aDepartment of Chemistry, Maharishi Markandeshwar University, Mullana, Ambala 133207, Haryana, India, bDepartment of Biotechnology, Maharishi Markandeshwar University, Mullana, Ambala 133207, Haryana, India.
Email: rajshreekhare@gmail.com
Received: 24 Jun 2014 Revised and Accepted: 14 Aug 2014
ABSTRACT
Objective: The main objective of present work is to synthesize, characterize and evaluate DNA photocleavage activity of hydrazones containing quinoline and pyrimidine rings.
Methods: The syntheses of new 2-(Thioxo/Oxo)quinoline-4,6-dimethyl pyrimidinyl hydrazones has been achieved by the reaction of 2-(Thioxo/Oxo)quinoline-3-carbaldehydes and 2-hydrazino-4, 6-dimethylpyrimidine. The structure of synthesized compounds is established on basis of data obtained from the spectroscopic techniques such as 1H NMR, 13C NMR, FT-IR and mass. The synthesized compounds were evaluated for their DNA photocleavage activity at 40 μg/μl concentration by agarose gel electrophoresis method.
Results: The synthesized compounds 5e showed complete cleavage of DNA while 5a, 5b and 6e showed significant cleavage potential.
Conclusion: A series of novel hydrazones bearing quinoline and pyrimidine moiety has been synthesized and well characterized on the basis of spectroscopic data and further evaluated for their DNA photocleavage activity. It has been observed that compounds having bromo and thio group displayed good activity.
Keywords: Qunioline-3-carbaldehyde, 2-Hydrazinopyrimidine, Hydrazone, DNA photocleavage activity.
INTRODUCTION
Biological potential of heterocyclic nitrogeneous compounds like quinolines[1] and pyrimidines[2] are well recognized by the synthetic chemists and biologists. 2-Chloroquinoline-3-carbaldehyde is a versatile building block which is used in the synthesis of heterocyclic compounds and some of its derivatives showed a wide spectrum of pharmacological activities[3]. In addition, pyrimidine and its derivatives are another important class of biologically active compounds which shows numerous pharmacological activities[4-6] such as anti-microbial, anti-convulsant, analgesic, anti-inflammatory, anti-platelet, anti-tubercular, anti-HIV, DNA cleaving agents[7] etc.
Hydrazones are also important class of compounds with a wide range of applications[8-13] and biological importance[8, 14, 15]. The presence of an azomethine –NHN=CH- group makes each compounds as interesting intermediate for synthesis of various heterocyclic compounds. It has been reported that the incorporation of biologically active moieties into another new biologically important heterocyclic compounds with different functionality in same molecule possessed good activity profile[16-18]. In view of these facts and in continuation of our research work[19,20], some novel hydrazones in combination with quinoline and pyrimidine nucleus have been synthesized and evaluated of their DNA nicking activity in the present study.
Experimental
All the chemicals and solvents were purchased from common commercial suppliers (Hi-media, Loba, S. D. Fine Chemicals and Rankem). Double distilled water was used and melting points were determined using Digital melting point apparatus (paraffin bath) and are uncorrected. Thin layer chromatography was performed on silica gel G for TLC (Rankem) and spots were visualized by iodine vapours or by irradiation with UV light (254 nm). Infra red spectra were recorded on Perkin Elmer RZX FTIR spectrophotometer using KBr discs. The 1H-NMR and 13C-NMR spectra were scanned at 400 and 100 MHz, respectively on Bruker spectrophotometer instrument using TMS as an internal reference standard in DMSO-d6. Coupling constants (J) are given in Hz. The mass spectra was recorded on Q-ToF Micro Waters LC-MS spectrometer. The starting compounds 1a-e, 2a-e, 3a-e and 4 were prepared by the reported methods[21-23].
