
aNIMS Institute of Pharmacy, NIMS University, Jaipur (Rajasthan) India, bRavishankar College of Pharmacy, Bhopal (M. P.) India
Email: yagnikvns@gmail.com
Received: 28 Jul 2016 Revised and Accepted: 07 Dec 2016
ABSTRACT
Objective: The objective of the present research investigation involves synthesis and biological evaluation of antidiabetic activity of benzothiazole derivatives.
Methods: A novel series of benzothiazole derivatives 7(a-l) were synthesised and synthesised compounds were characterised for different physical and chemical properties like molecular formula, molecular weight, melting point, percentage yield, Rf value, IR, 1HNMR, 13CNMR and mass spectroscopy. The newly synthesised benzothiazole derivatives were subsequently assayed in vivo to investigate their hypoglycemic activity by the alloxan-induced diabetic model in rats.
Results: All the synthesised derivatives showed significant biological efficacy. The compound 7d at 350 mg/kg exerted maximum glucose lowering effects whereas 7c showed minimum glucose lowering effects. All the compounds were effective, and experimental results were statistically significant at p<0.01 and p<0.05 level.
Conclusion: From the results, it is clear that compound 7d demonstrated potent anti-diabetic activity and would be of better use in drug development to combat the metabolic disorder in future.
Keywords: Diabetes, Substituted benzthiazole derivatives, Thiazolidinedione, Hypoglycemic activity
© 2017 The Authors. Published by Innovare Academic Sciences Pvt Ltd. This is an open access article under the CC BY license (http://creativecommons.org/licenses/by/4. 0/)
DOI: http://dx.doi.org/10.22159/ijpps.2017v9i2.14359
INTRODUCTION
Diabetes mellitus is an endocrinological and metabolic disorder with an increasing global prevalence and incidence. High blood glucose levels are symptomatic of diabetes mellitus as a consequence of inadequate pancreatic insulin secretion or poor insulin-directed mobilisation of glucose by target cells [1]. The world health organisation (WHO) estimates that more than 220 million people worldwide have diabetes and this number is likely to double by 2030 (WHO, 2009). Several drugs such as sulfonylurea and biguanides are presently available to reduce hyperglycemia in diabetes mellitus.
These drugs have a number of side effects and thus searching for a new class of compounds is crucial to overcoming these problems. Heterocyclic compounds are the mainstay of antidiabetic therapy for many years [2]. Also, certain hypoglycemic plants may also be useful to develop evidence-based alternative medicine to cure different kinds of diabetes in man and animals [3].
Benzothiazole is a weak heterocyclic base, having varied biological activities and of great scientific interest nowadays. Benzothiazoles are fused membered rings, which contain the heterocycles bearing thiazole. Sulphur and nitrogen atoms constitute the core structure of thiazole and many pharmacologically and biologically active compounds [4]. Benzothiazole ring system is present in various marine and terrestrial natural compounds, which have useful biological activities [5].
The benzthiazole derivatives have demonstrated efficiency in biological fields such as antitumor, antitubercular, antimalarial, anticonvulsant, anthelmintic, analgesic, anti-inflammatory, antifungal, a topical carbonic anhydrase inhibitor and an anti-hypoxic. They are broadly found in bioorganic and medicinal chemistry with applications in drug discovery and development for the treatment of diabetes [6, 7]. Due to it's potent and significant biological activities, it has great pharmaceutical importance [8, 9].
Benzothiazole derivatives containing benzimidazole and imidazoline ring have diverse chemical reactivity along with a broad spectrum of biological activity [10]. In view of this literature, it was of significant interest to synthesise the benzo-thiazole derivatives with an aim to obtain potent biologically active and safe anti-diabetic agents.
MATERIALS AND METHODS
All the chemicals were of synthetic grade and commercially procured from hi media chemicals, Mumbai (Maharashtra) INDIA. ERBA diagnostic kit was used for the determination of glucose. Melting points were determined on a tempo capillary melting point apparatus in open capillary tube. UV-visible spectrophotometric determination was carried on systronics 2203. All FTIR spectra were recorded (νmax in cm-1) on bruker tensor 27 FT-IR spectrometer. 1H-NMR (proton nuclear magnetic resonance) spectrum were recorded at 300 MHz, after dissolving in a suitable solvent (DMSO,CDCl3 or D2O) on bruker avance II 400 MHz, USA FT-NMR spectrometer using tetramethylsilane as internal standard and chemical shifts (δ) are reported in parts per million (ppm). 13C NMR was also recorded on bruker avance II FT-NMR spectrometer at a frequency of 100 MHz. The spin multiplicities are indicated by symbols, s (singlet), d (doublet), t (triplet), q (quartet), m (multiple) and br (broad). Mass spectra were recorded on Waters UPLC-TQD mass spectrometer using electrospray ionisation (ESI) technique.
The purity of the compounds was ascertained by thin layer chromatography (TLC) and elemental analysis. Plates for TLC were prepared with silica gel G and activated at 110 °C for 30 min. Iodine vapours were used to develop the TLC plates. Elemental analyses were performed on a vario EL-III analyser.
