
Institute of Pharmacy, Nirma University, Sarkhej-Gandhinagar Highway, Ahmedabad 382481
Email: shelat.devang@gmail.com
Received: 10 Sep 2016 Revised and Accepted: 14 0ct 2016
ABSTRACT
Objective: Alzheimer’s disease a progressive neurodegenerative disorder affected by the formation of amyloid beta and tau proteins. Medicinal plants have been proved significantly for its anti-oxidant and anti-inflammatory activity that might help in treating neurological disorders. Curcumin has been hugely studied in the treatment of various ailments but its water solubility and bioavailability is still a concern but we have tried to exterminate the problem by our formulation CUR-CA-THIONE. Now, we have expanded the study of CUR-CA-THIONE for its neuroprotective estimation by evaluating behavioral, biochemical and histopathological assessment in rats.
Methods: Wistar rats of either sex (M/F: 25-350g; 350-450 g) were selected for study and divided into 8 groups. All animals except NC were given aluminum chloride via oral route throughout the study period (30 d) while group 3-8 received treatment one-hour post aluminum chloride induction from 15th day to 30th day. One week prior to the start of the experiment all animals were given training for behavioral assessment through y-maze and morris water maze with the weekly assessment. On 30th-day post completion of study rat brain was isolated to study biochemical and histopathological examination.
Results: The results of the behavioral assessment in CUR-CA-THIONE complex showed an increase in total arm entries in Y-maze and decrease in time duration for morris water maze test. A significant (p<0.01) decrease in lipid peroxidation, superoxide dismutase, acetylcholine and total protein levels in formulations while significant (p<0.01) increase in glutathione and catalase level was observed.
Conclusion: The given formulation shows that curcumin-casein-glutathione complex shows potential action as a neuroprotective effect.
Keywords: Alzheimer’s, Aluminum chloride, Behavioral, CUR-CA-THIONE, Neuroprotective
© 2016 The Authors. Published by Innovare Academic Sciences Pvt Ltd. This is an open access article under the CC BY license (http://creativecommons.org/licenses/by/4. 0/)
DOI: http://dx.doi.org/10.22159/ijpps.2016v8i12.15141
INTRODUCTION
Neuroprotection basically refers to the preservation of neuronal structure and function when a neuronal loss occurs [1]. Alzheimer’s disease is a type of neurodegenerative disease that leads to the formation of neurofibrillary tangles and amyloid beta caused due to increase in oxidative stress and reduced level of acetylcholine [2]. There is a cognitive decline in patients with Alzheimer's disease-like memory dysfunction, recalling things and much more [3,4]. The impairment of short-term memory is usually the first clinical feature while long-term memory is generally preserved. Also, abilities like calculating use of common objects and tools are lost [5]. The pathophysiological changes are seen in the cortex, hypothalamus, and cerebellum in which amyloid beta and tau tangles gets accumulated. The cortex part gets degraded due to neurodegeneration cycle and these parts mark impairment in memory, reasoning, vision and movement [6].
A cholinergic hypothesis has been associated with progression of AD basically due to deficiency of acetylcholine (Ach) [7,8]. The brain effects in memory enhancement are basically due to acetylcholine dysfunction, so treatment leading to acetylcholine esterase inhibitor is preferred. There are many drugs like tacrine, donepezil, rivastigmine and galantamine that are used as AChE inhibitor [9]. Moreover, neuroinflammation has also been found out to be a key physiology for AD induction. Also, the oxidative analysis is one factor relating to the pathophysiology of AD [10].
The medicinal plant has multiple medicinal activities and proved since ancient times relating to pharmacological and therapeutic applications. Most plants are believed to have significant anti-oxidant properties relating to its application as anti-inflammatory and neurodegenerative disorders. Thus, medicinal plants have been selected based on criteria of anti-oxidant and anti-inflammatory properties [11].
Curcumin longa (Zingiberaceae) contains active ingredient as curcumin that has medicinal properties. The–OH group that is freely present in curcumin has the property to bind to aryl groups and scavenge free radicals leading to anti-oxidant activity. It has versatile pharmacological properties by inhibiting pathways in cell invasion and inhibit acetylcholine enzyme formation [12]. Moreover, significant binding with amyloid beta may serve as a precursor for its identification. Curcumin has the characteristics to pass through blood brain barrier (BBB) due to its hydrophobic property, but the major concern is its oral bioavailability that occurs due to poor systemic circulation [13, 14].
