
1,2Department of Biochemistry, Bharathi Women’s College, Chennai, Tamil Nadu, India
Email: viji42research@yahoo.co.in
Received: 06 Aug 2016 Revised and Accepted: 05 0ct 2016
ABSTRACT
Objective: To investigate the neuroprotective effect of sesamol against rotenone-induced cell death in SH-SY5Y cells associated with Parkinsonism.
Methods: SH-SY5Y cells were maintained in Dulbecco’s modified Eagle’s medium. After differentiation, the cells were incubated with rotenone (20 μM) and sesamol at different concentrations (10-100 μM). Cell viability was determined by 3-(4,5-dimethylthiazol-2-yl)-2,5-diphenyl-tetrazolium bromide assay. The reactive oxygen species, mitochondrial membrane potential and nuclear morphology were determined by dichlorofluorescein diacetate, rhodamine 123 and 4’, 6-diamidino-2-phenylindole, respectively. Thiobarbituric acid reactive substances, activities of catalase, superoxide dismutase, and glutathione peroxidase and glutathione level were determined by standard assays.
Results: Sesamol significantly increased the cell viability and decreased the rotenone-induced cell death in SH-SY5Y cells. Sesamol antagonized rotenone-induced reactive oxygen species generation, loss of mitochondrial membrane potential and nuclear damage. Sesamol also decreased thiobarbituric acid reactive substances level, increased the activities of catalase, superoxide dismutase, glutathione peroxidase and increased the level of glutathione in rotenone-induced cells.
Conclusion: The results obtained strongly indicate the promising neuroprotective role of sesamol against rotenone-induced death in SH-SY5Y cells.
Keywords: Parkinson’s disease, SH-SY5Y cells, Rotenone, Sesamol, Neuroprotection
© 2016 The Authors. Published by Innovare Academic Sciences Pvt Ltd. This is an open access article under the CC BY license (http://creativecommons.org/licenses/by/4. 0/)
DOI: http://dx.doi.org/10.22159/ijpps.2016v8i12.14529
INTRODUCTION
Parkinson’s disease (PD) is an overwhelming neurodegenerative movement disorder in industrialized countries. Clinical features of PD include motor impairments involving resting tremor, bradykinesia, postural instability and rigidity [1]. Several toxicant-induced model systems have been developed to study Parkinson’s disease including rotenone (ROT), MPTP (1-methyl-4-phenyl-1,2,3,6-tetrahydro-pyridine), 6-hydroxydopamine (6-OHDA) and paraquat [2]. In the human population, the increased risk of PD is associated with exposure to organic pesticide such as ROT [3]. These findings have renewed interest in the link between exposure to pesticides and the development of Parkinson’s disease [4]. ROT is a hydrophobic natural pesticide that attributes the irreversible binding and inactivation of NADH-ubiquinone reductase (complex I) in the mitochondrial electron transport chain [5]. It has been demonstrated that ROT administration in rats develops biochemical, anatomical and behavioral symptoms of Parkinson’s disease [6, 7]. ROT model for PD is a highly reproducible model and provides an excellent tool to test novel neuroprotective strategies [8]. PD is currently treated with L-DOPA (L-dihydroxy phenylalanine). Long-term administration of L-DOPA has many side effects including abnormal involuntary movements, i.e., L-DOPA-induced dyskinesia [9]. Hence, we planned to study the natural ingredients present in plants to prevent PD. Oxidative stress is a hallmark feature in the progression of PD and therefore treatment with drugs that have powerful antioxidant properties can nullify the cellular damage. Fakhrudin, et al. [10] reported that natural free radical scavenger could provide antioxidant mechanisms to nullify the negative effects in cells. Sesamol (SES) (5-hydroxy-1,3-benzodioxole) fig.1, a phytonutrient of the class lignans is present in sesame [11]. Khadira Screen and Vijayalakshmi have reported SES as an efficient antioxidant [12] which protects the cells from free radical injury. SES is a traditionally used health supplement which exerts photo-protective [13], chemopreventive [14], hepatoprotective [15], anti-inflammatory [16], anti-aging [17] and anti-depressant [18] activities. SH-SY5Y cells exhibits neuronal marker enzymes like tyrosine hydroxylase, dopamine-beta-hydroxylase, dopamine transporters and neuroinflammation proteins [19]. Hence, SH-SY5Y has been reported as an ideal cellular model for Parkinson’s disease [20]. The rationale of the study is to investigate the neuroprotective role of SES in ROT-induced SH-SY5Y cells.
