
1Pfizer Limited, Pfizer Center, Mumbai 400102, Maharashtra, India, 2Department of Pharmaceutical Chemistry, GITAM Institute of Pharmacy, GITAM University, Visakhapatnam 530045, Andhra Pradesh, India.
Email: sraja61@gmail.com
Received: 30 Aug 2016 Revised and Accepted: 05 0ct 2016
ABSTRACT
Benzimidazole nucleus is one of the most important heterocycles exhibiting remarkable pharmacological activities. Numerous method for the synthesis of benzimidazole and also their diverse reactions offer enormous scope in the field of medicinal chemistry. Various reported biological activities (analgesic, anti-inflammatory, anthelmintic, anticancer, anthelmintic, antioxidant, antitubercular, and antiviral activity) of bezimidazole are collected and summarized here. Large numbers of drugs are available to treat various diseases, but they are associated with some drawbacks like resistance, toxicities and other adverse effects. To combat with these problems there is need to discover and synthesize newer chemical entities with better efficacy and novel mechanism of action. The benzimidazole ring is an important pharmacophore in modern drug discovery. The synthesis of novel benzimidazole derivatives remains a main focus of medicinal research. There is still scope for more research work to be done in this field to find a novel agent. The versatility of new generation benzimidazole would represent a fruitful pharmacophore for further development of better medicinal agents. Therefore this substrate has a tremendous scope for the discovery of new, better, safe and more potent biological agents.
Keywords: Benzimidazole, Analgesic activity, Anti-inflammatory activity, Anthelmintic activity, Anticancer activity, Anthelmintic activity, Antioxidant activity, Antitubercular activity, Antiviral activity
© 2016 The Authors. Published by Innovare Academic Sciences Pvt Ltd. This is an open access article under the CC BY license (http://creativecommons.org/licenses/by/4. 0/)
DOI: http://dx.doi.org/10.22159/ijpps.2016v8i12.14949
INTRODUCTION
Research documented in literature on heterocyclic compounds proved the wide spectrum of pharmacological properties occurring naturally as well as synthetically. The heterocyclic compound is a carbocyclic compound in which at least one atom other than carbon atom forms a part of the ring system. Besides the most common atoms like N, O and S, the other heteroatoms are known widely. Furthermore there is rapid rise in number of heterocyclic compounds. The life essential heterocyclic compounds are vitamins, antibiotics, hormones, alkaloids, synthetic drugs and dyes. Therefore, heterocyclic chemistry knowledge is useful for biosynthesis, drug metabolism, heredity and evolution. A synthetic heterocyclic compound exists as valuable intermediates in synthesis with numerous important therapeutic applications [1].
Benzimidazole 1 (fig. 1) is a one such important heterocyclic compound. It consists of a benzene ring fused with an imidazole ring at its 4, 5-positions. The various positions on the benzimidazole ring are numbered in the manner as indicated in the fig. 1, with the imino function as number one. Benzimidazoles possessing free imino hydrogen are tautomeric systems. The two possible tautomeric forms of benzimidazole and of those of its derivatives possessing a plane of symmetry are identical, and a definite assignment of structure is possible. A variety of chemical modifications were carried out so far around the benzimidazole backbone (core) to improve its various biological activities [2-3]. Benzimidazoles have emerged as important heterocyclic compound because of their broad spectrum of biological activities [4-5]. In this review, various activities (analgesic, antiinflammatory, anthelmintic, anticancer, anthelmintic, antioxidant, antitubercular, and antiviral activity) of benzimidazole and its derivatives were summarized and reported.
Fig. 1: Structure of benzimidazole 1
Analgesic and antiinflammatory benzimidazoles
Mayank et al. [6] reported the synthesis of a series of novel of 3-(2-((benzo[d]thiazol-2-ylthio) methyl)-1-benzyl-1H benzo[d]imidazol-6-yl)-4-iminothiazolidin-2-one 2 (fig. 2) by cyclization method. All the compounds were evaluated for antiinflammatory by carrageenan induced rat paw edema method and analgesic activity by acetic acid induced writhing method. Antiinflammatory activity shows that only one compound possess potent antiinflammatory activity while remaining compound showed moderate activity when compared to standard diclofenac sodium. Analgesic activity reports revealed that compared to standard drug diclofenac sodium it was found that only (E)-4-(3-methoxypropylimino)-3-(2-((benzo[d]thiazol-2-ylthio)methyl)-1-benzyl-1Hbenzo[d]imidazol-6-yl)thiazolidin-2-one and (Z)-3-(2-((benzo[d]thiazol-2-ylthio)methyl)-1-benzyl-1Hbenzo[d]imidazol-6-yl)-5-benzylidene-2-iminothiazolidin-4-one showed potent analgesic activity while remaining compound exhibited moderate activity. Sahoo et al. [7] synthesized some novel thiazolidin-4-one derivatives bearing benzimidzole nucleus 3 (fig. 2). The compounds were evaluated for in vitro antiinflammatory as cyclooxygenase inhibitors and antioxidant activity was carried out by hydrogen peroxide radical scavenging method.
A novel series of 2-substituted benzimidazole derivatives 4 (fig. 2) were synthesized by the reaction of 2-chloro methyl benzimidazole with substituted primary aromatic amines by Gurusamyet al. [8]. The synthesized derivatives were screened for analgesic activity by tail flick method in mice and antiinflammatory activities by carrageenan induced rat paws edema method. From the results it was found that most of them having significant analgesic and antiinflammatory activities. All the compounds showed significant effect at 100 mg/kg p. o. and the experimental data are statistically significant at p<0.01 level. In order to identify GI safe antiinflammatory and analgesic agents, a series of novel 1,2 and 5-substituted benzimidazole derivatives 5 (fig. 2) were synthesized and biologically evaluated by Monika et al. [9]. The antiinflammatory activity of all the test compounds was carried out in rats by the carrageenan-induced rat paw edema model test with interesting activity ranging from 20.90-46.27%. The in vitro antioxidant activity for all the newly synthesized compounds was performed by FRAP assay based on the reduction of a colorless Fe3+-tripyridyltriazine complex into a blue-colored Fe2+-tripyridyltriazine complex. Further, the results suggested that some of title compounds were found to possess encouraging antiinflammatory and analgesic activity with significant reduction in ulcerogenic side effect. The absence of gastric damage may be attributed to their antioxidant properties [10]. The results demonstrated that the some of the synthesized compounds could serve as gastro protective lead compounds for developing a novel class of potent as well as orally active antiinflammatory and analgesic agents in the future research.
