1Department of Post Graduate Studies and Research in Chemistry, School of Chemical Sciences, Kuvempu University, Shankaraghatta, Karnataka 577451, India, 2Department of Bioinformatics, Azyme Biosciences Pvt. Ltd., Bangalore 560069.
Email: mahadevan.kmm@gmail.com
Received: 20 Jun 2014 Revised and Accepted: 28 Jul 2014
ABSTRACT
Objective: Synthesis of novel (E)-3-(9-ethyl-9H-carbazol-3yl)-1-phenylprop-2-en-1-ones 3a-i to evaluate for their fluorescence property and anticancer activity on Murine double minutes-2(MDM2) receptor bind p53 and Pheripheral benzodiazepine receptor (PBR) proteins.
Methods: A Claisen-Schmidt condensation of 9-ethyl-9H-carbazole-3-carbaldehyde 1 with substituted acetophenones 2a-i was carried out to obtain novel class of a series of (E)-3-(9-ethyl-9H-carbazol-3yl)-1-phenylprop-2-en-1-ones 3a-i. The fluorescent behavior in ethanol and acetone as solvents, in silico docking study against MDM2 receptor bind p53 and PBR proteins was investigated.
Results: The fluorescent spectrum of (E)-3-(9-ethyl-9H-carbazol-3yl)-1-phenylprop-2-en-1-ones 3a-i shows a large red shift in acetone and ethanol. The compounds 3a-i exhibits large Stoke’s shifts value ranging from 135.5 to 160.0 nm in ethanol when compared to standard rhodamine B which was 32 nm. Similarly in acetone the compounds 3a-i exhibits large Stoke’s shifts value ranging from 114.5 to 141.0 nm when compared to standard rhodamine B which was 40 nm. The docking study reveals that the (E)-3-(9-ethyl-9H-carbazol-3yl)-1-phenylprop-2-en-1-ones 3a-i were shown excellent interaction with PBR receptor protein with binding energy of -2.643050e+02 to -3.104552e+02 kcal/mol. However, the same target compounds exhibited poor interaction with MDM2-bind p53 receptor cancer protein.
Conclusion: The study could further widen the scope for the development of similar new structurally distinct (E)-3-(9-ethyl-9H-carbazol-3yl)-1-phenylprop-2-en-1-ones to identify potential anticancer agents. Also since the fluorescent spectrum of (E)-3-(9-ethyl-9H-carbazol-3yl)-1-phenylprop-2-en-1-ones 3a-i exhibits a large red shift with an increase in the polarity of the solvents, these can also serve as good candidates for biological probes in medicinal field.
Keywords: Carbazole, Fluorescence, Claisen-Schmidt condensation, Stockes shift, PBR, MDM2-bind p53 receptor cancer proteins.
INTRODUCTION
Conjugated organic molecules with extended delocalized electron system have been studied extensively as two-photon absorption material in the near infrared region and then emit TPA induced fluorescence in the visible spectrum [1,2]. The TPA properties can be enhanced by incorporation of an electron donating edge substituent, which leads to the molecular structure D–p–D (where D is an electron donating group and p is a conjugated central link). This TPA enhancement is based on the intramolecular charge transfer from the donor edge substituents to the central core. Additionally, the molecules of the general structure D–p–A and D–p–A–p–D (where A is an electron acceptor) have been studied which showing good TPA properties [3]. Carbazole ring systems consisting nitrogen hetero atom with linear π-conjugation which allow molecular planarity are well known for their electron-donor property [4,5]. This is prerequisite for molecule to possess optical and electronic properties including photoconductivity and photorefractivity [2].
Hence, a number of carbazole derivatives were extensively studied for their multiple applications in molecular fluorescence markers of cancer cells [4], field effect transistors (FFTs) [5], hole-transporting layers [5], and organic light-emitting diodes (OLEDs) [6-8], since they are thermally stable and emit blue light in visible region [2]. The optical property of these carbazole derivatives were tuned by introducing various auxochrome groups [4]. The challenging aspects in synthesizing such structure is to achieve light-emiting materials having high efficiency and with long term stability [2]. Recently Li et al have reported fluorescent 1,5-diphenyl-3-(N-ethylcarbazole-3yl)-2-pyrazoline as new intramolecular charge transfer compound which exhibits large red shift with increase in solvent polarity [9]. Kyung et al synthesized and studied the electrochemical and fluorescent properties of chalcone derived from N-ethyl carbazole and ferrocenyl, found that ferrocenyl group acts as auxochrome [4], Abdullah et al studied the fluorescence and non linear optical properties of novel carbazole derivatives possess significant electron transfer between donor and acceptor group through π-conjugated core [10], Niziol et al have studied the azo-carbazoles dyes as promising materials for diffraction gratings recording and for the quantum electronic devices [11], Ashok et al have reported the metal free organic dyes containing N-aryl carbazole derivatives as donor and cyanoacrylic acid as acceptor bridged by benzothiadiazole unit (D-Btz-A) as low band gap chromophores for DSSC [12]. Zhiyong et al has reported Triphenylethylene carbazole derivatives as potential materials for blue-light emitters in luminescent devices and fluorescence sensors [13]. Eunhee Lim also reported carbazole-benzothiadiazole-based conjugated polymers for organic photovoltaic cells and achieved the highest power conversion efficiency (PCE) of 1.74% [14].