General procedure for synthesis of 2-Thioxoquinoline-4,6-dimethylpyrimidinyl hydrazones (6a-e)
3-Formylqinoline-2-thiones (0.01 mol) was dissolved in DMF (10 ml) and added 2-hydrazino-4,6-dimethylpyrimidine (0.01 mol). The mixture was stirred and heated occasionally for 20- 30 min. The progress of the reaction was monitored by TLC till the completion of the reaction. The reaction mixture was poured into ice cold water and stirred for 10-15 min, filtered, precipitated product was washed with cold water and recrystallized from ethanol.
1-[(2-Thioxo-1,2-dihydroquinoline-3-yl)methylene]-2-(4,6-dimethylpyrimidin-2-yl) hydrazine (5a)
Orange red; Yield: 86%; M. p.: 250-252°C; IR (KBr) cm-1: 3305(N-H str.), 3007 (Ar. C-H str.), 1585,1543 (C=N str.), 1488, 1452 (Ar. C=C str.), 1130 (C=S str.); 1H NMR (DMSO-d6), δH: 2.39 (s, 6H, 4'', 6''-CH3), 6.77 (s, 1H, 5''-H), 7.36-7.40 (m, 1H, 6'- H), 7.62-7.67 (m, 2H, 5'-H, 7'-H), 7.92 (d, 1H, 8'-H, J = 8 Hz), 8.55 (s, 1H, N=CH), 8.97(s, 1H, 4'-H), 12.03 (s, 1H, N-NH), 13.92 (s,1H, 1'-NH).; 13C NMR (DMSO-d6) δC: 23.4 (4'', 6''-CH3), 111.9 (C-5''), 122.3 (C-6'), 124.3 (C-5'), 125.4 (C-4a'), 126.1 (C-7'), 127.1 (C-8'), 130.6 (C-4'), 132.3 (C-3'), 133.9 (C-methylene), 137.5 (C-8a'), 159.1 (C-4'',6''), 167.3 (C-2''), 178.2 (C-2'); MS (ES+) m/z Observed [M+1]+: 310.0, calcd.: 309.1.
1-[(6-Methoxy-2-thioxo-1,2-dihydroquinolin-3-yl)methylene]-2-(4,6-dimethylpyrimidin-2-yl)hydrazine (5b)
Orange red; Yield: 88%; M. p.: 259-261 °C; IR (KBr) cm-1: 3308 (N-H str.), 3007 (Ar. C-H str.), 1592,1548 (C=N str.), 1496, 1457 (Ar. C=C str.), 1130 (C=S str.); 1H NMR (DMSO-d6), δH: 2.33 (s, 6H, 4'', 6''-CH3), 3.84 (s, 3H, OCH3), 6.63 (s, 1H, 5''-H), 7.26 (dd, 1H, 7'-H, J = 8 Hz, J= 2 Hz), 7.45 (d, 1H, 5'-H, J = 1 Hz), 7.59 (d, 1H, 8'-H, J = 9.2 Hz), 8.32 (s, 1H, N=CH), 8.89 (s, 1H, 4'-H), 11.40 (s, 1H, N-NH), 13.81 (s, 1H, 1'-NH).; 13C NMR (DMSO-d6) δC: 23.4 (4'', 6''-CH3), 55.5 (6'-OCH3), 108.4 (C-5'), 111.9 (C-5''), 117.4 (C-7'), 121.75 (C-4a'), 123.4 (C-8'), 129.4 (C-4'), 133.3 (C-3'), 134.1 (C-methylene), 139.3 (C-8a'), 155.9 (C-6'), 159.5 (C-4'', 6''), 167.3 (C-2''), 177.6 (C-2'); MS (ES+) m/z Observed [M+1]+: 340.0, calcd.: 339.1.
