
1Laboratory of Applied Biochemistry, Faculty of Nature and Life Sciences, University Setif, Setif 19000, Algeria, 2Laboratory of Phytotherapy Applied to Chronic Diseases, Faculty of Nature and Life Sciences, Univ. Setif, Setif 19000, Algeria
Email: Fatima.zerargui@yahoo.fr
Received: 26 Jul 2016 Revised and Accepted: 05 0ct 2016
ABSTRACT
Objective: The aim of this study was to evaluate the antioxidant activities of Tamus communis L. (T. communis) roots. This plant is used in folk medicine in the treatment of rheumatism, arthritis and lumbago.
Methods: The extraction of polyphenols has been followed by the determination of total polyphenols and flavonoids. The methanol extract (MeOHE) was chromatographied on a silica gel column. The column was eluted with chloroform and then with chloroform/methanol mixtures of increasing polarity, 6 main fractions (FI--FVI)) were collected and grouped according to their TLC (Thin layer chromatography). Several methods were used to evaluate the in vitro antioxidant activity such as DPPH (2, 2'-diphenyl-1-picrylhydrazy), bleaching of β-carotene for 24 h, lipid peroxidation and anti-hemolytic activity. An in vivo approach was carried out on mice treated with CE (crud extract) at a dose of 100 mg/Kg/day for 21 consecutive days, and one group was treated with vitamin C (Vit C 50 mg/kg) as a standard drug. To determine the improvement of antioxidant potential, basic biochemical parameters were used in tissue (liver), plasma and whole blood.
Results: The results showed that the highest level of polyphenols was recorded in FII (73.143±0.009 mg GA-Eq/g extract (Gallic Acid Equivalent))/g of extract) followed by MeOHE (69.786±0.10 mg GA-Eq/g extract). Total flavonoid contents of extracts/fractions showed that MeOHE contains the highest level. Inhibition of DPPH radical showed that MeOHE (0.1187±0.025 mg/ml) and CE (0.2363±0.019 mg/ml) have the most efficient antioxidant activity. All the extracts were capable of inhibiting the bleaching of β-carotene by scavenging linoleate derived free radicals, and all the studied extracts have a very important antihemolytic activity (p<0.001) and revealed an extension of hemolysis half time from 70.34±2.15 min of CTL (AAPH (2,2-azo-bis (2-amidinopropane) dihydrochloride)) and 207±5.65 min for FI. The in vivo assay was exhibited a significant decrease (54.09%) of the content of malondialdehyde (MDA) in the liver and increased glutathione (GSH) and catalase (47.30% and 46.87% respectively).
Conclusion: These findings suggest that the extract obtained from T. communis have active substances contributing to the increase in natural antioxidant potential.
Keywords: Tamus communis L., Polyphenols, Flavonoids, DPPH, Antihemolytic activity, Catalase, GSH.
© 2016 The Authors. Published by Innovare Academic Sciences Pvt Ltd. This is an open access article under the CC BY license (http://creativecommons.org/licenses/by/4. 0/)
DOI: http://dx.doi.org/10.22159/ijpps.2016v8i12.14327
INTRODUCTION
Free radicals are one of the causes of chronic and degenerative diseases. To scavenge reactive oxygen species (ROS), the human body has a complex system of natural enzymatic and non-enzymatic antioxidants including superoxide dismutase (SOD), reduced glutathione (GSH) and catalase (CAT), however, excessive generation of ROS enhances lipid peroxides (LPO) and could deplete these antioxidant enzymes [1]. Protection against free radicals can be enhanced by ample intake of dietary antioxidants. Antioxidants may be of great benefit in improving the quality of life by preventing or postponing the onset of degenerative diseases. In addition, they have a potential for substantial savings in the cost of health care delivery. According to Sofowora [2], people used plants for healing, and this is certainly due to poverty but also to the richness of our flora in medicinal plants. Phenolic substances and flavonoids are increasingly recognized as the major bioactive components contributing to the antioxidant potency of many herbs [3, 4] and there are evidence that the consumption of polyphenolic compounds from natural sources may lower the risk of serious oxidative injuries such as atherosclerosis, inflammatory processes, cancer and cardiovascular diseases as a result of their antioxidant activity [5-7]. The recent trend of the science is to explore the antioxidant potential of natural compounds.
Plants contain many constituents with local physical impact on body tissues, and the topical use of herbal remedies is among the most noticeable in the simplest traditions of healthcare [8]. One of the plants commonly used in the region is T. communis L. (Dioscoreaceae) commonly known as black bryony. Both the rhizomes and the berries of the plant have been traditionally used as an effective rubefacient and for the treatment of rheumatism, artrosis, lumbago and dermatosis [9]. The fleshy aerial parts of the plant are also consumed as food [10].