A new series of 2-substituted benzimidazole Schiff bases and its azetidinone and thiazolidinone derivatives 6 (fig. 2) were synthesized from o-phenylenediamine and p-amino benzoic acid by Abhay et al. [11]. The synthesized compounds were screened for antibacterial (Bacillus subtilis, Staphylococcus aureus, Escherichia coli and Salmonella typhi), antifungal (Candida albicans and Aspergillus niger) activity by disc diffusion method, analgesic activity by tail flick method and antiinflammatory activity by carrageenan induced paw oedema method. The synthesized compounds showed significant activity of antibacterial, antifungal, analgesic and antiinflammatory activity comparable to that of Ciprofloxacin, Ketoconazole, Paracetamol and Aspirin, respectively. To synthesize various novel 2-substituted benzimidazole 7 (fig. 2), Rekha et al. [12] treated 6-chloro-5-fluoro-1H-benzo[d]imidazol-2-amine with various aromatic aldehyde and nickel nitrate using methanol as solvent. The novel 2-substituted benzimidazole was evaluated for their in vitro and in vivo antiinflammatory activity by BSA (Bovine serum albumin) method and mercury displacement method, respectively. All of the synthesized compounds showed good anti-inflammatory activity. However the anti-inflammatory activity of the synthesized compounds was found to be less than that of respective standard drug at tested dose level.
Weiming et al. [13] synthesized 2-[3-(4-morpholino)propylthio]-5-(difluromet hoxy) benzimidazole derivatives 8 (fig. 2). The synthesized compound was better antiinflammatory effect than Aspirin and better analgesic activity than Indomethacin and lower gastric ulcer. The series of new 5-ethoxy-2-substituted benzimidazole derivatives 9 (fig. 2) have been prepared by Sandeep et al. [14]. They prepared various novel benzimidazole derivatives from o-phenylenediamine derivatives. These derivatives were tested for antiinflammatory activity by using carrageenan induced rat paw edema method. Most of the obtained compounds exhibited antiinflammatory activity, especially some of the compound showed significant activity when compared with that of ibuprofen used as standard drug. Marippan et al. [15] synthesized [1-(N-substituted amino) methyl]-2-ethylbenzimidazole derivatives 10 (fig. 2) by the condensation of 2-ethyl benzimidazole with substituted primary and secondary amines. They were evaluated for anti-inflammatory by carrageenan-induced paw edema in rats and analgesic activity by tail-flick method. Perusal of the results on their analgesic activity revealed that almost all of them exert significant activity. When compared with the control, all the compounds showed reduction in edema volume with prominent percentage inhibition to the inflammatory response ranging from 17 to 29 % at the 4th hour of observation. Kishore et al. [16] described alkylation studies on pyrazolyl and isoxazolyl benzimidazoles 11a and 11b (fig. 2). The compounds were evaluated for their antiinflammatory activity by carrageenan-induced paw edema method and found to possess moderate activity.
Jayanti et al. [17] performed microwave assisted transformation of benzimidazolyl chalcones into N1-substituted pyrazolines 12 (fig. 2). The synthesized compounds were screened for their anti-inflammatory activity by carrageenan-induced paw edema method and antimicrobial activity by agar well diffusion method against diclofenac sodium and ciprofloxacin and ketoconazole, respectively. Kalirajan et al. [18] synthesized Mannich bases of 2-substituted banzimidazoles like 2-(1H-benzo[d]imidazol-2-yl) benzoic acid and 2-methyl benzimidazole 13 (fig. 2). Against various Gram positive, Gram negative bacteria and various fungal stains the compounds were screened for their antimicrobial activity by cup-plate method. With that of standard (ampicillin and ketoconazole) many compounds showed comparable activity. By HRBC membrane stabilization method the compounds were also evaluated for their in vitro antiinflammatory activity. When compared with standard drug Ibuprofen all the compounds have highly significant activity, with percentage of inhibition to the inflammatory response ranging from 64 to 77 %. Priyadarsini et al. [19] synthesized thiazolyl and benzimidazo quinazolines 14a and 14b (fig. 2) from anthranilic acid. Using agar diffusion method the preliminary antibacterial and antifungal screening of the synthesized derivatives were studied. The title compounds were tested against Streptococcus pyogen (Gram positive) Pseudomonas aeurginosa, Escherichia coli (Gram negative) and Aspergillus niger and Candida albicans (Fungi) using DMSO as a control. Amoxycillin and griseofulvin was used as standard for antibacterial and antifungal activity, respectively. Paw volume was measured by mercury displacement in a plethysmograph after 3 h and 24 h of injection of carragennan. Analgesic activity was screened by hot plate and tail flick methods.
Shivkumar et al. [20] synthesized 3-aryloxy methyl-4-[2-(benzimidazolyl thio) acetamide]-5-mercapto-1,2,4-triazoles 15 (fig. 2) by reaction between aryloxy acid hydrazides with alcoholic KOH and CS2, which on cyclised with 2-(benximidazolyl thio)methyl acetic acid hydrazide. Antibacterial study of synthesized compounds reveals that none of the compound showed promising activity, hence there is need for further structural modification to improve the efficacy of the compounds. From the results of antifungal activity it was found that, methyl group containing compound produced good activity which indicates the vital role of methyl group in antifungal activity of the title compounds.
Dubey et al. [21] synthesized 2-(thiomethyl-2’-benzimidazolyl) benzimidazole and its derivatives 16 (fig. 2). The synthesized compounds were tested for anti-ulcer activity. Lowest energy conformations of various 2-(substituted phenyl)oxazolopyridines, 2-(substitutedpyridinyl) benzimidazoles and 1H-bemzimidazoles 17 (fig. 2) antiinflammatory agent was calculated by Chakravarti et al. [22]. Using thermodynamic, electronic, and spatial descriptors, for each category of compounds the quantitative structure activity relationship analysis was performed. By leave-one-out cross validation method the resulting QSR equations were validated. Significant correlation ship was found between antiinflammatory activity and electronic parameter and spatial parameters.
Anthelmitic benzimidazoles
Shruti et al. [23] made an attempt to synthesize novel cinnoline benzimidazoles 18 (fig. 3) and evaluated them as therapeutic agent for their potential anthelmintic activity. Substituted cinnoline benzimidazole was synthesized by a multi-step synthesis. Initially, diazonium salt was prepared by the reaction of substituted anilines with mixture of concentrated hydrochloric acid and cold saturated solution of sodium nitrite at 0-5 °C. Latter, 3-chlorophenyl hydrazono (cyno) acetamide was prepared by the reaction of cyano acetamide with sodium acetate and alcohol. In the subsequent step 7-chloro-4-aminocinnoline-3-carboxamide was obtained by the treatment of 3-chlorophenylhydrazono (cyno) acetamide with anhydrous aluminium chloride and chlorobenzene in presence of nitrogen gas. In the last step substituted-4-(p-aminobenzimidazole) cinnoline-3-carboxamide was synthesized by a reaction of substituted-4-aminocinnoline-3-carboxamide with o-chlorobenzimidazole in DMF. All the synthesized compounds were evaluated for their anthelminti activity against Indian earthworms (Pheretima posthuma) and utilized for in vitro anthelminthic assay as per standard protocol. Faruk et al. [24] synthesized a series comprises 1 and 2-substituted-5-nitrobenzimidazole derivatives 19 (fig. 3) with the purpose of finding new chemical entities with enhanced antimicrobial activity. Antimicrobial activity against various bacteria and fungi strains was studied and also the anthelmintic activity was evaluated on adult Indian earth worm Pheretima posthuma. The results of preliminary biological tests showed that all the tested compounds showed significant antimicrobial activity and anthelmintic activity.