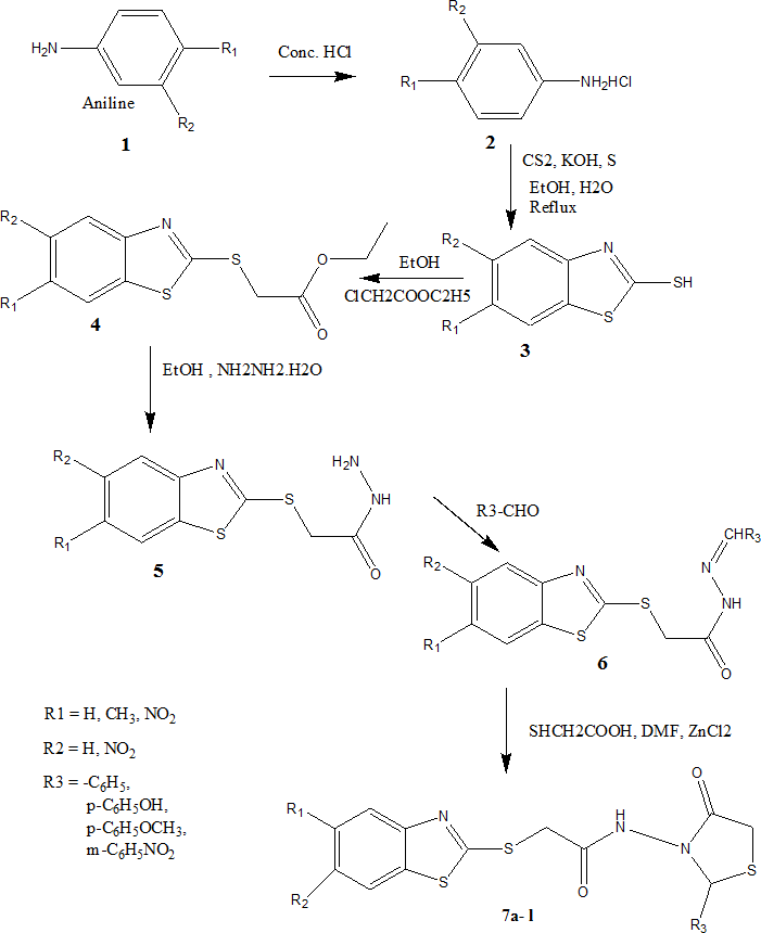
General method of synthesis for benzthiazole derivatives
All the compounds were synthesised by using a synthetic route given in scheme as follows:
Table 1: Benzothiazole derivatives with different substitutions
| S. No. | Compound code | R1 | R2 | R3 |
| 1. | 7a | CH3 | H | C6H5- |
| 2. | 7b | CH3 | H | pOHC6H4- |
| 3. | 7c | CH3 | H | pOCH3C6H4- |
| 4. | 7d | CH3 | H | m NO2C6H4- |
| 5. | 7e | NO2 | H | C6H5- |
| 6. | 7f | NO2 | H | pOHC6H4- |
| 7. | 7g | NO2 | H | pOCH3C6H4- |
| 8. | 7h | NO2 | H | m NO2C6H4- |
| 9. | 7i | H | NO2 | C6H5- |
| 10. | 7j | H | NO2 | pOHC6H4- |
| 11. | 7k | H | NO2 | pOCH3C6H4- |
| 12. | 7l | H | NO2 | m NO2C6H4- |

Fig. 1: Scheme of synthesis for benzothiazole derivatives
Synthesis of substituted aniline hydrochloride salt [Compound 2]
Aniline (0.1 mol) was taken in a round bottom flask and to it a mixture of HCl (9 ml) and water (25 ml) was added. Then the solution was heated for about 30 min and then cooled at room temp. Further, ammonium thiocyanate (0.1 mol) was added to the reaction mixture, refluxed for 4 h and was cooled. The precipitate thus obtained was filtered, washed with water, dried and crystallised from ethanol.
Synthesis of substituted benzo[d]thiazole-2-thiol [Compound 3]
A mixture of compound 1 (0.0025 mol), potassium hydroxide (0.75 gm) in water (6 ml) and carbon disulphide (1.6 g, 0.01 mol) in presence of sulphur (5 ml) and absolute ethanol (30 ml) was heated under reflux for 2 h at 280-285 °C and 600-700 psi pressure. The reaction mixture was cooled, filtered and the filtrate was acidified with a dilute hydrochloric acid, the product thus obtained was collected and recrystallized from ethanol [11].
Synthesis of substituted ethyl 2-(benzo[d]thiazol-2-ylthio) acetate [Compound 4]
2-mercaptobenzothiazole (0.2 mol) and ethyl chloroacetate (0.02 mol) in dry acetone in the presence of K2CO3 (20g) was refluxed for 10 h and the reaction mixture was poured into ice and neutralised with dil. HCl, the solid thus obtained was washed several times with water and recrystallized from chloroform.
Synthesis of substituted 2-(benzo[d]thiazol-2-ylthio) aceto-hydrazide [Compound 5]
Into a clean, dry 100 ml round bottomed flask, the ethyl-2-benzothiazole carboxylate (0.01 mol) was dissolved in ethanol (60 ml). The hydrazine hydrate (0.02 mol) (99%) was added drop by drop with constant stirring and the content were refluxed for 8 h and thus cooled to room temperature.
Synthesis of substituted 2-(benzo[d]thiazol-2-ylthio)-N'-methyl-eneacetohydrazide [Compound 6]
A mixture of compound 5 (1 g, 0.0034 mol) and different benzaldehydes (0.0034 mol) were taken with absolute ethanol (20 ml) and was refluxed for 3 h. The solvent was evaporated and the residue was recrystallized from ethanol [12].
Synthesis of benzthiazole derivatives [Compound 7a-l]
A mixture of the previous compound (0.01 mol) and mercapto acetic acid (0.012 mol) in DMF (25 ml) containing a pinch of anhydrous ZnCl2 was refluxed for 8 h. The reaction mixture was then cooled and poured into ice-cold water. The resulting solid was filtered, washed several times with water and then crystallised from DMF [13].
Determination of physical properties of synthesised derivatives
The physical properties were determined for all the synthesised derivatives that include molecular formula, molecular weight, melting point, percentage yield and Rf value.
Pharmacological evaluation of synthesised derivatives
Determination of acute toxicity (OECD 425, 2008) [14]
The acute toxicity of synthesised benzothiazole derivatives was determined by using female albino rats (200–250 g) which were maintained under the standard conditions. The acclimatised animals (n= 6) were kept fasting with water ad libitum for 12 h prior to the experiment. The animals were administered with single dose of test compound at a dose of 2000 mg/kg and observed for their mortality during 14 d period for toxicity study. The doses were increased up to 1000 mg/kg and rats were observed up to 02 w for their behavioural, economical and neurological profiles except for slight depression in their activity. No such signs, symptoms and mortality were observed even after 14 d. Hence the LD50 cut off the value of the test compounds was fixed at 350 mg/kg and the same dose was considered for evaluation of the antidiabetic activity. All the animal experiments were conducted by the approval of Institutional Animal Ethics Committee (Approval No. SBRL/IAEC/July2015/12), Sapience Bioanalytical Laboratory Bhopal, Madhya Pradesh, India
Assessments of anti-diabetic activity in alloxan-induced diabetic rats [15]
Induction of experimental diabetes by alloxan monohydrate
The fresh solution of alloxan monohydrate in normal saline was administered p. o. into fasted rats at a dose of 120 mg/kg body weight [16, 17]. After alloxan administration (i. p.), rats were given 5% (w/v) dextrose solution in feeding bottles for next 24 h in their cages to to prevent hypoglycaemia. The animals showing blood glucose range of 200-400 mg dL-1 were used for the experiment and the hyperglycemia was confirmed after 72 h of alloxan monohydrate administration (i. p.). The animals were also observed for consistent hyperglycaemia (fasting blood glucose) between 200-400 mg/dl up to 14 d.