MATERIALS AND METHODS
Rotenone, sesamol, retinoic acid, 3-(4,5-dimethylthiazol-2-yl)-2,5-diphenyl-tetrazolium bromide (MTT), dichlorofluorescein diacetate (DCFH-DA), rhodamine 123, 4’,6-diamidino-2-phenylindole (DAPI), dimethyl sulphoxide (DMSO), Dulbecco’s modified Eagle’s medium (DMEM), fetal bovine serum (FBS) and other tissue culture reagents were purchased from Sigma-Aldrich (St. Louis, Missouri, USA).
Cell culture
The SH-SY5Y cells were obtained from the National Centre for Cell Science (NCCS), Pune, India. Cells were maintained in DMEM with 15% FBS, L-glutamine, 100U/ml penicillin/streptomycin in 95% humidified air and 5% CO2 incubator at 37 °C. For every two days, the media was changed and then 10 μM of retinoic acid was used for 7 d for differentiation before analysis. ROT and SES were freshly prepared in DMSO and saline respectively prior to each experiment. The final concentration of DMSO in the medium was always less than 0.1%, and it has shown no effects on cell viability. The effective dose of SES was used to identify the potential neuroprotective effect against ROT-induced cells.
Cell viability assay
The cell viability was done by MTT quantitative assay according to Van Meerlo et al. [21]. This sensitive assay is based on the conversion of MTT into formazon crystals by living cells, which determine the mitochondrial activity. From the amount of formazon produced, the number of viable cells was determined.
The differentiated SH-SY5Y cells were seeded in 96 well plates with density 1x105 cells/well and incubated for 24 h at 37 °C. Then cells were incubated with ROT (20 μM) followed by Song et al. [22] and the simultaneous treatment with SES at different concentrations (10-100 μM) was carried out and incubated. After 24 h, 10 μl of MTT was added to each well and incubated for 4 h at 37 °C. The absorbance was read at 570 nm. The percentage of cell viability was calculated by the formula:
![]()
Determination of intracellular reactive oxygen species (ROS)
The intracellular ROS generation induced by ROT in SH-SY5Y cells was determined using DCFH-DA according to the method described by Wang and Joseph [23]. DCFH-DA, a redox-sensitive dye gets enzymatically hydrolyzed by intracellular esterases to non-fluorescent DCFH. In the presence of ROS, DCFH rapidly gets oxidized to highly fluorescent 2',7'-dichlorofluorescein (DCF).
The SH-SY5Y cells were plated at a density of 1x105 cells/well. The cells were exposed to ROT (20 μM) with and without SES (50 μM) at 37 °C. After 24 h, the media was removed and phosphate-buffered saline (PBS), pH 7.2 was used to wash the cells. The cells were treated with 10 µM of DCFH-DA and incubated for 1 hr at 37 °C. The fluorescence was observed under a fluorescent microscope and measured at excitation and emission wavelength of 485 and 530 nm.
Changes in mitochondrial membrane potential
Mitochondrial dysfunction plays a key role in the initiation of cell death and the mitochondrial membrane potential is affected by the apoptotic factors. The recorded change in the mitochondrial membrane potential in SH-SY5Y cells was visualized using rhodamine 123 according to the method described by Baracca et al. [24]. SH-SY5Y cells were plated at a density of 1x105cells/well and exposed to ROT (20 μM) with and without SES (50 μM). The cells were washed with PBS after 24 h. Then the cells were incubated with 5μg/ml of rhodamine 123 at 37 °C for 30 min. The fluorescence was observed under a fluorescent microscope and measured at excitation and emission wavelength of 488 and 525 nm.
Nuclear morphology assessment
The alterations in the nuclear morphology of SH-SY5Y cells were observed by DAPI staining method of Morikawa and Yanagida [25]. The SH-SY5Y cells were plated at a density of 1x105 cells/well. The cells were exposed to ROT (20 μM) with and without SES (50 μM) and incubated at 37 °C. After 24 h, the media was removed, and PBS was used to wash the cells. The cells were treated with 1μg/ml DAPI fluorescence dye and incubated for 1 hr at 37 °C. The fluorescence was observed under a fluorescent microscope and measured at excitation and emission wavelength of 350 and 470 nm.
Thiobarbituric acid reactive substances (TBARS) assay
TBARS is a method for the quantification of lipid peroxidation by Ottolenghi [26]. 20% trichloroacetic acid and 0.67% 2-thiobarbituric acid were mixed with homogenate. The mixture was placed in a boiling water bath for 20 min. After cooling, the mixture was centrifuged at 3000 rpm for 20 min. The absorbance of the supernatant was measured at 530 nm. The lipid peroxide content was expressed as nmol/mg of protein.