Studies on this plant revealed a higher concentration of phenolic compounds and flavonoids [11-13]. The objective of this work was to investigate in vitro and in vivo antioxidant activity of extracts/fractions of plant roots in order to clear its ethnomedicinal importance.
Accordingly, in the present work we employed in vitro and in vivo assays to evaluate the antioxidant activity effect of Tamus communis extract which to the best of our knowledge has not been explored.
MATERIALS AND METHODS
Chemicals
All chemicals were of analytical reagent grade and obtained from Sigma-Aldrich and Prolabo. The assay kits (Spireact, Spain). Among the equipment used: a rotary evaporator (BÜCHI), centrifuge 3-K30 (Sigma), Shimadzu 1601 spectrophotometer and the UV-Vis spectrophotometer double beam (TECHCOMP). A microplate reader (BioTek).
Animals
Swiss albino’s mice weighing 20–25 g were purchased from Pasteur Institute of Algiers, Algeria. They were housed in the animal care center of the Faculty of biology, Setif University, under controlled environmental conditions of 24 °C and 12 h light-dark cycle. The experimental protocol was approved by the Ethics Committee of the university of Sétif 1. All procedures were performed in compliance with laws and institutional guidelines.
Plant material
T. communis was harvested from natural resources from Setif, a province in the northeast of Algeria, during the spring (May–June) mainly at flowering stage. The authentication was confirmed by Prof. Oudjhih University of Batna, Algeria. A specimen was deposited at the Laboratory of Botany, Faculty of natural and life sciences, University Ferhat Abbas Setif 1, Algeria.
Extract preparation
Roots were cut into pieces, air-dried and powdered. The ground material (2 Kg) was extracted with 85 % methanol (10 litres) incubated for 5 d at room temperature. The extract was filtered through Whatman No. 4.1 filter paper to obtain particle free extract. The combined methanolic extract was pooled and concentrated and dried under vacuum. Finally, extracts were stored at 4 °C and used to explore their antioxidant activity [14].
Fractionation by column chromatography
The residual solid material (169g) was extracted thoroughly with methanol. The methanol soluble fraction (138g) was chromatographed on a silica gel column. The column was eluted with chloroform and then with chloroform/methanol mixtures of increasing polarity. A total of 52 fractions (400 ml each) were collected and grouped according to their TLC behavior into 6 main fractions (I-VI).
Determination of total phenolics
Total phenolic content was determined with the Folin–Ciocalteu’s reagent (FCR) according to the published method [15]. Each sample (0.5 ml) was mixed with 2.5 ml FCR (diluted 1:10, v/v) followed by 2 ml of Na2CO3 (7.5%, v/v) solution. The absorbance was then measured at 765 nm after incubation at 30 °C for 90 min. Results were expressed as mg gallic acid equivalent (mg GA-Eq/g dried extract).
Determination of flavonoid
Flavonoids were quantified using aluminum chloride reagent AlCl3 [16]. Flavonoids were expressed as quercetin equivalent (Q-Eq). 1 ml of T. communis samples were dissolved in methanol, then 1 ml of AlCl3 (2 % in MeOH) was added, after incubation for 10 min, the absorbance was measured at 430 nm.
In vitro methods
Determination of free radical scavenging activities
The hydrogen atom or electron donation abilities of T. communis extracts were measured by the bleaching of the purple-colored methanol solution of 2,2’-diphenyl picrylhydrazyl (DPPH). This spectro-photometric assay uses the stable radical DPPH as a reagent [17]. An aliquot of 50 μl of various concentrations of the two compounds was added to 5 ml of a 0.004% solution of DPPH in methanol. After an incubation period of 30 min at room temperature, the absorbance was read against a blank at 517 nm with the aid of a Techom UV/VIS-8500 spectrophotometer. The inhibition of DPPH free radical in percent (I %) was calculated from the equation.
I% = [(A blank–A sample) x 100]/A blank
Where A blank is an absorbance of the control reaction (containing all reagents except the tested compound) and A sample is the absorbance of the tested compound. The IC50 values, the sample concentration providing 50% inhibition, were calculated from a plot of I% versus extract concentration. Assays were carried out in triplicate.