Experimental design
Animals were divided into fourteen groups of 6 animals in each (n=6). Group 1 diabetic animals received 1 ml of 0.5% carboxymethyl cellulose as a control group; Group 2 diabetic animals received Glibenclamide 20 mg/kg as a standard group; Groups (3-14) diabetic animals received compounds 7a-7l in a single dose of 350 mg/kg body weight p. o. respectively for 14 d continuously.
Blood glucose measurement
Blood glucose level was monitored by a tail dipping method. The blood sample was dropped on the dextrostrix reagent pad. The strip was inserted into microprocessor digital blood glucometer, and reading was noted. The blood glucose level was monitored at 0 h, 3h, 7h, 10 h respectively.
Statistical analysis
The values were expressed as mean±SEM Data were analysed using One-way ANOVA followed by Tukey-Kramer test. The values were considered to be significant at p<0.05 and p<0.01 level.
RESULTS AND DISCUSSION
All the benzthiazole derivatives 7(a-l) were synthesised by the given scheme and reaction process was monitored by thin layer chromatography method using silica gel-G stationary phase, ethyl acetate: ethanol (2:3) as mobile phase, and detecting the spots with iodine vapours. All the constant physical data were characterised for all the synthesised derivatives that are given in the synthesised derivatives were also confirmed by FTIR, 1H NMR, C13NMR and mass spectroscopy method. The FTIR spectrums demonstrated the significant peaks at 3270-3260 cm-1(N-H strech.), 1720-1710 cm-1(cyclic C=O strech.), 1660 cm-1(amide C=O stretch.), 1320-1310 cm-1(C-N Strech), 695-685 cm-1(C-S stretch) cm-1.
The different substitutions on phenyl ring were confirmed through FTIR spectrum peaks at 3480-3460 cm-1(O-H stretch.) for hydroxyl group, 1250 (asym. C-O strech.) and 1038 (sym. C-O stretch.) for methoxy group, 1385-90 (sym. CH3 bending) and 1330-40 (sym NO2 bending) for nitro group substitution. The proton NMR spectrums also confirmed the different substitutions on phenyl as well as benzothiazole ring distinct due to change in the environment of protons. Similarly, the environment surrounding carbon atoms were also changed which were confirmed through the C13NMR. The mass spectroscopy studies confirmed the molecular weight of derivatives through molecular ion peak on the mass spectrum (i.e. peak at highest m/e).
Table 2: Physical constant data of synthesised derivatives
| Properties Code of derivatives | Molecular formula | Molecular weight | Melting point in °C | % Yield | Retention factor |
| 7a | C19H17N3O2S3 | 415.55 | 168-170 | 62.5 | 0.58 |
| 7b | C19H17N3O3S3 | 431.55 | 188-189 | 68.7 | 0.62 |
| 7c | C20H19N3O3S3 | 445.58 | 210-212 | 72.3 | 0.64 |
| 7d | C19H16N4O4S3 | 460.55 | 276-278 | 76.2 | 0.72 |
| 7e | C18H14N4O4S3 | 446.52 | 165-167 | 59.5 | 0.63 |
| 7f | C18H14N4O5S3 | 462.52 | 184-186 | 63.2 | 0.68 |
| 7g | C19H16N4O5S3 | 476.55 | 207-209 | 69.1 | 0.71 |
| 7h | C18H13N5O6S3 | 491.52 | 273-275 | 74.8 | 0.78 |
| 7i | C18H14N4O4S3 | 446.52 | 161-163 | 56.8 | 0.61 |
| 7j | C18H14N4O5S3 | 462,52 | 179-181 | 61.3 | 0.69 |
| 7k | C19H16N4O5S3 | 476.55 | 202-204 | 67.7 | 0.70 |
| 7l | C18H13N5O6S3 | 491.52 | 269-271 | 71.9 | 0.77 |
Yield: 62.5 %; M. P. 168-170 °C; Anal. Cal. for C19H17N3O2S3: C, 54.92; H, 4.12; N, 10.11; O, 7.70; S, 23.15%; found: C, 54.92; H, 4.14; N, 10.06; O, 7.72; S, 23.13%;
FT-IR spectroscopy
FT-IR (νmax): 3265 (N-H strech.), 3030 (aromatic C-H strech.), 2960(asym. aliphatic C-H strech.), 2858 (sym. aliphatic C-H strech.), 1670-2000 (overtone for substitution on aromatic ring), 1710 (cyclic C=O strech.), 1660 (amide C=O stretch.), 1598 (phenyl ring stretch.), 1578 (N-H bending), 1510 (phenyl C-H out of plane bending), 1465 (CH2 bending), 1456 (asym CH3 bending), 1389 (sym. CH3 bending), 1315 (C-N Strech), 690 (C-S stretch) cm-1.
1H-NMR spectroscopy
1H-NMR (CDCl3) (δ, ppm): 7.94 (s,1H,-CONH-), 7.89-7.78 (m, 3H, benzthiazole ring protons), 7.36-7.26 (m, 5H, phenyl ring protons), 5.92 (s, 1H, thiazole ring protons at phenyl linkage), 4.35 (s, 2H,-SCH2-), 3.95-3.82 (s, 2H, thiazole ring protons), 2.33 (s, 3H, CH3 at benzthiazole linkage).
13C-NMR spectroscopy
13C-NMR (CDCl3) (δ, ppm): 170.3 (C=O, amide carbon), 168.6 (C=O thiazole ring carbon), 164.2 (C=N bezthiazole ring carbon at sulfur linkage), 150.5 (C-N benzthiazole ring carbon), 139.2 (phenyl ring carbon at thiazole linkage), 134.2-135.0 (bezthiazole ring carbons at sulfur and methyl linkage), 127.2-128.8 (phenyl ring carbons), 121.5-126.6 (benzthiazole ring carbons at proton linkage), 57.3 (thiazole ring carbon at phenyl linkage), 40.9 (-S-CH2-CONH-), 35.7 (thiazole ring carbon at-C=O linkage), 23.9 (methyl carbon at benzthiazole ring)
Mass spectroscopy
Molecular ion peak demonstrated on mass spectrum and reported m/e (ESI): 415 (M+).