1-[(8-Methyl-2-thioxo-1,2-dihydroquinolin)-3-yl)methylene]-2-(4,6-dimethylpyrimidin-2-yl) hydrazine (5c)
Dark Orange; Yield: 82%; M. p.: 256-258°C; IR (KBr) cm-1:3313 (N-H str.), 3021 (Ar. C-H str.), 1588, 1543 (C=N str.), 1486, 1439 (Ar. C=C str.), 1133 (C=S str.); 1H NMR (DMSO-d6), δH: 2.34 (s, 6H, 4'', 6''-CH3), 2.60 (s, 3H, 8'-CH3), 6.63 (s, 1H, 5''-H), 7.24-7.28 (m, 1H, 6'-H), 7.45 (d, 1H, 7'-H, J = 7.3 Hz), 7.75 (d, 1H, 5'-H, J = 7.6 Hz), 8.31 (s, 1H, N=CH), 8.89 (s, 1H, 4'-H), 11.40 (s, 1H, N-NH), 12.33 (s, 1H, 1'-NH); 13C NMR (DMSO-d6) δC: 17.1 (8'-CH3), 23.4 (4'', 6''-CH3), 111.1 (C-5''), 122.5 (C-5'), 124.1 (C-4a'), 124.3 (C-6'), 126.8 (C-7'), 130.4 (C-4'), 132.6 (C-3'), 133.03 (C-8'), 137.4 (C-methylene), 139.3 (C-8a'), 159.56 (C-4'',6''), 167.3 (C-2''), 180.7 (C-2').; MS (ES+) m/z Observed [M+1]+: 324.0, calcd.: 323.1.
1-[(6-Methyl-2-thioxo-1,2-dihydroquinolin-3-yl)methylene]-2-(4,6-dimethylpyrimidin-2-yl) hydrazine (5d)
Orange; Yield: 80%; M. p.: 255-257 °C; IR (KBr) cm-1: 3307 (N-H str.), 3017 (Ar. C-H str.), 1583, 1543 (C=N str.), 1493, 1448 (Ar. C=C str.), 1139 (C=S str.); 1H NMR (DMSO-d6), δH: 2.33 (s, 6H, 4'', 6''-CH3), 2.42 (s, 3H, 6'-CH3), 6.63 (s, 1H, 5''-H), 7.41 (d, 1H, 7'-H, J= 9.42), 7.61 (s, 1H, 5'-H), 7.63 (d, 1H, 8'-H, J= 9.20), 8.65 (s, 1H, N=CH), 8.83 (s, 1H, 4'-H), 11.78 (s, 1H, N-NH), 12. 48 (s, 1H, 1'-NH).; 13C NMR (DMSO-d6) δC: 21.7 (6'-CH3), 23.4 (4'', 6''-CH3), 111.2 (C-5''), 122.3 (C-5'), 124.7 (C-4a'), 125.9 (C-8'), 127.7 (C-7'), 128.5 (C-4'), 132.4 (C-3'), 134.9 (C-6'), 135.8 (C-methylene), 143.5 (C-8a'), 159.1 (C-4'',6''), 167.8 (C-2''), 178.2 (C-2').; MS (ES+) m/z Observed [M+1]+: 324.0, calcd.: 323.1.
1-[(6-Bromo-2-thioxo-1,2-dihydroquinolin)-3-yl)methylene]-2-(4,6-dimethylpyrimidin-2-yl) hydrazine (5e)
Dark red; Yield: 79 %; M. p.: 270-272°C; IR (KBr) cm-1: 3317 (N-H str.), 3019 (Ar. C-H str.), 1594, 1552 (C=N str.), 1498, 1459 (Ar. C=C str.),1137 (C=S str.); 1H NMR (DMSO-d6), δH: 2.39 (s, 6H, 4'', 6''-CH3), 6.78 (s, 1H, 5''-H), 7.65- 7.68 (m, 2H, 5'-H, 8'-H), 8.42-8.45 (m, 1H, 7'-H), 8.52 (s, 1H, N=CH), 8.73 (s, 1H, 4'-H), 12.10 (s, 1H, N-NH), 13.78 (s, 1H, 1'-NH).; 13C NMR (DMSO-d6) δC: 23.4 (4'', 6''-CH3), 111.2 (C-5''), 120.2 (C-7'), 126.1 (C-5'), 127.6 (C-8'), 128.9 (C-4a'), 129.7 (C-4'), 132.1 (C-3'), 133.2 (C-methylene), 134.1 (C-6'), 143.4 (C-8a'), 159.8 (C-4'', 6''), 167.9 (C-2''), 180.1 (C-2'); MS (ES+) m/z Observed [M+2]+: 389.0, calcd.: 387.02.