Hence, based on the wider applications of carbazole moieties and as a part of our continued research on synthesis of new fluorescent molecule [15-18] and other heterocyclic compounds as new anticancer agents [19-23] in this work, we report one pot Claisen-Schmidt condensation of 9-ethyl-9H-carbazole-3-carbaldehyde with various substituted acetophenones to furnish a series of novel (E)-3-(9-ethyl-9H-carbazol-3yl)-1-phenylprop-2-en-1-ones (3a-i). The various, 3a-i compounds were evaluated for their fluorescent behavior in ethanol and acetone solvents. All these compounds were docked against PBR and MDM2-bind p53 cancer causing receptor proteins. Thus we were able to identify most promising candidates as DNA-interactive moiety which potentially endowed with antitumor activity.
MATERIALS AND METHODS
Chemistry
The chemicals and reagents obtained from Hi Media, Sigma-Aldrich Chemical Company were used as received. Melting points were uncorrected, determined in open capillary. Purity of the compounds was checked by TLC on silica gel and compounds were purified by using column chromatography. 1H NMR and 13C NMR spectra were recorded on a Bruker supercon FT NMR (400 MHz) spectrometer in CDCl3 or DMSO-d6 and TMS as an internal standard. The chemical shifts are expressed in δ units. Mass spectra were recorded on a JEOL SX 102/DA-6000 (10 kV) FAB mass spectrometer.
Typical procedure for the synthesis of (E)-3-(9-3thyl-9H-carbazol-3-yl)-1-phenylprop-2-en-1-one (3a)
The mole equivalent of 9-Ethyl-3-carbazolecarboxaldehyde 0.5 g (0.002 mol) and acetophenone 0.24 g (0.002 mol) was taken in a round bottom flask containing EtOH solvent added with NaOH (0.12 g, 2N 1.5 ml) as catalyst. The whole reaction mixture was stirred under room temperature for an appropriate time. After the completion of the reaction as indicated by TLC, the reaction mixture was poured into water (100 mL), acidified with dilute HCl and extracted with EtOAc (10x2 mL). The combined organic layer was dried over anhydrous Na2SO4 and evaporated under reduced pressure to get crude solid. The crude product was purified by column chromatography with silica gel (60-120 mesh, petroleum ether: ethyl acetate, 8:2 v/v) furnished the analytically pure compound 3a, yield 94%. Similarly all other derivatives 3b-i were obtained.
Spectral data
(E)-3-(9-ethyl-9H-carbazol-3yl)-1-phenylprop-2-en-1-one (3a)
1H NMR (400 MHz, CDCl3) δ: 8.39(d, J=1.6, 1H), 8.15(d, J=7.6Hz, 1H), 8.25-8.15(m, 2H), 8.07(d, J=15.6 Hz, 1H), 7.99(d, J1=1.2, J2=7.6 Hz, 1H), 7.82-7.79(m, 1H), 7.52(d, J=15.6 Hz, 1H), 7.45-7.30(m, 6H), 7.19-7.04(m, 1H), 4.40(q, J= 7.2 Hz, 2H), 1.47(t, J=7.2 Hz, 3H). 13C NMR (100 MHz, CDCl3) δ =188.9, 147.9, 131.4, 131.0, 130.8, 127.6, 127.1, 126.8, 124.5, 124.0, 121.6, 120.9, 119.3, 118.4, 115.4, 108.9, 37.4, 14.2. MS: m/z = 326.0(M+1), 327.0(M+2).
(E)-3-(9-ethyl-9H-carbazol-3-yl)-1-(4-fluorophenyl)prop-2-en-1-one (3b)
1H NMR (400 MHz, CDCl3) δ: 8.39(s, 1H), 8.16-8.09(m, 3H), 8.06(d, J=15.6 Hz, 1H), 7.80(d, J= 8.4 Hz, 1H), 7.56(d, J=16.0 Hz, 1H), 7.52-7.42(m, 3H), 7.29(s, 1H), 7.21(d, J=8.4 Hz, 2H), 4.40(q, J= 7.2 Hz, 2H), 1.47(t, J= 7.2 Hz, 3H). 13C NMR (100 MHz, CDCl3) δ =189.1, 146.9, 131.1, 131.0, 130.9, 126.5, 125.9, 123.6, 122.9, 121.8, 120.8, 119.9, 118.8, 118.6, 115.8, 115.6, 109.0, 37.9, 14.0. MS: m/z = 344.2(M+1), 345.2(M+2).