FT-IR spectroscopy
FT-IR (νmax): 3465 (O-H stretch.), 3268 (N-H strech.), 3033 (aromatic C-H strech.), 2962(asym. aliphatic C-H strech.), 2861 (sym. aliphatic C-H strech.), 1670-2000 (overtone for substitution on aromatic ring), 1714 (cyclic C=O strech.), 1662 (amide C=O stretch.), 1603 (phenyl ring stretch.), 1580 (N-H bending), 1512 (phenyl C-H out of plane bending), 1466 (CH2 bending), 1458 (asym CH3 bending), 1388 (sym. CH3 bending), 1317 (C-N Strech), 692 (C-S stretch) cm-1.
1H-NMR spectroscopy
1H-NMR (CDCl3) (δ, ppm): 7.94 (s,1H,-CONH-), 7.89-7.76 (m, 3H, benzthiazole ring protons), 7.35-6.63 (m, 4H, phenyl ring protons), 5.91 (s, 1H, thiazole ring protons at phenyl linkage), 5.35(s,1H,-C6H4-OH), 4.35 (s, 2H,-SCH2-), 3.95-3.83 (s, 2H, thiazole ring protons), 2.34 (s, 3H, CH3 at benzthiazole linkage).
13C-NMR spectroscopy
13C-NMR (CDCl3) (δ, ppm): 170.4 (C=O, amide carbon), 168.8 (C=O thiazole ring carbon), 164.4 (C=N bezthiazole ring carbon at sulfur linkage), 151.3 (C-N benzthiazole ring carbon), 156.9 (phenyl ring carbon at hydroxyl linkage), 134.3-135.8 (bezthiazole ring carbons at sulfur and methyl linkage), 131.8 (phenyl ring carbon at thiazole linkage), 121.5-126.6 (benzthiazole ring carbons at proton linkage), 115.8-125.2 (phenyl ring carbons), 57.8 (thiazole ring carbon at phenyl linkage), 41.2 (-S-CH2-CONH-), 36.4 (thiazole ring carbon at-C=O linkage), 24.5 (methyl carbon at benzthiazole ring).
Mass spectroscopy
Molecular ion peak demonstrated on mass spectrum and reported m/e (ESI): 432 (M+).
FT-IR spectroscopy
FT-IR (νmax): 3266 (N-H strech.), 3035 (aromatic C-H strech.), 2969(asym. aliphatic C-H strech.), 2862 (sym. aliphatic C-H strech.), 1670-2000 (overtone for substitution on aromatic ring), 1712 (cyclic C=O strech.), 1660 (amide C=O stretch.), 1599 (phenyl ring stretch.), 1579 (N-H bending), 1515 (phenyl C-H out of plane bending), 1464 (CH2 bending), 1455 (asym CH3 bending), 1387 (sym. CH3 bending), 1315 (C-N Strech), 1250 (asym. C-O strech.), 1038 (sym. C-O stretch.), 694 (C-S stretch) cm-1.
1H-NMR spectroscopy
1H-NMR (CDCl3) (δ, ppm): 7.94 (s,1H,-CONH-), 7.89-7.63 (m, 3H, benzthiazole ring protons), 7.35-6.86 (m, 4H, phenyl ring protons), 5.91 (s, 1H, thiazole ring protons at phenyl linkage), 4.35 (s, 2H,-SCH2-), 3.95-3.82 (s, 2H, thiazole ring protons), 2.34 (s, 3H, CH3 at benzthiazole linkage).
13C-NMR spectroscopy
13C-NMR (CDCl3) (δ, ppm): 170.9 (C=O, amide carbon), 168.5 (C=O thiazole ring carbon), 163.8 (C=N bezthiazole ring carbon at sulfur linkage), 151.9 (C-N benzthiazole ring carbon), 159.2 (phenyl ring carbon at methoxy linkage), 134.6-136.2 (bezthiazole ring carbons at sulfur and methyl linkage), 131.5 (phenyl ring carbon at thiazole linkage), 121.1-126.3 (benzthiazole ring carbons at proton linkage), 114.2-125.9 (phenyl ring carbons), 58.3 (thiazole ring carbon at phenyl linkage), 41.9 (-S-CH2-CONH-), 36.8 (thiazole ring carbon at-C=O linkage), 24.3 (methyl carbon at benzthiazole ring).
Mass spectroscopy
Molecular ion peak demonstrated on mass spectrum and reported m/e (ESI): 446 (M+).
Yield: 76.2 %; M. P. 276-278 °C; Anal. Cal. for C19H16N4O4S3: C, 49.55; H, 3.50; N, 12.17; O, 13.90; S, 20.89 %; found: C, 49.53; H, 3.48; N, 12.14; O, 13.95; S, 20.91 %.
FT-IR spectroscopy
FT-IR (νmax): 3258 (N-H strech.), 3038 (aromatic C-H strech.), 2972(asym. aliphatic C-H strech.), 2865 (sym. aliphatic C-H strech.), 1670-2000 (overtone for substitution on aromatic ring), 1714 (cyclic C=O strech.), 1658 (amide C=O stretch.), 1597 (phenyl ring stretch.), 1575 (N-H bending), 1538 (asym. NO2 strech), 1516 (phenyl C-H out of plane bending), 1466 (CH2 bending), 1453 (asym CH3 bending), 1389 (sym. CH3 bending), 1334 (sym NO2 bending), 1312 (C-N Strech), 696 (C-S stretch) cm-1. FT-IR image of the synthesized compound is shown in fig. 2.
1H-NMR spectroscopy
1H-NMR (CDCl3) (δ, ppm): 8.10 (s,1H,-CONH-), 8.06-7.87 (m, 4H, phenyl ring protons), 7.81-7.33 (m, 3H, benzthiazole ring protons), 5.92 (s, 1H, thiazole ring protons at phenyl linkage), 4.35 (s, 2H,-SCH2-), 3.95-3.83 (s, 2H, thiazole ring protons), 2.34 (s, 3H, CH3 at benzthiazole linkage).1H-NMR image of the synthesized compound is shown in fig. 3.