The current research paper signifies work carried out for different in-house prepared curcumin concoctions in Alzheimer's disease model through the use of aluminum chloride (AlCl3) as a chemical for induction. The formulations were evaluated by their behavioral assessment using Y-maze and morris water maze test while their brain was estimated for biochemical parameters like acetylcholine, anti-oxidant and total protein levels along with the histopathological examination.
MATERIALS AND METHODS
Chemicals and reagents
Curcumin (90%) (K. Patel Phyto Extracts, Vapi, Gujarat, India), and glutathione (Sigma-Aldrich, U. S.). All solvents and chemicals were analytical or HPLC grade.
Animals
Protocol of animals was carried out through approval of Institutional animal ethics committee (IAEC) (Protocol No.: IP/PCOG/PHD/011) approval and the committee for the purpose of control and supervision of experiments on animals (CPCSEA). Wistar rats of either sex, weighing 250-300 g (Female) and 350-400 g (Male) were selected for the study. Animals were acclimatized for one week prior to the start of the experiment at 12 h light/dark cycle at 25±2 °C and 55-65% relative humidity.
Preparation of formulation
The formulation is prepared by an in-house method with curcumin as drug while glutathione and casein as a vector. Curcumin 95% is kept as an internal standard, donepezil as synthetic AChE inhibitor and marketed formulation claimed to be used in brain-related disorder as the reference standard. All formulations were freshly prepared in 2% dimethyl sulfoxide (DMSO) water before oral administration.
Experimental design
Animals were divided into eight groups with 8 animals in each (table 1). Group 1 was normal control group (No Dosage), group 2 was diseased-induced group (aluminum chloride-17 mg/kg), group 3 was synthetic drug reference standard (Donepezil–5 mg/kg), group 4 was internal standard (curcumin-95%-500 mg/kg), group 5 was formulation 1 (CUGU-500 mg/kg), group 6 was formulation 2 (CUCAS-500 mg/kg), group 7 was formulation 3 (CUCASGU-500 mg/kg), group 8 was marketed formulation (500 mg/kg). All groups were fed with AlCl3 for first 15 d at a dose of 17 mg/kg for induction of Alzheimer's and after 15 d treatment started along with AlCl3 except in group 1 no dosage was given, and in group 2 only AlCl3 was induced till 30 d. Initially, before induction animals were given training for 7 consecutive days for y-maze and morris water maze test to check behavioral assessment. The behavioral assessment was carried out every 7 d till 31st day and recorded [6].
Table 1: Animal study protocol for grouping
| S. No. | Groups | Dose | Animals |
| 1 | Normal Control (NC) | N. A. | 8 |
| 2 | Diseased Control (DC) | 5 mg/kg | 8 |
| 3 | Standard (Donepezil: DONO) | 10 mg/kg | 8 |
| 4 | Internal Standard (Curcumin: CU) | 500 mg/kg | 8 |
| 5 | Formulation 1 (CUGU) | 500 mg/kg | 8 |
| 6 | Formulation 2 (CUCAS) | 500 mg/kg | 8 |
| 7 | Formulation 3 (CUCASGU) | 500 mg/kg | 8 |
| 8 | Marketed Formulation (MF) | 500 mg/kg | 8 |
Behavioral assessment
The behavioral assessment is an evaluation technique for assessment of memory functioning during induction and treatment in Alzheimer's study. The different groups as discussed earlier are taken for behavioral assessment in y-maze and morris water maze test. Animals are given training for initial 7 d in both mazes to give them a normal path to follow when their memory is working. It gives an idea about behavioral changes in terms of memory while training, during induction and treatment phase. The assessment was video recorded every week for all groups and change is observed with significant change in terms of behavioral changes. The behavioral tests were conducted in the dark quite room between 8 a. m. to 8 p. m. The behavioral score was recorded manually using a stopwatch and all animals in one group were tested on same day and videos were stored for future reference.
