
aResearch Scholar, Manipal University, Manipal, Karnataka, India, bNatural Remedies, R and D Centre, Bangalore, Karnataka, 560100, India
Email: shekhar@naturalremedy.com
Received: 10 Jul 2016 Revised and Accepted: 21 Sep 2016
ABSTRACT
Objective: Moringa oleifera Lam. (Moringaceae), a small rapid growing, evergreen, deciduous tree is an important medicinal plant. Leaves and fruits of this plant are used for various ailments, as a nutritional supplement and also as vegetables. The current study involves in the determination of best combination of the cholesterol-lowering potential of a blend of methanol extracts of M. oleifera leaf and fruits, developed based on in vitro FIC index studies and evaluate the combination of this extracts in hypercholesterolemic animal models.
Methods: Leaf and fruit methanol extracts and their combinations were tested in in vitro lipase inhibition assay to determine the best combination using fractional inhibitory concentration (FIC) index. Hypercholesterolemia was induced with Triton WR-1339 (a non-ionic detergent) and with high cholesterol diet for acute and chronic model respectively and the cholesterol-lowering effect of 1:1 blend of M. oleifera leaf and fruits methanol extracts was evaluated.
Results: The FIC index values indicated that M. oleifera leaf and fruit extracts blended in 1:1 proportion was the best combination in in vitro lipase inhibition assay. This blend, when evaluated in vivo, showed a significant decrease in serum total cholesterol level from 24 h through 48 h in triton model. In high cholesterol diet model, the extract blend showed a significant reduction in serum triglycerides levels at 3 and 6 w of treatment.
Conclusion: The results indicate that the blend of M. oleifera at the tested dose could be lowering cholesterol and triglyceride levels by inhibiting the absorption of cholesterol and can be developed as a standardized blend for dietary supplement market.
Keywords: Moringa oleifera, Cholesterol, Lipase, FIC, Triton, high-fat diet, Niazirin
© 2016 The Authors. Published by Innovare Academic Sciences Pvt Ltd. This is an open access article under the CC BY license (http://creativecommons.org/licenses/by/4. 0/)
DOI: http://dx.doi.org/10.22159/ijpps.2016v8i11.14014
INTRODUCTION
Hypercholesterolemia is the root cause for major health issues like coronary heart disease and atherosclerosis. Control of plasma cholesterol, a biosynthetic product in the human body, has become one of the main therapeutic strategies to effectively control these diseases [1]. Atherosclerosis is a disease of blood vessels and known colloquially as “hardening of the arteries”. It is characterized by the accumulation of a fatty substance, cholesterol, cellular waste products, calcium and other metabolites in the inner lining of an artery [2]. Elevated cholesterol in the blood can cause coronary artery diseases (CAD) [3]. Statins, a class of drugs widely used for cholesterol management are potent HMG CoA reductase inhibitors that block the de novo synthesis of cholesterol. Statins (STs) are drugs of the first choice for the patients with hypercholesterolemia, especially in those who are at high cardiovascular risk [4]. However, some of these patients are intolerant to STs [5]. Several plant-based nutraceuticals have been suggested to improve plasma lipid profile [6]. Moringa oleifera Lamarck. (Moringaceae), commonly known as drumstick tree or horseradish tree is used as a vegetable and also used in Indian folk medicine for the treatment of various illnesses. Traditionally, the plant is used as antispasmodic, stimulant, expectorant and diuretic. Apart from its traditional and nutritional uses, there are several reports on different biological activities like antimicrobial, anti-inflammatory, antioxidant [7], anticancer, antifertility, hepatoprotective, cardiovascular, antiulcer, analgesia, wound healing, anticonvulsant, anti-allergic and anthelmintic activities [8]. Internally it is used as a stimulant, diuretic and antilithic [9]. Many chemical constituents have been isolated and characterized from this plant. The reported chemical constituents from M. oleifera leaves are niazirin and niazirinin and three glycosides, 4-((4'–O–acetyl–α–l–rhamnosyl oxy) benzyl) isothiocyanate, niaziminin A, and niaziminin B [10]. Niazirin and niaziridin are bioactive nitrile glycosides isolated from leaves and pods [11]. They are reported to act as bio enhancer to the antibiotics such as rifampicin, tetracycline and ampicillin [12]. Both extracts are estimated by using HPLC method [13]. There are multiple literature reports that the M. oleifera leaf and fruit extracts possess cholesterol-lowering activity. However, this activity has been reported at a dose ranging from 300 to 1000 mg/kg body weight in rats and this does when extrapolated to human dose corresponds to 3 g to 10 g of extract per day (freeze-dried powder of M. oleifera leaf extract (0.1 g/kg/day, p. o.) [14, 15]. Since the leaves and seeds of M. oleifera are reported to contain relatively diverse chemical constituents, that may be responsible for its medicinal properties; there is a high possibility of synergistic effect if these compounds are blended together in right proportion. So, an in vivo study was conducted to understand the potency/efficacy of a blend of methanolic extracts of leaves and fruit at a relatively lower dose in rats. The present study also involved quantification of niazirin for chemical standardization of this herbal extract blend to ensure its quality for the regulated market.