Fig. 2: FT-IR image of synthesised compound 7d

Fig. 3: 1H-NMR image of synthesised compound 7d
13C-NMR spectroscopy
13C-NMR (CDCl3) (δ, ppm): 171.2 (C=O, amide carbon), 167.9 (C=O thiazole ring carbon), 164.2 (C=N bezthiazole ring carbon at sulfur linkage), 152.3 (C-N benzthiazole ring carbon), 147.2 (phenyl ring carbon at nitro linkage), 145.3 (phenyl ring carbon at thiazole linkage), 134.3-135.5 (bezthiazole ring carbons at sulfur and methyl linkage), 121.4-126.7 (benzthiazole ring carbons at proton linkage), 121.1-129.2 (phenyl ring carbons), 57.6 (thiazole ring carbon at phenyl linkage), 40.5 (-S-CH2-CONH-), 35.9 (thiazole ring carbon at-C=O linkage), 23.7 (methyl carbon at benzthiazole ring).
Mass spectroscopy
Molecular ion peak demonstrated on mass spectrum and reported m/e (ESI): 461(M+).
FT-IR spectroscopy
FT-IR (νmax): 3263 (N-H strech.), 3032 (aromatic C-H strech.), 2964 (asym. aliphatic C-H strech.), 2862 (sym. aliphatic C-H strech.), 1670-2000 (overtone for substitution on aromatic ring), 1714(cyclic C=O strech.), 1665 (amide C=O stretch.), 1602 (phenyl ring stretch.), 1581 (N-H bending), 1536 (asym. N=O strech), 1513 (phenyl C-H out of plane bending), 1467 (CH2 bending), 1342 (sym. N=O strech), 1318 (C-N Strech), 687 (C-S stretch) cm-1.
1H-NMR spectroscopy
1H-NMR (CDCl3) (δ, ppm): 8.66 (s,1H,-CONH-), 8.35-7.95 (m, 3H, benzthiazole ring protons), 7.35-7.18 (m, 5H, phenyl ring protons), 5.92 (s, 1H, thiazole ring protons at phenyl linkage), 4.35 (s, 2H,-SCH2-), 3.95-3.82 (s, 2H, thiazole ring protons).
13C-NMR spectroscopy
13C-NMR (CDCl3) (δ, ppm): 172.1 (C=O, amide carbon), 169.3 (C=O thiazole ring carbon), 165.8 (C=N bezthiazole ring carbon at sulfur linkage), 154.4 (C-N benzthiazole ring carbon), 140.1 (phenyl ring carbon at thiazole linkage), 141.1-145.2 (bezthiazole ring carbons at sulfur and nitro linkage), 126.8-129.3 (phenyl ring carbons), 117.1-122.2 (benzthiazole ring carbons at proton linkage), 58.7 (thiazole ring carbon at phenyl linkage), 41.6 (-S-CH2-CONH-), 37.1 (thiazole ring carbon at-C=O linkage).
Mass spectroscopy
Molecular ion peak demonstrated on mass spectrum and reported m/e (ESI): 447 (M+).
FT-IR spectroscopy
FT-IR (νmax): 3468 (O-H stretch.), 3274 (N-H strech.), 3038 (Aromatic C-H strech.), 2969 (asym. aliphatic C-H strech.), 2867 (sym. aliphatic C-H strech.), 1670-2000 (overtone for substitution on aromatic ring), 1716 (cyclic C=O strech.), 1665 (amide C=O stretch.), 1601 (phenyl ring stretch.), 1578 (N-H bending), 1538 (asym. N=O strech), 1509 (phenyl C-H out of plane bending), 1469(CH2 bending), 1342 (sym. N=O strech), 1319 (C-N Strech), 689 (C-S stretch) cm-1.
1H-NMR spectroscopy
1H-NMR (CDCl3) (δ, ppm): 8.66 (s,1H,-CONH-), 8.35-7.95 (m, 3H, benzthiazole ring protons), 7.79-6.63 (m, 4H, phenyl ring protons), 5.91 (s, 1H, thiazole ring protons at phenyl linkage), 5.35 (s,1H,-C6H4-OH), 4.35 (s, 2H,-SCH2-), 3.95-3.83 (s, 2H, thiazole ring protons).
13C-NMR spectroscopy
13C-NMR (CDCl3) (δ, ppm): 171.1 (C=O, amide carbon), 170.4 (C=O thiazole ring carbon), 164.2 (C=N bezthiazole ring carbon at sulfur linkage), 154.6 (C-N benzthiazole ring carbon), 156.3 (phenyl ring carbon at hydroxyl linkage), 141.2-145.4 (bezthiazole ring carbons at sulfur and nitro linkage), 131.3 (phenyl ring carbon at thiazole linkage), 124.2-130.7 (phenyl ring carbons), 117.3-122.9 (benzthiazole ring carbons at proton linkage), 58.4 (thiazole ring carbon at phenyl linkage), 41.8 (-S-CH2-CONH-), 37.2 (thiazole ring carbon at-C=O linkage).
Mass spectroscopy
Molecular ion peak demonstrated on mass spectrum and reported m/e (ESI): 463 (M+).
FT-IR spectroscopy
FT-IR (νmax): 3268 (N-H strech.), 3037 (aromatic C-H strech.), 2972 (asym. aliphatic C-H strech.), 2865 (sym. aliphatic C-H strech.), 1670-2000 (overtone for substitution on aromatic ring), 1713 (cyclic C=O strech.), 1663 (amide C=O stretch.), 1602 (phenyl ring stretch.), 1577 (N-H bending), 1539 (asym. N=O strech), 1512 (phenyl C-H out of plane bending), 1463 (CH2 bending), 1452 (asym CH3 bending), 1384 (sym. CH3 bending), 1344 (Sym. N=O strech), 1316 (C-N Strech), 1254 (asym. C-O strech.), 1040 (sym. C-O stretch.), 696 (C-S stretch) cm-1.
1H-NMR spectroscopy
1H-NMR (CDCl3) (δ, ppm): 8.62 (s,1H,-CONH-), 8.35-7.95 (m, 3H, benzthiazole ring protons), 7.84-6.85 (m, 4H, phenyl ring protons), 5.92 (s, 1H, thiazole ring protons at phenyl linkage), 4.35 (s, 2H,-SCH2-), 3.95-3.83 (s, 2H, thiazole ring protons).