Y-maze test
The Y-maze test can be used to measure a short-term memory, general locomotor activity and stereotypic behavior (16). It is well known that spontaneous alternation is a measure of spatial working memory thus could be assessed using y-maze composed of three equally spaced arms (120 °, 45 cm long and 20 cm high) (fig. 1). Each rat was placed in one arm compartments and was allowed to move freely until its tail completely enters another arm. The sequence of arm entries is video recorded while arms being labelled A, B, and C. An alternation is defined as entry into all three arms consecutively, for instance, if animal makes following arm entries, ACB–CAB–CA–CAB-CA it is considered that animal made 13 arm entries and 3 are correct alternations. The number of maximum spontaneous alternations is then the total number of arms entered minus two, and percentage alternation is calculated as {(actual alternations/maximum alternations) x 100}. For each animal Y-maze testing was carried out for 3 min. The apparatus was cleaned with hot water and allowed to dry between sessions [15].

Fig. 1: Y-maze model used, A, B and C are the wings of Y-maze and calculation was carried out according to the said fig.
Morris water maze test
Morris water maze test was conducted in a circular 120 cm diameter pool filled with water (22-25 °C) as described previously [16] with minor modifications. Briefly, a translucent acrylic platform (10 cm diameter), located in the center of southeast phase and placed 1 cm above the surface of the water during the training phase and submerged by 1 cm below water surface from start of the experiment (fig. 2). Rats were always tested in same order and at the same time each week. The swimming paths were tracked for 60 seconds of which data were manually added, and the video was stored for future reference. If a rat failed to find hidden platform within 60 seconds, then it was manually guided to the hidden platform and allowed to stay on the platform for 10 seconds. The rats were given 3 trials in each direction other than platform base and were left in the same position always. The time taken to reach the platform (escape latency) was measured, and an average of 3 trials was determined. All tests and data quantitation were conducted in a double-blinded manner [17].

Fig. 2: Morris water model used, E, W, N, S are the direction of the spherical places and stage is kept in middle of south direction
Biochemical estimation
The test was performed 24 h after last behavioral assessment (30th Day). Animals were sacrificed by decapitation and brain was isolated, rinsed with isotonic saline. Further, the brain was homogenized in ice-cold phosphate buffer solution (pH 7.4). The homogenate was centrifuged at 10,000 x g for 15 min and supernatant was isolated for further biochemical estimations.
Reduced glutathione (GSH) level
The estimation method for reduced glutathione was carried out according to the method described by Elman et al. Briefly, assay mixture consisted of 1 ml 4% sulphosalicylic acid and digested for 1 h at 4 °C. The samples were further centrifuged at 1200 x g for 15 min at 4 °C. The reaction mixture consisted of 1 ml supernatant, 2.7 ml phosphate buffer (pH 8) and 0.2 ml 5, 5’-dithio-bis-2-nitro benzoic acid (DTNB) was added. The yellow color absorbance was noted till 5 min at an interval of 1 min using ultraviolet (U. V.) spectrophotometer. The results were expressed in nmol of DTNB conjugated/min/mg protein [18].
Acetylcholine esterase (AChE) level
The estimation of acetylcholinesterase assay was carried out by the method described by Elman et al. A complete reaction occurs of thiocholine with a di-the-bis-nitrobenzoate ion to produce yellow anion of 5-thio-2-nitro-benzoic acid (TNB). The assay consisted of 0.05 ml supernatant, 3 ml sodium phosphate buffer (pH 8), 0.1 ml acetylcholine iodide and 0.1 ml DTNB (Elman reagent). The change in absorbance was measured for 5 min at 60 s time interval at 412 nm using UV-Visible spectroscopy (Jasco, U. S. A). Results were expressed as micromoles of acetylcholine iodide hydrolyzed per min per mg protein [19].
Malondialdehyde (MDA) level
The amount of malondialdehyde was used as an indirect measure of lipid peroxidation and was determined by reaction with thiobarbituric acid (TBA). The brain homogenate was prepared in 0.1% w/v of trichloroacetic acid (TCA) and centrifuged at 15000 x g for 15 min at 4 °C. The assay mixture consisted of 0.5 ml supernatant, 1.5 ml thiobarbituric acid (TBA; 0.5% w/v) diluted in 20% TCA. Further, samples were incubated in a water bath for 25 min at 95 °C. The final absorbance was read at 532 nm and brain malonaldehyde content was measured as nmol of malondialdehyde per mg of protein [20].