(E)-1-(4-chlorophenyl)-3-(9-ethyl-9H-carbazol-3yl)prop-2-en-1-one (3c)
1H NMR (400 MHz, CDCl3) δ: 8.38(d, J=1.6 Hz, 1H), 8.14(d, J=7.6 Hz,1H), 8.06(d, J=15.6 Hz, 1H), 7.94(d, J= 6.6 Hz, 2H), 7.79(dd, J1= 1.6, J2=8.4 Hz, 1H), 7.66(d, 6.8 Hz, 2H), 7.53(d, J=15.6 Hz, 1H), 7.50-7.42(m, 3H), 7.31-7.28(m, 1H), 4.39(q, J=7.2 Hz, 2H), 1.46(t, J=7.2 Hz, 3H). 13C NMR (100 MHz, CDCl3) δ = 190.2, 147.6, 138.0, 132.2, 130.4, 126.8, 121.1, 120.2, 119.4, 118.9, 118.4, 114.8, 109.4, 37.8, 14.3. MS: m/z = 360.5(M+1).`
(E)-1-(4-bromophenyl)-3-(9-ethyl-9H-carbazol-3-yl)prop-2-en-1-one (3d)
1H NMR (400 MHz, CDCl3) δ: 8.38(d, J=1.6 Hz, 1H), 8.14(d, J= 8.0Hz, 1H), 8.06(d, J=15.6 Hz, 1H), 8.01(d, J=6.8 Hz 2H), 7.79(dd, J1=1.6, J2=8.4 Hz, 1H), 7.54(d, J=15.6 Hz, 1H), 7.51-7.48(m, 3H), 7.45-7.41(m, 2H), 7.31-7.28(m, 1H), 4.39(q, J=7.2 Hz,2H), 1.46(t, J=7.6 Hz, 3H). MS: m/z = 404.4(M+).
(E)-3-(9-ethyl-9H-carbazol-3-yl)-1-(4-methoxyphenyl)prop-2-en-1-one (3e)
1H NMR (400 MHz, CDCl3) δ: 8.38(d, J=1.6 Hz, 1H), 8.15(d, J=7.6 Hz,1H), 8.10(d, J=9.2 Hz, 2H), 8.05(d, J=15.6 Hz, 1H), 7.79(dd, J1=1.6, J2=8.4 Hz, 1H), 7.61(d, J=15.6 Hz, 1H), 7.53-7.49(m, 1H), 7.44-7.41(m, 2H), 7.31-7.26(m, 1H), 7.00(d, J=9.2Hz, 1 H), 4.39(q, J=7.2 Hz, 2H), 3.90(s, 3H), 1.47(t, J= 7.6 Hz, 3H). 13C NMR (100 MHz, CDCl3) δ =163.6, 146.1, 141.8, 132.1, 131.1, 126.7, 126.5, 124.0, 121.9, 121.1, 120.1, 119.3, 114.2, 109.3, 55.9, 38.2, 14.3. MS: m/z = 356.5(M+1), 357.6(M+2).
(E)-1-(4-ethoxyphenyl)-3-(9-ethyl-9H-carbazol-3yl)prop-2-en-1-one (3f)
1H NMR (400 MHz, CDCl3) δ: 8.38(d, J=1.2 Hz, H), 8.15(d, J= 7.6 Hz, 1H), 8.09(d, J=8.8 Hz, 2H), 8.05(d, J=15.6 Hz, 1H), 7.79(dd, J1=1.6, J2=8.4 Hz, 1H), 7.61(d, J=15.6 Hz, 1H), 7.53-7.49(m, 1H), 7.44-7.41(m, 2H), 7.29(s, 1H), 6.99(d, J=8 Hz, 2H), 4.39(q, J=7.2 Hz, 2H), 4.13(q, J=7.2 Hz, 2H), 1.47(t, J=7.2 Hz, 6H). 13C NMR (100 MHz, CDCl3) δ =189.4, 147.2, 137.9, 131.2, 129.0, 127.3, 125.9, 124.4, 122.9, 120.9, 120.1, 118.4, 109.5, 60.4, 44.9, 38.0, 14.4. MS: m/z =370.6(M+1), 371.6(M+2).