MATERIALS AND METHODS
Chemicals
Lipase enzyme, 4-methyl umbelliferyl oleate, trizma hydrochloride, trizma base, were obtained from Sigma, USA. Sodium chloride, calcium chloride, tyloxapol, sodium chloride AR, cholic acid and cholesterol AR were procured from HiMedia Laboratories Pvt. Ltd., India. Atorvastatin and HPLC grade acetonitrile from Ranbaxy Laboratories Ltd., India. Groundnut oil-double filtered was from Karnataka Co-operative Oil Seeds Growers Federation Ltd., India. The total cholesterol and triglycerides assay kit were purchased from Span Diagnostics Ltd., India. Niazirin was from Natural Remedies, Phytochemistry division.
Preparation of Leaf and fruit extract
The fresh M. oleifera leaves were collected in the summer season from Krishnagiri (Tamil Nadu) region, and shade dried fresh fruits were collected in the summer season from Madivala market, Bangalore. The dried M. oleifera leaves (1.5 kg) and fresh fruits (2 kg), were size reduced and were extracted separately with methanol (1:4 proportion) at 60 °C for about 2 h. The biomass was extracted three times, and all the three batches of methanol extract were filtered, combined, concentrated under vacuum in rota-evaporator to distill off solvent completely.
Evaluation of the fractional inhibitory concentration index of methanol extracts of both leaf and fruit
The lipase inhibition assay was used to evaluate the fractional inhibitory concentration (FIC) index of extracts from M. oleifera. Four different concentrations of extracts were prepared to obtain a final concentration in the range of 5, 10, 25 and 50 μg/ml. The extracts were mixed in appropriate concentration obtain a series of the combinations. The concentrations prepared correspond to 1: 1; 1: 2; 1: 3; 1: 4; 2: 1; 2: 3; 3: 1; 3: 2; 3: 4; 4: 1; 4: 3 of leaf and fruit methanol extract respectively. The assay was carried out as described by Masaaki [16].
In brief, the total reaction volume of 50 µl contained 15 µl Tris buffer/positive control/test sample at various concentrations, 5 µl of lipase enzyme, 5 µl of demineralized water and 25 µl of substrate (4-methyl umbelliferyl oleate). All the reagents were mixed, and the change in fluorescence at 25 °C was monitored for 20 min at an excitation of 360 nm and emission of 460 nm using fluorescence plate reader, fluostar optima (BMG Labtech, Germany. Orlistat was used as positive (reference) control in the assay.
The Fractional Inhibitory Concentration (FIC) index was calculated as follows:
Based on the FIC index values the combination effect was interpreted as synergistic when FIC index ≤ 0.5; as additive or indifferent when FIC index >0.5 and <1 and as an antagonistic effect when FIC index >1 [17].
Determination of niazirin content in the extracts
The individual extracts were prepared and analyzed by HPLC separately. The HPLC analysis was performed using High-Performance Liquid Chromatographic System LC 2010CHT (Shimadzu, Japan) equipped with photodiode array detector in combination with Class LC solution (2010) software and a C18 column (4.6 mm × 250 mm, 5 µm). Flow rate was 1.5 ml/min with detection wavelength at 220 nm.
