
1Chemistry Department of Natural Compounds, National Research Centre, 12311 Dokki, Giza, Egypt, 2Pharmacognosy Department, National Research Centre, 12311 Dokki, Giza, Egypt
Email: erelsawynrc@gmail.com
Received: 23 Aug 2016 Revised and Accepted: 05 0ct 2016
ABSTRACT
Objective: The present work aimed to synthesize a new series of 1-methylsulphonyl-3-indolyl heterocycles and study their cytotoxic activity. In addition, we attempted to explore the mode of the interaction of anti-proliferative compounds with the active site of carbonic anhydrase IX (CA IX) theoretically via molecular docking study.
Methods: Novel series of pyrazole, pyrimidine and triazole derivatives bearing 1-methylsulphonyl-1H-indole were prepared via a series of hetero cyclization reactions utilizing 3-(1-methylsulphonyl-1H-indol-3-yl)-1-(substituted phenyl)-1H-pyrazole-4-carboxaldehydes 3a-d and 3-chloro-3-(1-methylsulphonyl-1H-indol-3-yl)propenal (6) and evaluating their anti-proliferative activity. The structures of the newly synthesized compounds were confirmed by elemental analyses, IR, NMR and mass spectral data. In addition, molecular docking study of the most promising antiproliferative compounds against the active site of carbonic anhydrase IX (PDB ID: 4BCW) theoretically is discussed.
Results: Compounds 5c, 7 and 12 revealed potent anti-proliferative effects against A-549 cancer cell line with IC50 of 44.3, 17.2 and 38.7 µmol/l, respectively compared to the reference drug doxorubicin (IC50 of 48.8 µmol/l). While compound 5c was found to be highly active with IC50 of 5.66 µmol/l against HCT-116 cancer cell line than doxorubicin (IC50 of 65.00 µmol/l).
Conclusion: Further work is recommended to confirm the inhibition of CA IX in a specific bioassay.
Keywords: 1-Methylsulphonyl-3-acetylindole, Heterocycle, Anti-proliferative, Vilsmeier Haack reaction, Molecular docking.
© 2016 The Authors. Published by Innovare Academic Sciences Pvt Ltd. This is an open access article under the CC BY license (http://creativecommons.org/licenses/by/4. 0/)
DOI: http://dx.doi.org/10.22159/ijpps.2016v8i12.14841
INTRODUCTION
Classical Vilsmeier–Haack reaction is an efficient method for the formylation of an electron rich aromatic and heterocycles compounds [1]. The reaction of compounds containing acetyl group [2] or its hydrazine [3] with Vilsmeier-Haack reagent is highly versatile and leads to imino alkylations then followed by cyclization to afford aromatic and/or heterocyclic compounds [4-7]. Furthermore, the reaction of compounds containing active methylene group with Vilsmeier-Haack reagent under heating gives the corresponding β-haloenecarboxaldehyde derivatives [8, 9], which are useful precursors in the construction of different heterocyclic systems [8-13]. On the other hand, indoles are one of the most important nitrogen-containing heterocyclic molecules, found extensively in a biological system which plays a vital role in biochemical processes [14]. Furthermore, indole ring constitutes an important template for drug design as they have the unique property of mimicking the structure of peptides and to bind reversibly to enzymes, which provide tremendous opportunities to discover novel drugs with different modes of action [15, 16]. Moreover, literature revealed that pyrazole, pyrimidine, and triazole are known for their pronounced pharmaceutical activities [17-21]. Human carbonic anhydrase IX (CA IX) is overexpressed in a number of solid tumors and is considered to be a marker for cellular hypoxia that it is not produced in most normal tissues [22]. CA IX contributes to the acidification of the extracellular matrix, which in turn, favors tumor growth and metastasis, therefore, CA IX is considered to be a promising anti-cancer drug target [23, 24]. Based on the above observations and in continuous of our work [25-29], the present work aimed to synthesize a new series of 1-methylsulphonyl-3-indolyl heterocycles via Vilsmeier Haack reaction of 1-methylsulphonyl-3-acetylindole and its hydrazone derivatives and then evaluating their anti-proliferative activity. In addition, we attempted to explore the mode of interaction of anti-proliferative compounds with the active site of carbonic anhydrase IX (PDB ID: 4BCW) theoretically via molecular docking study.
MATERIALS AND METHODS
Instruments and reagents
Melting points were determined on the digital melting point apparatus (Electrothermal 9100, Electrothermal Engineering Ltd, serial No. 8694, Rochford, United Kingdom) and are uncorrected. The microanalytical data were achieved on a Perkin-Elmer 2400 analyzer (Perkin-Elmer, 940 Winter Street, Waltham, Massachusetts 02451, USA) and were found within±0.4 % of the theoretical values. IR spectra were recorded on a Perkin-Elmer 1600 Fourier Transform Infrared Spectrophotometer using KBr discs (Perkin-Elmer, 940 Winter Street, Waltham, Massachusetts 02451, USA). The NMR spectra were measured with a Bruker Avance digital spectrometer (BRUKER BioSpin GMBH Silberstreifen D-76287 Rheinstetten, Germany) (500 MHz for 1H and 125 MHz for 13C) in DMSO-d6, and the chemical shifts were recorded in δ ppm relative to TMS as internal standard (all NH2 and NH, OH recorded for the compounds were D2O-exchangeable). Mass spectra (EI) were recorded at 70eV with JEOL-JMS-AX500 mass spectrometer (JEOL Ltd. 1-2, Musashino 3-chome Akishima, Tokyo 196-8558, Japan). All reagents and solvents were of commercial grade. 1-Methylsulphonyl-3-acetylindole was synthesized as reported [30].
Synthesis
1-(1-(1-Methanesulfony-1H-indol-3-yl) ethylidene)-2-(2-chloro-phenyl) hydrazine (2b)
A mixture of 1-methylsulphonyl-3-acetylindole (1) (1g, 4.2 mmol), 3-chloro-phenylhydrazine hydrochloride (0.7 g, 4.2 mmol) and crystalline sodium acetate (0.34 g, 4.2 mmol) was heated under reflux in absolute ethanol (20 ml) for 2 h. After cooling, the reaction mixture was poured onto water (50 ml) and the solid that formed was filtered off, washed with water, air dried and crystallized from absolute ethanol. Yield, 82%; MP: 145-7 °C; IR (KBr, νmax, cm-1) 3180 (NH), 1620 (C=N), 1575 (C=C), 1375, 1117 (SO2), 750 (Cl). 1H NMR (500 MHz, DMSO-d6): δ 2.35 (s, 3H, CH3), 3.65 (s, 3H, CH3), 7.46-6.79 (m, 7H, Ar-H), 7.91 (s, 1H, Ph), 8.54 (s, 1H, H-2 indole), 9.52 ppm (s, 1H, NH); [13]C NMR (125MHz, DMSO-d6): δ 14.2 (CH3), 40.8 (CH3), 111.1-147.4 ppm (Ar-C); Anal. C17H16ClN3O2S (361.85): Calcd: C, 56.43; H, 4.46; N, 11.61; Found: C, 56.66; H, 4.42; N, 11.40.
Synthesis of 1H-pyrazole-4-carboxaldehydes 3a-d
To a solution of compound 2a, 2b, 2c or 2d (3 mmol) in N, N-dimethylformamide (15 ml), phosphorus oxychloride (1.17 ml, 10 mmol) was added drop-wise at 0 °C while stirring. After complete addition of POCl3, the reaction mixture was left to stir for 15h at room temperature and then poured onto ice-water (20 ml). The solid that formed was filtered off, air dried and crystallized from absolute ethanol.
3-(1-Methylsulphonyl-1H-indol-3-yl)-1-phenyl-1H-pyrazole-4-carboxaldehyde (3a)
Yield, 62%; MP: 150-2 °C; IR (KBr, νmax, cm-1) 1715 (C=O), 1618 (C=N), 1574 (C=C), 1375, 1117 (SO2); 1H NMR (500 MHz, DMSO-d6): δ 3.41(s, 3H, CH3), 7.01-7.89 (m, 9H, Ar-H), 8.01 (s, 1H, H-5 pyrazole), 8.32 (s, 1H, H-2 indole), 9.91 ppm (s, 1H, CHO); [13]C NMR (125MHz, DMSO-d6): δ 41.5 (CH3), 112.9-134.4 (Ar-C), 193.8 ppm (C=O); Anal. C19H15N3O3S (365.41): Calcd: C, 62.45; H, 4.14; N, 11.50; Found: C, 62.55; H, 4.32; N, 11.62.