β-carotene bleaching assay
In this assay, the antioxidant capacity is determined by measuring the inhibition of the volatile organic compounds and the conjugated diene hydroperoxides arising from linoleic acid oxidation according to the method of Kartal et al. [18]. A stock solution of β-carotene/linoleic acid mixture was prepared as follows: 0.5 mg β-carotene was dissolved in 1 ml of chloroform, 25μl linoleic acid and 200 mg Tween 40 were added. Chloroform was completely evaporated using a vacuum evaporator. Then, 100 ml distilled water, saturated with oxygen (for 30 min at 100 ml/min), were added with vigorous shaking; 2.5 ml of this reaction mixture were dispersed into test tubes and 350 μl portions of the extracts prepared at 2 mg/ml concentrations, were added, Then emulsion was incubated for 24 h at room temperature and the absorbance (490 nm) was recorded at different time intervals. The same procedure was repeated with the synthetic antioxidant, BHT and a blank (containing only methanol). The relative antioxidant capacity (RAC) was calculated as follow.
RAC = 100 (At=24h sample/At=24h BHT).
Where At=24h sample is the absorbance of the test compounds after 24h and At=24h
BHT is the absorbance of BHT after 24 h.
Ferrous ion chelating activity
Ferrous ion chelating activity was measured by inhibition of the formation of iron (II)-ferrozine complex after treatment of test material with Fe2+following the method of Le et al. [19]. The reaction mixture contained 500 μl of extracts or the standard chelator EDTA, 100 μl of FeCl2 (mM in water) and 900 μl of methanol. The control contained all the reaction reagents except the extracts or EDTA. The mixture was shaken well and allowed to react at room temperature for 5 min. 100 μl of ferrozine (5 mmol in methanol) was then added, the mixture was shaken again, followed by further reaction at room temperature for 10 min to complex the residual Fe2+ion. The absorbance of the Fe2+-ferrozine complex was measured at 562 nm against a methanol blank. The chelating effect was calculated as a percentage, using the equation below.
% chelating activity = 100(A control–A sample)/A control.
Where control is the absorbance of the control reaction mixture without the test compounds, and A sample is the absorbance of the test compounds.
Reducing power determination
The determination of the reducing power was conducted according to the method developed by Oyaizu [20]. The solution of plant extracts (1 ml, 0-10 mg/ml) was spiked with 1 ml of phosphate buffer (0.2 M, pH 6.6) and 1 ml of potassium ferricyanide (1%). The mixture was then placed in a 50 °C water bath for 20 min. After cooling rapidly, 1 ml of 10 percent trichloroacetic acid (TCA 10%) was added and centrifuged at 3000 rpm (revolutions per minute) for 10 min. The supernatant (1 ml) was then mixed with 2 ml of distilled water and 0.1 ml of ferric chloride (0.1%). The absorbance at 700 nm was recorded for the reaction for 10 min. Increasing optical density (OD) of the reaction mixture indicated an increase of the reducing power.
Blood total antioxidant capacity
The global potential of antioxidizing defense was measured by KRL test (kit of dosage of the Free Radicals) according to the protocol described by Girard et al. [21]. The principle of the test is to submit whole blood to a thermo-controlled free radical Aggression. All families of antioxidant present in the blood are mobilized to fight off the oxidant attack and to protect the integrity of erythrocytes resulting in the delay of hemolysis.
Briefly, Aliquots of 80 μl of diluted blood was deposited in a 96-well microplate with 136 μl of AAPH (300 mmol in solution), 2 μl of samples (0.1 mg/ml) and then incubated at 37 °C. The kinetic of hemolysis was followed using a 96-well microplate reader by measuring optical density decrease at 630 nm. The blood resistance to free radical attack is expressed by the time needed to hemolysis 50% of the red blood cells (half-Hemolysis Time, HT50 in mn). The hemolysis of red blood cells without samples was used as a control and was presumed to be 100%.
In vivo models
Animal’s treatment
After an adaptation period of 6 d, the mice were randomly divided into three groups of 6-8 animals. The first group was given 100 mg/kg of an extract of T. communis (CE) by intraperitoneal route; the second group was given 50 mg/ml of Vit. C as a reference antioxidant for comparison, the control group CTL received the same volume of normal saline solution (NaCl 0.9%). After twenty-one days all animals were sacrificed.
Blood collection
Blood (1 ml) was collected by cardiac puncture after diethyl ether anesthesia. A subsample of whole blood 100 μl was immediately diluted in 2.4 ml of PBS (NaCl 125 mmol, sodium phosphate 10 mmol, pH 7.4). The remaining quantity of the blood was centrifuged (1500g/5mn/4C °) to separate serum. The serum was kept at–20 °C for subsequent determination of antioxidant status.
Dissection and homogenization
The liver was dissected out, washed in ice-cold saline, Portions of the tissue from liver were blotted, weighed and homogenized with 0.15M KCI and centrifuged at 800 g for 10 mn at 4 °C. The lipid extract obtained using the method of Folch et al. [22]. It was used for the estimation of Thiobarbituric acid reactive substances (TBARS).