Aruna et al. [25] synthesized a series of N-(2-(1-benzo[d]imidazol-2-yl) phenyl)-substituted benzamines 20 (fig. 3) by using o-phenylenediamine and salicylic acid. Initially 2-(1H-benzo[d]imidazol-2-yl) phenol was synthesized which on bromination yielded 2-(2-bromo phenyl)-1H-benzo[d]imidazol-2-yl which on further reaction with aniline derivatives yielded title compounds. The anthelmintic activity was performed against Phaeritima posthuma species of earth worms by the identification of paralysing and death time using mebendazole as standard. A series of biologically active benzimidazole derivatives was reported by Gupta et al. [26]. Various novel benzimidazoles 21 (fig. 3) were synthesized by the reaction of o-phenylenediamine with the derivatives of benzoic acid in presence of 4N hydrochloric acid followed by the reaction with piperazine and formaldehyde to produce corresponding Mannich bases. All the title compounds were evaluated for their anthelmintic activity by the identification of paralyzing and death time using mebendazole as standard drug at a concentration of 2 mg/ml. In addition all the compounds were evaluated for antibacterial activity against gram positive bacterial strains like Bacillus subtilis and Streptococcus aureus, and gram negative bacterial strains like Escherichia coli and Pseudomonas aeruginosa by disc diffusion method using ciprofloxacin (50 μg/ml) as standard drug. The compounds were found to possess various degree of anthelmintic and antibacterial activity. The results of anthelmintic and antibacterial studies indicated that significant activity of the newly synthesized benzimidazole derivatives was found in derivatives with piperazine and N-methyl piperazine in combination with p-chloro and o-nitro benzoic acid.
Fig. 2: Structure of analgesic and anti-inflammatory benzimidazoles 2-17
A set of 2-substituted benzimidazoles 22 (fig. 3) were successfully synthesized by condensation of o-phenylenediamine with substituted acids in presence of ring closing agents like polyphosphoric acid/hydrochloric acid by Vaidehi et al. [27]. All the synthesized compounds were screened for anthelmintic activity by exposing the adult Pheritima posthuma to different concentrations of synthesized compounds using albendazole as standard drug. The potent active compounds of this series possess electron releasing groups like methyl, aryl, and amine on C-2 of benzimidazole ring. Manish et al. [28] synthesized 2-substituted benzimidazole derivatives 23 (fig. 3). The synthezised compounds were evaluated for mean paralysis and mean death time. Various new 2-substituted benzimidazole derivatives 24 (fig. 3) were synthesized, characterized, and tested for their anthelmintic potency by Vilasrao et al. [29]. The anthelmintic assay was performed in vitro, using adult earthworm (Eisenia fetida). N-[4-(1H-benzimidazol-2-yl)-phenyl]-acetamide, N-[4-(1H-benzimidazol-2-yl)-phenyl]-2-chloro acetamide, and furan-2-carboxylic acid-[4-(1H-benzimidazol-2-yl)-phenyl] amide exhibited excellent anthelmintic activities which are comparable to that of standard albendazole.
Kanthi et al. [30] synthesized 1-[bezimidazol-2-yl]-4-formyl-3-[(2’substituted phenyl)indole-3-yl]pyrazoles 25 (fig. 3) by the reaction with 3-acetyindole benzimidazol-2-yl hydrazones with 3-acetylindoles in ionic liquid [bmim]PF6 upon treatment with Vilsmeier Haack reagent undergo cyclization. The synthesized compounds were evaluated for their antihelmenthic activity against Indian earthworms (Pheretima posthuma) by standard in vitro anthelminthic assay method. Ramesh et al. [31] described the synthesis of a series of 2-phenylbenzimidazole-1-acetamide derivatives 26 (fig. 3) and their anthelmintic potential using Indian adult earthworms, Pheretima posthuma. Observations were made for the time taken to paralysis and death of individual worms. Out of various title compounds tested, few of these derivatives were found to exhibit better to paralyze worms whereas other compounds exhibited better to cause death of worms compared to the standard anthelmintic drug albendazole. The better activity is attributed to the presence of the electron withdrawing polar group at the fourth position of 2-phenyl ring of benzimidazole-1-acetamide. Sugumaran et al. [32] synthesized a series of 2,5-disustituted benzimidazoles 27 (fig. 3) by nitration of 2-alkyl/aryl benzimidazoles by using conc. HNO3 and conc. H2SO4. The synthesized compounds were evaluated for their antibacterial activity against gram negative bacterial species such as E. coli, and gram positive species such as Staphulococcus aureus, and S. epidermidis.
Nisheeth et al. [33] were synthesized a new series of amino-methylated 5-nitro-1H-benzo[d]imidazole,6-nitrobenzo[d]oxazole-2(3H)-ones and 4-nitroisoindoline1,3-diones 28 (fig. 3) as antileishmanial and antimicrobial agent. Manjunath et al. [34] synthesized tri heterocycles: [5’-(5’’-substituted-3’’-phenylindole-2’-yl)-1’,3’,4’-oxadiazol-2-yl-thiomehtyl]benzimadazoles 29 (fig. 3). They were evaluated for anthelmintic activity. Sreena et al. [35] synthesized some benzimidazole derivatives 30 (fig. 3) and screened their anthelminitic activity. o-Phenylenediamine was condensed with acids in presence of polyphosphoric acid and solvents like water and dilute hydrochloric acid to prepare benzimidazole derivatives. All the synthesized compounds showed significant anthelmintic activity. Among the synthesized compounds 2-phenylbenzimidazole showed potential anthelminitic activity (0.931±0.231 and 1.317±0.149 min for paralysis and death, respectively) when compared with the standard piperazine citrate.