3-(1-Methylsulphonyl-1H-indol-3-yl)-1-(2-chlorophenyl)-1H-pyrazole-4-carboxaldehyde (3b)
Yield, 68%; MP: 151-3 °C; IR (KBr, νmax, cm-1) 1702 (C=O), 1618 (C=N), 1588 (C=C), 1375, 1117 (SO2), 750 (Cl); 1H NMR (500 MHz, DMSO-d6): δ 3.36 (s, 3H, CH3), 6.80-7.46 (m, 8H, Ar-H), 7.90 (s, 1H, H-5 pyrazole), 8.52 (s, 1H, H-2 indole), 9.51 ppm (s, 1H, CHO); [13]C NMR (125MHz, DMSO-d6): δ 41.5 (CH3), 111.1-147.4 (Ar-C), 191.8 ppm (C=O); m/z [M+/M++2, 399/401, 55/18%]; Anal. C19H14ClN3O3S (399.85): Calcd: C, 57.07; H, 3.53; N, 10.51; Found: C, 57.22; H, 3.22; N, 10.75.
3-(1-Methylsulphonyl-1H-indol-3-yl)-1-(2, 4-dinitrophenyl)-1H-pyrazole-4-carboxaldehyde (3c)
Yield, 73%; MP: 263-5 °C; IR (KBr, νmax, cm-1) 1720 (C=O), 1602 (C=N), 1577 (C=C), 1375, 1117 (SO2); 1H NMR (500 MHz, DMSO-d6): δ 3.56 (s, 3H, CH3), 7.21-8.51 (m, 8H, Ar-H), 8.88 (s, 1H, H-5 pyrazole), 11.88 ppm (s, 1H, CHO); [13]C NMR (125MHz, DMSO-d6): δ 41.2 (CH3), 111.9-144.1 (Ar-C), 153.0 ppm (C=O); m/z [M+455, 24%]; Anal. C19H13N5O7S (455.40): Calcd: C, 50.11; H, 2.88; N, 15.38; Found: C, 50.22; H, 3.00; N, 15.11.
3-(1-Methylsulphonyl-1H-indol-3-yl)-1-(2, 4, 6-trichlorophenyl) -1H-pyrazole-4-carboxaldehyde (3d)
Yield, 65%; MP: 70-2 °C; IR (KBr, νmax, cm-1) 1700 (C=O), 1620 (C=N), 1573 (C=C), 1375, 1117 (SO2), 755 (Cl); 1H NMR (500 MHz, DMSO-d6): δ 2.90 (s, 3H, CH3), 7.43-8.37 (m, 7H, Ar-H), 8.60 (s, 1H, H-5 pyrazole), 12.35 ppm (s, 1H, CHO); [13]C NMR (125MHz, DMSO-d6): δ 41.5 (CH3), 100.9-143.2 (Ar-C), 193.7 ppm (C=O); Anal. C19H12Cl3N3O3S (468.74): Calcd: C, 48.68; H, 2.58; N, 8.96; Found: C, 48.42; H, 2.31; N, 9.01.
Synthesis of oximes 4a-d
A mixture of compound 3a, 3b, 3c or 3d (2 mmol), hydroxylamine hydrochloride (0.14 g, 2 mmol) and crystalline sodium acetate (0.16 g, 2 mmol) in absolute ethanol (20 ml) was refluxed for 3-5h. After cooling, the reaction mixture was poured onto water (20 ml) and the solid that formed was filtered off, air dried and crystallized from absolute ethanol.
3-(1-Methylsulphonyl-1H-indol-3-yl)-1-phenyl-1H-pyrazole-4-oxime (4a)
Yield, 81 %; MP: 138-140 °C; IR (KBr, νmax, cm-1) 3400 (OH), 1620 (C=N), 1573 (C=C), 1375, 1117 (SO2); 1H NMR (500 MHz, DMSO-d6) δ 3.65 (s, 3H, CH3), 7.41-7.91 (m, 9H, Ar-H), 7.99 (s, 1H, H-5 pyrazole), 8.29 (s, 1H, H-2 indole), 8.54 (s, 1H, CH=N), 11.18 ppm (s, 1H, OH); [13]C NMR (125MHz, DMSO-d6): δ 41.5 (CH3), 112.7-149.8 ppm (Ar-C); m/z [M+380, 35%]; Anal. C19H16N4O3S (380.42): Calcd: C, 59.99; H, 4.24; N, 14.73; Found: C, 60.11; H, 4.44; N, 14.82.
3-(1-Methylsulphonyl-1H-indol-3-yl)-1-(2-chlorophenyl)-1H-pyrazole-4-oxime (4b)
Yield, 78%; MP: 142-4 °C; IR (KBr, νmax, cm-1) 3410 (OH), 1620 (C=N), 1575 (C=C), 1375, 1117 (SO2), 750 (Cl); 1H NMR (500 MHz, DMSO-d6): δ 3.49 (s, 3H, CH3), 7.20-7.46 (m, 7H, Ar-H), 7.89 (s, 1H, CH=N), 8.52 (s, 1H, H-2 indole), 9.53 (s, 1H, H-5 pyrazole), 11.36 ppm (s, 1H, OH); [13]C NMR (125MHz, DMSO-d6): δ 41.5 (CH3), 111.7-143.8 ppm (Ar-C); m/z [M+/M++2; 414/416, 21/7%]; Anal. C19H15ClN4O3S (414.87): Calcd: C, 55.01; H, 3.64; N, 13.50; Found: C, 55.21; H, 3.77; N, 13.64.
3-(1-Methylsulphonyl-1H-indol-3-yl)-1-(2, 4-dinitrophenyl)-1H-pyrazole-4-oxime (4c)
Yield, 89 %; MP: 323-5 °C; IR (KBr, νmax, cm-1) 3405 (OH), 1619 (C=N), 1588 (C=C), 1375, 1117 (SO2); 1H NMR (500 MHz, DMSO-d6): δ 3.37 (s, 3H, CH3), 7.20-7.46 (m, 7H, Ar-H), 8.02 (s, 1H, CH=N), 8.36 (s, 1H, H-2 indole), 8.83 (s, 1H, H-5 pyrazole), 11.23 ppm (s, 1H, OH); [13]C NMR (125MHz, DMSO-d6): δ 45.5 (CH3), 111.8-153.3 ppm (Ar-C); m/z [M+470, 25%]; Anal. C19H14N6O7S (470.42): Calcd: C, 48.51; H, 3.00; N, 17.87; Found: C, 48.44; H, 2.88; N, 17.54.
3-(1-Methylsulphonyl-1H-indol-3-yl)-1-(2, 4, 6-trichlorophenyl) -1H-pyrazole-4-oxime (4d)
Yield, 85%; MP: 52-4 °C; IR (KBr, νmax, cm-1) 3410 (OH), 1619 (C=N), 1588 (C=C), 1375, 1117 (SO2), 755 (Cl); 1H NMR (500 MHz, DMSO-d6): δ 3.65 (s, 3H, CH3), 7.41-7.49 (m, 6H, Ar-H), 8.01 (s, 1H, CH=N), 8.26 (s, 1H, H-2 indole), 8.83 (s, 1H, H-5 pyrazole), 12.23 ppm (s, 1H, OH); [13]C NMR (125MHz, DMSO-d6): δ 41.5 (CH3), 111.8-153.3 ppm (Ar-C); Anal. C19H13Cl3N4O3S (483.76): Calcd: C, 47.17; H, 2.71; N, 11.58; Found: C, 47.32; H, 2.55; N, 11.42.
