
Department of Pharmacy, Faculty of Pharmacy, Kindai University, 3-4-1 Kowakae, Higashi-osaka, Osaka 5778502, Japan
Email: kawase@phar.kindai.ac.jp
Received: 30 Aug 2016 Revised and Accepted: 05 0ct 2016
ABSTRACT
Objective: Various nutrients such as glucose and cholesterol affect the expression of hepatic transporters. Although the pharmacokinetics of some drugs is affected by fasting, the fasting effects on drug hepatic disposition via alterations in transporters are unclear. Organic anion-transporting polypeptides and multidrug resistance-associated protein 2 (Mrp2/Abcc2) expressed in the liver are involved in hepatic disposition of pravastatin.
Methods: An in situ perfused rat liver system was established. The mRNA and protein levels of transporters in the liver were examined by real-time reverse transcription PCR and western blotting. The localization of Mrp2 in hepatocytes was determined by immunostaining.
Results: Pravastatin was rapidly eliminated from the perfusate. The cumulative biliary excretion amounts of pravastatin in fasting rats were significantly lower from 10 min compared with control. In fasting rats, the area under the plasma concentration-time curve (AUC)0‒∞ of pravastatin in the perfusate was significantly decreased, and hepatic clearance (CLh) and hepatic corrected clearance (CLcor) were significantly increased. The biliary clearance (CLbile) in fasting rats tended to decrease compared with that in control rats. Protein expression levels of transporters were unchanged after fasting. Confocal microscopy revealed a disruption of Mrp2 and ZO-1 colocalization in the liver of fasting rats.
Conclusion: The biliary excretion of pravastatin was inhibited by fasting via decreased Mrp2 localization on the canalicular membrane.
Keywords: Pravastatin, Fasting, Transporter, Perfusion, Starvation
© 2016 The Authors. Published by Innovare Academic Sciences Pvt Ltd. This is an open access article under the CC BY license (http://creativecommons.org/licenses/by/4. 0/)
DOI: http://dx.doi.org/10.22159/ijpps.2016v8i12.14950
INTRODUCTION
Increases in plasma fatty acids and ketones, and a decrease in plasma glucose levels are observed upon fasting or short-term calorie restriction, and fatty acids are the main energy source during fasting [1, 2]. In mouse models of fasting, a 14-fold increase in triglyceride content was observed compared with the control [3]. Fasting also induces alterations in the gene expression of enzymes involved in lipid metabolism [4, 5]. It has been reported that drug pharmacokinetics was affected by fasting [6, 7].
Solute carrier (SLC) and ATP-binding cassette (ABC) transporters expressed in the liver are involved in hepatic disposition of some drugs. For example, organic anion-transporting polypeptides (Oatp/Slc21 family) in SLC transporters are expressed on the basal side of hepatocytes and transport various drugs such as 3-hydroxy-3-methylglutaryl coenzyme A(HMG-CoA) reductase inhibitors (statins) [8-11]. Multidrug resistance-associated protein 2 (Mrp2/Abcc2) in ABC transporters is expressed on the apical side of hepatocytes, and transports drugs and drug metabolites such as glucuronides [12-14]. Various nutrients such as glucose and cholesterol affect the expression of hepatic transporters [15-18]. However, it is unclear whether fasting affects hepatic drug disposition via alterations in the expression of transporters.
Pravastatin is an HMG-CoA reductase inhibitor and is a substrate of Oatp and Mrp2. Pravastatin is selectively distributed to the liver followed by enterohepatic circulation after biliary excretion in an unchanged form [12, 13]. Therefore, pravastatin is well suited for examining the effects of fasting on hepatic disposition of drugs via alterations in the expression and function of transporters.