General procedure for synthesis of 2-Oxoquinoline-4,6-dimethylpyrimidinyl hydrazones (6a-e)
2-Oxo-3-formylqinolines (0.01 mol) was dissolved in DMF (10 ml) and added 2-Hydrazino-4, 6-dimethyl pyrimidine (0.01 mol). The mixture was stirred and heated occasionally for 20- 30 min. The progress of reaction was monitored by TLC till the completion of the reaction. The reaction mixture was poured into ice cold water, stirred for 10-15 min, filtered, precipitated product was washed with cold water and recrystallized from ethanol.
1-[(2-Oxo-1,2-dihydroquinolin-3-yl)methylene]-2-(4,6-dimethylpyrimidin-2-yl) hydrazine (6a)
Yellow; Yield: 86%; M. p.: >275°C; IR (KBr) cm-1: 3218 (N-H str.), 1651 (C=O str.), 1556 (C=N str.); 1H NMR (DMSO-d6), δH: 2.32 (s, 6H, 4'', 6''-CH3), 6.64 (s, 1H, 5''-H), 7.17-7.21 (m, 1H, 6'- H), 7.31 (d, 1H, 5'-H, J = 8 Hz), 7.47-7.51 (m, 1H, 7'-H), 7.81 (dd, 1H, 8'-H, J = 8 Hz, J= 0.8 Hz, J= 0.72 Hz), 8.35(s, 1H, N=CH), 8.37(s, 1H, 4'-H), 11.37 (s, 1H, N-NH), 12.0 (s,1H, 1'-NH); 13C NMR (DMSO-d6) δC: 23.4 (4'', 6''-CH3), 111.4 (C-5''), 124.3 (C-6'), 126.9 (C-5'), 127.2 (C-4a'), 127.7 (C-7'), 128.1 (C-8'), 129.6 (C-4'), 133.3 (C-3'), 134.6 (C-methylene), 145.3 (C-8a'), 159.1 (C-4'',6''), 160.7 (C-2'), 167.7 (C-2''); MS (ES+) m/z Observed [M+1]+: 294.1, calcd.: 293.1.
1-[(6-Methoxy-2-oxo-1,2-dihydroquinolin-3-yl)methylene]-2-(4,6-dimethylpyrimidin-2-yl)hydrazine (6b)
Yellow; Yield: 87%; M. p.: >275 °C; IR (KBr) cm-1: 3270 (N-H str.), 1690 (C=O str.), 1596 (C=N str.); 1H NMR (DMSO-d6), δH: 2.33 (s, 6H, 4'', 6''-CH3), 3.80 (s, 3H, OCH3), 6.60 (s, 1H, 5''-H), 7.11 (d, 1H, 7'-H, J = 8 Hz), 7.24-7.29 (m, 2H, 5'-H), 8'-H), 8.33 (s, 1H, N=CH), 8.36 (s, 1H, 4'-H), 11.29 (s, 1H, N-NH), 11.85 (s, 1H, 1'-NH); 13C NMR (DMSO-d6) δC: 23.4 (4'', 6''-CH3), 55.3 (6'-OCH3), 109.3 (C-5'), 111.7 (C-5''), 116.2 (C-7'), 119.6 (C-4a'), 119.8 (C-8'), 126.5 (C-4'), 132.4 (C-3'), 132.07 (C-methylene), 136.2 (C-8a'), 154.3 (C-6'), 159.5 (C-4'', 6''), 160.6 (C-2'), 167.2 (C-2''); MS (ES+) m/z Observed [M+1]+: 324, calcd.: 323.1.