Gaur et al. [36] synthesized β-benzimidazolyl-α-methyl crotonic acid-anilids, β-benzimidazolyl α-methyl crotonic acid amides, β-benzimidazoleyl methyl butyramids and β-benzimidazolyl α-methyl butyranilides 31 (fig. 3). The synthesized compounds were analyzed for anthelmintic activity. It was found that the m-chloro derivative showed maximum activity while p-methoxy derivative showed minimum activity. A correlation of Hammett substituent constant and activity is also discussed. Various anthelmintics belonging to the pharmacological group of benzimidazoles 32 (fig. 3) such as triclabendazole, fenbendazole, oxibendazole, parbendazole, thiabendazole, mebendazole, albendazole, flubendazole, and oxfendazole were tested and balanced for their in vitro and in vivo activity against an infection of rainbow trout Onchorhynchus myhss by Gyrodactylus by Tojo et al. [37]. The trout were also observed for signs of toxic reaction to the drugs. Despite their insolubility oxibendazole, albendazole, mebendazole, parbendazole, fenbendazole and triclabendazole, displayed anti-Gyrodactylus activity in vivo that increased with time of exposure to the drug. Over 12 h only by fenbendazole (1.5 mg I-1) and triclabendazole (25 mg I-1) complete efficacy (100 % reduction) with no toxic effects was achieved. From the results it was found that, thiabendazole, oxfendazole, and flubendazole were totally ineffective; oxibendazole and albendazole were less than 100 % effective and were toxic; mebendazole and parabendazole were nontoxic but less than totally effective.
Fig. 3: Structure of anthelmintic benzimidazoles 18-32
Anticancer benzimidazoles
The anticancer mechanism of a compound; 2-chloro-N-(2-p-tolyl-1H-benzo[d]imidazol-5-yl) acetamide 33 (fig. 4), toward breast cancer is reported by Chu et al. [38]. They demonstrated that this compound potently inhibited both EGFR and HER2 activity by reducing EGFR and HER2 tyrosine phosphorylation and preventing downstream activation of PI3K/Akt and MEK/Erk pathways in vitro and in vivo. They also showed that compound inhibited the phosphorylation of FOXO and promoted FOXO translocation from the cytoplasm into the nucleus, resulting in the G1-phase cell cycle arrest and apoptosis. Moreover, this derivative potently induced apoptosis via the c-Jun N-terminal kinase (JNK)-mediated death receptor 5 up regulation in breast cancer cells. The antitumor activity of this derivative was consistent with additional results demonstrating that it significantly reduced tumor volume in nude mice in vivo. Analysis of the primary breast cancer cell lines with HER2 over expression further confirmed that this analog significantly inhibited Akt Ser473 and Bad Ser136 phosphorylation and reduced cyclin D3 expression.
By condensation of some aromatic aldehydes with 1,2,4-triazole derivatives a series of some new Schiff base 34 (fig. 4) were synthesized by Noha et al. [39]. All of the tested derivatives displayed high activity against fungi (Candida albicans) during the biological screening of the synthesized compounds against microorganism. Against gram positive and gram negative bacteria some of the tested compounds showed high activity. Against breast carcinoma (MCF-7) and colon carcinoma (HCT116) cell lines, at low μg/ml level, three compounds showed the highest potency out of several tested derivatives. In order to rationalize the obtained biological results they also carried out docking calculations. A new class of Mannich bases, derivatives of 2-amino-1H-benzimidazole 35 (fig. 4), were obtained in the condensation of Schiff bases or 2-benzylaminobenzimidazoles with selected secondary amines such as morpholine, piperidine, N-methylpiperazine, N-phenylpiperazine, 1-(2-pyridyl)piperazine, 1(2-methoxyphenyl)piperazine, 1-(2-pyrimidinyl) piperazine, and formaldehyde in ethanol by Anna et al. [40]. The pyrimido [1,2-a]benzimidazole derivatives have been synthesized in the reactions of Schiff base with selected compounds containing active methylene group such as acetylacetone, benzoylacetone, and malononitrile. All compounds were screened against the cells of MV4-11 human leukemia and then the most active of them were tested towards human T47D breast and A549 lung cancer cells as well as normal mouse fibroblasts (BALB/3T3). The most active compound against the cancer cell lines was 4-amino-3-cyano-2-(4-hydroxyphenylene)-1,2-dihydro-pyrimido[1,2-a]benzimidazole (IC50 0.23±0.05 μg/ml against MV4-11 cells) showing in parallel very low cytotoxicity towards mouse fibroblasts. Cisplatin was the control drug (IC50 0.04±0.01 μg/ml).
A series of new benzimidazole derivatives 36 (fig. 4), earlier synthesized, was tested in vitro as new bioreductive prodrugs with the potential anticancer activity by Katarzyna et al. [41]. Their effect on the DNA destruction and growth inhibition into selected tumor cell lines at normoxia and hypoxia conditions was determined. The human lung adenocarcinoma A549 cell line was used to determine the anticancer activity of the analyzed compounds by using WST-1 assay. The apoptosis test (caspase 3/7 assay) was used to define the cytotoxic way of tumor cells death. Additionally test In situ DNA damage assay kit was applied to recognize the DNA destruction. Four of the examined compounds showed a very good antiproliferative effect and three of them are specific for hypoxia conditions. Out of various tested compounds, one of them was found to be most cytotoxic against human lung adenocarcinoma A549 cells at hypoxic conditions. Hypoxia/normoxia cytotoxic coefficient of compounds is close to hypoxia/normoxia cytotoxic coefficient of tirapazamine reference substance in their experiments and this parameter locates it between mitomycin C and 2-nitroimidazole (misonidazole). The screening test of the caspase dependent apoptosis proved that the exposure of compounds against A549 cells for a 48 h promote apoptotic cell death. Additionally, the test of the DNA damage established that compounds are specific agents for the hypoxia-selective cytotoxicity of nitrobenzimidazoles.
Rangaswamy and co-workers [42] designed, synthesized, and identified novel antiproliferative agents that can potently target cancer. They reported the synthesis of the new series of N-substituted-2-(2-butyl-4-chloro-1H-imidazole-5-yl)-1H-benzo[d]imidazole derivatives 37 (fig. 4) and evaluated their antitumor activity against HeLa cell lines. They identified the lead compound in the series and tested its antiproliferative and antiangiogenic properties against Ehrlich ascites tumor (EAT) bearing mice. From the study they identified 2-(2-butyl-4-chloro-1-heptyl-1H-imidazol-5yl)-1H-benzo[d]imidazole as a lead compound with the inhibitory concentration 50 % of 25.3 μM. The lead compound significantly decreases the angiogenesis in peritoneum of EAT bearing mice. From the study they concluded that benzimidazoles suppress the cell proliferation, peritoneal angiogenesis, and ascites volume. A simple and efficient synthesis of triazole 38 (fig. 4) was reported by Karna et al. [43] by treatment of 2-(4-azidophenyl)-1H-benzo[d]imidazole with different types of terminal alkynes in t-BuOH/H2O, sodium ascorbate, and Zn(OTf)2. The title compounds were screened for cytotoxicity assay and achieved good results. A series of new benzimidazole-linked 1,2,3-triazole congeners were synthesized through cyclization of terminal alkynes and azide. These synthesized congeners were evaluated for their cytotoxicity against five human cancer cell lines. These benzimidazole linked 1,2,3-triazole derivatives have shown promising activity with IC50 values ranging from 0.1 to 43 μM. Among them, few of compounds showed comparable cytotoxicity with adriamycin control drug.