We examined the hepatic disposition of pravastatin in an in situ perfused rat liver system. The in situ perfused rat liver model enables investigation of drug hepatic transport. We also determined the mRNA and protein levels of Oatp1a1, Mrp2, Mrp3, bile salt export pump (Bsep), nuclear receptor constitutive androstane receptor (CAR), and pregnane X receptor (PXR) in the liver, and the localization of Mrp2 in hepatocytes based on the known internalization of Mrp2 from the canalicular membrane [19-21].
MATERIALS AND METHODS
Compounds and reagents
Pravastatin (sodium salt) and imipramine as an internal standard for (high performance liquid chromatography) HPLC analysis were purchased from LKT Laboratories (St. Paul, MN, USA) and Sigma Aldrich (St. Louis, MO, USA), respectively. Rabbit polyclonal anti-Oatp1 antibody (Alpha Diagnostic Intl., San Antonio, TX, USA), mouse monoclonal anti-Mrp2 antibody (M2III-6) (Abcam, Cambridge, UK), mouse monoclonal anti-Mrp3 antibody (M3II-9) (Abcam), rabbit polyclonal anti-Bsep antibody (Abcam), mouse monoclonal anti-β-actin (Acris Antibodies, Herford, Germany), peroxidase-labeled goat anti-mouse IgG antibody (KPL, Gaithers-burg, MA, USA), peroxidase-labeled rabbit anti-rat IgG antibody (Life technologies), rat monoclonal anti-zonula occuludens (ZO)-1 antibody (JS007) (Novus Biologicals, Littleton, CO, USA), CF568 goat anti-mouse IgG antibody (Biotium, Hayward, CA, USA), and CF633 goat anti-rat IgG antibody (Biotium) were commercially obtained. TRIzol and Mem-PER Eukaryotic Membrane Protein Extraction Kit were obtained from Life Technologies (Carlsbad, CA, USA) and Thermo Fisher Scientific (Waltham, MA, USA), respectively. BCA Protein Assay Kit was purchased from Pierce Biotechnology (Rockford, IL, USA). All other chemicals and solvents were of the best purity commercially available or of HPLC grade.
Animals
Eight-week-old male Sprague-Dawley rats were purchased from Japan SLC (Shizuoka, Japan). Animals were housed in a temperature-controlled room with free access to standard laboratory chow (MF diet, Oriental Yeast, Tokyo, Japan) and water. Rats were fasting for 48 h with only water as fasting group. Blood samples (100 µl) were collected from the tail vein in the animals at 48 h after onset of fasting. The plasma levels of ketone were determined by Osaka Kessei Research Laboratories (Osaka, Japan). The study protocol was approved by the Committee for the Care and Use of Laboratory Animals of the School of Pharmacy of Kindai University (Osaka, Japan) (KAPS-26-010).
In situ rat liver perfusion
In situ rat liver perfusion was performed by the procedure described in previous report [22]. Briefly, the perfusion medium volume was 100 ml consisted of Krebs-Ringer-bicarbonate solution with 24 µmol/l taurocholic acid. Rats cannulated in the bile duct, hepatic portal vein, inferior vena cava were perfused at a flow rate of 26 ml/min. Pravastatin was added to the perfusate reservoir (10 µmol/l). Perfusate samples (1 ml) were collected from the recirculating reservoir at 0, 0.5, 1, 1.5, 2, 3, 5, 7, and 10 min and the same volume of blank perfusion medium was immediately added to the perfusate. Bile samples were collected up to 60 min. Each sample was flash frozen in liquid nitrogen and preserved at −80 °C.
Assay procedure
Pravastatin concentrations were measured using HPLC (SIL-10A, LC-10AD, CTO-10A, SPD-10A, and CR-3A, Shimadzu, Kyoto, Japan). For HPLC analysis of the perfusate, an internal standard (80 µl, 20 µg/ml of imipramine) and deproteinized with 200 µl methanol were added to 200 µl of perfusate. For bile samples, 10 µl of bile was diluted with 190 µl water, an internal standard (80 µl, 20 µg/ml of imipramine) and deproteinized with 200 µl methanol. After centrifugation for 10 min at 3,000 × g, the supernatant was injected into the HPLC analyzer.