Plasma antioxidant capacity
DPPH radical scavenging activity
The capacity of the plasma to trap, the DPPH radical was estimated according to the method of Hasani et al. [23] with some modifications. Briefly, 50 μL of plasma were added to 950 μl of the DPPH methanolic solution (4 mg/100 ml of methanol). After 30 min of incubation in the darkness and at room temperature followed by centrifugation, the absorbance of the supernatant is measured at 517 nm. The plasma antioxidant power was then calculated (see the part in vitro). DPPH solution without serum is used as the control value.
Reducing power assay
The total antioxidant capacity of serum was determined by measuring its ability to reduce Fe3+to Fe2+by the same method described in vitro and prescribed by Oyaizu [20].
Determination of antioxidant status in the liver
Lipid peroxidation
Thiobarbituric Acid Reactive Substances (TBARS) assay is the method of choice for screening and monitoring lipid peroxidation, a major indicator of oxidative stress. 0.25 ml of TCA 20% (m/V) was added into 0.25 ml of the homogenate. Then 0.25 ml of TBA (0.67%) was added to the sediment, shaken and incubated for 15 min in a boiling water bath at 100 ° C. Then, 2 ml of n-butanol was added, and the solution which was then centrifuged at 3000 rpm for 15 mn, cooled and the supernatant absorption was recorded at 530 nm using a UV-Visible spectrophotometer (Shimadzu, Japan). The calibration curve was obtained using different concentrations of 1,1,3,3-tetramethoxypropane as standard to determine the concentration of TBA-MDA adducts in samples [24].
Reduced glutathione (GSH) estimation
The method illustrated by Ellman [25] can be used for determination of antioxidant activity. It is a method based on an assessment of the reduction of DTNB Ellman's reagent (5,5'-dithiobis (2-nitrobenzoic acid)) per group (HS) to form the 2-nitro-5-mercaptobenzoic, the latter is characterized by an intense yellow color, which allows the spectrophotometric quantification at 412 nm. The tissue homogenate (in 0.1 M phosphate buffer pH 7.4) is taken and added with an equal volume of 20% trichloroacetic acid (TCA) containing 1 mmol EDTA to precipitate the tissue proteins. The mixture is allowed to stand for 5 mn prior to centrifugation for 10 mn at 2000 rpm. The supernatant (200 μl) is then transferred to a new set of test tubes and added with 1.8 ml of the Ellman’s reagent (0.1 mmol) prepared in 0.3 M phosphate buffer with 1% of sodium citrate solution. Then all the test tubes are made up to the volume of 2 ml. After completion of the total reaction, solutions are measured at 412 nm against blank. Absorbance values were compared with a standard curve generated from known GSH.
Catalase (CAT) activity estimation
The enzymatic activity of catalase was determined in the liver tissue by the method of Claiborne [24], whose principle is based on the diminution of the absorbance at 240 nm which is due to the decomposition of hydrogen superoxide (H2O2) in the presence of catalase. In a quartz cuvette, 50 μl of the homogenate was mixed with 2.95 ml of a solution of H2O2 in 19 mmol/ml prepared in potassium phosphate buffer pH 7.4 (0.1M). The change in absorbance is monitored for two mn. The enzymatic activity of catalase is expressed as rate constant for the reaction order of 0 per gram of tissue. The enzymatic activity of catalase is calculated using the following formula:
K = 2.303 x log (A1/A2)/T. K: rate constant of a first order reaction 1, T: Interval time in a minute, A1: Absorbance at t=0 and A2: Absorbance at t1. The enzymatic activity of catalase = K/N.
N represents the amount in grams of tissue in the volume used for the test sample.
Blood total antioxidant capacity
The same protocol used in vitro with some modifications by replacing the radical AAPH [2,2-'-azo-bisazo-bis (2-amidinopropane) HCl] by the tert-butyl hydroperoxide (t-BHP: 166μM) [25].
Statistical analysis
Data obtained in vitro and in vivo are expressed as mean±SD and mean±SEM respectively. The sigmoid hemolysis curves were fitted by computer analysis Software (Graph Pad. Prism. V5.00). Differences between the control and the treatments in these experiments were tested for significance using analysis of variance followed by Dunnet’s/Tukey's test. A probability P value less than 0.05 were considered to be statistically significant. *P<0.05, **<0.01 and ***<0.001, when compared with control.