Superoxide dismutase (SOD) level
The assay mixture consisted of 0.2 ml supernatant, 0.1 ml ethylene diamine tetraacetic acid (EDTA), 0.5 ml carbonate buffer and 1 ml epinephrine. Estimation was carried out at 480 nm for 5 min at 60 s interval to measure auto-oxidation of epinephrine to adrenochrome [21].
Catalase (CAT) level
Assay mixture consisted of 100 µl supernatants, 1.9 ml buffer solution and 1 ml hydrogen peroxide (H2O2). The samples were estimated at 240 nm using U. V. spectrophotometer for 5 min at 60 s interval [22].
Total protein level
The assay mixture consisted of 0.5 ml supernatant, 1 ml tris hydrochloride (Tris-HCl) and 5 ml copper solution. Incubate for 10 min at room temperature and add 0.5 ml folin-colin-catechu reagent. Incubate for 10 min and absorbance was measured at 660 nm [23].
Histopathological study
The histopathological estimation was carried out post behavioral assessment (30th day). The animals were euthanized, and brain was isolated with kept in 10% formalin solution. The tissue was packed in paraffin for further processing for sectioning of 2 µm thickness in a rotary microtome (Leica-Lycra, Germany). The sections were further stained with hematoxylin-eosin (HandE) stain and congo-red stain. Sections are kept to adhere with stain for 6 h at 37 °C and then layered with thin paraffin film to hold with slide for further screening.
Statistical analysis
All data were analyzed using two-way analysis of variance (ANOVA) followed by Boneferri test carried out to determine the source of a significant effect. Results were expressed as mean±SEM, p<0.05 was taken as accepted level of significant difference. Normal control was validated with disease control and disease control was checked with all formulations.
RESULTS
Effect of curcumin formulation on behavioral assessment
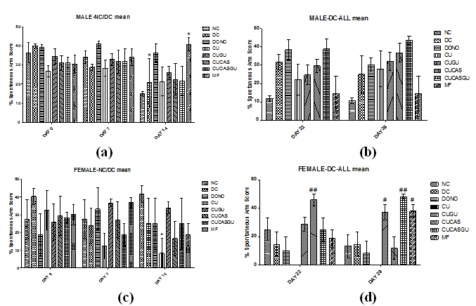
The determination for induction of Alzheimer's was carried out by possible behavioral assessment through y-maze and morris water maze. The estimation of y-maze was carried out through total arm rotation (e. g.: A-B-C-A=4) by rat and % spontaneous arm rotation (e. g.: A-B-C-A-B-=2). The total arm rotation counts a number of arms a rat visits that signifies its memory while % spontaneous alteration score is the total number of change in alteration that signifies rats spontaneous alteration divided by total arms traveled by a rat. The data shows that on 14th day total arm entry in male showed significantly (p<0.05) decrease in DC group as compared to normal control group. Moreover, after initiation of treatment (day 15) formulations showed significant (p<0.001) decrease in DC control group on day 22 and day 29 of study as compared to NC group. While, CUGU and CUCASGU showed significant (p<0.05) increase as compared to DC control group in male animals (fig. 3-a, b). Moreover, female rats showed lesser total arm rotation and only DC, CU and CUGU group showed significance (p<0.001) as compared to NC group on the 15th day of induction. On contrary after treatment started only group CUCASGU and MF showed significance (p<0.001) on the 29th day of study as compared to DC group (fig. 3-c, d). This shows that female rats are less prone to change in total arm rotation as compared to male rats.