HPLC analysis was performed using a reverse-phase column (Inertsil ODS-2, 5 µm, 250 × 4.6 mm; GL Sciences, Tokyo, Japan), using a Shimadzu HPLC system equipped with a UV detector. The column temperature was set at 35 °C and UV detector set at 238 nm. The mobile phase [methanol/water (60:40, v/v) containing 0.1% acetic acid and 0.1% triethylamine] was pumped at a flow rate of 0.7 ml/min. Standard curves for pravastatin metabolites were linear over the concentration range of 0.1‒100 µmol/l (r>0.93 and<10% error).
Pharmacokinetic analysis
Pharmacokinetic analyses were performed using statistical moment analysis. Area under the plasma concentration-time curve (AUC) was calculated from zero to 10 min (AUC0‒10) using the linear trapezoidal rule. AUC10‒∞ was estimated as C10 min/ke in which C10 min and ke are the pravastatin concentrations in perfusate at 10 min and the elimination rate constant, respectively. Mean residence time from zero to ∞ (MRT0‒∞) was calculated as the ratio of AUMC0‒∞ (AUC0‒∞ times time versus time curve) and AUC0‒∞. CLh was calculated as the pravastatin dose divided by the AUC0‒∞. The (biliary clearance) CLbile was calculated as the cumulative amounts of pravastatin excreted in bile at 60 min divided by the AUC0‒∞. Hepatic corrected clearance (CLcor) represented CLh adjusting for liver weight in rats.
Determination of mRNA levels by real-time reverse transcriptase polymerase chain reaction (RT-PCR)
Total RNA was extracted from liver samples using TRIzol. mRNA expression was measured using RT-PCR, as described previously [23, 24]. The oligonucleotide sequences for each mRNA target are shown in table 1. Data were analyzed using ABI Prism 7000 SDS software (Life Technologies), using the multiplex comparative method.
Determination of protein levels by western blot
Membrane proteins were extracted from the livers using Mem-PER Eukaryotic Membrane Protein Extraction Kit. Protein concentrations were measured using a BCA Protein Assay Kit. Sodium dodecyl sulfate-polyacrylamide gel electrophoresis (SDS-PAGE) was performed using 7.5% e-Pagell (Atto, Tokyo, Japan) and 5 µg membrane protein per well. Resolved proteins were transferred onto Hybond-P polyvinylidene difluoride membranes (GE Healthcare, Milwaukee, WI, USA). Immunoreactive Oatp1a1, Mrp2, Mrp3, and Bsep proteins were detected using antibodies, and an ECL Plus Western Blotting Detection system (GE Healthcare).
Immunofluorescence analysis
The livers were perfused-fixed by 4% paraformaldehyde in 0.1 mol/l PBS for 10 min. The excised livers were immersed in 4% paraformaldehyde in 0.1 mol/l PBS for 3 h, 10% sucrose for 3 h, 20% sucrose for 3 h and 30% sucrose for overnight. The tissue blocks embedded in Tissue-Tek O. C. T. compound (Sakura Finetek, Tokyo, Japan) were snap-frozen in liquid nitrogen. The cryosections (6 µm-thick) were prepared at ‒20 °C by cryostat (Leica CM3050S, Leica, Wetzlar, Germany). The sections on the slides were hydrated in PBS and blocked for 30 min with 3% BSA/PBS. After wash with 0.1% BSA/PBS, the slides were incubated with anti-Mrp2 antibody and anti-ZO-1antibody for 1 h. After wash with 0.1% BSA/PBS, the slides were incubated with CF568 goat anti-mouse IgG for anti-Mrp2 antibody and CF633 goat anti-rat IgG for anti-ZO-1 antibody for 1 h. The samples were mounted in VECTASHIELD (Vector Laboratories, CA, USA) and were subjected to confocal laser scanning microscope (FV10i-DOC, OLYMPUS, Tokyo, Japan).