13C-NMR spectroscopy
13C-NMR (CDCl3) (δ, ppm): 171.4 (C=O, amide carbon), 169.2 (C=O thiazole ring carbon), 164.1 (C=N bezthiazole ring carbon at sulfur linkage), 154.1 (C-N benzthiazole ring carbon), 159.5 (phenyl ring carbon at methoxy linkage), 141.3-145.4 (bezthiazole ring carbons at sulfur and nitro linkage), 131.2 (phenyl ring carbon at thiazole linkage), 124.6-129.3 (phenyl ring carbons), 117.3-122.9 (benzthiazole ring carbons at proton linkage), 57.9 (thiazole ring carbon at phenyl linkage), 41.4 (-S-CH2-CONH-), 36.4 (thiazole ring carbon at-C=O linkage).
Mass spectroscopy
Molecular ion peak demonstrated on mass spectrum and reported m/e (ESI): 477 (M+).
FT-IR spectroscopy
FT-IR (νmax): 3261 (N-H strech.), 3040 (aromatic C-H strech.), 2975 (asym. aliphatic C-H strech.), 2868 (sym. aliphatic C-H strech.), 1670-2000 (overtone for substitution on aromatic ring), 1716 (cyclic C=O strech.), 1661 (amide C=O stretch.), 1599 (phenyl ring stretch.), 1577 (N-H bending), 1540 (asym. NO2 strech), 1514 (phenyl C-H out of plane bending), 1468 (CH2 bending), 1337 (sym. NO2 bending), 1314 (C-N Strech), 694 (C-S stretch) cm-1.
1H-NMR spectroscopy
1H-NMR (CDCl3) (δ, ppm): 8.62 (s,1H,-CONH-), 8.34-7.96 (m, 3H, benzthiazole ring protons), 7.75-7.56 (m, 4H, phenyl ring protons), 5.93 (s, 1H, thiazole ring protons at phenyl linkage), 4.35 (s, 2H,-SCH2-), 3.95-3.83(s, 2H, thiazole ring protons).
13C-NMR spectroscopy
13C-NMR (CDCl3) (δ, ppm): 171.9 (C=O, amide carbon), 168.8 (C=O thiazole ring carbon), 164.9 (C=N bezthiazole ring carbon at sulfur linkage), 155.2 (C-N benzthiazole ring carbon), 147.8 (phenyl ring carbon at nitro linkage), 145.9 (phenyl ring carbon at thiazole linkage), 134.3-135.5 (bezthiazole ring carbons at sulfur and nitro linkage), 141.6-145.9 (benzthiazole ring carbons at proton linkage), 121.6-129.8 (phenyl ring carbons), 58.1 (thiazole ring carbon at phenyl linkage), 41.3 (-S-CH2-CONH-), 36.5 (thiazole ring carbon at-C=O linkage).
Mass spectroscopy
Molecular ion peak demonstrated on mass spectrum and reported m/e (ESI): 492 (M+).
FT-IR spectroscopy
FT-IR (νmax): 3267 (N-H strech.), 3036 (aromatic C-H strech.), 2969 (asym. aliphatic C-H strech.), 2868 (sym. aliphatic C-H strech.), 1670-2000 (overtone for substitution on aromatic ring), 1716 (cyclic C=O strech.), 1668 (amide C=O stretch.), 1605 (phenyl ring stretch.), 1584 (N-H bending), 1539 (asym. N=O strech), 1516 (phenyl C-H out of plane bending), 1469 (CH2 bending), 1345 (sym. N=O strech), 1319 (C-N Strech), 694 (C-S stretch) cm-1.
1H-NMR spectroscopy
1H-NMR (CDCl3) (δ, ppm): 9.17 (s, 1H,-CONH-), 8.34-8.25 (m, 3H, benzthiazole ring protons), 7.37-7.18 (m, 5H, phenyl ring protons), 5.93 (s, 1H, thiazole ring protons at phenyl linkage), 4.35 (s, 2H,-SCH2-), 3.95-3.83(s, 2H, thiazole ring protons).
13C-NMR spectroscopy
13C-NMR (CDCl3) (δ, ppm): 173.1 (C=O, amide carbon), 169.9 (C=O thiazole ring carbon), 166.5 (C=N bezthiazole ring carbon at sulfur linkage), 159.6 (C-N benzthiazole ring carbon), 140.8 (phenyl ring carbon at thiazole linkage), 142.4-146.6 (bezthiazole ring carbons at sulfur and nitro linkage), 125.3-128.9 (phenyl ring carbons), 118.3-123.5 (benzthiazole ring carbons at proton linkage), 59.2 (thiazole ring carbon at phenyl linkage), 43.2 (-S-CH2-CONH-), 36.8 (thiazole ring carbon at-C=O linkage).
Mass spectroscopy
Molecular ion peak demonstrated on mass spectrum and reported m/e (ESI): 447 (M+).
FT-IR spectroscopy
FT-IR (νmax): 3472 (O-H stretch.), 3278 (N-H strech.), 3042 (aromatic C-H strech.), 2973 (asym. aliphatic C-H strech.), 2869 (sym. aliphatic C-H strech.), 1670-2000 (overtone for substitution on aromatic ring), 1714 (cyclic C=O strech.), 1667 (amide C=O stretch.), 1599 (phenyl ring stretch.), 1581 (N-H bending), 1541 (asym. N=O strech), 1511 (phenyl C-H out of plane bending), 1466 (CH2 bending), 1345 (sym. N=O strech), 1316 (C-N Strech), 692 (C-S stretch) cm-1.
1H-NMR spectroscopy
1H-NMR (CDCl3) (δ, ppm): 9.16 (s,1H,-CONH-), 8.34-7.96 (m, 3H, benzthiazole ring protons), 7.77-6.63 (m, 4H, phenyl ring protons), 5.93 (s, 1H, thiazole ring protons at phenyl linkage), 5.35 (s,1H,-C6H4-OH), 4.35 (s, 2H,-SCH2-), 3.95-3.83 (s, 2H, thiazole ring protons).