1-[(8-Methyl-2-oxo-1,2-dihydroquinolin-3-yl)methylene]-2-(4,6-dimethylpyrimidin-2-yl) hydrazine (6c)
Yellow; Yield: 83%; M. p.: >275 °C; IR (KBr) cm-1: 3268 (N-H str.), 1660 (C=O str.), 1555 (C=N str.); 1H NMR (DMSO-d6), δH: 2.31 (s, 6H, 4'', 6''-CH3), 2.44 (s, 3H, 8'-CH3), 6.63 (s, 1H, 5''-H), 7.09-7.13 (m, 1H, 6'-H), 7.34 (d, 1H, 7'-H, J = 8 Hz), 7.65 (d, 1H, 5'-H, J = 8 Hz), 8.33 (s, 1H, N=CH), 8.36 (s, 1H, 4'-H), 11.13 (s, 1H, N-NH), 11.31 (s, 1H, 1'-NH); 13C NMR (DMSO-d6) δC: 17.1 (8'-CH3), 23.4 (4'', 6''-CH3), 111.9 (C-5''), 119.3 (C-5'), 122.03 (C-4a'), 123.3 (C-6'), 125.8 (C-7'), 126.6 (C-4'), 131.7 (C-3'), 133.4 (C-8'), 135.9 (C-methylene), 136.8 (C-8a'), 159.5 (C-4'',6''), 161.5 (C-2'), 167.3 (C-2''). MS (ES+) m/z Observed [M+1]+: 308.1, calcd.: 307.1.
1-[(6-Methyl-2-oxo-1,2-dihydroquinolin-3-yl)methylene]-2-(4,6-dimethylpyrimidin-2-yl) hydrazine (6d)
Yellow; Yield: 80%; M. p.: >275°C; IR (KBr) cm-1: 3295 (N-H str.), 1670 (C=O str.), 1575 (C=N str.); 1H NMR (DMSO-d6), δH: 2.37 (s, 6H, 4'', 6''-CH3), 2.79 (s, 3H, 6'-CH3), 6.63 (s, 1H, 5''-H), 7.21 (d, 1H, 7'-H, J= 9.52), 7.63 (d, 1H, 8'-H, J= 9.18), 8.26 (s, 1H, N=CH), 8.29 (s, 1H, 4'-H), 11.13 (s, 1H, N-NH), 11.36 (s, 1H, 1'-NH).; 13C NMR (DMSO-d6) δC: 21.1 (6'-CH3), 23.4 (4'', 6''-CH3), 111.5 (C-5''), 124.2 (C-5'), 125.5 (C-4a'), 126.3 (C-8'), 127.2 (C-7'), 129.9 (C-4'), 133.8 (C-3'), 134.8 (C-6'), 135.1 (C-methylene), 143.6 (C-8a'), 159.4 (C-4'',6''), 160.2 (C-2'),167.5 (C-2'').; MS (ES+) m/z Observed [M+1]+: 308.1, calcd.: 307.1.
1-[(6-Bromo-2-oxo-1,2-dihydroquinolin-3-yl)methylene]-2-(4,6-dimethylpyrimidin-2-yl) hydrazine (6e)
Yellow green; Yield: 78%; M. p.: >275°C; IR (KBr) cm-1: 3305 (N-H str.), 1680 (C=O str.), 1565 (C=N str.).; 1H NMR (DMSO-d6), δH: 2.34 (s, 6H, 4'', 6''-CH3), 6.66 (s, 1H, 5''-H), 7.46-7.49 (m, 2H, 5'-H, 8'-H,), 8.23-8.26 (m, 1H, 7'-H) 8.36 (s, 1H, N=CH), 8.39 (s, 1H, 4'-H), 11.33 (s, 1H, N-NH), 12.02 (s, 1H, 1'-NH).; 13C NMR (DMSO-d6) δC: 23.8 (4'', 6''-CH3), 110.3 (C-5''), 122.5 (C-7'), 125.1 (C-5'), 126.6 (C-8'), 128.6 (C-4a'), 129.2 (C-4'), 132.9 (C-3'), 133.7 (C-methylene), 134.9 (C-6'), 144.4 (C-8a'), 159.2 (C-4'', 6''), 161.8 (C-2'), 167.6 (C-2''); MS (ES+) m/z Observed [M+2]+: 373.04, calcd.: 371.04.