A series of new benzimidazole dithiocarbamates 39 (fig. 4) were synthesized and evaluated for antitumor activity against three cancer cell lines (A-549, MDA-MB and HT-29) by Tangeda et al. [44]. The synthesized compounds were further subjected to the molecular properties studies using different softwares viz., Mol inspiration, Mol soft, and ALOPGPS 2.1 program. Toxicity parameters were calculated using Osiris Software 2.1. All compounds are nontoxic; fulfill the solubility requirements and passing oral bioavailability criteria. Among the series, compound with benzylamino side chain with 5-methyl group exhibited potent in vitro antitumor activity with IC50 values of 3.38±1.9 μg/ml when compared to cisplatin with IC50 of 10.7±1.5 μg/ml against MDA-MB cell lines. A series of new benzimidazole derivatives 40 (fig. 4) were synthesized and tested in vitro for possible anticancer activity by Katarzyna [45]. Their effect of proliferation into selected tumor cell lines at normoxia and hypoxia conditions was determined by WST-1 test. Additionally, apoptosis test (caspase 3/7 assay) was used to check the mode caused by the agents of cell death. Four of the examined compounds showed a very good antiproliferative effect and three of them were specific for hypoxia conditions. Screening test of caspase-dependent apoptosis proved that exposure to A549 cells for 48 h test compounds promoted apoptotic cell death.
Arfa et al. [46] prepared some derivatives of 2-(2´-pyridyl) benzimidazole 41 (fig. 4) and investigated their cytotoxic effect. The structure of the synthesized analogs were characterized and evaluated for their cytotoxic effect. When comparing the active derivatives, it was found that the compound containing un substituted phenyl moiety possessed lesser activity as compared to the substituted phenyl ring. It was also shown that substitution of different groups at the phenyl ring imparted varying degrees of cytotoxic potentials such as addition of chloro group at para position to the phenyl ring made the compound more potent. Similarly, derivatives possessing nitro group at o and m and p position loosed their potency. Substitution at the phenyl ring played a major role in determining the biological activity of the derivatives. The tested compounds exhibited the cytotoxicity in the following order chloro>phenyl>nitro>hydroxyl.
Selvin et al. [47] synthesized some novel 2-(4-amino-2-arylaminothiazol-5-oyl)-N-methylbenzimidazoles 42 (fig. 4) and evaluated for anticancer activity. Said et al. [48] synthesized benzimidazole derivatives 43 (fig. 4) and tested for antitumor activity using MTT assay and antimicrobial activity using disk diffusion assay and two fold serial broth dilution assay. The tested compounds showed weak anticancer activity. The synthesized compounds were evaluated for their cytotoxic and antimicrobial activity. A series of novel dithiocarbamates with benzimidazole and chalcone scaffold 44 (fig. 4) have been designed synthesized and evaluated for their antimitotic activity by Keerthana et al. [49]. In general it was found that acyclic amines showed less potency compared to cyclic groups. Two compounds of this series displayed the most promising antimitotic activity with IC50 of 1.66 µM and 1.52 µM, respectively.
Frauke et al. [50] synthesized non symmetrically substituted N-heterocyclic carbene (NHC) 45 (fig. 4) precursors by reacting 1H-(benz) imidazole with p-cyanobenzyl bromide. The NHC silver(I) acetate complexes were yielded by reacting these NHC precursors with silver(I) acetate. The silver(I)acetate complex was characterized by single crystal X-ray diffraction. Preliminary in vitro antibacterial studies against the Gram-positive bacteria Staphylococcus aureus and the Gram-negative bacteria Escherichia coli, using the Kirby-Bauer disc diffusion method, were carried out on the seven NHC-silver(I) acetate complexes. Also the IC50 values of these seven complexes were determined by an MTT based assay against the human renal cancer cell line Caki-1. Mohammed et al. [51] worked on the benzimidazole derivatives 46 (fig. 4) on HCT-116 colon cancer and MCF-7 breast cancer cell lines.
Patel and co-workers [52] synthesized variety of 2-(aryl)-1-(1H-benzo[d]imidazol-1-yl) ethanone and 2-(aryl)-1-(2-methyl-1Hbenzo[d]imidazol-1-yl) ethanone 47 (fig. 4). All the synthesized compounds were screened for cytotoxic activity by XTT based cell viability assay method using two human cell line VERO and NCI. Most of the tested compounds exhibited significant cytotoxic activity after 48 h which were compared with standard drug doxorubicin. Among all the compounds screened, two compounds were found to be the most potent in the series with 78.34 and 79.90 percentage inhibitions in NCI after 48 h. From the study they concluded that the cytotoxicity of the all synthesized molecules significantly increased as nitrogen function increase. Suthakaran et al. [53] synthesized 4’-aryl/alkyl-2’-aldosugar disubstituted bis-benzimidazoles 48 (fig. 4) from 2-mercapto benzimidazole and 2-methyl amino benzimidazole in the presence of formaldehyde and HCl. The compounds were screened for antitumor activity. Magdam et al. [54] worked on synthesis of 4-aryl/alkyl-1-[benzothiazol-2’-yl]-5-thio-1,2,4-trizolidin-3-one 49 (fig. 4) by novel route from 2-hydrazino benzimidazole by the reaction with carbonoxysulfide as well as ethyl chloroformate.
Fig. 4: Structure of anticancer benzimidazoles 33–49
Antihypertensive benzimidazoles
A quantitative structure activity relationship (QSAR) analysis of a set 90 benzimidazole analogues 50 (fig. 5) as angiotensin II (AII) AT1 receptor antagonists was performed by Anurekha et al. [55] to explore substitutional requirements for a favorable receptor drug interaction. The QSAR models were generated using Hansch analysis. Stepwise regression was carried out to derive a predictive model on 62 analogues. The predictive ability of the model developed was assessed using a test set of 28 compounds. The internal (correlation coefficient r2) and external consistency (predictive r2) of the final Hansch QSAR model was 0.83 and 0.33, respectively. nDB, RDF080u and R6u were the parameter shown the positive contribution for the biological activity and hence reveal that geometrical, structural, and shape descriptors govern the A II AT1 antagonistic activity. A new series of non-peptide angiotensin (A-II) receptor antagonist has been prepared by Mukesh et al. [56]. This N-(biphenyl methyl) imidazoles e. g. Some new 4'-{5-amino-2-[2-substituted-phenylamino)-phenyl-methyl]-benzimidazol-1-ylmethyl} -biphenyl-2-carboxylic acid derivatives 51 (fig. 5) were synthesized and identified by spectroscopic techniques. All compounds studied in this work were screened for their antihypertensive activity by tail cuff method and direct method measurement of blood pressure. From the study it was found that, at position 5 of benzimidazole amino group gives good activity.