13C-NMR spectroscopy
13C-NMR (CDCl3) (δ, ppm): 173.3 (C=O, amide carbon), 172.2 (C=O thiazole ring carbon), 165.2 (C=N bezthiazole ring carbon at sulfur linkage), 160.2 (C-N benzthiazole ring carbon), 157.7 (phenyl ring carbon at hydroxyl linkage), 143.6-146.8 (bezthiazole ring carbons at sulfur and nitro linkage), 132.4 (phenyl ring carbon at thiazole linkage), 125.7-130.9 (phenyl ring carbons), 118.6-123.8 (benzthiazole ring carbons at proton linkage), 59.3 (thiazole ring carbon at phenyl linkage), 43.2 (-S-CH2-CONH-), 38.6 (thiazole ring carbon at-C=O linkage).
Mass spectroscopy
Molecular ion peak demonstrated on mass spectrum and reported m/e (ESI): 463 (M+).
FT-IR spectroscopy
FT-IR (νmax): 3271 (N-H strech.), 3040 (aromatic C-H strech.), 2976 (asym. aliphatic C-H strech.), 2868 (sym. aliphatic C-H strech.), 1670-2000 (overtone for substitution on aromatic ring), 1716 (cyclic C=O strech.), 1666 (amide C=O stretch.), 1604 (phenyl ring stretch.), 1577 (N-H bending), 1542 (asym. N=O strech), 1514 (phenyl C-H out of plane bending), 1467 (CH2 bending), 1456 (asym CH3 bending), 1386 (sym. CH3 bending), 1347 (sym. N=O strech), 1316 (C-N strech), 1253 (asym. C-O strech.), 1041 (sym. C-O stretch.), 693 (C-S stretch) cm-1.
1H-NMR spectroscopy
1H-NMR (CDCl3) (δ, ppm): 9.16 (s,1H,-CONH-), 8.34-7.96 (m, 3H, benzthiazole ring protons), 7.86-6.66 (m, 4H, phenyl ring protons), 5.92 (s, 1H, thiazole ring protons at phenyl linkage), 4.35 (s, 2H,-SCH2-), 3.95-3.83 (s, 2H, thiazole ring protons).
13C-NMR spectroscopy
13C-NMR (CDCl3) (δ, ppm): 172.5 (C=O, amide carbon), 169.9 (C=O thiazole ring carbon), 165.5 (C=N bezthiazole ring carbon at sulfur linkage), 161.8 (C-N benzthiazole ring carbon), 158.8 (phenyl ring carbon at methoxy linkage), 141.9-146.2 (bezthiazole ring carbons at sulfur and nitro linkage), 132.1 (phenyl ring carbon at thiazole linkage), 124.1-128.9 (phenyl ring carbons), 118.1-123.2 (benzthiazole ring carbons at proton linkage), 58.4 (thiazole ring carbon at phenyl linkage), 42.1 (-S-CH2-CONH-), 37.3 (thiazole ring carbon at-C=O linkage).
Mass spectroscopy
Molecular ion peak demonstrated on mass spectrum and reported m/e (ESI): 477 (M+).
Yield: 71.9 %; M. P. 269-271 °C; Anal. Cal. for C18H13N5O6S3: C, 43.98; H, 2.67; N, 14.25; O, 19.53; S, 19.57 %; found: C, 44.01; H, 2.64; N, 14.21; O, 19.56; S, 19.58 %.
FT-IR spectroscopy
FT-IR (νmax): 3265 (N-H strech.), 3043 (aromatic C-H strech.), 2978 (asym. aliphatic C-H strech.), 2873 (sym. aliphatic C-H strech.), 1670-2000 (overtone for substitution on aromatic ring), 1715 (cyclic C=O strech.), 1664 (amide C=O stretch.), 1601 (phenyl ring stretch.), 1575 (N-H bending), 1543 (asym. NO2 strech), 1515 (phenyl C-H out of plane bending), 1466 (CH2 bending), 1339 (sym NO2 bending), 1317 (C-N Strech), 694 (C-S stretch) cm-1.
1H-NMR spectroscopy
1H-NMR (CDCl3) (δ, ppm): 9.16 (s, 1H,-CONH-), 8.34-7.96 (m, 3H, benzthiazole ring protons), 7.75-7.56 (m, 4H, phenyl ring protons), 5.93 (s, 1H, thiazole ring protons at phenyl linkage), 4.35(s, 2H,-SCH2-), 3.95-3.83 (s, 2H, thiazole ring protons).
13C-NMR spectroscopy
13C-NMR (CDCl3) (δ, ppm): 172.7 (C=O, amide carbon), 170.1 (C=O thiazole ring carbon), 164.7 (C=N bezthiazole ring carbon at sulfur linkage), 161.4 (C-N benzthiazole ring carbon), 149.7 (phenyl ring carbon at nitro linkage), 146.6 (phenyl ring carbon at thiazole linkage), 135.9-137.1 (bezthiazole ring carbons at sulfur and nitro linkage), 142.9-146.2 (benzthiazole ring carbons at proton linkage), 121.9-129.4 (phenyl ring carbons), 59.4 (thiazole ring carbon at phenyl linkage), 43.1 (-S-CH2-CONH-), 38.3 (thiazole ring carbon at-C=O linkage).
Mass spectroscopy
Molecular ion peak demonstrated on mass spectrum and reported m/e (ESI): 492 (M+).
Evaluation of antidiabetic activity in alloxan-induced diabetic rats
The LD50 values of the synthesised compounds were estimated to be in the range of 300-3000 mg/kg b.w. Alloxan induces diabetes through rapid depletion of β-cells which ultimately results to reduce the insulin release. All the results summarised in table 2 revealed that most of the synthesised compounds exhibited antidiabetic response at the end of ten-day of the experimental period. It has been found that oral administration of synthesised compounds 7d, 7g, 7h and 7l caused a more significant reduction in blood glucose than other compounds in diabetic rats. However, the compound 7d at 350 mg/kg b.w. exerted maximum glucose lowering effects whereas 7c showed minimum glucose lowering effects.