RESULTS AND DISCUSSION
Determination of total polyphenol and flavonoids contents
In this study, an attempt was made to quantify and identify polyphenols in T. communis. The obtained results (table 1) show that there was a wide range of polyphenols concentration in different extracts. The highest level of polyphenols was recorded in FII (73.143±0.009 mg GA-Eq/g extract) followed by MeOHE (69.786±0.10 mg GA-Eq/g extract). Also, total flavonoid contents of extracts/fractions showed that MeOHE contains the highest level (19.387±0.11 mg R-Eq/g extract and 8.080±0.07 mg Q-Eq/g extract).
Table 1: Total phenolic and flavonoid contentin extracts/fractions of T. communis
Extracts |
Total phenolic content |
Total flavonoid content |
|
mg Q-Eq/g extract |
mg R-Eq/g extract |
||
CE |
29.571±0. 11 a |
2.091±0.05 a’ |
3.404±0.030 a’’ |
MeOHE |
69.786±0.10 b |
8.080±0.07 c |
19.387±0.11 b’’ |
FI |
34.500±0.03 a |
0.321±0.07 b’ |
0.962±0.02a’’ |
FII |
73.143±0.09 b |
0.755±0.04b’ |
2.092±0.007a’’ |
FIII |
37.500±0.06 a |
0.621±0.04b’ |
1.479±0.03a’’ |
FIV |
30.5±0.06 a |
0.141±0.09b’ |
0.487±0.07 c’ |
FV |
32.071±0.03 a |
0.394±0.07b’ |
1.070±0.26a’’ |
FVI |
29.214±0.03 a |
0.359±0.02b’ |
0.954±0.06a’’ |
Each value represents the mean±SD (n = 3). Total phenolic content was expressed as mg gallic acid equivalent/g dried extract. Total flavonoid content was expressed as mg quercetin and rutin equivalent/g dried extract. Lines with different letters indicate activities significantly different (p ≤ 0.05)
According to other studies, our results suggest that our samples are rich in phenolic compounds and flavonoids [28]. Therefore, our results suggest that there is not a direct relationship between extraction yield and phenolic content in this kind of samples, probably due to the extraction of other methanol soluble components, such as sugars.
In vitro methods
DPPH assay
The DPPH radical scavenging assay is an easy rapid and sensitive method for the antioxidant screening of plant extracts. A number of methods are available for the determination of free radical scavenging activity, but the assay employing the stable 2, 2-diphenyl-1-picryl-hydrazyl radical (DPPH) has received the maximum attention owing to its ease of use and its convenience [29]. The results of radical scavenging showed that, MeOHE (0.1187±0.025 mg/ml) and CE (0.2363±0.019 mg/ml) possessed strong radical scavenging effect compared with the fractions which the most active fraction is FII (1.040±0.070 mg/l) followed by FVI (1.14±0.12 mg/ml), FV (1.210±0.087 mg/ml) and FIII (1.23±0.09 mg/ml) (fig. 1). It was observed a significant difference (P<0.001) among the IC50 of all fractions and CE and MeOHE, which means that the radical scavenging activities of these fractions were less than standards.

Fig. 1: DPPH radical scavenging activity of T. communis extracts/fractions and standards. Data are presented as IC50 values. Each value represents the mean±SD (n = 3). Bars with different letters indicate activities significantly different (p ≤ 0.05)
These results prove that the activity is significant in comparison with the work on the same plant [30].
β-carotene bleaching assay
In this assay, oxidation of linoleic acid produces hydro peroxide-derived free radicals which attack the chromophore of β-carotene, resulting in a bleaching of the reaction emulsion. An extract capable of retarding/inhibiting the oxidation of β-carotene may be described as a free radical scavenger and primary antioxidant [31]. As can be seen in fig. 2, all the extracts were capable of inhibiting the bleaching of β-carotene by scavenging linoleate derived free radicals. The inhibition extent of lipid oxidation by T. communis extracts/ fractions, when compared to BHT, which had 95.53±1,57% at the same concentration (2 mg/ml), showed marked activity effects. The high inhibition ratios by the MeOHE were showed for 91.47±1, 48 %, similar to that of BHT (P>0.05), and CE (79.31±0.75%), followed by others fractions, the less active is the FIV (45.07±1.97 %). No significant differences exist between the activity effects of FI (52.16±2.75%), FIII (52.68±1.38) and FV (51.23±0.08) (P>0.05).
The high activity of MeOHE is most likely attributed to their phenolic and flavonoid content [32], the low activity of the others fractions like fraction FIV is probably explained by its high polarity. Indeed, Frankel and Meyer [33] have suggested that the polarity of an extract is important in water: oil emulsions, a polar extract exhibit most important antioxidant properties as they are concentrated within lipid-water interface, thus helping to prevent radical formation and lipid oxidation of β-carotene. While polar extract are diluted in the aqueous phase and are thus less effective in protecting lipids.