Synthesis of 1H-pyrazole-4-carbonitriles 5a-d
A solution of compound 4a, 4b, 4c or 4d (2 mmol) in acetic anhydride (15 ml) was heated gently for 2 h. After cooling, the reaction mixture was poured onto ice-water and the solid that formed was filtered off, washed with water, air dried and crystallized from absolute ethanol.
3-(1-Methylsulphonyl-1H-indol-3-yl)-1-phenyl-1H-pyrazole-4-carbonitrile (5a)
Yield, 90%; MP: 210-212 °C; IR (KBr, νmax, cm-1) 2197 (CN), 1618 (C=N), 1575 (C=C), 1385, 1175 (SO2-N); 1H NMR (500 MHz, DMSO-d6): δ 2.94 (s, 3H, CH3), 6.99-7.68 (m, 9H, Ar-H), 8.23 (s, 1H, H-2 indole), 8.71 ppm (s, 1H, H-5 pyrazole); m/z [M+362, 23%]; Anal. C19H14N4O2S (362.41): Calcd: C, 62.97; H, 3.89; N, 15.46; Found: C, 62.88; H, 4.00; N, 15.66.
3-(1-Methylsulphonyl-1H-indol-3-yl)-1-(2-chlorophenyl)-1H-pyrazole-4-carbonitrile (5b)
Yield, 88%; MP: 235 dec °C; IR (KBr, νmax, cm-1) 2195 (CN), 1618 (C=N), 1602 (C=C), 1365, 1135 (SO2-N), 752 (C-Cl); 1H NMR (500 MHz, DMSO-d6): δ 3.26 (s, 3H, CH3), 7.16-7.78 (m, 8H, Ar-H), 8.23 (s, 1H, H-2 indole), 8.65 ppm (s, 1H, H-5 pyrazole); Anal. C19H13ClN4O2S (396.85): Calcd: C, 57.50; H, 3.30; N, 14.12; Found: C, 57.66; H, 3.22; N, 14.01.
3-(1-Methylsulphonyl-1H-indol-3-yl)-1-(2,4-dinitrophenyl)-1H-pyrazole-4-carbonitrile (5c)
Yield, 81%; MP: 270 dec °C; IR (KBr, νmax, cm-1) 2205 (CN), 1620 (C=N), 1533 (C=C), 1365, 1142 (SO2-N); 1H NMR (500 MHz, DMSO-d6):δ 3.31 (s, 3H, CH3), 7.27-7.82 (m, 7H, Ar-H), 8.45 (s, 1H, H-2 indole), 8.81 ppm (s, 1H, H-5 pyrazole); m/z [M+/M++2; 452/454, 27/9%]; Anal. C19H12N6O6S (452.40): Calcd: C, 50.44; H, 2.67; N, 18.58; Found: C, 50.24; H, 2.77; N, 18.42.
3-(1-Methylsulphonyl-1H-indol-3-yl)-1-(2, 4, 6-trichlorophenyl) -1H-pyrazole-4-carbonitrile (5d)
Yield, 79%; MP: 110-2 °C; IR (KBr, νmax, cm-1) 2197 (CN), 1617 (C=N), 1585 (C=C), 1376, 1138 (SO2-N), 757 (C-Cl); 1H NMR (500 MHz, DMSO-d6): δ 3.11 (s, 3H, CH3), 7.01-7.63 (m, 6H, Ar-H), 7.99 (s, 1H, H-5 pyrazole), 8.23 ppm (s, 1H, H-2 indole); Anal. C19H11Cl3N4O2S (465.74): Calcd: C, 49.00; H, 2.38; N, 12.03; Found: C, 49.22; H, 2.55; N, 11.89.
3-Chloro-3-(1-methylsulphonyl-1H-indol-3-yl) propenal (6)
To a solution of compound 1 (1 g, 4.2 mmol) in N, N-dimethyl formamide (15 ml), phosphorus oxychloride (1.17 ml, 12 mmol) was added drop-wise at 0 °C while stirring. After complete addition of POCl3, the reaction mixture was warmed to room temperature and then heated at 60 °C for 3h. After cooling, the reaction mixture was poured onto crushed ice and then neutralized with 10% aqueous sodium hydroxide solution. The precipitate that formed was filtered off, washed with water, air dried and crystallized methanol. Yield, 60%; MP: 110-2 °C; IR (KBr, νmax, cm-1) 1720 (C=O), 1600 (C=C), 1375, 1117 (SO2), 748 (Cl); 1H NMR (500 MHz, DMSO-d6): ʋ 3.65 (s, 3H, CH3), 7.41-7.49 (m, 4H, Ar-H), 7.91 (s, 1H, CH=C), 8.29 (s, 1H, H-2 indole), 8.53 ppm (s, 1H, CHO); [13]C NMR (125MHz, DMSO-d6): δ 27.7 (CH3), 112.9-134.4 (Ar-C), 193.85 ppm (C=O); m/z [M+283, 26%]; Anal. C12H10ClNO3S (283.73): Calcd: C, 50.80; H, 3.55; N, 4.94; Found: C, 50.64; H, 3.33; N, 5.01.
5-(1-Methylsulphonyl-1H-indol-3-yl)-1H-pyrazole (7)
A mixture of compound 6 (0.57 g, 2 mmol) and hydrazine hydrate 99% (0.1 g, 2 mmol) in absolute ethanol (15 ml) containing few drops of glacial acetic acid was refluxed for 3 h. After cooling, the reaction mixture was poured onto water (20 ml) and the solid that formed was filtered off, air dried and crystallized from methanol. Yield, 67%; MP: 233-5 °C; IR (KBr, νmax, cm-1) 3180 (NH), 1620 (NH), 1578 (C=C), 1375, 1117 (SO2); 1H NMR (500 MHz, DMSO-d6): δ 2.54 (s, 1H, NH), 3.64 (s, 3H, CH3), 7.46-7.50 (m, 4H, Ar-H), 7.94 (d, 1H, H-4 pyrazole), 8.29 (s, 1H, H-2 indole), 8.58 ppm (d, 1H, H-5 pyrazole); [13]C NMR (125MHz, DMSO-d6): δ 41.16 (CH3), 112.8-157.0 ppm (Ar-C); Anal. C12H11N3O2S (261.30): Calcd: C, 55.16; H, 4.24; N, 16.08; Found: C, 55.23; H, 4.44; N, 16.22.
1-(5-(1-Methylsulphonyl-1H-indol-3-yl)-1H-pyrazol-1-yl) ethanone (8)
To a solution of compound 6 (0.57 g, 2 mmol) in a mixture of (10 ml) acetic anhydride and glacial acetic acid (2:1), was added hydrazine hydrate 99% (0.1 ml, 2 mmol). The reaction mixture was refluxed for 4 h. After cooling, the reaction mixture was poured onto ice-water (50 ml), and the solid that formed was filtered off, air dried and crystallized from aqueous ethanol. Yield, 61%; MP: 75-7 °C; IR (KBr, νmax, cm-1) 1688 (C=O), 1612 (C=N), 1554 (C=C), 1375, 1117 (SO2); 1H NMR (500 MHz, DMSO-d6): δ 1.84 (s, 3H, CH3), 3.64 (s, 3H, CH3), 7.52-7.97 (m, 4H, Ar-H), 8.21 (d, 1H, H-4 pyrazole), 8.38 (d, 1H, H-5 pyrazole), 8.49 ppm (s, 1H, H-2 indole); [13]C NMR (125MHz, DMSO-d6): δ 20.3, 41.16 (2CH3), 112.8-157.0 (Ar-C), 168.0 ppm (C=O); m/z [M+303, 42%]; Anal. C14H13N3O3S (303.34): Calcd: C, 55.43; H, 4.32; N, 13.85; Found: C, 55.22; H, 4.11; N, 15.00.