Antioxidant activities-enzymatic antioxidants
Assay of catalase (CAT) (EC 1.11.1.6)
CAT activity was assayed in cell homogenate mixture containing 100 mmol disodium hydrogen phosphate (Na2HPO4) buffer and 30 mmol hydrogen peroxide (H2O2) by the method of Aebi [27]. The decrease in absorbance due to H2O2 depletion was monitored at 240 nm. The CAT activity was expressed as μ moles of H2O2 utilized/min/mg of protein.
Assay of superoxide dismutase (SOD) (EC 1.15.1.1)
SOD activity was assayed by the method based on the inhibition of the formation of nicotinamide adenine dinucleotide, phenazine methosulphate and nitro-blue tetrazolium (NADH-PMS-NBT) complex followed by Kakkar et al. [28]. The colour formed was measured at 560 nm. The SOD activity was expressed as the amount of enzyme required to inhibit 50 % NBT reduction in 1 min.
Assay of glutathione peroxidase (GPx) (E. C. No 1.11.1.9)
GPx activity was assayed in cell homogenate mixture containing 0.8 mmol EDTA (ethylenediaminetetraacetic acid), 10 mmol sodium azide, 2.5 mmol hydrogen peroxide and 0.32 mmol phosphate buffer according to the protocol of Rotruck et al. [29]. The absorbance was monitored at 420 nm. The GPx activity was expressed as µ moles of glutathione utilized/min/mg of protein.
Non-enzymatic antioxidant
Estimation of glutathione (GSH)
The GSH content was measured in cell homogenate mixture containing 10% trichloroacetic acid, 0.2 M phosphate buffer and 0.6 mmol 5, 5’-dithiobis-2-nitrobenzoic acid (DTNB) according to Moron et al. [30]. The absorbance was read at 412 nm. The amount of GSH was expressed as nmol/mg of protein.
Statistical analysis
The statistical analysis was performed using SPSS version 20 from IBM. The results were expressed as mean±SD. One-way analysis of variance was applied to the data and the significance of the results was derived by running post hoc test. The p<0.05 were considered statistically significant.
RESULTS AND DISCUSSION
In this study, we evaluated the neuroprotective effect of SES on ROT-induced SH-SY5Y cells. In the neurotoxic model 6-OHDA of PD, Khadira Sereen et al. reported SES as an anti-Parkinson compound [31]. Van Gilder and Huber reported that SES can treat neuropathic pain and restore the blood-brain barrier function [32].
Cell viability was examined by MTT assay. Inhibition of cellular respiration in SH-SY5Y cells by ROT results in the compensatory induction of glycolysis, loss of bioenergetics reserve capacity and activation of apoptotic cascade as reported by Giordano et al. [33]. Anusha et al. demonstrated that ROT-induced cell death [34] by apoptotic mechanism and this coincides with our result that the cell viability was decreased with ROT (20 µM) treatment. The maximum cell viability was found at 50 µM SES when co-treated with ROT and on a further increase of SES concentration at 100 µM, the viability was at steady state. Fig. 2 and 3 show the effect of SES on the viability of SH-SY5Y cells. SES shows no toxicity at these concentrations. SES (100 µM) alone treated cells show similar results as vehicle control. Our observation is consistent with Liu et al. that curcumin, a potent antioxidant has protected SH-SY5Y cells from ROT damage [35].
The excessive accumulation of ROS and inefficiency of the antioxidant enzymes results in DNA damage, lipid peroxidation, cellular dysfunction and apoptosis [36]. SH-SY5Y cells induced with ROT lead to ROS production as shown in the experiments with the fluorescent dye DCFH-DA (fig. 4). SH-SY5Y cells exposed to ROT show a significant increase in DCF fluorescence whereas there is decreased fluorescence in cells co-treated with ROT (20 µM) and SES (50 µM). Co-treatment with SES shows a significant loss in green fluorescence which suggests that ROS generation was inhibited. SES (100 µM) alone treated cells show similar results as vehicle control. The results indicate that SES against ROT could act as an antioxidant and free radical scavenger. Liu et al. reported that ROT treatment initiated ROS production, caspase 3 activation and lactic acid accumulation in PC12 cells [37]. Most of the existing reports suggest that the oxidative stress and mitochondrial dysfunction plays a critical role in the pathogenesis of neurodegeneration in PD [38].