Mobile phase A was water, and mobile phase B was 100% acetonitrile (ACN). HPLC analysis was performed at room temperature using a gradient elution program: 5–10 min, 5-20% phase B; 10–15 min, 20-25% phase B; 15–20 min, 25-30% phase B; 20–25 min, 30-80% phase B; 25-30 min, 80-95% phase B. Niazirin was used as standard to analyze the individual extracts for chemical standardization of extracts [13].
Animals and diets
Albino Wistar rats weighing 200–250 g, from the central animal facility of Natural Remedies Pvt. Ltd., were used. The animals were housed in standard polypropylene cages with stainless steel grill top in an air-conditioned room at 22±3 °C, 55±5% humidity and 12-h light and provided with standard laboratory diet (Amrut Laboratory Animal Feeds Source: M/s Pranav Agro Industries Ltd., India) and UV purified water ad libitum. All animal experiment procedures were performed with institutional animal ethics committee approval (No: IAEC/PCL/03/02.09) in accordance with CPCSEA guidelines.
Inducing hypercholesterolemia in rats
Triton WR-1339 model
Thirty-six male albino Wistar rats weighing between 200 and 250 g were divided into six groups, each consisting of six animals per group. Groups I and II served as vehicle control (demineralised water; 10 ml/kg; p. o.) and hyper-cholesterolemic control (Triton WR1339; 200 mg/kg; i. p.), respectively.
Group III was treated with atorvastatin (7.2 mg/kg). Groups IV-VI were treated with M. oleifera methanol extract mixture at the doses of 22.5, 45 and 90 mg/kg body weight respectively and Triton WR-1339; 200 mg/kg; i. p. The vehicle, reference standard and methanol extract blend were administered orally as a single dose. The blood samples of each animal were collected at different time intervals (18, 24, 40 and 48 h) post administration of Triton WR-1339 and treatments. Serum was separated for estimation of total cholesterol and triglycerides [18].
High cholesterol diet model
Forty-two male albino Wistar rats were randomly divided into six groups, each consisting of six animals per group. The animals were randomized based on body weight and serum total cholesterol on day 0. Group I served as normal control. Group II was kept as vehicle control (groundnut oil) for cholesterol treated rats. Group III served as hypercholesterolemic control. Group IV was treated with Atorvastatin (7.2 mg/kg) as the reference standard.
Groups V to VII were treated with M. oleifera at the doses of 22.5, 45 and 90 mg/kg, respectively. The reference standard/test substance was orally administered daily as a single dose for six weeks before the administration of cholesterol suspension to rats. Groundnut oil was used for administration of cholesterol and cholic acid to experimental rats. The blood samples of each animal were collected on day 0 and at weekly intervals till the end of the experiment (42 d) and serum was separated for estimation of total cholesterol and triglycerides. The animals were sacrificed at the end of the experiment and were observed for gross pathological changes [19].
Determination of TC and TG
Lipoproteins are the proteins, which mainly transport fats in the blood stream. They are grouped into chylomicrons, very low-density lipoproteins (VLDL), low-density lipoproteins (LDL) and high-density lipoproteins (HDL). Chylomicrons and VLDL mainly transport triglycerides, though VLDLs also transport some amount of cholesterol. LDL carries cholesterol to the peripheral tissues where it is deposited and increases the risk of arteriosclerotic heart and peripheral vascular disease.
Hence high levels of LDL are considered as atherogenic. HDL transports cholesterol from the peripheral tissues to the liver for excretion. Hence HDL has a protective effect [20]. Total cholesterol and Triglycerides determination was carried out as per procedure given in the test kits [21, 22].
Statistical analysis of data
The data were analyzed using one-way ANOVA followed by Bonferroni method as post–hoc test. In the case of heterogeneous data after transformation, Dunnett T3 method was used. All values are reported as mean+SEM. Statistical significance was set at p<0.05.