5-(1-Methylsulphonyl-1H-indol-3-yl)-1-phenyl-1H-pyrazole (9)
A mixture of compound 6 (0.57 g, 2 mmol) and phenylhydrazine (0.22 g, 2 mmol) in absolute ethanol (15 ml) containing few drops of glacial acetic acid was refluxed for 3 h. After cooling, the reaction mixture was poured onto water (20 ml) and the solid that formed was filtered off, air dried and crystallized from methanol. Yield, 35%; MP: 65-7 °C; IR (KBr, νmax, cm-1) 1618 (C=N), 1563 (C=C), 1376, 1135 (SO2-N); 1H NMR (500 MHz, DMSO-d6): δ 2.85 (s, 1H, CH3), 7.06-7.72 (m, 10H, Ar-H, H-3 pyrazole), 6.56 (s, 1H, H-4 pyrazole), 8.32 ppm (s, 1H, H-2 indole); Anal. C18H15N3O2S (337.40): Calcd: C, 64.08; H, 4.48; N, 12.45; Found: C, 64.22; H, 5.00; N, 12.66.
5-(1-Methylsulphonyl-1H-indol-3-yl)-1-benzyl-1H-pyrazole (10)
A mixture of compound 6 (0.57 g, 2 mmol), benzylhydrazine dihydrochloride (0.39 g, 2 mmol) and sodium acetate (0.3 g, 4 mmol) in absolute ethanol (15 ml) was refluxed for 3 h. After cooling, the reaction mixture was poured onto water (20 ml) and the solid that formed was filtered off, air dried and crystallized from absolute ethanol. Yield, 46%; MP: 237 dec. °C; IR (KBr, νmax, cm-1) 1620 (C=N), 1601 (C=C), 1381, 1142 (SO2-N); 1H NMR (500 MHz, DMSO-d6): δ 3.25 (s, 1H, CH3), 5.56 (s, 2H, CH2-N) 7.19-7.76 (m, 10H, Ar-H, H-3 pyrazole), 6.63 (d, 1H, H-4 pyrazole), 8.25 ppm (s, 1H, H-2 indole); m/z [M+351, 40%]; Anal. C19H17N3O2S (351.42): Calcd: C, 64.94; H, 4.88; N, 11.96; Found: C, 65.00; H, 5.00; N, 12.00.
6-(1-Methylsulphonyl-1H-indol-3-yl) pyrimidin-2(1H)-thione (11)
A mixture of compound 6 (0.57 g, 2 mmol) and thiourea (0.15 g, 2 mmol) in absolute ethanol (15 ml) containing glacial acetic acid (0.5 ml) was refluxed for 2 h. After cooling, the reaction mixture was poured onto ice-water (50 ml) and the solid that formed was filtered off, air dried and crystallized from absolute ethanol. Yield, 36%; MP: 124-6 °C; IR (KBr, νmax, cm-1) 3210 (NH), 1618 (C=N), 1577 (C=C), 1240 (C=S), 1375, 1117 (SO2); 1H NMR (500 MHz, DMSO-d6): δ 3.64 (s, 3H, CH3), 7.44-7.49 (m, 4H, Ar-H), 7.91 (d, 1H, CH pyrimidine), 8.29 (d, 1H, CH pyrimidine), 8.53 (s, 1H, H-2 indole), 11.58 ppm (s, 1H, NH); [13]C NMR (125MHz, DMSO-d6): δ 41.5 (CH3), 112.9-143.4 (Ar-C), 193.8 ppm (C=S); m/z [M+305, 35%]; Anal. C13H11N3O2S2 (305.38): Calcd: C, 51.13; H, 3.63; N, 13.76; Found: C, 51.22; H, 3.77; N, 13.55.
6-(1-Methylsulphonyl-1H-indol-3-yl) pyrimidin-2(1H)-one (12)
A mixture of compound 6 (0.57 g, 2 mmol) and urea (0.12 g, 2 mmol) in absolute ethanol (15 ml) containing glacial acetic acid (0.5 ml) was refluxed for 2 h. After cooling, the reaction mixture was poured onto ice-water (50 ml) and the solid that formed was filtered off, air dried and crystallized from absolute ethanol. Yield, 32%; MP: 84-6 °C; IR (KBr, νmax, cm-1) 3218 (NH), 1654 (C=O), 1618 (C=N), 1574 (C=C), 1375, 1117 (SO2); 1H NMR (500 MHz, DMSO-d6): δ 3.64 (s, 3H, CH3), 7.41-7.49 (m, 4H, Ar-H), 7.92 (d, 1H, CH pyrimidine), 8.29 (d, 1H, CH pyrimidine), 8.53 (s, 1H, H-2 indole), 9.58 ppm (s, 1H, NH); [13]C NMR (125MHz, DMSO-d6): δ 41.5 (CH3), 111.9-156.4 (Ar-C), 175.8 ppm (C=O); m/z [M+289, 22%]; Anal. C13H11N3O3S (289.31): Calcd: C, 53.97; H, 3.83; N, 14.52; Found: C, 53.72; H, 4.01; N, 14.33.
4-(1-Methylsulphonyl-1H-indol-3-yl) pyrimidin-2-amine (13)
A mixture of compound 6 (2.83 g, 10 mmol), guanidine hydrochloride (, 10 mmol) and crystalline sodium acetate (0.82 g, 10 mmol) in absolute ethanol (15 ml) was refluxed for 2-3 h. The solid that formed on hot was filtered off, air dried and crystallized from absolute ethanol. Yield, 30%; MP: 143-5 °C; IR (KBr, νmax, cm-1) 3260, 2168 (NH2), 1620 (C=N), 1581 (C=C), 1375, 1117 (SO2); 1H NMR (500 MHz, DMSO-d6): δ 2.58 (s, 3H, CH3), 7.42-7.48 (m, 4H, Ar-H), 7.90 (d, 1H, CH pyrimidine), 8.29 (d, 1H, CH pyrimidine), 8.53 (s, 1H, H-2 indole), 11.65 ppm (s, 2H, NH2); [13]C NMR (125MHz, DMSO-d6): δ 41.5 (CH3), 111.1-147.4 ppm (Ar-C); m/z [M+288, 16%]; Anal. C13H12N4O2S (288.32): Calcd: C, 54.15; H, 4.20; N, 19.43; Found: C, 54.23; H, 4.00; N, 19.22.
Synthesis of benzamides 14a, b
A mixture of compound 13 (0.57 g, 2 mmol) and benzoyl chloride or 4-chlorobenzoyl chloride (2 mmol) in dry dioxane containing triethylamine (1 ml) was refluxed for 3 h. After cooling, the reaction mixture was poured onto water (30 ml) and the solid that formed was filtered off, air dried and crystallized from absolute ethanol.
N-(4-(1-Methylsulphonyl-1H-indol-3-yl)pyrimidin-2-yl)benzamide (14a)
Yield, 25%; MP: 99-101 °C; IR (KBr, νmax, cm-1) 3200 (NH), 1664 (C=O), 1601 (C=N), 1588 (C=C), 1375, 1117 (SO2); 1H NMR (500 MHz, DMSO-d6): δ 3.35 (s, 2H, CH3), 7.58-7.72 (m, 9H, Ar-H, CH pyrimidine), 7.90 (d, 1H, CH pyrimidine), 8.00 (s, 1H, H-2 indole), 11.99 ppm (s, 1H, NH); [13]C NMR (125MHz, DMSO-d6): δ 40.0 (CH3), 127.7-148.9 (Ar-C), 166.7 ppm (C=O); Anal. C20H16N4O3S (392.43): Calcd: C, 61.21; H, 4.11; N, 14.28; Found: C, 61.00; H, 4.21; N, 14.35.
N-(4-(1-Methylsulphonyl-1H-indol-3-yl)pyrimidin-2-yl)-4-chlorobenzamide (14b)
Yield, 22%; MP: 133-135 °C; IR (KBr, νmax, cm-1) 3265 (NH), 1685 (C=O), 1616 (C=N), 1565 (C=C), 1365, 1124 (SO2-N), 752 (C-Cl); 1H NMR (500 MHz, DMSO-d6): δ 3.14 (s, 3H, CH3), 7.15-7.78 (m, 8H, Ar-H, CH pyrimidine), 7.95 (d, 1H, CH pyrimidine), 8.16 (s, 1H, H-2 indole), 9.27 ppm (s, 1H, NH); m/z [M+/M++2; 426/428, 42/14%]; Anal. C20H15ClN4O3S (426.88): Calcd: C, 56.27; H, 3.54; N, 13.12; Found: C, 56.44; H, 5.32; N, 13.01.