Statistical analyses
Significant differences between mean values were determined by Student’s t-test using GraphPad Prism software (La Jolla, CA, USA). Significance levels were determined at p<0.05.
RESULTS
Animals
The liver weight, body weight, and the liver to body weight ratio in fasting rats were significantly decreased compared with the control (table 2). In fasting rats, the plasma cholesterol levels were significantly decreased and the plasma ketone levels were significantly increased compared with the control rats (table 2). In particular, approximately 10 times higher plasma ketone levels were observed in fasting rats.
In situ rat liver perfusion
To clarify the effects of fasting on the hepatic concentration of pravastatin, we established an in situ perfused rat liver system. The perfusate concentrations of pravastatin and the cumulative amounts of pravastatin excreted into the bile are shown in fig. 1a and b, respectively. Pravastatin was rapidly eliminated from the perfusate and the perfusate concentration reached less than 10% of the dose after 10 min of perfusion. The perfusate concentrations of pravastatin in fasting rats tended to be lower than those in control rats (fig. 1a). The cumulative biliary excretion amounts of pravastatin in the fasting rats were significantly lower from 10 min compared with the control (fig. 1b). At 60 min, the cumulative biliary excretion amounts of pravastatin in the control rats and fasting rats were 0.32±0.016 mg and 0.22±0.026 mg, respectively. The non-compartmental pharmacokinetic parameters are summarized in table 3. In the fasting rats, the AUC0‒∞ of pravastatin in the perfusate was significantly decreased, and the CLh and CLcor were significantly increased compared with the control. The biliary clearance CLbile in the fasting rats tended to decrease compared with that in the control rats (p = 0.08), although the bile flow rate was similar in the control and fasting rats (0.93±0.05 µl/min in the control rats and 0.86±0.06 µl/min in the fasting rats).
Determination of mRNA and protein levels of transporters
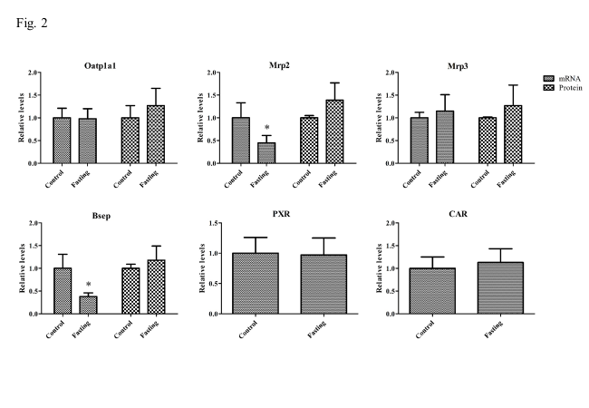
Some transporters such as Oatp and Mrp2 are involved in hepatic disposition of pravastatin. To clarify whether fasting affects the hepatic expression of transporters, the mRNA and protein expression levels of transporters were determined (fig. 3). The mRNA levels of Mrp2 and Bsep in the fasting rats significantly decreased to approximately 40% of those in the control rats.
However, the protein expression levels of these transporters were unchanged by fasting. Small changes in the mRNA levels of nuclear receptors such as PXR and CAR were observed in the fasting rats.