(E)-3-(9-ethyl-9H-carbazol-3-yl)-1-(3-methoxyphenyl)prop-2-en-1-one (3g)
1H NMR (400 MHz, CDCl3) δ: 8.39(d, J=1.2 Hz, 1H), 8.15(d, J=8.0 Hz, 1H), 8.06(d, J=15.6 Hz, 1H), 7.80(dd, J1=1.2, J2=8.4 Hz, 1H), 7.66(d, J= 7.6 Hz, 1H), 7.57(d, J=15.6 Hz, 1H), 7.45-7.42(m, 5H), 7.31-7.27(m, 1H), 7.14(dd, J1=2.4, J2=7.6 Hz, 1H), 4.40(q, J=7.2 Hz, 2H), 3.91(s, 3H), 1.46(t, J=7.2 Hz, 3H). 13C NMR (100 MHz, CDCl3) δ = 164.5, 147.1, 142.3, 132.6, 131.0, 125.8, 125.0, 124.5, 121.3, 120.9, 120.1, 118.2, 114.7, 108.8, 55.3, 38.4, 14.1. MS: m/z =356.5(M+1), 357.6(M+2).
(E)-1-(4-ethoxyphenyl)-3-(9-ethyl-9H-carbazol-3-yl)prop-2-en-1-one (3h)
1H NMR (400 MHz, CDCl3) δ: 8.39(d, J=1.2 Hz, 1H), 8.15(d, J=7.6 Hz, 1H), 8.07(d, J= 8.4 Hz, 2H), 8.06(d, J=15.6 Hz, 1H), 7.88(dd, J1=1.6, J2=8.4 Hz, 1H), 7.59(d, J=15.6 Hz, 1H), 7.57-49(m, 4H), 7.45-7.42(m, 2H), 7.31-7.27(m, 1H), 4.39(q, J=7.2 Hz, 2H), 4.14(q, J=7.2 Hz, 2H), 1.46(t, J= 7.2 Hz, 6H). 13C NMR (100 MHz, CDCl3) δ = 189.2, 147.5, 137.5, 130.3, 129.3, 126.8, 124.0, 122.2, 121.1, 120.2, 118.9, 109.4, 60.39, 44.1, 38.2, 14.3. MS: m/z = 369.9(M+), 370.6(M+1).
(E)-1-(3-bromophenyl)-3-(9-ethyl-9H-carbazol-3-yl)prop-2-en-1-one (3i)
1H NMR (400 MHz, CDCl3) δ: 8.39(d, J=1.2 Hz, 1H), 8.15(d, J=7.6 Hz, 1H), 8.07(d, J=8.4 Hz, 2H), 8.06(d, J=15.6 Hz, 1H), 7.88(dd, J1=1.6, J2=8.4 Hz, 1H), 7.59(d, J=15.6 Hz, 1H), 7.57-49(m, 4H), 7.45-7.42(m, 2H), 7.31-7.27(m, 1H), 4.39(q, J= 7.2 Hz, 2H), 1.46(t, J=7.2 Hz, 3H). 13C NMR (100 MHz, CDCl3) δ = 191.1, 147.0, 141.9, 140.9, 139.3, 132.8, 129.0, 128.9, 126.8, 126.3, 123.9, 123.3, 122.1, 121.1, 120.2, 119.5, 109.3, 38.2, 14.3. MS: m/z = 404.4(M+).
In silico molecular docking studies
The crystal structure of MDM2 receptor bind p53 tumor suppressor protein (PDB ID: 1RV1) shows over expression in transcriptional inhibition and impairs the p53 function, this characteristic shows inhibition of further downstream pathways [25]. Another protein peripheral benzodiazepine receptor (PBR) (PDBID: 1EQ1) [26] helps translocation of cholesterol and porphyrin across the mitochondrial outer membrane and helps for steroid biosynthesis [27], cellular respiration [28], proliferation [29] and apoptosis [30].
The chemical structures of synthesized compounds were drawn using ChemDraw Ultra 8.0. The docking studies were performed using HEX 6.3 software. Hex is an interactive molecular graphics program for calculating and displaying feasible docking modes of pairs of protein and DNA molecules. Hex can also calculate protein-ligand docking, assuming the ligand is rigid, and it can superpose pairs of molecules using only knowledge of their 3D shapes.
Fluorometric studies
The fluorescence spectra was recorded on Hitachi, F-7000 spectrofluorometer, using different solvents such as ethanol and acetone at 1×10-6 M concentration (Figure. 1 and 4) and the related data were listed in table 6. The fluorescence spectra was recorded using excitation into the maximum of the longest wavelength absorption band program. Origin 6.1(Microsoft) was used for data plotting. The fluorescence of the solution was measured in a 1cm3 cuvette in the right angle arrangement.
RESULT AND DISCUSSION
Chemistry
Claisen-Schmidt condensation is an important C-C bond forming reaction for the synthesis of 1, 3-diaryl-2-propen-1-ones (chalcones). We have prepared a series novel of 3-(9-ethyl-9H-carbazol-3yl)-1-phenylprop-2-en-1-ones conveniently by one pot Claisen-Schmidt condensation of 9-ethyl-9H-carbazole-3-carbaldehyde with various substituted acetophenones (Scheme 1, 3a-i). The synthesis of chalcones 3a-i involves the single step and was carried out by using NaOH in EtOH.