Synthesis of sulphonamides 15a, b
A mixture of compound 13 (0.57 g, 2 mmol) and benzene sulphonyl chloride or 4-bromobenzenesulphonyl chloride (2 mmol) in dry dioxane containing triethylamine (1 ml) was refluxed for 3 h. After cooling, the reaction mixture was poured onto water (30 ml) and the solid that formed was filtered off, air dried and crystallized from absolute ethanol.
N-(4-(1-Methylsulphonyl-1H-indol-3-yl) pyrimidin-2-yl)-2-benzenesulphonamide (15a)
Yield, 32%; MP: 168-171 °C; IR (KBr, νmax, cm-1) 3165 (NH), 1672 (C=O), 1618 (C=N), 1575 (C=C), 1385, 1133 (SO2-N); 1H NMR (500 MHz, DMSO-d6): δ 2.95 (s, 3H, CH3), 7.06-7.77 (m, 10H, Ar-H, CH pyrimidine), 7.86 (d, 1H, CH pyrimidine), 8.20 (s, 1H, H-2 indole), 8.85 ppm (s, 1H, NH); m/z [M+428, 12%]; Anal. C19H16N4O4S2 (428.48): Calcd: C, 53.26; H, 3.76; N, 13.08; Found: C, 53.44; H, 3.66; N, 12.98.
N-(4-(1-Methylsulphonyl-1H-indol-3-yl) pyrimidin-2-yl)-2-(4-bromobenzene) sulphonamide (15b)
Yield, 26%; MP: 98-100 °C; IR (KBr, νmax, cm-1) 3224 (NH), 1692 (C=O), 1618 (C=N), 1553 (C=C), 1361, 1142 (SO2-N), 755 (C-Br); 1H NMR (500 MHz, DMSO-d6): δ 3.31 (s, 3H, CH3), 7.21-7.83 (m, 9H, Ar-H, CH pyrimidine), 7.90 (d, 1H, CH pyrimidine), 8.32 (s, 1H, H-2 indole), 9.62 ppm (s, 1H, NH); m/z [M+/M++2; 507/509, 21/21%]; Anal. C19H15BrN4O4S2 (507.38): Calcd: C, 44.98; H, 2.98; N, 11.04; Found: C, 45.01; H, 3.01; N, 10.99.
N-4-(1-Methylsulphonyl-1H-indol-3-yl) pyrimidin-2-yl) acetamide (16)
A solution of compound 13 (0.57 g, 2 mmol) in a mixture of acetic anhydride and glacial acetic acid (2:1, 10 ml) was heated under reflux for 10 h. After cooling, the reaction mixture was poured onto ice-water (50 ml), and the solid that formed was filtered off, air dried and crystallized from aqueous ethanol. Yield, 31%; MP: 226-8 °C; IR (KBr, νmax, cm-1) 3206 (NH), 1677 (C=O), 1617 (C=N), 1601 (C=C), 1375, 1127 (SO2-N); 1H NMR (500 MHz, DMSO-d6): δ 2.01 (s, 3H, CH3), 3.37 (s, 3H, CH3), 7.35-7.54 (m, 4H, Ar-H), 7.61, 7.92 (2d, 2H, 2CH pyrimidine), 8.21 (s, 1H, H-2 indole), 8.75 ppm (s, 1H, NH); m/z [M+330, 34%]; Anal. C15H14N4O3S (330.36): Calcd: C, 54.53; H, 4.27; N, 16.96; Found: C, 54.32; H, 4.09; N, 17.01.
4-(1-Methylsulphonyl-1H-indol-3-yl)-2-azidopyrimidine (17)
To a cooled solution of compound 13 (5.76 g, 20 mmol) in concentrated sulfuric acid (5 ml) and ice (15 g), cooled solution of sodium nitrite (1.73 g, 25 mmol) in ice-water (10 ml) was added dropwise while stirring at 0-5 °C and keeping at this temperature for 10 min. To this solution of diazonium salt, sodium azide (1.3 g, 20 mmol) in ice-water (5 ml) was added drop-wise while stirring. The solution was left at room temperature for 15 min then the azide was extracted by diethyl ether. Ether was evaporated in vacuo and azide was used without subsequent cleaning. 2-Azidopyrimidine derivative (17) was identified by chromatography-mass spectrometry since it decomposed slowly during the preparation of the analyzed sample. Also, it used in the reaction immediately after its formation because of its instability: Yield, 22%; MP: 98-100 °C; m/z [M+314, 52%].
5-Methyl-1-(4-(1-methylsulphonyl-1H-indol-3-yl) pyrimidin-2-yl)-1H-1,2,3-triazole-4-carboxylic acid (18)
To a solution of sodium (0.23 g, 10 mmol) in absolute methanol (20 ml) was added ethyl acetoacetate (1.34 g, 10 mmol) and compound 17 (3.14 g, 10 mmol) dropwise while stirring and cooling in an ice-bath. The reaction mixture was kept in ice water bath for 30 min and then gradually heated under reflux for 1 h. After cooling, the reaction mixture was neutralized using diluted hydrochloric acid (1:1). The solid that formed was filtered off, washed with water, air-dried and crystallized from methanol. Yield, 24%; MP: 120-2 °C; IR (KBr, νmax, cm-1) 3445 (OH), 1668 (C=O), 1620 (C=N), 1569 (C=C), 1365, 1135 (SO2-N); 1H NMR (500 MHz, DMSO-d6): δ 1.61 (s, 3H, CH3), 3.27 (s, 3H, CH3), 7.26-7.46 (m, 4H, Ar-H), 7.62, 8.18 (2d, 2H, 2CH pyrimidine), 8.42 (s, 1H, H-2 indole), 11.50 ppm (s, 1H, OH); m/z [M+398, 25%]; Anal. C17H14N6O4S (398.40): Calcd: C, 51.25; H, 3.54; N, 21.09; Found: C, 51.44; H, 3.42; N, 21.22.
3-(4-(1-Methylsulphonyl-1H-indol-3-yl) pyrimidin-2-yl)-1H-1,2,3-triazol-4-amine (19)
To a solution of sodium (0.23 g, 10 mmol) in absolute methanol (20 ml), acetonitrile (0.41 g, 10 mmol) was added. To this solution, compound 17 (3.14 g, 10 mmol) in dry methanol (5 ml) was added dropwise and left to stir for 24 h. The resulting precipitate was filtered off, washed with water, air-dried and crystallized from methanol. Yield, 21%; MP: 237-5 °C; IR (KBr, νmax, cm-1) 3365 (NH2), 1616 (C=N), 1535 (C=C), 1355, 1124 (SO2-N); 1H NMR (500 MHz, DMSO-d6): δ 2.84 (s, 3H, CH3), 7.21-7.65 (m, 5H, Ar-H, CH pyrimidine), 7.92 (s, 1H, CH triazole), 8.15 (d, 1H, CH pyrimidine), 8.31 (s, 1H, H-2 indole), 11.50 ppm (s, 2H, NH2); m/z [M+355, 12%]; Anal. C15H13N7O2S (355.37): Calcd: C, 50.70; H, 3.69; N, 27.59; Found: C, 50.82; H, 3.54; N, 27.44.
N-(4-Nitrobenzylidene)-4-(1-methylsulphonyl-1H-indol-3-yl) pyrimidin-2-amine (20)
A mixture of compound 13 (1 g, 3 mmol) and 4-nitrobenzaldehyde (0.45 g, 3 mmol) in absolute ethanol (20 ml) containing glacial acetic acid (1 ml) was refluxed for 3 h. After cooling, the reaction mixture was poured onto water (30 ml) and the solid that formed was filtered off, air dried and crystallized from absolute ethanol. Yield, 57%; MP: 85-7 °C; IR (KBr, νmax, cm-1) 1620 (C=N), 1596 (C=C), 1345, 1133 (SO2-N); 1H NMR (500 MHz, DMSO-d6): δ 3.29 (s, 3H, CH3), 7.17-8.18 (m, 10H, Ar-H, 2CH pyrimidine), 8.26 (s, 1H, H-2 indole), 8.45 ppm (s, 1H, CH=N); m/z [M+421, 1%]; Anal. C20H15N5O4S (421.43): Calcd: C, 57.00; H, 3.59; N, 16.62; Found: C, 57.22; H, 3.72; N, 16.55.