Table 1: Fractional inhibitory concentration index of different blends of leaf and fruit methanol extracts in lipase inhibition assay
| Sample | IC50 | FIC Index |
| Standard inhibitor (Orlistat) | 21.26 (ng/ml) (16.32-26.96) | |
| Leaf methanolic extract (PC/MO-L/Me-01) (L) | 17.05 µg/ml (13.75-21.31) | |
| Fruit methanolic extract (PC/MO-F/Me-01) (F) | 42.31 µg/ml (32.77-61.23) | |
| Leaf methanolic extract and fruit methanolic extract blend (L: F) | ||
| 1:1 | 19.4 µg/ml (16.36-23.28) | 0.654 |
| 1:2 | 25.44 µg/ml (21.82-30.28) | 0.751 |
| 1:3 | 25.81 µg/ml (21.42-32.26) | 1.434 |
| 1:4 | 38.71 µg/ml (31.35-51.29) | 2.078 |
| 2:1 | 13.19 µg/ml (10.44-16.39) | 1.036 |
| 2:3 | 19.89 µg/ml (16.28-24.81) | 1.235 |
| 3:1 | 14.96 µg/ml (12.43-17.95) | 1.281 |
| 3:2 | 16.74 µg/ml (14.11-19.92) | 1.233 |
| 3:4 | 14.54 µg/ml (12.38-17.02) | 0.924 |
| 4:1 | 12.46 µg/ml (10.08-15.1) | 1.127 |
| 4:3 | 27.25 µg/ml (22.81-33.67) | 1.955 |
Table 2: Percentage reduction in serum total cholesterol in triton model
| Treatment groups | Hour 18 | Hour 24 | Hour 40 | Hour 48 | Average |
| Atorvastatin (7.2 mg/kg; p. o.) | 22.80 | 22.33 | 27.05 | 14.55 | 21.68 |
| M. oleifera (22.5 mg/kg; p. o.) | 9.68 | 27.58 | 39.64 | 26.58 | 25.87 |
| M. oleifera (45 mg/kg; p. o.) | 19.18 | 35.22 | 46.76 | 34.73 | 33.97 |
| M. oleifera (90 mg/kg; p. o.) | 12.10 | 26.71 | 32.56 | 27.24 | 24.65 |
Values in treated groups are expressed as percentage reduction with respect to Hypercholesterolemic control
Table 3: Percentage reduction in serum triglycerides in triton model
| Treatment groups | Hour 18 | Hour 24 | Hour 40 | Hour 48 | Average |
| Atorvastatin (7.2 mg/kg; p. o.) | 2.33 | 19.42 | 38.36 | -0.98 | 14.78 |
| M. oleifera (22.5 mg/kg; p. o.) | 2.12 | 18.19 | 44.04 | 1.64 | 16.50 |
| M. oleifera (45 mg/kg; p. o.) | 14.19 | 29.24 | 25.03 | 1.55 | 17.50 |
| M. oleifera (90 mg/kg; p. o.) | -0.20 | 15.51 | 26.42 | 3.44 | 11.29 |
Values in treated groups are expressed as percentage reduction with respect to Hypercholesterolemic control
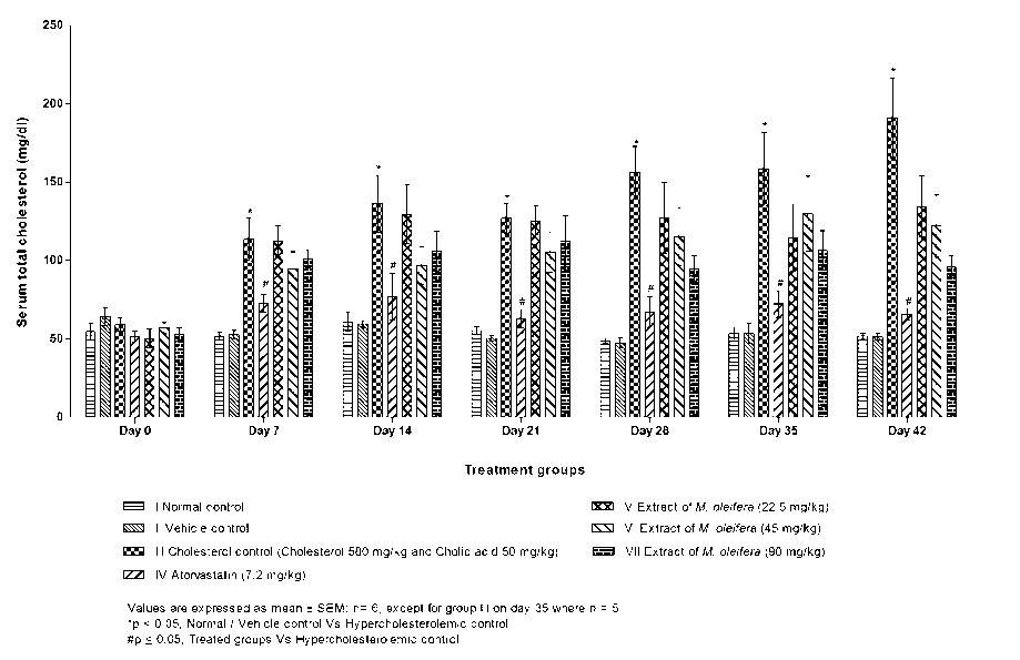
Table 4: Percentage reduction in serum total cholesterol in high cholesterol diet model
| Treatment groups | Day 7 | Day 14 | Day 21 | Day 28 | Day 35 | Day 42 | Average |