The yields of the products were found to be good to excellent in a short span of time (Table 2). The entire (E)-3-(9-ethyl-9H-carbazol-3yl)-1-phenylprop-2-en-1-ones (3a-i) were subjected to physiochemical characterization and molecular docking study.
Scheme 1: Synthesis of (E)-3-(9-ethyl-9H-carbazol-3yl)-1-phenylprop-2-en-1-ones (3a-i)
Scheme 2: Mechanism of Claisen-Schmidt condensation of 9-ethyl-9H-carbazole-3-carbaldehyde with acetophenone
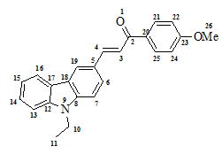
Fig. 1: Structure of (E)-3-(9-ethyl-9H-carbazol-3-yl)-1-(4-methoxyphenyl) prop-2-en-1-one (3e)
In 1H NMR spectrum of (E)-3-(9-ethyl-9H-carbazol-3-yl)-1-(4-methoxyphenyl) prop-2-en-1-one (3e, Figure 2) shows two enone proton (-CO(2)-CH(3)=CH(4)-) shows one doublets at δ: 7.59 corresponding to C-3 and another doublet at δ 8.05 corresponding to C-4 exhibit coupling constant J=15.6 Hz. Hence two enone protons were trans to each other. The C-19 aromatic proton doublet at δ: 8.38 due to meta coupling with C-6 aromatic proton (J=1.6 Hz),
Three proton (C-26, singlet) at δ: 3.90 indicates one OMe group, three proton (C-11, triplet) at δ: 1.47 shows presence of methyl group -CH2CH3 and two proton (C-10, quatret) at δ: 4.39 shows methylene group -CH2CH3. Peaks for 11 aromatic protons were appeared in the expected region of δ 8.38-6.99. Hence, the numbers of protons were in accordance with the expected structure for compound 3e (Table 1).
Table 1: 1H NMR chemical shift and coupling constant values of (E)-3-(9-ethyl-9H-carbazol-3-yl)-1-(4-methoxyphenyl)prop-2-en-1-one (3e) recorded in CDCl3 at 400MHz.
| Node | δ−Value | Coupling constant | No of proton | Comment |
| C-3 | 7.630-7.591 | 15.6 Hz | 1H | Doublet, Trans coupling |
| C-4 | 8.073-8.034 | 15.6 Hz | 1H | Doublet, Trans coupling |
| C-22, C-24 | 7.021-6.998 | 9.2 Hz | 2H | Doublet, Para pattern |
| C-21,C-25 | 8.113-8.090 | 9.2Hz | 2H | Doublet, Para pattern |
| C-7 | 8.160-8.141 | 7.6Hz | 1H | Doublet, Ortho Coupling |
| C-6 | 7.810-7.789
7.810-7.806 |
8.4Hz
1.6Hz |
1H | Doublet, Ortho Coupling
Doublet, Meta Coupling |
| C-19 | 8.387-8.383 | 1.6Hz | 1H | Doublet, Meta coupling |
| C-13, 14, 15, 16 | 7.531-7.260 | - | 4H | Multiplet |

Fig. 2: 1H NMR Spectrum of (E)-3-(9-ethyl-9H-carbazol-3-yl)-1-(4-methoxyphenyl)prop-2-en-1-one (3e) recorded in CDCl3 at 400MHz (Aromatic region expanded)
All the synthesized compounds were characterized by 1H NMR, 13C NMR and LCMS spectroscopic technique. The structure of the compound 3e (Figure 1) was elucidated as below.
Additional support to elucidate the structure was obtained from 13C NMR spectrum of 3e. The appearance of peak at δ: 14.3 and 38.2 corresponding to methylene (C-10) and methyl (C-11) carbon respectively. Peak at δ: 55.9 indicates O-Methyl carbon (C-26). Peak at δ: 163 was due to carbonyl carbon (C-2, C=O). The aromatic carbon was found to appear at δ in between 146.1-109.3. Further the mass spectrum of 3e was recorded as additional evidence to the proposed structure. It exhibited M+1 peak at m/z 356.16.
Thus from all these spectral evidences the structure of compound 3e was confirmed. Similarly the structures of all other derivatives were determined (Table 2).