DISCUSSION
This study was undertaken; mainly to assess the protective effect of benzothiazole derivatives against alloxan-induced diabetes in experimental rats. Alloxan is selectively toxic to pancreatic β cells that produce insulin due to the accumulation of alloxan through the GLUT2 transporter. Though alloxan by itself is not toxic, but once it is infiltrated to the pancreatic β-cells through the GLUT2 transporter, alloxan is reduced to dialuric acid in the presence of different cellular reducing agents. The presence of both alloxan and its reduction product leads to the establishment of redox cycle for generation of superoxide radicals. The toxic action of alloxan on β cells is initiated by free radicals formed by redox reactions. The intolerable rise in oxidative agents provokes necrosis of pancreatic β-cells known to be vulnerable to a redox imbalance. This suggests that alloxan diabetogenicity is a free radical-mediated process. Furthermore, alloxan toxicity is related to animal death due to fatal hypoglycemic convulsions. This study shows that oral administration of synthesised benzothiazole derivatives prevented the diabetogenic effect of alloxan; this is possibly due to the presence of antioxidant compounds, which act by inhibiting alloxan-induced free radicals production [18, 19].
All the synthesised derivatives were confirmed by FTIR, 1H NMR, 13CNMR and mass spectroscopy method. The animals showing blood glucose range of 200-400 mg dL-1 were used for the experiment and the hyperglycemia was confirmed after 72 h of alloxan monohydrate administration (i. p.). It has been found that oral administration of synthesised compounds specifically 7d, 7g, 7h and 7l at a defined dose of 350 mg/kg b.w. caused a more significant reduction in blood glucose than other compounds in diabetic rats. However, the compound 7d exerted maximum glucose lowering effects whereas 7i showed minimum glucose lowering effects. This study reveals the result of test groups when significantly compared with positive control (alloxan 120 mg/kg) p. o. and standard glibenclamide 10 mg/kg (p. o.). In addition, it is necessary to ensure, to determine the exact mechanism by applying other in vitro methods for evaluation of the antidiabetic activity. Effective blood glucose control is the key for preventing or reversing diabetic complications and improving the quality of life in patients with diabetes. Thus, sustained reduction in hyperglycemia will decrease the risk of developing microvascular complications and most likely reduce the risk of macrovascular complications [20].
Table 3: Antidiabetic activity of synthesised compounds 7(a–l)
| S. No. | Treatment(350 mg/kg b. w p. o) | Blood glucose level (mg/dl) | % reduction in blood glucose | |||
| 0th day | 7th day | 14th day | 21st day | |||
| 1. | Normal control | 105.09±1.2 | 102±0.3 | 102±0.9 | 100±1.2 | - |
| 2. | Diabetic positive control | 274±1.3 | 273±1.6 | 271±1.4 | 270±1.9 | - |
| 3. | Glibenclamide 10 mg/kg | 278±2.1 | 219±2.4 | 168±1.8 | 95±1.7 | 65.82 % |
| 4. | 7a | 274±1.4 | 243±2.8 | 206±1.3 | 158±2.3 | 42.33 % |
| 5. | 7b | 271±2.7 | 235±3.1 | 191±0.8 | 144±3.3 | 46.86% |
| 6. | 7c | 270±1.9 | 246±2.7 | 199±1.9 | 161±1.5 | 40.37 % |
| 7. | 7d | 279±3.6 | 222±3.4˙ | 167±2.2˙˙ | 102±1.8˙˙˙ | 63.44 % |
| 8. | 7e | 281±2.8 | 238±2.9 | 192±1.3 | 149±4.1 | 46.97 % |
| 9. | 7f | 272±1.7 | 254±3.2 | 205±1.6 | 159±2.9 | 41.54% |
| 10. | 7g | 283±1.3 | 230±2.5 | 174±1.4 | 110±3.1˙˙˙ | 61.13 % |
| 11. | 7h | 281±4.2 | 235±2.7˙ | 179±1.5 | 114±2.6˙˙ | 59.43 % |
| 12. | 7i | 276±3.4 | 250±2.2 | 210±0.5 | 165±3.2 | 40.21 % |
| 13. | 7j | 273±1.6 | 240±2.6 | 192±2.2 | 136±2.4 | 50.18 % |
| 14. | 7k | 269±2.8 | 244±2.3 | 199±1.9 | 146±2.1 | 45.72 % |
| 15. | 7l | 274±1.5 | 242±2.5˙˙ | 186±1.1 | 123±1.8˙˙ | 55.10 % |
n=6, Values are expressed as mean±SD, ˙P<0.05, ˙˙P<0.01, ˙˙˙P<0.001–significant compared to standard group
Researchers also synthesised a novel series of substituted (E)-3-(Benzo[d]thiazol-2-ylamino) phenylprop-2-en-1-ones and evaluated for their antidiabetic activity [21]. Selective inhibitors of 11beta-hydroxysteroid dehydrogenase type 1 (11β-HSD1) have considerable potential as treatments for metabolic diseases, such as diabetes mellitus type 2 or obesity. Moreover, a series of novel benzothiazole derivatives were synthesised and studied for their inhibitory activities against 11-HSD1 from human hepatic microsomes measured using a radioimmunoassay (RIA) method [22]. Benzothiazole derivatives of thiazolidinones were synthesised and assayed for activity on Peroxisome proliferator-activated receptor (PPAR) subtypes and inhibitory activity of NO production in lipopolysaccharide-activated macrophages. Most of the compounds were identified as PPARγ agonist, indicating their potential as drug candidate for diabetes [23].
CONCLUSION
The diabetic hyperglycemia induced by alloxan produces an elevation of plasma levels of glucose, which is considered significant marker of renal dysfunction. The benzothiazole derivatives were synthesised by sequencing scheme and subsequently confirmed by different spectroscopy methods. The different physicochemical properties were characterised and then the synthesised derivatives were evaluated for their anti-diabetic activity in an alloxan-induced diabetic rat model. Amongst all these synthesised derivatives compound 7d demonstrated more potent anti-diabetic activity at 350 mg/kg p. o. and would be of better use in drug development to combat the metabolic disorder in future.
ACKNOWLEDGEMENT
We are thankful to Punjab University Chandigarh and CDRI Lucknow, India for sophisticated analytical instrument facility. We are also thankful to Head, Sapience Bioanalytical Laboratory Bhopal, India for performing the antidiabetic activity. The authors have declared no conflict of interest.
ABBREVIATION
Stretch: Stretching, Sym: Symmetric, Asym: Asymmetric.
CONFLICTS OF INTERESTS
All the authors have no conflicts of interests.
REFERENCES
How to cite this article