| Atorvastatin (7.2 mg/kg) | 35.97 | 43.48 | 50.35 | 56.94 | 54.37 | 65.51 | 51.10 |
| Extract of M. oleifera (22.5 mg/kg) | 1.04 | 5.01 | 1.39 | 18.46 | 27.76 | 29.65 | 13.88 |
| Extract of M. oleifera (45 mg/kg) | 16.63 | 28.87 | 17.07 | 26.15 | 18.11 | 36.05 | 23.81 |
| Extract of M. oleifera (90 mg/kg) | 11.08 | 22.25 | 11.59 | 39.20 | 32.87 | 49.78 | 27.79 |
Values are expressed as percentage reduction with respect to Hypercholesterolemic control

Fig. 1: Comparison of HPLC chromatograms of leaf and fruit methanol extract of M. oleifera
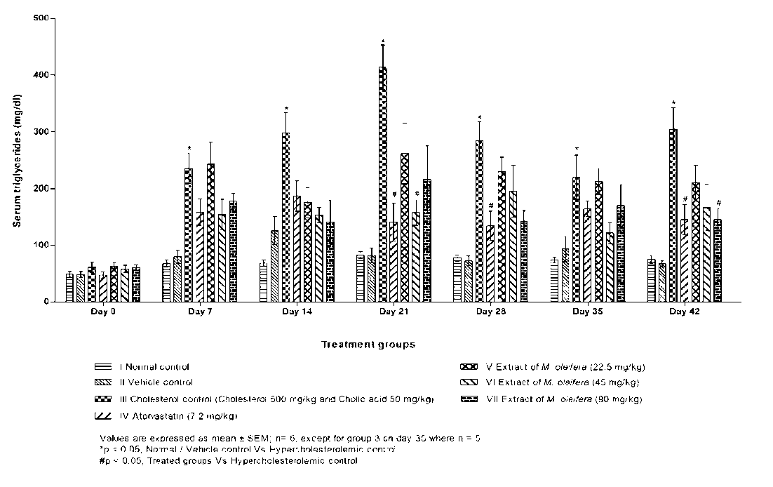
Table 5: Percentage reduction in serum triglycerides in high cholesterol diet model
| Treatment groups | Day 7 | Day 14 | Day 21 | Day 28 | Day 35 | Day 42 | Average |
| Atorvastatin (7.2 mg/kg) | 32.87 | 37.18 | 65.80 | 52.62 | 25.28 | 52.13 | 44.31 |
| Extract of M. oleifera (22.5 mg/kg) | -2.87 | 41.25 | 36.64 | 19.29 | 3.44 | 30.73 | 21.41 |
| Extract of M. oleifera (45 mg/kg) | 34.39 | 48.32 | 61.84 | 31.22 | 44.72 | 45.10 | 44.26 |
| Extract of M. oleifera (90 mg/kg) | 24.71 | 52.38 | 47.77 | 49.75 | 22.64 | 52.24 | 41.58 |
Values are expressed as percentage reduction with respect to Hypercholesterolemic control

Fig. 2: Effect of extract blend of M. oleifera on serum total cholesterol in Triton WR1339 induced hypercholesterolemia in albino Wistar rats

Fig. 3: Effect of extract blend of M. oleifera on serum triglycerides in Triton WR1339 induced hypercholesterolemia in albino Wistar rats

Fig. 4: Effect of extract blend of M. oleifera on serum total cholesterol level in albino Wistar rats

Fig. 5: Effect of extract blend of M. oleifera on serum triglycerides level in albino Wistar rats
RESULTS
Fractional inhibitory concentration index of methanol extracts of leaf and fruit
The methanol extract of leaves and fruits obtained were 120 g (8%) and 80 g (4%) respectively, which were analyzed in vitro for lipase inhibitory activity and FIC index was calculated to determine the best combination. The IC50 values for individual extracts and the different blends and the FIC index values are given in table 1. Based on the FIC index values, the methanol extracts of leaf and fruit in blended 1:1 proportion showed the additive effect and was selected for further evaluation.