3-(4-(1-Methylsulphonyl-1H-indol-3-yl) pyrimidin-2-yl)-2-(4-nitrophenyl) thiazolidin-4-one (21)
To a stirred solution of compound 20 (0.8 g, 2 mmol) in dry dioxane (25 ml) was added thioglycolic acid (0.024 g, 3 mmol). After stirring for 4 h, anhydrous sodium sulfate (5 g) was added and then refluxed for another 6 h. The reaction mixture was filtered while hot. After cooling, the solid that formed was filtered off, washed with water, air-dried and crystallized from dioxane. Yield, 33%; MP: 175-177 °C; IR (KBr, νmax, cm-1) 1702 (C=O), 1622 (C=N), 1587(C=C), 1356, 1133 (SO2-N); 1H NMR (500 MHz, DMSO-d6): δ 2.96 (s, 3H, CH3), 3.72 (s, 2H, H-4 thiazolidinone), 5.92 (s, 1H, H-2 thiazolidinone), 7.07-8.19 (m, 10H, Ar-H, 2CH pyrimidine), 8.32 ppm (s, 1H, H-2 indole); m/z [M+495, 5%]; Anal. C22H17N5O5S2 (495.53): Calcd: C, 53.32; H, 3.46; N, 14.13; Found: C, 53.12; H, 3.26; N, 14.44.
2-(4-(1-Methylsulphonyl-1H-indol-3-yl) pyrimidin-2-yl)amino)-2-(4-nitrophenyl) acetonitrile (22)
To a solution of compound 20 (0.8 g, 2 mmol) in acetic acid (15 ml), sodium cyanide (0.11 g, 2 mmol) was added and the reaction mixture was refluxed for 4 h. After cooling, the reaction mixture was poured onto water (30 ml) and the solid that formed was filtered off, air dried and crystallized from absolute ethanol. Yield, 63%; MP: 116-118 °C; IR (KBr, νmax, cm-1) 3212 (NH), 2197 (CN), 1702 (C=O), 1618 (C=N), 1565 (C=C), 1341, 1117 (SO2-N); m/z [M+448, 2%]; Anal. C21H16N6O4S (448.45): Calcd: C, 56.24; H, 3.60; N, 18.74; Found: C, 56.35; H, 3.76; N, 18.66.
2-(4-(1-Methylsulphonyl-1H-indol-3-yl) pyrimidin-2-yl)amino)-2-(4-nitrophenyl) acetic acid (23)
A solution of compounds 22 (4.48 g, 10 mmol) in sulfuric acid (30 ml, 50%) was heated at reflux for 10 h. After cooling, the dark reaction mixture was poured onto cold water (20 ml) and then neutralized with ammonia solution (25%). The precipitate that formed was filtered off, washed with water, air-dried, and crystallized from aqueous acetic acid. Yield, 20%; MP: 214 dec. °C; IR (KBr, νmax, cm-1) 3435 (OH), 3242 (NH), 1705 (C=O) 1620 (C=N), 1592(C=C), 1363, 1122 (SO2-N); 1H NMR (500 MHz, DMSO-d6): δ 3.01 (s, 3H, CH3), 4.78 (s, 1H, CH), 5.96 (s, 1H, NH), 6.56 (s, 1H, OH) 7.15-7.87 (m, 9H, Ar-H, CH pyrimidine), 8.06 (d, 1H, CH pyrimidine), 8.32 ppm (s, 1H, H-2 indole); m/z [M+467, 15%]; Anal. C21H17N5O6S (467.45): Calcd: C, 53.96; H, 3.67; N, 14.98; Found: C, 54.01; H, 3.45; N, 15.00.
Biological assays
Cell culture
A-549 (human lung cancer), MCF7 (human breast cancer) and HCT-116 (human colon cancer) cell lines were obtained from Karolinska Institute, Stockholm, Sweden. All cells were maintained in RPMI 1640 medium, except for A-549 cancer cells which were maintained in DMEM medium (Lonza Biowahittkar, Belgium). All the media were supplemented with 1% antibiotic-antimycotic mixture (10,000 U/ml potassium penicillin, 10,000 μg/ml streptomycin sulfate, 25μg/ml amphotericin B and 1% L-glutamine (Biowest, USA).
MTT cytotoxicity assay
Cell viability was investigated using MTT [3-(4, 5-dimethylthiazol-2-yl)-2, 5-diphenyltetrazolium bromide] (Bio Basic Canada Inc., Canada) assay [31]. This reaction depends on the mitochondrial reduction of yellow MTT into purple formazan. All the preceding steps were carried out in sterile laminar air flow cabinet Biosafety class II level (Baker, SG403INT; Sanford, ME, USA).
All incubations were done at 37 °C in 5% CO2 incubator in the humidified atmosphere (Sheldon, TC2323; Cornelius, OR, USA). Cells were seeded into 96-well microtiter plastic plates at the concentration of (104 cells/well) and allowed to adhere for 24 h. The medium was aspirated and fresh medium (without serum) was added to the cells with various concentrations of the test compounds (100, 50, 25, 12.5, 6.25, 3.12, 1.56 and 0.78 μg/ml in DMSO) and incubated for 48 h.
The medium was aspirated and 40μl MTT salt (2.5 μg/ml) was added to each well and incubated for a further 4h. To stop the reaction and dissolve any formed formazan crystals, 200 μl of 10% sodium dodecyl sulfate (SDS) were added to each well and incubated overnight at 37 °C. The amount of formazan product was measured at 595 nm with a reference wavelength of 620 nm as a background using a microplate reader (Bio-Rad Laboratories, model 3350, USA). For the untreated cells (negative control), the medium was added instead of the test compounds. A positive control Adrinamycin® (doxorubicin) (Mr=579.9) (Pharmacia India Pvt Ltd, Gurgaon, Haryana 122001, India) was used as a known cytotoxic natural agent giving 100% inhibition. Dimethyl sulfoxide (DMSO) was the vehicle used for dissolution of the testing compound and its final concentration on the cells was less than 0.2%. IC50 was calculated for the samples and negative control (cells with vehicle) by the probit analysis using a simple t-test (SPSS statistical analysis software package/version 11.0, SPSS Inc., (IL), Chicago, USA).
Molecular docking study
Docking study of the most anti-proliferative compounds 5c, 7 and 12 was performed by the molecular operating environment (MOE) 2008.10 releases of chemical computing group, Montreal, Canada (http://www.chemcomp.com). The program operated on intel(R) core(TM) i3-32100 CPU@3.10GHz 3.10 GHz processor, 4.00 GB of RAM, Microsoft Windows 7 professional.
The protein crystal structure of carbonic anhydrase IX (PDB ID: 4BCW) in complex with (E)-2-(5-bromo-2-hydroxyphenyl) ethene sulphonic acid (TU0) was downloaded from protein data bank (http://www.rcsb.org/pdb) (PDB ID: 4BCW) [32].
The protein crystal structure was prepared for docking via removing of water molecules, addition and removal of polar hydrogen atoms then isolation of the active pocket. CA IX active site contains Zn (II) in coordination with His94, His96, His119 beside Thr199, Thr200, Leu198, Val121, Val143, Trp209, Gln92, Gln97, Gln106, Phe131, Pro201, Pro202
The co-crystalline ligand was re-docked in the active pocket to insure the docking method was efficient and the active pocket was saved as moe file to be used for docking simulation of the selected compounds (ligands).
The structure of the selected compounds (ligands) for docking was drawn in ChemDraw Ultra 10.0 (Chem Office package) and saved as mol. Before the molecular docking, the preparation steps must be done as follow, a) converting the 2D structure of ligands to their 3D form, b) addition and removing of polar hydrogen atoms; c) energy minimized using the MMFF94x force field until an RMSD (Root-mean-square deviation) of atomic position gradient of 0.01 Kcal/mol/Å was reached and saved as moe. MMFF94x was reported as the efficient force field for minimizing ligand-protein complexes [33].