Table 2: Physical data of (E)-3-(9-ethyl-9H-carbazol-3yl)-1-phenylprop-2-en-1-ones (3a-i)
| Entry | Crabazole aldehyde | Acetophenones | Products | Yield (%) | M.P oC |
| 3a | ![]() |
![]() |
![]() |
94 | 78-79 |
| 3b | ![]() |
![]() |
95 | 111-112 | |
| 3c | ![]() |
![]() |
98 | 99-111 | |
| 3d | ![]() |
![]() |
98 | 108-109 | |
| 3e | ![]() |
![]() |
![]() |
99 | 97-78 |
| 3f | ![]() |
![]() |
![]() |
88 | 97-99 |
| 3g | ![]() |
![]() |
![]() |
90 | 62-63 |
| 3h | ![]() |
![]() |
![]() |
86 | 70-71 |
| 3i | ![]() |
![]() |
![]() |
93 | 102-103 |
Table 3: Lipinski rule of (E)-3-(9-ethyl-9H-carbazol-3yl)-1-phenylprop-2-en-1-ones (3b-f,h,i)
| Ligand | Log
P |
TPSA | nAtoms | MW | nON | nOHNH | nrotb | MV | nviolations |
| 3b | 5.924 | 22.005 | 26.0 | 343.401 | 2 | 0 | 4 | 313.497 | 1 |
| 3c | 6.438 | 22.005 | 26.0 | 359.856 | 2 | 0 | 4 | 322.102 | 1 |
| 3d | 6.569 | 22.005 | 26.0 | 404.307 | 2 | 0 | 4 | 326.451 | 1 |
| 3e | 5.817 | 31.239 | 27.0 | 355.437 | 3 | 0 | 5 | 334.112 | 1 |
| 3f | 6.193 | 31.239 | 28.0 | 369.464 | 3 | 0 | 6 | 350.913 | 1 |
| 3h | 6.169 | 31.239 | 28.0 | 369.464 | 3 | 0 | 6 | 350.913 | 1 |
| 3i | 6.545 | 22.005 | 26.0 | 404.307 | 2 | 0 | 4 | 326.451 | 1 |
LogP=logarithm of the octanol/water partition coefficient; TPSA=topological polar surface area; nAtoms=number of atoms; MW=molecular weight; nON=number of hydrogen bond acceptors; nOHNH=number of hydrogen bond donors; nrotb=number of rotatable bonds; MV=molecular volume; nviolations=number of violations of the Lipinski’s rule of five.
Molecular docking studies
A series of (E)-3-(9-ethyl-9H-carbazol-3yl)-1-phenylprop-2-en-1-one (3a-i) derivatives were docked with MDM2 receptor bind p53 and PBR proteins. The Lipinski rule is applied on the selected molecules 3a-i are LogP (the logarithm of octanol/water partition coefficient), molecular weight, and the number of hydrogen bond acceptors.
Most “drug-like” molecules have logP ≤ 5, molecular weight ≤ 500, number of hydrogen bond acceptors ≤ 10, and number of hydrogen bond donor’s ≤ 5. Molecular violations are occurred any of these properties is shows problem with bioavailability. The Lipinski’s rule of five parameters and total polar surface area (TPSA), which has shown to correlate with drug absorption, was obtained by using the Molinspiration program (Table 3).
The active crystal structures of MDM2 receptor bind p53 tumor suppressor protein and peripheral benzodiazepine receptor structure (PBR) was interacted with pharmacophores (E)-3-(9-ethyl-9H-carbazol-3yl)-1-phenylprop-2-en-1-ones (3a-i) using molecular docking. The docking score of both 1RV1 and 1EQ1 proteins were mention in Table 4 and 5. 2D structure of all new ligands 3a-i were converted into energy minimized 3D structures and were then used for in silico protein-ligand docking.
The docking of PBR receptor (1EQ1) protein with newly synthesized ligands 3a-i exhibited well established bonds with one or more amino acids in the receptor active pocket. Figure 3 shows the docked images of selected candidate ligands (E)-1-(4-bromophenyl)-3-(9-ethyl-9H-carbazol-3-yl)prop-2-en-1-one (3d) and (E)-1-(3-bromophenyl)-3-(9-ethyl-9H-carbazol-3-yl)prop-2-en-1-one (3i). Table 4 shows the binding energy of nine compounds. In silico studies revealed that all the synthesized molecules showed good binding energy toward the target protein ranging from -2.643050e+02 to -3.104552e+02 kcal/mol. The compounds 3b-d bearing halogen substitution at 4th position in phenyl ring such as fluoro, chloro and bromo exhibited 3 non-hydrogen bond interaction (Knowledge-based (also known as statistical potentials) is based on statistical observations of intermolecular close contacts which are used to derive “potentials of mean force”.