Determination of niazirin content in the extracts
The niazirin content was found to be 1.14% w/w, 1.1 and 1.0% w/w in final blend extract, leaf methanol extract and fruit methanol extract respectively. The HPLC chromatograms of M. oleifera extracts and standard is shown in fig. 1
Effect of the extract on serum TC and TG in triton WR-1339 model
The mean serum total cholesterol level of each group is presented in fig. 2. There was no significant change observed in the serum total cholesterol level at 0 h between all the groups. The hypercholesterolemic control group showed a significant increase in serum total cholesterol level at 18 h through 48 h when compared with the vehicle control group. The groups treated with M. oleifera (22.5, 45 and 90 mg/kg) showed a significant decrease in serum total cholesterol level from 24 h through 48 h when compared with hypercholesterolemic control group, except for a non-significant decrease at 40 h in 90 mg/kg treated group and at hr 48 in 22.5 and 90 mg/kg treated groups when compared with hypercholesterolemic control group.
The mean serum triglycerides level of each group is presented in fig. 4. Treatment with atorvastatin and M. oleifera at the doses of 22.5, 45 and 90 mg/kg showed a marginal decrease in serum triglycerides level when compared with hypercholesterolemic control group.
The percent reduction in serum total cholesterol and triglycerides levels of different groups at various time intervals are presented in table 2 and 3 respectively. M. oleifera treatment at 22.5, 45 and 90 mg/kg showed an average reduction of 25.87 %, 33.97 % and 24.65 % in serum total cholesterol level and 16.50 %, 17.50 % and 11.29 % in serum triglycerides level respectively when compared to hypercholesterolemic control group.
Effect of the extract on serum TC and TG in high cholesterol diet model
The mean serum total cholesterol level of all the groups at weekly intervals is presented in fig. 4. The group treated with Atorvastatin showed a significant decrease in mean serum total cholesterol level from day 7 through day 42 when compared with hyper-cholesterolemic control. The extract of M. oleifera at the dose of 90 mg/kg showed a non-significant decrease in mean serum total cholesterol level when compared with hypercholesterolemic control.
The mean serum triglycerides level of all the groups at weekly intervals is presented in fig. 5. The extract of M. oleifera showed a significant decrease in mean serum triglycerides level at day 45 mg/kg treated group and at day 90 mg/kg treated group when compared with hypercholesterolemic control. The extract of M. oleifera at the dose of 45 mg/kg showed a non-significant decrease in mean serum triglycerides at rest of the intervals.
The percent reduction in serum total cholesterol and triglycerides levels of different groups at weekly intervals are presented in table 4 and 5 respectively. Treatment with extract of M. oleifera treatment showed a dose-dependent overall average of 13.88%, 23.81% and 27.79% reduction in serum total cholesterol at 22.5, 45 and 90 mg/kg respectively. Treatment with extract of M. oleifera treatment showed a dose-dependent overall average of 21.41%, 44.26% and 41.58% reduction in serum triglycerides at 22.5, 45 and 90 mg/kg respectively.
DISCUSSION
In the present study, we used lipase inhibition assay for determination of this activity. M. oleifera extracts are reported to respond to the lipase inhibition assay in vitro [23]. The FIC index of 0.6 for 1:1 combination of leaf and fruit extracts was the best among all the tested combinations depicting their additive effect in lipase inhibition assay. Hence this combination was used for in vivo studies to evaluate the hypo cholesterol/hypolipidemic activity in acute triton model and high cholesterol diet models.