Rhodamine 123 staining indicates the mitochondrial membrane potential in SH-SY5Y cells (fig. 5). Chinnaiyan et al. reported that the loss of mitochondrial membrane potential increases the mitochondrial permeability and results in the release of cytochrome c, which triggers the activation of caspase 9/3 and ultimate cell death [39]. Dhanalakshmi et al. reported that ROT had decreased the mitochondrial membrane potential in SH-SY5Y cells [40] which coincide with our result. Decreased fluorescent intensity represented a drop in the mitochondrial membrane potential when the cells were induced with ROT (20 µM). Due to the mitochondrial membrane potential loss in ROT exposed cells, the dye was released into the cytosol. The co-treatment with SES (50 µM) significantly inhibited the decrease in mitochondrial membrane potential triggered by ROT. SES (100 µM) alone treated cells show similar results as vehicle control.
DAPI staining indicates the nuclear morphology of SH-SY5Y cells (fig. 6). Kim et al. reported that on ROT induction, the nuclear damage was found to be high [41] which correlated with our study when ROT (20 µM) was induced in SH-SY5Y cells. Decreased nuclear damage was found during the co-treatment with SES (50 µM). SES (100 µM) alone treated cells show no alterations in nuclear morphology and are similar to vehicle control. Lin et al. reported that resveratrol, a polyphenolic stilbene prevented nuclear damage induced by ROT [42] and this correlates with our study.
Joshi et al. reported that SES can prevent lipid peroxidation, hydroxyl radical-induced deoxyribose degradation and DNA damage [43]. When cells were induced with ROT (20 µM), there was an increased level of TBARS indicating the increased production of free radical along with glutathione exhaustion (fig. 7). Co-treatment with SES (50 µM) decreased the TBARS level. SES (100 µM) alone treated cells show similar results as vehicle control. SES, a powerful antioxidant inhibits lipid peroxidation [44] as reported by Prasad et al.
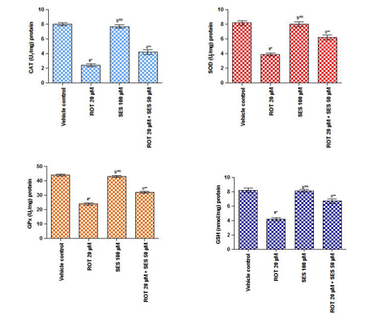
Fig. 8-11 shows the activities of CAT, SOD, GPx and the level of GSH in ROT-induced SH-SY5Y cells with and without SES. Chandra et al. reported that decrease in antioxidant enzyme activities is closely related to the induction of lipid peroxidation [45]. The ROT (20 µM) induced SH-SY5Y cells showed decreased activities of CAT, SOD, GPx and decreased the level of GSH due to the high ROS production whereas co-treatment with SES (50 µM) significantly increased their levels. The other possible mechanism such as the ability of SES to enhance the glutathione content could be involved in its protective effect on ROT-induced oxidative stress. SES (100 µM) alone treated cells show similar results as vehicle control. CAT plays an important role in protecting SH-SY5Y cells from ROS-related diseases including PD [46]. Zhou et al. suggest that administering antioxidants can block the ROT-induced ROS in primary neurons, PC12 cells and could provide a promising strategy for prevention and treatment of PD [47]. SOD, a potent enzyme involved in the detoxification of ROS and protects against oxidative stress and prevent neuronal cells from apoptosis [48]. GSH is a major endogenous antioxidant that counteracts free radical mediated injuries [49]. GSH retains the mitochondrial redox environment to repair oxidative modifications leading to mitochondrial dysfunction and cell death [50]. Isenberg and Klauing [51] observed that ROT exposure could cause the loss of intracellular glutathione by membrane leakage. Our results demonstrated that both the free radical generation and mitochondrial dysfunction were responsible for ROT-induced cell death in SH-SY5Y cells. Co-treatment with SES has enhanced the antioxidant status and suppressed the observed antagonistic events due to ROT.