Fig. 2: Relative antioxidant activities of extracts/fractions of T. communis and BHT in β-carotene/linoleic acid system after 24h (values are the average of three measurements±SD), bars with different letters indicate activities significantly different (p ≤ 0.05)
Reducing power assay
The reducing power of the extracts may be due to the biologically active compounds in the extract which possess potent donating abilities [34]. The reducing power is widely used to evaluate the antioxidant activity of plants extracts. Earlier authors have observed a direct correlation between antioxidant activities and reducing the power of certain plant extracts [35]. As shown in fig. 3, higher absorbance value indicates a stronger reducing power of the samples. In the same contest, the reducing capacity (RC) of the MeOHE was significantly at 20 mg/ml than that CE and FII. However, its reducing power was weaker than that of BHT and Vit. C (P<0.001), which exhibited the strongest reducing power. Significant correlations were observed between RC of CE, MeOHE and FII (r2 = 0.9202). The rest of the fractions (FI, FIII, FIV, FV and FVI) are shown inactive.

Fig. 3: Comparison of the RC of CE, MeOHE and FII with Vit. C and BHT. Data are the Mean values±SD (n=3)
Ferrous ion chelating activity
It has been well recognized that transition metal ions such as those of iron and copper are important catalysts for the generation of the first few free radicals to initiate the radical chain reaction or the radical mediates lipid peroxidation [36]. Chelating agents may inhibit radical generations by stabilizing transition metals, consequently reducing free radical damage. To better estimate the potential antioxidant activities of the T. communis extracts/fractions, the chelating activity of each extract was evaluated against Fe2+. The results are shown in fig. 4; the results obtained show that the extracts exert a chelating effect in a dose-dependent manner. However, the chelating effect of maximum 77. 87% and 77. 27% by the CE and MeOHE is achieved at high concentrations (5.625 mg/ml and 3.125 mg/ml respectively). EDTA exerts a chelating effect of 73.143% at a concentration of 14.687μg/ml. The difference between the activity of these two extracts CE, MeOH E and EDTA used as a standard is highly statistically significant (p<0.001). The other fractions showed no chelating activity of iron. Iron chelating ability of EDTA was higher than that of phenolic compounds [37].

Fig. 4: Metal chelating activity of T. communis extracts and standard (EDTA) Data were presented as mean±SD (n= 3)
Antihemolytic activity
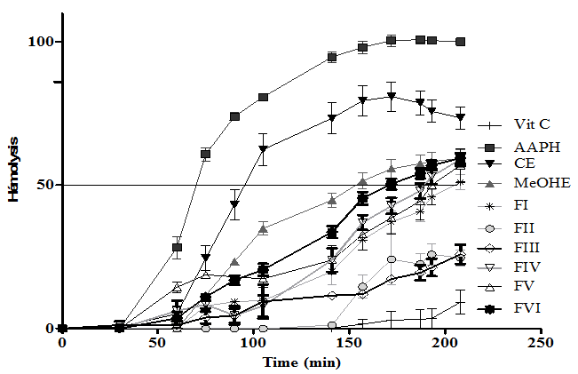
Hemolysis of RBCs is a very good model for studying free radical induced oxidative damage to membranes and to evaluate the antioxidant activity of compounds [38, 39]. Erythrocytes are known as main targets of oxidative stress due to the presenting of membrane polyunsaturated fatty acids the linolenic and arachidonic acids [40]. In this study, lipid oxidation of mice erythrocyte by AAPH (300 mmol) induced peroxy radicals leads to hemolysis.
The results of showed that all the extracts/fractions can effectively protect erythrocytes against hemolytic injury induced by AAPH. The results presented in fig. 5 show that all the studied extracts had a very important antihemolytic activity (p<0.001) and revealed an extension of hemolysis half time from 70.34±2.15 mn of CTL (AAPH) to 207±5.65 min of FI but the % hemolysis of FII and FIII was 24.73% and 25.92% respectively at 208 min.

Fig. 5: Comparison of % Hemolysis of T. communis extracts/fractions and Vit C with CTL. Values were expressed as mean±SD (n= 3)
The antihemolytic action on erythrocytes is at least partly due to the antioxidative property of phenols [41]. The studies by Zhang and co-workers [42], examining Jasmine green tea polyphenolics in vitro and in vivo, reported enhanced protection afforded RBC from hemolysis. Other studies showed that Xue-Sai-Tong injections, herbal medicine injection generally used as anti-coronary medicine, contain some unknown ingredient showed a positive correlation with hemolytic activity [43]. However, the injection S. sediforme extracts showed a strong and significant anti-hemolytic effect in vitro and in vivo assay, where the injection of the CrE (50 mg/Kg) could strongly inhibit hemolysis (%HI = 96.37±9.26 %) [44].