A series of novel 3-chloro-4(4-chloro-phenyl-1-(4-{1-[2'-(2H-tetrazol-5-yl)-biphenyl-4-ylmethyl]-1H-benzimidazol-2yl}-phenyl)-azetidin-2-one derivatives 52 (fig. 5) were synthesized and reported by Sharma et al. [57]. By condensation reaction of azetidin-2-one derivatives with nitro compound containing aromatic aryl aldehydes with biphenyl tetrazole many Schiff bases were prepared. AT1 Angiotension (A II) receptor antagonist activity was determined for the synthesized compounds. Compared with losartan and telmisartan good activity was displayed by the nitro, chlorine, hydroxy, florine, iodo compound containing biphenyl tetrazole Schiff bases of azetidin-2-one.
Fig. 5: Structure of antihypertensive benzimidazoles 50-52
Antioxidant benzimidazoles
Sarika et al. [58] synthesized various new 2-methylbenzimidazole 53 (fig. 6) which is an important pharmacophoric group used in medicinal industry. They treated o-phenylenediamine with various carboxylic acids in the presence of polyphosphoric acid to obtain novel 2-methylbenzimidazole. The entire synthesized compound was screened for their antioxidant potential on the basis of the radical scavenging effect of the stable DPPH free radical assay. The antioxidant activity of the synthesized compound and ascorbic acid was tested at different concentrations such as 20, 50, 100, 200, and 400 g/ml. From the study they found that the antioxidant potency of title compounds was found to increase with the dose of compound. A novel derivative of 2-substituted benzimidazoles 54 (fig. 6) was prepared via Mannich reaction by Ritchu et al. [59]. They evaluated the title compounds for their in vitro antimicrobial activity against two gram negative strains (Escherichia coli and Pseudomonas aeruginosa), two gram positive strains (Bacillus subtilis and Staphylococcus aureus) and fungal strains (Candida albicans and Aspergillus niger). The synthesized compounds were also screened for antioxidant activity by DPPH method. The results revealed that all the synthesized compounds have a significant antioxidant and biological activity against the tested microorganisms. Ciprofloxacin was used as standard drug for antibacterial activity, clotrimazole was used as standard drug for antifungal activity, and ascorbic acid was used as standard drug for antioxidant activity.
Some new benzimidazole derivatives 55 (fig. 6) and their antioxidant properties are investigated by Arfa et al. [60]. Using DPPH radical scavenging, Superoxide scavenging, and iron chelating assays methods. Various novel benzimidazole analogs have been synthesized, characterized and evaluated for their in vitro antioxidant activity. The synthesized benzimidazole derivatives showed remarkable antioxidant activity. From the antioxidant reports, it was concluded that the antioxidant activity might be due to the phenolic group and the results obtained would be method dependent as most of the derivatives demonstrated the positive results by iron chelating assay method. Marhew et al. [61] synthesized α,β-unsaturated benzimidazole derivatives 56 (fig. 6) incorporated with barbitone moiety both by conventional and microwave assisted method by treating benzimidazole chalcones with barbituric acid in the presence of acetic acid.
A series of benzimidazole derivatives fused with oxadiazole ring system 57 (fig. 6) have been synthesized, characterized by UV, IR and 1H NMR spectral data and evaluated for their in vitro (BSA method) and in vivo antiinflammatory (mercury displacement method using plethysmograph) and antioxidant activity (DPPH method) by Rajasekaran et al. [62]. From antiinflammatory results it was observed that the compound with phenyl or pyridyl substituted oxadiazole ring fused to benzimidazole moiety through thioacetamide linkage have shown good antiinflammatory activity, and the compound with phenyl substituted oxadiazole fused to benzimidazole moiety through acetamide linkage has shown least activity, while other derivatives have shown moderate activity. All the compounds were found to show moderate antioxidant activity irrespective of the substitution however the compound with pyridyl substituted oxadiazole has shown good antioxidant activity within the series of compounds synthesized.
Fig. 6: Structure of antioxidant benzimidazoles 53-57
Antitubercular benzimidazoles
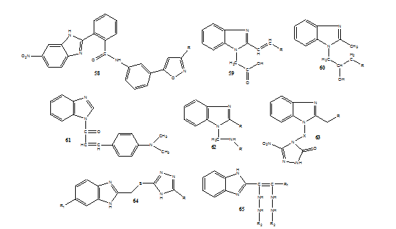
Neela et al. [63] synthesized benzimidazole isoxazoles 58 (fig. 7) by the reaction between 4-nitro-1,2-diaminobenzene, phthalic anhydride and p-amino acetophenone and gives N-(4-zcetylphenyl)-4-(5-nitro-1H-benzimidazol-2yl)benzamide and on condensation with different aldehydes yielded the chalcones, which are reacted with reagents like malononitrile and ammonium acetate, thiourea and hydroxylamine hydrochloride. All the compounds have been characterized elementary analysis. The synthesized compounds were evaluated for their antimicrobial and antitubercular activity. A new series of benzimidazoles acetic acid derivatives 59 (fig. 7) were synthesized by reacting 2(2-substitutedphenylethenyl)1H-benzimidazole with chloroacetic acid under reflux by Kale et al. [64]. All compounds were evaluated for antibacterial, antifungal and antitubercular activities. Most of the compounds have shown significant antibacterial, antifungal and antitubercular activity when compared with the standard drug.
Satish et al. [65] reported the synthesis of novel series of amino alcohol derivatives of 2-methyl benzimidazole 60 (fig. 7). These compounds have been synthesized by epoxide ring opening of 2-methyl benzimidazole with different substituted cyclic amines. These compounds were evaluated for their preliminary in vitro antibacterial activity against Gram positive (Staphylococcus aureus) and Gram negative (Escherichia coli) pathogens. Out of all tested compounds, few of the compounds showed moderate to good activity compared to standard drugs ciprofloxacin and norfloxacin. Further, these compounds were screened for their antitubercular activity against Mycobacterium tuberculosis H37Rv strain by MABA method. Two compounds were found to exhibit moderate antimycobacterial activity compared to standard isoniazid. Mathapati et al. [66] synthesized some substituted chalcones 61 (fig. 7) from acetylated benzimidazoles. The antimicrobial assay was performed by disc diffusion method and determined minimum inhibitory concentration by broth dilution method. The antimycobacterial screening was performed against M. tuberculosis Almar blue assay (ABA) and Luciferase reporter phase (LRPA) techniques using isoniazid as the standard.
