 modulated the initial burst release and extended drug release from 18 to 24 h. This can be attributed to the formation of gel when exposed to dissolution media [24].
In vitro release study for chitosan-based mucoadhesive SR mini tablets (F11 to F13) are shown in fig. 3D. Incorporation of chitosan into gelucire 43/01 based SR mini tablet (F3) could not modulate the burst release of bosentan in comparison to NaCMC and HPMCK4M. In the case of formulation F11 and F12 burst release was nearly similar to gelucire 43/01 based SR mini tablet (F3). However, in formulation F13 a significant modulation of burst release was observed as only 25 % of bosentan was dissolved in 1 h respectively. Chitosan-based SR mucoadhesive mini tablet further sustained the release bosentan from 18 to 24 h as observed in formulation F13. Even though formulation F13 sustained drug release for 24 h but it could not overcome the burst release of bosentan. Drug release from chitosan matrix occur only after swelling of the matrix, but the increase in crosslinking density increases the hydrophobicity of chitosan matrix that increases the time for hydration and drug release decreases [25].
All the four gelucire 43/01 based SR mini tablet formulations (F1 to F4) exhibited the highest correlation to higuchi model in comparison to first order and zero order equation. But it was observed that as the proportion of gelucire 43/01 increased the correlation coefficient value for higuchi model increased from 0.896 to 0.991. The release exponent value for all the four gelucire 43/01 based mini tablets was less than 0.5 indicating quasi-diffusion mechanism for the drug release [26, 27]. In the case of HPMCK4M based mucoadhesive SR mini tablets, all the three formulations F5 to F7 followed higuchi kinetics with higher correlation coefficient. F5 and F6 exhibited fickian diffusion controlled release whereas F7 demonstrated non fickian diffusion controlled release mechanism. In the case of NaCMC based mucoadhesive SR mini tablets, all the three formulations F8 to F10 followed higuchi kinetics with higher correlation coefficient. F8 exhibited fickian diffusion controlled release whereas F9 and F10 demonstrated non fickian diffusion controlled release mechanism. In the case of chitosan-based mucoadhesive SR mini tablets, all the three formulations F11 to F13 followed higuchi kinetics with higher correlation coefficient. The release exponent value for all the three mini tablets (F11 to F13) was less than 0.5 indicating the quasi-diffusion mechanism of drug release.

Fig. 3: In vitro dissolution profile of Mini tablets. (fig. 3A: Gelucire 43/01 based SR mini tablets, fig. 3B: HPMCK4M based mucoadhesive SR mini tablets, fig. 3C: NaCMC based mucoadhesive SR mini tablets and fig. 3B: Chitosan-based mucoadhesive SR mini tablets)
All mucoadhesive SR mini-tablets showed good Swelling Index (SI) but the highest swelling was observed in the case of NaCMC. The Swelling Index (SI) of mini-tablets increased with increase in the concentration of mucoadhesive polymers. The high swelling was achieved because of hydration of mucoadhesive polymers which expands and creates a proper macromolecular mesh of sufficient size. It also induces mobility in the polymer chains in order to enhance the interpenetration process between polymer and mucin. Polymer swelling permits a mechanical entanglement by exposing the bioadhesive sites for hydrogen bonding and/or electrostatic interaction between the polymer and the mucous network [28, 29]. Among the mucoadhesive polymers, NaCMC exhibited highest swelling index. Among NaCMC based mucoadhesive SR mini tablets formulation F9 and F10 exhibited higher swelling index. As the proportion of NaCMC increased, the swelling index also increased due to repulsive forces of the negative charge of carboxylate. The swelling index profiles of mini tablets are shown in fig. 4. Percentage of hydration of HPMCK4M based mucoadhesive SR mini tablets increased with increasing in the concentration of polymer. Formulation F6 and F7 exhibited more than 100% percentage hydration in less than 30 min. In the case of NaCMC based mucoadhesive SR mini tablets (F8 to F10), all the three formulations showed more than 100 % hydration in less than 30 min. In the case of chitosan-based mucoadhesive SR mini tablets, formulation F13 showed more than 100 % hydration within 30 min.
However, the extent of swelling was less in comparison to HPMCK4M and NaCMC. Hydration is required for a mucoadhesive polymer to expand and create a proper macromolecular mesh of sufficient size, and also to induce mobility in the polymer chains in order to enhance the interpenetration process between polymer and mucin.
From the mucoadhesive strength, In vitro dissolution data, swelling index and percentage of hydration study, NaCMC based mucoadhesive SR mini tablet (F9) was selected as the best formulation as it has exhibited highest mucoadhesion strength and sustained drug release for 24 h without burst release.
Table 5: In vitro drug release kinetics of mini tablets
| Formulations | Correlation coefficients (r2) | Korsmeyer-Peppa's release exponent (n) |
| Zero order | First order | |
| F1 | 0.732 | 0.849 |
| F2 | 0.854 | 0.977 |
| F3 | 0.889 | 0.979 |
| F4 | 0.929 | 0.956 |
| F5 | 0.899 | 0.968 |
| F6 | 0.937 | 0.982 |
| F7 | 0.963 | 0.939 |
| F8 | 0.906 | 0.968 |
| F9 | 0.955 | 0.912 |
| F10 | 0.977 | 0.837 |
| F11 | 0.902 | 0.977 |
| F12 | 0.922 | 0.963 |
| F13 | 0.945 | 0.946 |
| F14 | 0.943 | 0.921 |

Fig. 4: Swelling Index Profile of mucoadhesive SR mini tablets (fig. 4A: HPMCK4M, fig. 4B: NaCMC, fig. 4C: Chitosan)

Fig. 5: Percentage hydration profile of Mucoadhesive SR mini tablets. ((fig. 5A: HPMCK4M, fig. 5B: NaCMC, fig. 5C: Chitosan)

Fig. 6: Comparative dissolution profile of optimized NaCMC based optimized mini tablets (F9) and capsule filled with 25 number of mini tablets optimized formulation (F14)
From the optimized mini tablet formulation F9, 25 number of mini tablets each containing 5 mg of bosentan were filled into a zero size hard gelatin capsule. The capsule containing 125 mg of bosentan (F14) was subjected to In vitro dissolution study and mucoadhesion to ascertain that there was no major change in the properties of mini tablets. Mucoadhesion strength was found to be 15.26±0.21, and bosentan release was sustained for 24 h with no burst release as observed in formulation F23. Drug dissolution profile of F14 is shown in fig. 6.
CONCLUSION
In the present research, an once daily capsule filled with multiple unit mucoadhesive SR mini tablets of bosentan were prepared using combination gelucire 43/01 and hydroxypropyl methyl cellulose (HPMCK4M), sodium carboxymethyl cellulose (NaCMC) and chitosan to sustain drug release for 24 h. It was observed that gelucire 43/01 based mini tablets can be used to formulate sustain release dosage forms for 24 h with an initial burst release of more than 32%. This initial burst release can be modulated by incorporating NaCMC as release modulator. NaCMC also contributes in increasing residence time of mini tablets in the GI tract by adhering to the mucus membrane. Hence mini tablets prepared with a combination of gelucire 43/01 (release retardant) and NaCMC (release modulator and mucoadhesive polymer) filled into zero sizes hard gelatin capsule can be used to formulate once daily dosage form of bosentan for improved patient compliance.
CONFLICTS OF INTERESTS
The authors have none to declare
REFERENCES
How to cite this article