In vivo models
Analysis of the tissue parameters (liver)
The liver is a highly sensitive organ which plays a major role in maintenance and performance of the homeostasis in our body. It is the chief organ where important processes like metabolism and detoxification take place. Thus the liver is proned to injury due to the chronic exposure to drugs, environmental toxicants and other xenobiotic [45]. The liver disorders are one of the serious health problems, the reason for which it was chosen for this work.
Lipid peroxidation
One of the most often used biomarker to investigate the oxidative damage on lipid is TBARS a major lipid peroxidation product. It can react with the free amino group of proteins, phospholipids, and nucleic acids leading to structural modification [46]. According to the provided data in tableau 2, a significant decrease in TBARS level in liver was observed by CE (100 mg/ml) of T. communis (35.04±6.73 mole/g of tissue) and Vit C (50 mg/ml) (17.63±6.07 mole/g of tissue) compared with their respective control normal (NaCl) (64.78±7.14 mole/g of tissue). From the result of our investigation, T. communis has the potential to prevent this cell death due to lipid peroxidation by inhibiting the process [46]. This finding supported reports in the literature that vitamin C is a strong reducer of MDA concentration. Vit C can protect the cell membrane and cytosolic component of cells against the damage of oxidant [48].
Propagative lipid peroxidation is a degenerative process that affects cell membranes and other lipid-containing structures under conditions of oxidative stress [49]. As mentioned above, the observed results may be due to the high polyphenolic content of the plant extract. Accordingly, a lower level of oxidative stress and improvement in antioxidant status was found in many types of research after polyphenol-rich food administration mainly based on the reduction of thiobarbituric acid reactive substance levels (TBARS) [50,51]. According to Soma Gupta et al. [52] it was shown that a relationship existed between the administration of a supplement rich in polyphenols and decreased MDA levels.
GSH and catalase
The in vivo antioxidant assay showed that the extract increased the activity of GSH and catalase. GSH is an intra-cellular reluctant and plays a major role in catalysis, metabolism, and transport. It protects cells against free radicals, peroxides, and other toxic compounds [53]. Catalase is a ubiquitous enzyme that catalyzes the decomposition of hydrogen peroxide, a reactive oxygen species, which is a toxic product of both normal aerobic metabolism and pathogenic ROS production [54].
The results showed (table 2) that the GSH determined in three different groups of mice tested, showed that the content of GSH of the untreated mice equal to 3.34±1,12μmoles/g tissues increased in the group of mice treated with Vit C (4.79±1.84 μ moles/g tissues) and significantly in those who were treated by the CE roots of T. communis (7.06±0.30 μ moles/g tissues).
Similar results are observed about the activity of catalase, where the fraction of catalase increased in the mice treated with the CE. It increased from 0.32±0.14 U/mg protein for the control group to 0.15±0.03 U/mg protein for the group treated with the CE (p<0.001) and 0.18±0.01 U/mg protein for the group treated with the Vit C (table 2).
Table 2: The liver tissue antioxidant parameters, effects of CE, Vit C and CTL
| TBARS level (mole/g of tissue) | Activity of GSH (μmoles/g tissues) | Activity of catalase (U/mg protein) | |
| CE | 35.04±6.73 | 7.06±0.30 | 0.15±0.03 |
| Vit. C | 17.63±6.07 | 4.79±1.84 | 0.18±0.01 |
| CTL | 64.78±7.14 | 3.34±1,12 | 0.32±0.14 |
Data were presented as means±SEM (n = 6)
It appears that the increase of the antioxidant capacity of the tissue is probably attributed to elevated levels of exogenous antioxidants such as flavonoids and phenolic compounds, also or other constituents acquired following treatment with the CE of T. communis, whose antioxidant properties have already been demonstrated in the in vitro assay. This finding supported reports in the literature [55], that The flavonoids rich extract from R. tomentose fruits significantly enhanced the activities of antioxidant enzymes (SOD, CAT and GSH) of mice after they were administered with the extract. The results suggested that the flavonoids rich extract possesses potent antioxidant properties.
Plasma antioxidant capacity
In fact, the plasma contains a network of endogenous antioxidants such as (albumin, bilirubin, reduced glutathione and uric acid) as well as exogenous antioxidants derived from food. These antioxidants may act in a complementary and synergistic manner to provide better protection against ROS. The increase in plasma antioxidant capacity is probably attributed to the elevated levels of exogenous antioxidants acquired following treatment with CE of T. communis this is evidenced by the results obtained.