Fig. 1: Concentrations of pravastatin in the perfusate (a) and cumulative amounts of pravastatin in bile (b) after addition of pravastatin to the perfusion solution (10 µmol/l). The results are expressed as the mean±SD of n = 3–5. *p<0.05 vs corresponding control

Fig. 2: Relative mRNA and protein levels of Oatp1a1, Mrp2, Mrp3 and Bsep in the liver of control and fasting rats. The results are expressed as the mean±SD of n = 3-4. Significant differences between control and fasting rats are indicated (*p<0.05)
Immunofluorescence analysis
Even though the Mrp2 expression did not change, the localization of Mrp2 in hepatic cryosections of control and fasting rats was examined, because the intracellular localization of Mrp2 is a determinant of Mrp2 transport activity. Fig. 2 illustrates the localization of Mrp2 (red) and ZO-1 (blue) in the liver of control and fasting rats. Colocalization of Mrp2 and ZO-1 was observed in the control rats. In contrast, the confocal image of fasting rat’s cryosections revealed a disruption in colocalization of Mrp2 and ZO-1 in the liver, suggesting that the function of Mrp2 decreased without changes in Mrp2 expression levels.

Fig. 3: Localization of Mrp2 (red) and ZO-1 (blue) expression in liver of control and fasting rats
Table 1: Primer sequences used in PCR assays
| Gene | Primer sequence (5′–3′) |
| Oatp1a1 | CTGCCTGCCTTCTTCATTCTGA GCTTTCCTTCTCTCCGAGCATC |
| Mrp2 | CTCGGTCTTATGCGGCGTATT TCTGGAAACCGTAGGAGACGAA |
| Mrp3 | TGAAGTTCAAAGACTCCCGCA TCTACCTGCTCCAAGAAGGTGG |
| Bsep | CATCATTGCGGCCTTGCT GCGAATCCCGTCAACATTTT |
| PXR | GACGGCAGCATCTGGAACTAC TGATGACGCCCTTGAACATG |
| CAR | CCACGGGCTATCATTTCCAT CCCAGCAAACGGACAGATG |
| 18S ribosomal RNA | CGCCGCTAGAGGTGAAATTC CCAGTCGGCATCGTTTATGG |
Table 2: Liver weight, body weight, liver to body weight, plasma cholesterol level, and plasma ketone in control and fasting rats
| Liver weight (g) | Body weight (g) | Liver weight/body weight | Cholesterol (mg/dl) | Ketone (µM) | |
| Control | 7.16±0.741 | 199±8.08 | 0.036±0.005 | 69.8±5.63 | 125±41.8 |
| Fasting | 4.62±0.358*** | 168±8.67*** | 0.027±0.002** | 30.3±1.53*** | 1446±425** |
The results are expressed as the mean±SD of n = 3–6. Significant differences between control and fasting rats are indicated (**p<0.01 and ***p<0.001).
Table 3: Parameters describing the disposition of pravastatin obtained from statistical moment analysis of the perfused rat liver
| AUC0‒∞ (µg/ml∙min) | MRT0‒∞ (min) | CLh (ml/min) | CLcor (ml/min/g liver) | CLbile (ml/min) | |
| Control | 18.5±1.00 | 4.37±0.39 | 24.1±1.28 | 3.76±0.31 | 17.2±1.70 |
| Fasting | 15.6±1.21* | 3.84±0.31 | 29.8±3.07* | 5.82±0.32** | 14.0±1.82 |
The results are expressed as the mean±SD of n = 3–5. Significant differences between control and fasting rats are indicated (*p<0.05 and **p<0.01).
DISCUSSION
In fasting rats, the plasma ketone levels were significantly increased compared with the control (table 2), suggesting that 48 h of fasting was enough to induce ketone production utilized as alternative energy substrates to glucose. It has been reported that 48 h of fasting resulted in stimulation of gluconeogenesis and reduction in blood glucose levels in rats [25-27]. The liver to body weight ratio was significantly decreased in addition to a decrease in liver and body weight of fasting rats, indicating that the loss of liver weight in fasting rats was larger than that of the body weight. The perfusate concentrations of pravastatin and the AUC0‒∞ in fasting rats was significantly decreased compared with the control rats, although a relatively rapid elimination of pravastatin from the perfusate was observed in both control and fasting rats (fig. 1). The rate of elimination of pravastatin from the perfusate was comparable to the flow rate (26 ml/min), indicating that the elimination of pravastatin from the perfusate was limited by the flow rate via Oatp1a1 [9-11]. The increases in CLcor in the fasting rats were larger than those of CLh, which was normalized by the liver weight, indicating that the removal ability of pravastatin per hepatic unit was reduced by fasting for 48 h.