This method is based on the assumptions that close intermolecular interactions between certain types of atoms or functional groups that occur more frequently than one would expect by a random distribution are likely to be energetically favorable and therefore contribute favorably to binding affinity. Knowledge-based interactions have become accepted choices for fast scoring putative protein-ligand complexes according to their binding affinities) [31] with each active site amino acids PHE27 and LYS44 having binding energy of -3.076664e+02, -3.104552e+02 and -3.104552e+02 kcal/mol respectively. The compound 3i showed 1 hydrogen bond interaction with amino acid LUE 108, it has also showed 1, 5 non-hydrogen bond interaction with amino acid LYS44 and PHE27 respectively binding energy -2.793636e+02 kcal/mol. The methoxy substituted compound 3e shows one non-hydrogen bond interaction with active site amino acids PHE148, whereas ethoxy substituted compound 3f and 3h each have shown 1 hydrogen bonding interaction with active site amino acids ASP147, ALA152 and ALA152 on PBR receptor (1EQ1) protein to control the transcription regulation. The other molecules such as 3a and 3g exhibited no binding affinity on target PBR receptor (1EQ1) protein hence these ligands can’t be considered as an inhibitor of PBR.
Table 4: Molecular Docking study of 1EQ1 protein complex with (E)-3-(9-ethyl-9H-carbazol-3yl)-1-phenylprop-2-en-1-ones (3a-i)
Ligand |
Binding Energy |
Amino acids |
Interaction |
|
H-Bonds |
Non-H-Bonds31 |
|||
3a |
-2.643050e+02 |
- |
- |
- |
3b |
-3.076664e+02 |
PHE27 |
- |
3 |
3c |
-3.104552e+02 |
PHE27 |
- |
3 |
3d |
-3.104552e+02 |
PHE27 |
- |
3 |
3e |
-2.738862e+02 |
PHE148 |
- |
1 |
3f |
-2.851483e+02 |
ASP147 |
1 |
- |
3g |
-2.777640e+02 |
- |
- |
- |
3h |
-2.953529e+02 |
ALA152 |
1 |
- |
3i |
-2.793636e+02 |
LEU108 |
1 |
- |
Similarly docking study was performed on MDM2 receptor bind p53 tumor causing protein with (E)-3-(9-ethyl-9H-carbazol-3yl)-1-phenylprop-2-en-1-ones (3a-i) (Table 5). The ligands 3f forms 1 hydrogen bond interaction with active site amino acid HIS96 and 2 hydrogen bond interaction with ARG97 having binding energy -2.142605e+02 kcal/mol, indicates moderate inhibitor of MDM2 receptor bind p53 protein. The figure 4 shows the docked images of ligand 3f. But the other compounds such as 3a-e and 3g-h have relatively no interaction with target protein and hence was not found as an inhibitor of MDM2 receptor bind p53 protein.


3d 3i
Fig. 3: Docking images of selected compounds with 1EQ1 showing binding of compound 3d with PHE27 and LYS44 (3 non-H-bonds each) and compound 3i with LEU108, LYS44 and PHE27 (1 H-bond and 1, 5 non-H-bonds respectively)
Table 5: Molecular Docking study of 1RV1 protein complex with (E)-3-(9-ethyl-9H-carbazol-3yl)-1-phenylprop-2-en-1-ones (3a-i).
| Ligand | Binding Energy
(kcal/mol) |
Amino acids | Interaction |
| H-Bonds | |||
| 3a | -2.131336e+02 | - | - |
| 3b | -3.564883e+02 | - | - |
| 3c | -3.575200e+02 | - | - |
| 3d | -3.575200e+02 | - | - |
| 3e | -2.177270e+02 | - | - |
| 3f | -2.142605e+02 | HIS96
ARG97 |
1
2 |
| 3g | -2.179530e+02 | - | - |
| 3h | -2.258650e+02 | - | - |
| 3i | -3.495437e+02 | - | - |

3f
Fig. 4: Docking images of selected compounds with 1RV1 showing binding of compound 3f with HIS96 and ARG97 (1,2 H-Bonds respectively)
The absorption and emission spectra were measured in solvent such as ethanol and acetone at a concentration of 1×10-6 M at room temperature. The spectroscopic data such as absorption and emission maxima, Stockes shift are presented in table 6. The fluorescence emission of the compounds 3a-i occurs in the region 440 to 690 nm in both the solvent whereas the standard Rhodamine B shows emission in the region 550nm to 700 nm. Emission spectrums of all new compounds and standard Rhodamine B were recorded in ethanol and acetone is as shown in figure 3 and figure 4. All compounds 3a-i were shown absorption maximum (λex) in the range 380.0 to 383.5 nm in ethanol and 382.5-384.5 nm in acetone indicates absorption slightly dependence on the polarity of the solvents hence no charge transfer in the ground state. Thus in ethanol, the emission maximum shift towards longer wavelength hence exhibited bathochromic shift [24].