Jadhav et al. [67] synthesized a new series of substituted benzimidazole derivatives 62 (fig. 7) by N-Mannich base reaction and structures of these compounds had been established on the basis of spectral analysis. The synthesized compounds were screened for antitubercular activities. Maste et al. [68] synthesized some benzimidazole acetic acid derivatives 63 (fig. 7) and also the derivatives associated with 1,2,4 triazolone and investigated their biological activities. A two different series of compounds were synthesized, 4-[(2-arylmethyl-1H-benzimidazol-1-yl) acetyl]5-nitro-2,4-dihydro-3H-1,2,4-triazol-3-one and 4-[(2-arylmethyl-1H-benzimidazol-1-yl)methyl]5-nitro-2,4-dihydro-3H-1,2,4-triazol-3-one. The compounds synthesized were screened mainly for the anti-tubercular activity using middle brook media method using H37Rv has shown very significant antitubercular activity when compared with the standard drug streptomycin. Remaining compounds have also shown moderate anti tubercular activity. The compounds synthesized were also screened for antibacterial and antifungal activities by MIC by agar plate dilution method. All the compounds have shown promising anti tubercular activity and good antibacterial and antifungal activity. The order of antitubercular activity of tested compounds was found to be Br>NO2>OCH3>Cl>OH. Bromo and nitro substituted compounds exhibited highest anti-bacterial activity, whereas methoxy, nitro and chloro derivative displayed better anti-fungal activity than other tested compounds.
Janardhana et al. [69] synthesized new series of benzimidazole derivatives by coupling 2-chloro-1H-benzimidazole and 2-(chloromethyl)-1H-benzimidazole with 3-aryl-5-mercapto-4H-1,2,4-triazoles 64 (fig. 7). Umaa et al. [70] synthesized and evaluated antitubercular activity of a series of 2-methyl-1H-benzimidazole hydrazide derivatives 65 (fig. 7).
Fig. 7: Structure of antitubercular benzimidazoles 58-65
Antiviral benzimidazoles
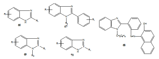
A series of novel benzimidazole derivatives 66 (fig. 8) bearing a heterocyclic ring as oxadiazole, thiadiazole, triazole were synthesized and evaluated for their activities against Coxsackie virus B3 and B6 in Vero cells by Reyila et al. [71]. Compounds with moieties of 2'-pyridyl, 3'-pyridyl and 4'-pyridyl at the 2-position and oxadiazoles, thiadiazole, or triazole substituent at the 4-or 5-position generally displayed activities against CVB3 and CVB6. Especially one compound (IC50 = 1.08 μg/ml, SI = 61.7 against CVB3) was the promising candidate as lead compound for antienteroviral drug. It was observed that the incorporation of heterocyclic rings in benzimidazole at the 5th position enhanced the biological activities. Seventy six 2-phenylbenzimidazole derivatives 67 (fig. 8) were synthesized and evaluated in cell-based assays for cytotoxicity and antiviral activity against a panel of 10 RNA and DNA viruses by Michele et al. [72]. The most commonly affected viruses were, in decreasing order, CVB-2, BVDV, Sb-1, HSV-1, and YFV, while HIV-1 and VSV were not affected, and RSV, VV and Reo-1 were only susceptible to a few compounds. Thirty nine compounds exhibited high activity (EC50 = 0.1-10 µM) against at least one virus, and four of them were outstanding for their high and selective activity against VV (EC50 = 0.1 µM) and BVDV (EC50 = 1.5, 0.8, and 1.0 µM, respectively). The last compounds inhibited at low micromolar concentrations the NS5B RdRp of BVDV and also of HCV, the latter sharing structural similarity with the former. The considered compounds represented attractive leads for the development of antiviral agents against poxviruses, pestiviruses and even HCV, which are important human and veterinary pathogens. Ashish et al. [73] synthesized N-substituted-benzimidazole derivatives 68. The synthesized compounds were screened for Tobacco mosanic viruses and Sunhemp rosette viruses.
To improve antihelical activity of analogues of 1H benzotriazole and 1H-benzimidazole their N-alkyl derivatives 69 (fig. 8) were synthesized and tested for antihelicase activity against enzymes of selected Flaviviridae including hepatitis C virus (HCV), West Nile virus (WNV), Dengue virus (DENV) and Japanese encephalitis virus (JEV) by Maria et al. [74]. N-alkylation of benzotriazole compound enhanced inhibitory activity and selectivity towards the helicase activity of HCV NTPase/helicase.
The most active were the 2-methyl, 2-ethyl and 2-propyl derivatives (IC50~6.5 μM in the presence of DNA as a substrate). Derivatives of the benzotriazole in which hydroxyethyl or chloroethyl replaced the alkyl substituents lost their inhibitory activity. Brominated or methylated benzotriazole N(1) ribosides also did not exert helicase inhibitory activity. Although a number of N(1) and N(2) alkyl derivatives exerted good HCV and WNV helicase inhibitory activity when DNA was used as substrate, the activity was strongly decreased or even disappeared when RNA was used as substrate. The cytotoxicity tests in Vero and HeLa Tat cells showed a substantial decrease of cytotoxicity of N-alkyl derivatives as compared to the parent benzotriazole. Igor et al. [75] studied the virus inhibitory activity and selectivity of a series of benzimidazole and benzotriazole derivatives 70 (fig. 8) with influenza B virus in the chorioallantoic membrane in vitro and with poliovirus type 2 in monkey kidney cell cultures. The results obtained confirm the earlier conclusion that extensive substitution in either the benzenoid or the imidazole ring frequently gives compounds of very high virus inhibitory activity. They described cytopathic effects of 2-(α-hydroxybenzyl) benzimidazole as an inhibitor of poliovirus multiplication. Evidence also presented concerning structural features of 2-(α-hydroxybenzyl) benzimidazole which are of importance for its selective virus inhibitory action.