The docking algorithm was done by MOE-DOCK default. It uses flexible, a rigid technique for posing the molecule inside the cavity. All rotatable bonds of ligands are allowed to undergo free rotation to explore the conformational space inside the rigid receptor binding site. The docking scores were expressed in negative energy terms, the lower the binding free energy, the better the binding affinity [34], and the ligand interactions (hydrogen bonding and hydrophobic interaction) with carbonic anhydrase IX was determined.
RESULTS AND DISCUSSION
Chemistry
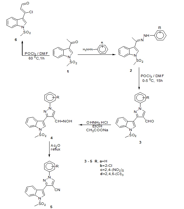
Schemes 1-3 outline the synthetic pathway to obtain the new target compounds. The required starting materials were prepared via the condensation of 1-methylsulphonyl-3-acetylindole (1) with some hydrazines, namely phenylhydrazine, 2,4-dinitrophenyl-hydrazine, 2,4,6-trichlorophenylhydrazine under heating in acetic acid to give the corresponding hydrazones 2a, 2c, and 2d.
While hydrazone 2b, was prepared via the reaction of 1 with 2-chlorophenylhydrazine hydrochloride under heating in ethanol and in the presence of crystalline sodium acetate (Scheme 1). Compounds 2a, 2c, and 2d are previously reported [35], and the newly compound 2b was confirmed by its correct elemental analysis and spectral data.
Vilsmeier–Haack formulation of the latter hydrazones 2a-d using 2.5 equivalent moles of Vilsmeier reagent (DMF/POCl3) at 0-5 °C for 15 h performed double addition of the reagent on methyl group to afford ultimately after hydrolysis the cyclized substituted phenyl-1H-pyrazole-4-carboxaldehydes 3a-d, respectively (Scheme 1). IR spectra of 3a-d showed strong absorption bands around 1702-1720 cm-1 for the keto of aldehydic groups. Their 1H NMR spectra lacked the singlet signals of the methyl group of hydrazones 3a-d and revealed new singlet signals at δ 9.51-12.35 ppm for CHO proton besides the singlet signals at δ 7.90-8.88 ppm for H-5 of pyrazole.
Condensation of compounds 3a-d with hydroxylamine hydrochloride under heating in ethanol and in the presence of crystalline sodium acetate led to the formation of the corresponding pyrazole-4-oxime derivatives 4a-d, respectively (Scheme 1). IR spectra of 4a-d showed strong absorption bands ranging from 3400 to 3410 cm-1 related to OH groups besides the characteristic absorption bands of C=N around 1620 cm-1, and their 1H NMR spectra showed singlet signal of the OH group ranging from 11.18 to 12.23 ppm.
Heating of the latter oximes in acetic anhydride yielded the corresponding pyrazole-4-carbonitrile derivatives 5a-d, respectively in good yields ranging from 79 to 90% (Scheme 1). IR spectra of 5a-d showed strong absorption bands ranging from 2195 to 2205 cm-1 for the CN groups, and their 1H NMR spectra lack the singlet signals of OH group besides the other signals of the compounds which located at their positions.
Scheme 1: Syntheses of vilsmeier-haack products 3a-d and 6
On the other hand, the reaction of 1-methylsulphonyl-3-acetylindole (1) with 2.5 equivalent moles of Vilsmeier reagent (DMF/POCl3) under heating at 60 °C for 1h (Vilsmeier-Haack Arnold reaction) led to the formation of 3-chloro-3-(1-methylsulphonyl-1H-indol-3-yl)propenal (6) in 30% yield (Scheme 1). Its 1H NMR revealed singlet signal at 7.91 ppm due to CH=C, besides singlet signal at 8.53 ppm issued for CHO.
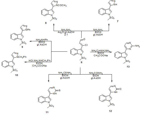
Although, the very low yield of compound 6, but it seems to has some interest due to the presence of α, β-bifunctional chloro and aldehydic group. The reaction of compound 6 with hydrazine hydrate in absolute ethanol and in the presence of few drops of glacial acetic acid afforded 5-(1-methylsulphonyl-1H-indol-3-yl)-1H-pyrazole (7). Whereas, the reaction of compound 6 with hydrazine hydrate under reflux in a mixture of acetic anhydride and glacial acetic acid (2:1) afforded the corresponding N-acetylpyrazole derivative 8 (Scheme 2). Additionally, the reaction of compound 6 with phenylhydrazine gave N-phenylpyrazole derivative 9. Also, the reaction of compound 6 with benzylhydrazine hydrochloride in the presence of anhydrous sodium acetate gave N-benzylpyrazole derivative 10 (Scheme 2).
Furthermore, the reaction of compound 6 with thiourea or urea in ethanol in the presence of a glacial acetic acid as a catalyst gave 6-(1-methylsulphonyl-1H-indol-3-yl) pyrimidin-2(1H)-thione (11) and 6-(1-methylsulphonyl-1H-indol-3-yl)pyrimidin-2(1H)-one (12), respectively. Moreover, the reaction of compound 6 with guanidine hydrochloride in ethanol and in the presence of crystalline sodium acetate yielded 4-(1-methylsulphonyl-1H-indol-3-yl) pyrimidin-2-amine (13) (Scheme 2).
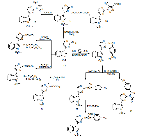
The reaction of compound 13 with benzoyl chloride, 4-chlorobenzoyl chloride, benzene sulphonyl chloride or 4-bromo-benzenesulphonyl chloride in dry dioxane and in the presence of triethylamine as a base afforded N-benzamide derivatives 14a,b, and N-sulphonamide derivatives 15a, b, respectively (Scheme 3).

Scheme 2: Syntheses of pyrazoles 7-10 and pyrimidine 11-13 derivatives

Scheme 3: Syntheses of compounds 14-23
Acetylation of compound 13 using a mixture of acetic anhydride and glacial acetic acid (2:1) led to the formation of N-4-(1-methyl-sulphonyl-1H-indol-3-yl) pyrimidin-2-yl)acetamide (16) (Scheme 3).
Diazotization of compound 13 with concentrated sulphuric acid and sodium nitrite at 0-5 °C yielded the corresponding diazonium salt which, under reaction with sodium azide yielded 2-azidopyrimidine derivative 17 (Scheme 3). It was previously reported that organic azide undergoes base catalyze condensation reaction with activated methylenic compounds give 1,2,3-triazoles moiety [36]. In the present work and under the above-mentioned conditions, the newly 2-azidopyrimidine derivative (17) was allowed to react with ethyl acetoacetate in the presence of sodium methoxide to give the corresponding 5-methyl-1-(4-(1-methylsulphonyl-1H-indol-3-yl) pyrimidin-2-yl)-1H-1,2,3-triazole-4-carboxylic acid (18) (Scheme 3). Furthermore, the reaction of the compound (17) with acetonitrile in the presence of sodium methoxide led to the formation of 3-(4-(1-methylsulphonyl-1H-indol-3-yl) pyrimidin-2-yl)-1H-1,2,3-triazol-4-amine (19) (Scheme 3).
Acid catalyzes the reaction of compound 13 with 4-nitro-benzaldehyde in absolute ethanol led to the formation of the corresponding Schiff's base 20 (Scheme 3). Cyclocondensation of compound 20 with thioglycolic acid in the presence of anhydrous sodium sulfate yielded thiazolidin-4-one derivative (21). On the other hand, addition of sodium cyanide to Schiff's base 20 in acetic acid afforded 2-(4-(1-methylsulphonyl-1H-indol-3-yl)pyrimidin-2-yl)amino)-2-(4-nitrophenyl)acetonitrile (22), which on hydrolysis with dilute sulfuric acid gave 2-(4-(1-methylsulphonyl-1H-indol-3-yl) pyrimidin-2-yl)amino)-2-(4-nitrophenyl) acetic acid (23) (Scheme 3).