DNA Photocleavage activity
The photocleavage of plasmid DNA was determined by agarose gel electrophoresis. The experiments were performed in a volume of 10 μl containing the plasmid DNA in TE (Tris 10 mM, EDTA 0.01 mM, pH 8.0) buffer in presence of 40 μg of the synthesized compounds. The samples were taken in polyethylene microcentrifuge tubes, which were then irradiated for 30 min at room temperature in trans-illuminator (8000mW/cm) at 360 nm. Further, the samples were incubated at 37°C for one hour. 6X loading dye containing 0.25% bromophenol blue and 30% glycerol (8 μl) was mixed with an irradiated sample. The analysis of samples was carried out on 0.8% agarose horizontal slab gel in Tris-Acetate EDTA buffer (40 mM Tris, 20 mM acetic acid, 1 mM EDTA, pH: 8.0). Untreated plasmid DNA was maintained as a control in each run of gel electrophoresis which was carried out at 5V/cm for 2.0 h. Gel was stained with ethidium bromide (1 µg/mL) and photographed under UV light [20].
RESULTS AND DISCUSSION
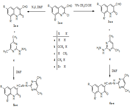
Quinoline-3-carbaldehydes and 2-Hydrazino-4,6-dimethyl pyrimidine were used as starting materials for synthesis hydrazones (Scheme 1). First, 2-thioxoquinoline-3-carbaldehydes 2a-e were treated with 2-hydrazino-4,6-dimethylpyrimidine 4 in DMF to give 2-thioxoquinolinepyrimidinyl hydrazones 5a-e. In the similar way, 2-Oxoquinolinepyrimidinyl hydrazones 6a-e were also prepared from 2-oxoquinoline-3-carbaldehydes 3 and 2-hydrazino-4,6-dimethylpyrimidine 4 in DMF.
The formation of compounds 5 and 6 have been confirmed due to appearance of the characteristics bands in a range 3320-3210 cm-1 due to –NH stretching of hydrazone group in IR spectra and two characteristics singlets at δ 8.20-8.75 and δ 11.1-12.1 due to N=CH and N-NH proton in 1H NMR spectra, respectively. The results are also supported by mass spectra.
Scheme 1: Synthetic scheme for 2-(Thioxo/ Oxo)quinoline-4,6-dimethyl pyrimidinyl hydrazones (5 and 6)
The heterocyclic compounds containing conjugated C=N bond system have ability to cleave DNA photochemically due to the generation of photoexcited (n- π*) state which would have radical character [24]. In a recent communication, compounds having quinoline or pyrimidine pharmacophore have been reported for DNA cleavage photochemically[7, 25]. The compound with C=S group showed significant DNA photocleavage activity.
The bromo group containing compound of this category showed complete cleavage of DNA. The ability of synthesized compounds to interact with plasmid DNA and induce cleavage is shown in the electrophoretogram (Figure 1). All solutions were prepared in DMSO. The compounds 5e showed complete cleavage while 5a, 5b and 6e showed significant nicking in DNA.
CONCLUSION
In this work, we have reported the synthesis of new hydrazones having quinoline and pyrimidine motifs which were characterized by IR, 1H NMR, 13C NMR, mass spectral data and elemental analysis. The synthesized compounds were screened for their DNA photocleavage activity at 40 μg/μl concentration. The compounds having bromo and thio group showed good DNA photocleavage activity.

Fig. 1: Gel electrophoretogram of compounds (5a-e) and (6a-e)
C: DNA (control); Lane-(i): DNA + 5a; Lane-(ii): DNA+ 5b; Lane-(iii): DNA+ 5c; Lane-(iv): DNA+ 5d; Lane-(v): DNA+ 5e; Lane-(vi): DNA+ 6a; Lane-(vii): DNA+ 6b; Lane-(viii): DNA+ 6c; Lane-(ix): DNA+ 6d; Lane-(x): DNA+ 6e.
REFERENCES