The cumulative amounts of pravastatin excreted into the bile were significantly decreased in the fasting rats (fig. 1b) without changes in bile flow. The cumulative biliary excretion amounts of pravastatin in the control and fasting rats at 60 min were approximately 72% and 49%, respectively, indicating that fasting markedly inhibited the biliary excretion of pravastatin. The hepatic concentrations of pravastatin could possibly be elevated, because of the decreased biliary excretion of pravastatin and the unchanged pravastatin concentrations in the perfusate of fasting rats. The changes in the hepatic concentrations of pravastatin in fasting rats could affect the desired or adverse effects of pravastatin.
Transporters such as Mrp2 are involved in the biliary excretion of pravastatin. A high-fat diet increased hepatic Mrp2 protein levels in mice [16]. High-fat and high-sucrose diets significantly upregulated hepatic ABC transporter g5/g8 expression [17]. The hepatic P-glycoprotein expression levels were significantly decreased in rats fed a 4% cholesterol diet for 14 d [15]. However, it is unclear whether fasting affects the hepatic expression of transporters. The protein levels of transporters in the fasting rats were unchanged (fig. 3). However, not only the expression levels, but also the Mrp2 localization on bile canaliculus is important for the transport activity of Mrp2. Therefore, the expression levels of Mrp2 in the liver do not necessarily reflect its transport activity. The colocalization of Mrp2 and ZO-1 was diminished by fasting (fig. 2), suggesting that fasting led to a decrease in cumulative biliary excretion amounts of pravastatin by disruption of Mrp2 localization on bile canaliculus.
Scaffold proteins such as ERM proteins (ezrin/radixin/moesin) have important roles in the membrane localization of Mrp2, which is internalized from the canalicular membrane [19-21]. For example, in radixin-deficient mice, the development of conjugated hyperbilirubinemia is associated with loss of Mrp2 from the canalicular membrane, similarly to Dubin-Johnson syndrome in humans [28]. Furthermore, Wang et al. have shown that knockdown of radixin by adenoviruses expressing siRNA in sandwich cultured rat hepatocytes resulted in a decrease in membrane localization and Mrp2 activity in the canalicular membrane [29]. Further studies are needed to clarify whether fasting affects the expression and activity of radixin in the liver.
It has been reported that fasting affects processes such as intestinal absorption [30], serum protein binding [31, 32], and metabolism by cytochrome P450 (CYP) [33-36]. Fasting reduced the absorption rate constants of salicylate and antipyrine via intestinal weight loss and inhibition of intestinal cell proliferation [30]. Serum protein binding is a determinant of drug disposition. Albumin synthesis is rapidly inhibited by fasting in vivo and in situ [31, 32]. In rats, fasting for 36 h resulted in increased hepatic CYP1A2, CYP2D2 and CYP3A4 mRNA expression [36]. Our results showed that the process of biliary excretion via Mrp2 could be affected by fasting in addition to the processes of absorption, distribution and metabolism after drug application.
CONCLUSION
The present study demonstrated that fasting inhibited the biliary excretion of pravastatin. Our findings suggest that the fasting modulate the hepatic drug disposition and biliary excretion of drug and metabolites via Mrp2 and could affect the drug effects.
ACKNOWLEDGEMENT
This work was supported by the “Antiaging” Project for Private Universities, with a matching fund subsidy from the Japanese Ministry of Education, Culture, Sports, Science and Technology (MEXT). This research was also supported in part by the MEXT-Supported Program for the Strategic Research Foundation at Private Universities, 2014‒2018 (S1411037).
CONFLICTS OF INTERESTS
All authors have none to declare
REFERENCES
How to cite this article