Fig. 1: Shows the structure of sesamol (C7H6O3)

Fig. 2: Shows the result of cell viability assay: A-Vehicle control, B-Rotenone (ROT) 20 µM shows increased cell death as compared to vehicle control cells, C-Sesamol (SES) 100 µM, D-Rotenone (ROT) 20 µM+Sesamol (SES) 10 µM, E-Rotenone (ROT) 20 µM+Sesamol (SES) 25 µM, F-Rotenone (ROT) 20 µM+Sesamol (SES) 50 µM, G-Rotenone (ROT) 20 µM+Sesamol (SES) 100 µM. D,E,F,G-shows decreased cell death as compared to Rotenone (ROT) 20 µM induced cells. Magnification-40X

Fig. 3: Shows the percentage of cell viability. statistical significance: *P<0.001, **P<0.01 and ***P<0.05; NS-non-significant; n=3, a comparison between Vehicle control and Rotenone (ROT), b-comparison between Vehicle control and Sesamol (SES), c-comparison between rotenone (ROT) and rotenone (ROT)+Sesamol (SES)

Fig. 4: Shows the determination of intracellular reactive oxygen species (ROS): A-Vehicle control, B-Rotenone (ROT) 20 µM shows increased level of reactive oxygen species (ROS) as compared to vehicle control cells, C-Sesamol (SES) 100 µM, D-Rotenone (ROT) 20 µM+Sesamol (SES) 50 µM shows decreased level of reactive oxygen species (ROS) as compared to Rotenone (ROT) 20 µM induced cells. Magnification-40X

Fig. 5: Shows the changes in mitochondrial membrane potential: A-Vehicle control, B-Rotenone (ROT) 20 µM shows decreased mitochondrial membrane potential as compared to vehicle control cells, C-Sesamol (SES) 100 µM, D-Rotenone (ROT) 20 µM+Sesamol (SES) 50 µM shows increased mitochondrial membrane potential as compared to Rotenone (ROT) 20 µM induced cells. Magnification-40X

Fig. 6: Shows the nuclear morphology assessment: A-Vehicle control, B-Rotenone (ROT) 20 µM shows increased nuclear damage as compared to vehicle control cells, C-Sesamol (SES) 100 µM, D-rotenone (ROT) 20 µM+Sesamol (SES) 50 µM shows decreased nuclear damage as compared to rotenone (ROT) 20 µM induced cells. Magnification-40X

Fig.7: Shows the estimation of thiobarbituric acid reactive substances (TBARS). Statistical significance: *P<0.001 and **P<0.01; NS-non-significant; n=3, a comparison between Vehicle control and Rotenone (ROT), b-comparison between Vehicle control and Sesamol (SES), c-comparison between rotenone (ROT) and rotenone (ROT)+Sesamol (SES)

Fig. 8-11: Shows the effect of antioxidative indices (catalase, superoxide dismutase, glutathione peroxidase, glutathione). Statistical significance: *P<0.001 and **P<0.01; NS-non-significant; n=3, U1-μ moles of hydrogen peroxide utilized/minute/mg of protein, U2-Enzyme concentration required for 50% inhibition of nitroblue tetrazolium reduction in 1 minute, U3-μ moles of glutathione utilized/minute/mg of protein, a comparison between Vehicle control and Rotenone (ROT), b-comparison between Vehicle control and Sesamol (SES), c-comparison between Rotenone (ROT) and Rotenone (ROT)+Sesamol (SES)
CONCLUSION
In conclusion, our results show that SES (50 µM) with ROT (20 µM) co-treatment protects SH-SY5Y cells against ROT-induced cell death by ameliorating the ROS production, mitochondrial dysfunction and nuclear damage. SES as an antioxidant has a therapeutic effect to prevent cell death in SH-SY5Y cells. Further studies are being carried out with the animal model to evaluate the neuroprotective effect of SES.
ACKNOWLEDGEMENT
The authors thank the Department of Science and Technology (DST) for financial support in the form of DST-INSPIRE fellowship.
ABBREVIATION
PD, Parkinson’s disesase; ROT, Rotenone; MPTP, (1-methyl-4-phenyl-1,2,3,6-tetrahydropyridine; 6-OHDA, 6-hydroxydopamine; L-DOPA, (L-dihydroxy phenylalanine); SES, Sesamol; MTT, 3-(4,5-dimethylthiazol-2-yl)-2,5-diphenyl-tetrazolium bromide; DMSO, Dimethyl sulphoxide; DMEM, Dulbecco’s modified Eagle’s medium; FBS, Fetal bovine serum; NCCS, National Centre for Cell Science; ROS, Reactive oxygen species; DCFH-DA, dichlorofluorescein diacetate; PBS, Phosphate-buffered saline; DAPI, 4’,6-diamidino-2-phenylindole; TBARS, Thiobarbituric acid reactive substances, CAT, Catalase; SOD, Superoxide dismutase; NADH, Nicotinamide adenine dinucleotide; PMS, Phenazine methosulphate; NBT, Nitroblue tetrazolium; GPx, Glutathione peroxidase; EDTA, Ethylenediamine-tetraacetic acid; GSH, Glutathione; DTNB, 5, 5’-dithiobis-2-nitro-benzoic acid.
CONFLICTS OF INTERESTS
Declared none
REFERENCES
How to cite this article