The compound 3a showed fluorescence emission (λem) at 525 and 540 nm with red shift 15 nm and Stokes shift 6994 and 7659 cm-1 in acetone and ethanol respectively. In particular the compound 4f bearing ethoxy group at 4th position in phenyl ring exhibit fluorescence emission at 507 and 535 nm with red shift 28 nm and Stokes shift 6318 and 7452 cm-1 in acetone and ethanol respectively. The groups such as fluoro, chloro, bromo, methoxy and ethoxy on (E)-3-(9-ethyl-9H-carbazol-3yl)-1-phenylprop-2-en-1-one have shown marginal difference on fluorescence emission. The standard Rhodamine B shows fluorescence property opposite to that of the synthesized compounds 3a-i in which as polarity of the solvent increases the emission maxima shift towards shorter wavelength i.e., 9 nm. Nevertheless the fluorescence maxima of the (E)-3-(9-ethyl-9H-carbazol-3yl)-1-phenylprop-2-en-1-ones (3a-i) showed good bathochromic shifts (Table 6) and also higher Stokes shift [9].
Fluorescence spectral properties of (E)-3-(9-ethyl-9H-carbazol-3yl)-1-phenylprop-2-en-1-ones (3a-i)

Fig. 5: Fluorescence spectra of (E)-3-(9-ethyl-9H-carbazol-3yl)-1-phenylprop-2-en-1-ones (3a-i) in ethanol (a) and acetone (b) at concentration of 1×10-6 M

Fig. 6: Fluorescence spectra of Rhodamine B in ethanol (a) and acetone (b) at concentration of 1×10-6 M
Table 6: Spectral characteristics of (E)-3-(9-ethyl-9H-carbazol-3yl)-1-phenylprop-2-en-1-ones (3a-i) in ethanol and acetone. (λex: excitation wavelength in nm; λem: emission wavelength in nm)
Ligand |
Binding Energy |
Amino acids |
Interaction |
|
H-Bonds |
Non-H-Bonds31 |
|||
3a |
-2.131336e+02 |
- |
- |
- |
3b |
-3.564883e+02 |
- |
- |
- |
3c |
-3.575200e+02 |
- |
- |
- |
3d |
-3.575200e+02 |
- |
- |
- |
3e |
-2.177270e+02 |
- |
- |
- |
3f |
-2.142605e+02 |
HIS96 |
1 |
- |
3g |
-2.179530e+02 |
- |
- |
- |
3h |
-2.258650e+02 |
- |
- |
- |
3i |
-3.495437e+02 |
- |
- |
- |
CONCLUSION
A convenient synthesis of various structurally distinct (E)-3-(9-ethyl-9H-carbazol-3yl)-1-phenylprop-2-en-1-ones (3a-i) were described by Claisen-Schmidt condensation reaction. The in silico docking study revealed that the compounds 3a-i found to bind efficiently with one or more active site amino acid in PBR (1EQ1) cancer receptor protein. The compound 3f found to bind strongly with MDM2-bind p53 (1RV1) receptor protein with high binding energy of -2.142605e+02 kcal/mol, when compared to remaining compounds. Hence these compounds were found to be more selective towards PBR cancer receptor protein rather than MDM2-bind p53 cancer receptor protein to control the transcription regulation.
Thus the studies reported herein furnished reliable information on the capability of new (E)-3-(9-ethyl-9H-carbazol-3yl)-1-phenylprop-2-en-1-one ligands to interact with PBR cancer receptor protein which made us to quickly identify more interesting derivatives in a series 3a-i, for further relevant modification in their structure. So the study will further widen the scope for the development of similar new structurally distinct (E)-3-(9-ethyl-9H-carbazol-3yl)-1-phenylprop-2-en-1-ones as possible potential anticancer agents.
The fluorescence study of 3a-i reveals that the compound (E)-3-(9-ethyl-9H-carbazol-3yl)-1-phenylprop-2-en-1-one (3a) showed strong fluorescence properties both in ethanol and acetone with large Stoke’s shifts value 158.0 and 141.0 nm respectively. However, the compound 3c and 3d exhibit large Stoke’s shifts only in ethanol of 160.0 and 156.5 nm respectively.
Nevertheless the absorption and fluorescence maxima of the (E)-3-(9-ethyl-9H-carbazol-3yl)-1-phenylprop-2-en-1-ones (3a-i) showed good bathochromic shifts. Since the fluorescent spectrum of (E)-3-(9-ethyl-9H-carbazol-3yl)-1-phenylprop-2-en-1-ones (3a-i) exhibits a large red shift with an increase in the polarity of the solvents, these can also serve as good candidates for biological probes in medicinal field.
CONFLICT OF INTERESTS
Declared None
ACKNOWLEDGEMENT
The authors thank Department of Post Graduate Studies and Research in Chemistry. Kuvempu University for providing laboratory facilities and IISc Bangalore for providing spectral data.
REFERENCES