Cytotoxic activity
Some new compounds numerically labeled with 3a-d, 5a-d, and 7-12 were preliminarily screened for their in vitro antiproliferative activity against human lung cancer (A-549), human colon cancer (HCT-116) and human breast cancer (MCF-7) cell lines at a concentration of 100 μg/ml (table 1). Compounds 3c, 3d, 5c, 7, 9 and 12 showed potent to moderate antiproliferative activity against A-549 cancer cell line of 70, 72, 95, 92, 75 and 92 %, respectively. Whereas compounds 5c, 7 and 8 showed, activity against HCT-116 cancer cell line of 83, 92 and 70%, respectively. Only compounds 5c and 7 showed moderate activity against MCF-7 of 81 and 73%, respectively.
Compounds that showed anti-proliferative activity higher than 80% at a concentration of 100 μg/ml (5c, 7 and 12) were used to calculate their IC50 value, which corresponds to the concentration required for 50% inhibition of cell viability (table 2). Doxorubicin, which is one of the most effective anticancer agents, was used as a reference drug (table 2). Compounds 5c, 7 and 12 revealed potent anti-proliferative effects against A-549 cancer cell line with IC50 of 44.3, 17.2 and 38.7 µmol/l, respectively, compare to the reference drug doxorubicin (IC50 48.8 µmol/l). While compound 5c was shown to be more potent with IC50 of 5.66 µmol/l against HCT-116 cancer cell line than doxorubicin (IC50 of 65.1 µmol/l)
Table 1: Anti-proliferative activity of the newly synthesized compounds against human carcinoma cell lines at 100 µg ml-1
Compounds a |
Inhibition growth (%) (mean±SEM) |
||
A-549 |
HCT-116 |
MCF-7 |
|
3a |
59.6±1.65 |
28.1±1.53 |
10.0±0.99 |
3b |
2.8±0.51 |
39.9±1.45 |
0.0±0.69 |
3c |
72.7±4.00 |
47.7±2.35 |
11.8±1.88 |
3d |
70.1±3.01 |
48.3±1.03 |
60.5±1.51 |
5a |
12.2±1.61 |
38.9±0.97 |
3.1±0.65 |
5b |
20.8±1.43 |
41.3±1.41 |
33.7±3.78 |
5c |
95.8±3.95 |
83.4±3.71 |
81.5±2.61 |
5d |
44.4±4.05 |
37.5±3.26 |
14.0±0.88 |
7 |
92.6±2.65 |
92.9±2.07 |
73.7±2.02 |
8 |
13.8±1.49 |
42.4±2.00 |
3.5±0.60 |
9 |
75.1±0.41 |
44.2±1.35 |
6.3±0.45 |
10 |
62.0±4.71 |
48.9±4.09 |
8.6±1.05 |
11 |
15.5±1.10 |
33.1±2.45 |
0.0±0.00 |
12 |
92.8±0.96 |
70.2±4.00 |
29.6±1.40 |
Negative controlb |
0 |
0 |
0 |
Doxorubicina |
100 |
100 |
100 |
aConcentration of test compounds and positive control (doxorubicin) were 100µg/ml, bUntreated cells in DMSO and its final concentration in the cells was less than 0.2 %, SEM = Standard error mean; each value is the mean of three values
Table 2: IC50 of the highly antiproliferative active compounds against human cancer cell lines
Compounds |
IC50 (mean±SEM) (µmol/l) |
|
A-549 |
HCT-116 |
|
5c |
44.3±057 |
5.66±1.50 |
7 |
17.2±2.10 |
- |
12 |
38.7±3.01 |
- |
Doxorubicin |
48.8±1.28 |
65.1±5.15 |
IC50: Compound concentration required to inhibit the cell viability by 50%, SEM = Standard error mean; each value is the mean of three values
Molecular docking study
In an attempt to rationalize the cytotoxic activity profile exhibited by compounds 5c, 7 and 12, the molecular docking was studied toward carbonic anhydrase IX (CA IX) (PDB ID: 4BCW) using MOE 2008.10 program. From the data obtained it was found that, in 3D ligand interaction (fig. 1, 3) compounds 7 and 12 were the most active compounds which exhibited good fitting inside the binding site of the protein molecular surface and having minimum binding energy of-21.03 and-19.69 kJ/mol, respectively in comparison to co-crystallized ligand (TU0) of-16.35 kJ/mol and Rmsd 1.82 (fig. 5). 2D Ligand interaction showed that, compound 7 (fig. 2) formed coordination bond between Zn++and nitrogen atom of pyrazole ring (2.11 Å) and arene-cation bond between amino acid His64 and benzene ring of indole moiety, while compound 12 (fig. 4) formed coordination bond between Zn++and oxygen atom of oxo-pyrimidine (2.12 Å). In comparison to co-crystalline ligand (TU0) which form coordination bond between Zn++and the oxygen atom of SO2 group in addition hydrogen bond between NH of THr199 and the oxygen atom of SO2 (2.91 Å) (fig. 5, 6). The docking scores of the compounds under study 7 and 12 were observed better than co-crystalline ligand (TU0), which was in agreement with their antiproliferative effects. Our finding is in a similar to that of Güzel et al. 2010 who have been designed a series of 2-(hydrazino carbonyl)-3-substituted-phenyl-1H-indole-5-sulfonamides as a promising class of carbonic anhydrase inhibitors[38].
Finally, the results of cytotoxic activity and molecular docking suggest that, compounds 5-(1-methylsulphonyl-1H-indol-3-yl)-1H-pyrazole (7) and 6-(1-methylsulphonyl-1H-indol-3-yl)pyrimidin-2(1H)-one (12) may have the potential for development as clinical candidates to treat a variety of solid tumors. Also, further work is recommended to confirm the inhibition of carbonic anhydrase IX (CA IX) in a specific bioassay.
![]() |
![]() |
| fig. 1: 3D Docked conformation alignment of 7 in the 4BCW protein binding site | fig. 2: 2D ligand interaction of compound 7 (green) with active site amino acids of 4BCW compared to the co-crystallized ligand (red) |
![]() |
![]() |
| fig. 3: 3D Docked conformation alignment of 12 in the 4BCW protein binding site | fig. 4: 2D ligand interaction of compound 12 (green) with active site amino acids of 4BCW compared to the co-crystallized ligand (red) |
![]() |
![]() |
| fig. 5: 3D Docked conformation alignment of co-crystalline ligand (TU0) in the 4BCW protein binding site | fig. 6: 2D ligand interaction of co-crystalline ligand (TU0) with active site amino acids of 4BCW |
CONCLUSION
A new series of pyrazole, pyrimidine, 1,2,3-triazole, thiazolidin-4-one and amino acid derivatives incorporated to 1-methylsulphonyl indole at their 3-positions were prepared. Anti-proliferative activity of some new target compounds was tested in vitro against A-549, HCT-116, and MCF-7cancer cell lines. Pyrazole 5c, 7 and pyrimidine 12 derivatives revealed, potent anti-proliferative effects against A-549 cancer cell line with IC50 of 44.3, 17.2 and 38.7 µmol/l, respectively. Only compound 5c was shown to be more potent with IC50 of 5.66 µmol/l against HCT-116 cancer cell line. The model of the interaction of most anti-proliferative compounds 5a, 7 and 12 with the active site of carbonic anhydrase IX (PDB ID: 4BCW) was examined via molecular docking. Compounds 7 and 12 were found to be the most active compounds which exhibited good fitting inside the binding site of the protein molecular surface and having minimum binding energy-21.03 and-19.69 kJ/mol, beside they formed coordination bond between Zn++and nitrogen atom of pyrazole ring (2.11Å) or oxygen atom of oxo-pyrimidine (2.12 Å), respectively in comparison to co-crystallized ligand (TU0) of-16.35 kJ/mol.
ACKNOWLEDGMENT
The authors are grateful to Kamel H. Shaker and Chemistry Department, Faculty of Science, King Khalid University, Abha, King Saudi Arabia (KSA) for carrying out NMR spectra.
CONFLICTS OF INTERESTS
Declared none
REFERENCES
How to cite this article