Fig. 8: Structure of antiviral benzimidazoles 66-70
Miscellaneous active benzimidazoles
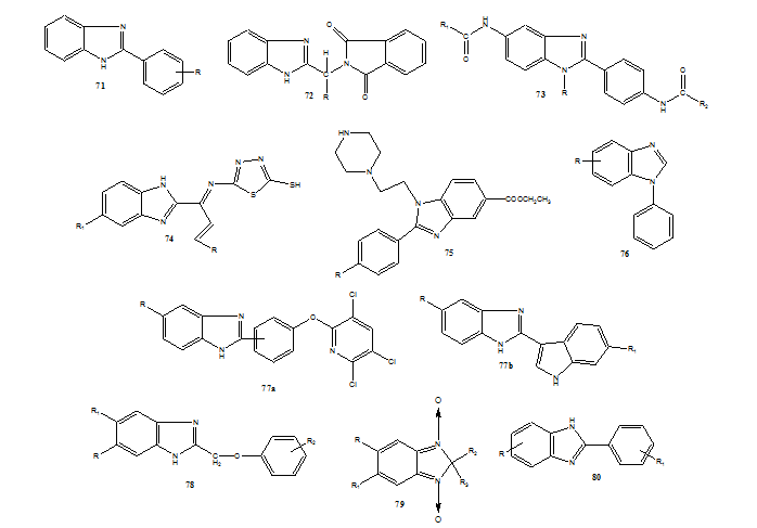
Gollapalli et al. [76] synthesized some novel benzimidazole derivatives 71 (fig. 9) under green synthesis by solvent free conditions using catalytic amount of silica supported sodium hydrogen sulphate by a muti step synythesis. All the synthesized compounds were tested for their anti-anxiety and neurotoxicity activities by elevated plus maze test in mice. Test compounds and diazepam was administered intraperitoneally in antianxiety study at dose of 2 mg/kg. Two compounds showed highest antianxiety activity compared to diazepam and did not shown neurotoxicity in rotarod test. Rest of all compounds exhibited moderate to significant antianxiety activity. New benzimidazole and pyrimidine derivatives 72 (fig. 9) were successfully synthesized efficiently in high yield with high purity, starting from amino acids in the presence of phosphorus oxychloride (POCl3) in an endeavor to find a novel series of antihyperglycemic agents by Akbar et al. [77]. All products were assayed for their inhibitory effects on yeast and rat intestinal α-glucosidases. The results revealed that compounds with aromatic amino acids moiety showed significant inhibition activity on the tested enzymes. Two of the benzimidazole derivatives exhibited the best activity against both of the tested enzymes among the synthesized compounds. The IC50 values for the most potent benzimidazole yeast and intestinal α-glucosidases inhibitor were found to be 9.1 and 36.7 μM, respectively. The IC50 values for the inhibition of yeast and intestinal α-glucosidases by the most active pyrimidine compound were calculated to be 8.3 and 21.8 μM, respectively.
Mukesh [78] performed the two-dimensional (2D) QSAR studies of a series of substituted 2-phenylbenzimidazole analogues 73 (fig. 9) to elucidate the structural properties required to inhibit IgE response. The 2D-QSAR studies were performed using three statistical methods: the multiple linear regressions, giving square of correlation coefficient r2 = 0.8386, cross validated squared correlation coefficient q2 = 0.7218 and predictable ability pred_r2 = 0.7525; Multiple linear regression (MLR). The results showed that the proposed 2D-QSAR models are valid and that they can be applied to predict the activities of substituted 2-phenylbenzimidazole as inhibitors of IgE response. Mathew et al. [79] synthesized some novel imines 74 (fig. 9) of 5-amino-1,3,4-thiadizole-2-thiol by using 1-(1H-benimidazole-2-yl)-3-substituted phenylprop-2-en-1-ones and 5-amino-1,3,4-thiadiazole-2-thiol in presence of conc. HCl. All these derivatives were predicted as sleeping disorder treatment as well as muco membranous protector.
Yoon et al. [80] synthesized a new series of novel polar benzimidazoles 75 (fig. 9) using starting material 4-fluro-3-nitrobenzoic acid. The compounds were screened for their acetyl cholinesterase inhibitory activities. A series of 1-phenyl-X-benzimidazole 76 (fig. 9) that already tested for their inhibitory action against the PDGF-β-receptor tyrosin kinase were subjected to QSAR study using the quantum chemical descriptors; εHOMO, εLUMO, ΔΕ,η, χ, S and Mullikan atomic charges by Rita et al. [81]. In this study several QSAR equations were formulated which was able to explain 86-93 % of the variance in the data. R2 values were in the range 0.86-0.93 while s values were in the range 0.06-0.27. Atomic charges on the nitrogen atoms was found to have important role in determining the biological activity of the studied benzimidazoles, since the activity increases with increasing charge on nitrogen atom number 1, and it could be concluded that biological activity may be improved if the phenyl ring in these molecules is substituted by electron donating substituent.
Novel pyridinyloxyphenyl benzimidazole and indolyl banz-imidazoles 77a and 77b (fig. 9) have been synthesized by Radha et al. [82]. They studied the antimicrobial, cytotoxic, and diuretic potency of a title compounds. The antimicrobial activity was carried out by cup plate method against four strains of Gram positive (B. subtilis, S. aureus), and Gram negative (P. aeruginosa, E. coli) bacteria and two strains of fungi (C. albicans, A. niger). Cytotoxicity screening was done using EAC cell lines by trypan blue dye exclusion method. Diuretic activity was determined by Lipschitz method. Rane et al. [83] synthesized 5-substituted and 5,6-disubstitued-2-phenoxymethylbenzimidazoles 78 (fig. 9) from 5-substituted and 4,5-disubstitued o-phenylenediamines with simple or substituted phenoxy acetic acids in 4N HCl. The synthesized compounds were screened for their biological activities.
Exploring the influence of different substitution patterns fifteen new derivatives of 2H-benzimidazole-1,3-dioxide derivatives (BzNO) 79 (fig. 9) were prepared by Mariana et al. [84]. Initially the BzNO were tested against Trypanosoma cruzi Tulahuen 2 strain epimastigote form rendering very potent antiT. cruzi agents. Moreover, the BzNO were abled to inhibit the growth of virulent and resistant to benzimidazole strains (CL Brener clone, Colombiana, and Y strains) and to Leishmania braziliensis. Interestingly, BzNO exhibited very high selectivity index and particularly the spiro-BzNO provokes an important diminution of amastigotes in Vero cells. Besides, it was found a diminution of acetate and glycine as excreted metabolites but without increase of parasite glucose uptake indicating that the glycosome is probably not involucrate in the 2H-benzimidazole-1,3-dioxides mechanism of action. Nannapaneni et al. [85] synthesized benzimidazole compounds 80 (fig. 9) from the condensation reaction between o-phenylenediamine and various carbonyl compounds in the presence of ammonium chloride as catalyst. The synthesized compounds were screened for acute and chronic antianxiety activity in Wistar rats by using standard Diazepam.
Fig. 9: Structure of miscellaneous active benzimidazoles 71-80
CONCLUSION
The benzimidazole ring is an important pharmacophore in modern drug discovery. Attention has been gradually more given to the synthesis of benzimidazole derivatives as a source of new biological agents. The benzimidazole derivatives are a resource for further medicinal research. The knowledge gained by various researches has recommended that substituted benzimidazoles and heterocycles, which are the structural isosteres of nucleotides, allow them to interact easily with the biopolymers, possess pharmacological activity with lower toxicities. Changes in the benzimidazole structures have offered high biological activities that have proven useful for the development of new medicinal agents having improved potency and lesser toxicity. The present review highlights the various synthesized benzimidazoles and their derivatives possessing various activities such as analgesic, antiinflammatory, anthelmintic, anticancer, anthelmintic, antioxidant, antitubercular, antiviral, antianxiety, acetylcholinesterase inhibitory, and diuretic activity.
ACKNOWLEDGEMENT
Authors are thankful to the management of GITAM Institute of Pharmacy, Visakhapatnam and Pfizer limited, Mumbai for providing necessary facilities to carry out this work successfully.
CONFLICTS OF INTERESTS
Declared none
REFERENCES
How to cite this article