The results of the total antioxidant power activity of the crud extract (CE) of T. communis, the Vit C and the normal control (CTL) showed that, the reducing capacity of the T. communis with OD value of 1.031±0.253, was significantly (p<0.05) than that of CTL (0.655±0.134) but there was no significant difference in the CTL to the total antioxidant power activity of the Vit C. Our results showed that T. communis present a strong antioxidant capacity in vivo compared to that of S. sediforme [44] and of Anchusaazuea [56].
In the same contest, the DPPH test showed that the % I of CE (33.20±2.13 mg/ml) and Vit C (33.55±2.66 mg/ml) was not significantly different with CTL (32.11±1.80 mg/ml), CE at a dose of 100 mg/kg–1 per day did not significantly alter the serum DPPH.
Several studies have shown improved antioxidant capacity of plasma after dietary supplementation [57-60] and especially in this study [61], the addition of catechins or tea extract to human plasma and tea consumption by humans were also reported to increase the total antioxidant capacity of plasma. According to Adefolaju et al. it was shown that a diets supplemented with T. triangular will improve hepatoprotection against oxidative liver damage.
Blood total antioxidant capacity
These antioxidants are mobilized during an ROS attack induced ex vivo by t-BHP, to protect erythrocytes integrity and then delay their hemolysis [44]. From the obtained sigmoid hemolysis curves, it appears that treatment with the CE of T. communis and the Vit C causes a delay of hemolysis which is evident in a shift of the curves to the right. The HT50 values reveal an extension of half hemolysis time in treated groups compared with controls (CTL). Increasing the HT50 (HT50 = 75.66±4.45 mn and 75.33±6.52mn) of the two groups of mice treated with T. communis (100 mg/kg) and Vit C (50 mg/kg) respectively, is statistically not significant compared to the group control (HT50 = 70.66±6.08mn). These results indicate that a dose of 100 mg/kg of CE of T. communis is statically no significant but extrapolation of results obtained in vivo is difficult to interpret in the light of the metabolism of antioxidants.
CONCLUSION
This article is focused on in vitro and in vivo methods of antioxidant evaluation. The in vitro methods report that nearly all the extracts/fractions and standard antioxidants used for comparison studies have clearly showed differences from test to test due to different reaction principles. Nevertheless, the results of scavenging activity on DPPH radicals, reducing power, inhibition of carotene bleaching, and inhibition of lipid peroxidation of all the samples revealed antioxidant activity, and Our study provides the evidence that T. communis extracts have strong anti-hemolytic effect results reflecting membrane protection. The in vivo assay was performed to confirm this strong activity of the extract.
An in vivo approach was conducted in attempting to administer to male mice of CE (100 mg/kg). The analysis of parameters of the antioxidant potential found in hepatocyte a significant decrease in the content of a major product of lipid peroxidation (MDA) in the group of mice treated with the untreated group. The content of GSH and catalase increased much more in the group treated with CE reflecting a better improvement of antioxidant potential than the group treated with Vit C. These endogenous antioxidant enzyme systems play a vital role as enhancers of the immune system and the management of oxidative stress. Plasma antioxidant status and antihemolytic capacity improved slightly in both treatment groups by the CE and Vit C; this indicates that T. communis extract can improve the baseline of the defense mechanism against possible oxidative stress, thus decreasing susceptibility to diseases related to oxidative stress as cardiovascular and liver diseases. However, as far as we know this is the first study in vivo dealing with roots T. communis, and the interpretation of results is difficult because each method has its specificities and limits, and reference values for each parameter are often poorly defined. The broad range of antioxidant activity of extracts indicates the potential of the bark as a source of natural antioxidants or nutraceuticals with potential application to reduce oxidative stress with consequent health benefits. Though other antioxidants are probably present in these extracts/fractions, phenolic compounds might have made a significant contribution to their bioactivity.
In fact, it is very difficult to attribute the antioxidant effect of total extracts to one or a few active principles, because extracts always contains a mixture of different chemical compounds. Besides the major components, minor components may also make a significant contribution to the antioxidant activity of extracts. Further studies are required to gain more insight into the possible mechanisms of action of this plant extract. As a conclusion, this study reveals that T. communis is a good candidate for a rich source of natural antioxidant compounds and further studies based on the present results will help to develop the new drugs for antioxidant therapy.
ACKNOWLEDGMENT
This work was supported by the Algerian Ministry of Higher Education and Scientific Research (MESRS) and by the Algerian Thematic Agency for the Research in Health Sciences (ATRSS).
CONFLICTS OF INTERESTS
Declared none
REFERENCES
How to cite this article