Triton WR-1339, a non-ionic detergent has been widely used to block clearance of triglyceride-rich lipoproteins from plasma to induce acute hypercholesterolemia in animal models that are used for screening natural and chemical/synthetic hypolipidemic drugs. Many plant extracts such as Ocimum basilicum L. Piper betle L. Aegle marmelos (L) [24-26] and many more are tested for hypo cholesterol activity. In the triton model, the extract blend significantly reduced total plasma cholesterol.
In the high cholesterol diet model, the M. oleifera extract blend caused significant reduction of triglycerides. To prevent consequences of hypercholesterolemia in humans, many plants/extracts have been used. Extracts like guar gum, garlic, almonds nuts, Asparagus gonoclados and leaf of Hibiscus cannabis have been studied in the high fat model [27-31]. Though many synthetic drugs have been established for reduction of cholesterol, still there is a need for searching natural remedies for the treatment due to side effects associated with conventional drug therapy. In this context, M. oleifera extracts have been studied for hypo cholesterol activity by many researchers. However, a study on extract blends of M. oleifera is not reported so far. The hypo cholesterol activity of Moringa leaves in high cholesterol diet model has been reported at a dose of 1000 mg/kg body weight for water extract and 600 mg/kg body weight for methanol extract respectively [32, 33]. Similar results for fruit were reported in rabbits at a dose of 200 mg/kg/day [15]. The human equivalent dose (HED) for these tested doses ranges from 3 g to 10 g. However, in the present study, the blend of leaf and fruit methanol extracts showed on an average 33% reduction in serum total cholesterol and 17% reduction in serum triglyceride levels at a relatively lower dose of 45 mg/kg body weight. Though the change observed was not statistically significant for cholesterol, the reduction in triglyceride levels was statistically significant. This animal dose is equivalent to 500 mg of human dose per day [34]. This combination study was attempted for the first time, and it has shown significant improvement in the activity when compared to individual extracts of leaf or fruits.
The observed reduction in serum cholesterol could be on account of decreased cholesterol biosynthesis through inhibition of HMG Co-A, an enzyme which plays a key role in controlling cholesterol levels in plasma and other tissue. This effect may be due to the presence of major chemical constituents such as nitrile glycosides [10] mustard oil glycosides, marumosides A and B; other flavonoid glycosides [35]. Lawrence et al. also reported the isolation of kaempferol glycosides from leaves. All of these constituents represent the polar group of extract which might be responsible for the reduction in elevated TGs and catabolic metabolism of TGs. It is hypothesized by many authors that the restoration of catabolic metabolism of triglycerides could be due to an increased stimulation of the lipolytic activity of plasma lipoprotein lipase (LPL). This similar observation has also been reported for a polar soluble fraction of Ocimum basilicum which is reported to significantly reduce the elevated blood concentrations of TGs [36]. The presence of flavonoids like rutin, quercetin, kaempferol in the leaves might also be responsible for hypo cholesterol activity through different mechanisms, which were previously reported by other authors [37-39]. Another class of compounds called sterols is also reported from the alcoholic extract of Moringa leaves [40, 41]. Phytosterols are plant sterols, structurally similar to cholesterol, that act in the intestine to lower cholesterol absorption [42]. The presence of these constituents can be attributed to the observed hypo cholesterol activity of the extract blend.
The concentration of niazirin was found to be slightly higher in leaves than in fruits, which correlates with previous reports [43]. Niazirin reported to possess antitumor and antimicrobial activity [44] was found to be 1.1% w/w in the extract blend. However, this compound can be used for standardization of extracts from leaf or fruits and their respective raw materials.
CONCLUSION
The observed serum cholesterol and triglycerides are reducing the effect of the leaf and fruit methanolic extracts blend of M. oleifera, at a lower dose, provides evidence for the complementary action of its leaf and fruit phytoconstituents in manifesting this effect by inhibiting the absorption of cholesterol. The results also indicate that the blend is having better activity at a feasible dose for human administration and it can be developed as a novel standardized blend for dietary supplement market.
ACKNOWLEDGEMENT
The authors are thankful to National Medicinal Plants Board, New Delhi, for partial financial support vide grant No R & D/KR-04/2009-10.
CONFLICT OF INTERESTS
The authors declare that there is no conflict of interest.
REFERENCES
How to cite this article