Fig. 3: Total arm Y-maze test for male and female (n=8), NC: Normal Control, DC: Diseased Control, DONO: Donepezil (Standard), CU: Curcumin, CUGU: Curcumin-glutathione complex, CUCAS: Curcumin-casein complex, CUCASGU: Curcumin-casein-glutathione complex and MF: Marketed formulation. NC is compared to DC (*) and DC is compared to all other treatment groups (#). (a) Male rats for 15 d i.e. NC is compared to all groups as all are only in disease induction phase. (b) Male rats for 29th day i.e. treatment lasted for 15 d. (c) Female rats for 15 d similar to (a). (d) Female rats till 29th day similar to (b). p<0.001-*/#, p<0.01-**/## and p<0.05-###
The % spontaneous alteration score was measured on the short thought process and interpretation of animals to explore other unknown paths. The male animals showed significant (p<0.001) change in DC and MF group while in female only CU showed significant (p<0.001) change as compared to NC group on 15th day. After initiation of treatment, no significant change was observed in male rats, but female rats showed a significant (p<0.05) change in CUGU, CUCASGU and MF as compared to DC group (fig. 4).

Fig. 4: % Spontaneous alteration score Y-maze test for male and female (n=8), NC: Normal Control, DC: Diseased Control, DONO: Donepezil (Standard), CU: Curcumin, CUGU: Curcumin-glutathione complex, CUCAS: Curcumin-casein complex, CUCASGU: Curcumin-casein-glutathione complex and MF: Marketed formulation. NC is compared to DC (*) and DC is compared to all other treatment groups (#). (a) Male rats for 15 d i.e. NC is compared to all groups as all are only in disease induction phase. (b) Male rats for 29th day i.e. treatment lasted for 15 d. (c) Female rats for 15 d similar to (a). (d) Female rats till 29th day similar to (b). p<0.001-*/#, p<0.01-**/## and p<0.05-###
The morris water maze estimates memory of animal in a situation of stress. The assay estimates the amount of time covered by animals under stress condition either by circular rotation or direct rotation. The increase in time taken by rat leads to a relative increase in lag due to loss of memory. In disease induction phase (15th day) male rats showed significantly (p<0.001) increase in CUCASGU group as compared to NC group. While, in the treatment phase, all groups except DONO showed significant (p<0.01) decrease in time duration as compared to DC group (fig. 5-a,b). Moreover, female rats showed significant (p<0.01) decrease in all groups as compared to DC group (fig. 5-c,d).

Fig. 5: Morris water maze test for male and female (n=8)
NC: Normal Control, DC: Diseased Control, DONO: Donepezil (Standard), CU: Curcumin, CUGU: Curcumin-glutathione complex, CUCAS: Curcumin-casein complex, CUCASGU: Curcumin-casein-glutathione complex and MF: Marketed formulation. NC is compared to DC (*) and DC is compared to all other treatment groups (#). (a) Male rats for Water maze for 15 d i.e. NC is compared to all groups as all are only in disease induction phase. (b) Male rats water maze for 29th day i.e. treatment lasted for 15 d. (c) Female rats for water maze for 15 d similar to (a). (d) Female rats water maze till 29th day similar to (b). p<0.001-*/#, p<0.01-**/## and p<0.05-###
Biochemical estimation
The amount of reduced glutathione was estimated in terms of reduced sulfhydryl concentration. The data shows a significant (p<0.05) difference in DC group as compared to NC group. While all other groups show significant (p<0.01) difference than DC group (fig. 6-a). The drugs that act as AChE inhibitors are approved as the drug of choice according to FDA. The data shows significant (p<0.05) difference in DC group as compared to NC group in both male and female rats. Similarly both male and female shows significant (p<0.05) difference for all treatment groups as compared to DC group (fig. 6-b).
The malondialdehyde estimation was carried out to understand antioxidant profile in term of lipid levels in tissue or blood. The data showed significant (p<0.05) increase in DC group per mg of protein as compared to NC group in male and female. While all other groups showed significantly (p<0.05) decrease in MDA level as compared to DC group (fig. 6-c).

Fig. 6: Biochemical assay of male and female (n=8), NC: Normal Control, DC: Diseased Control, DONO: Donepezil (Standard), CU: Curcumin, CUGU: Curcumin-complex, CUCAS: Curcumin-casein complex, CUCASGU: Curcumin-casein-glutathione complex and MF: Marketed formulation. NC is compared to DC (*) and DC is compared to all other treatment groups (#). (a) LPO, (b) SOD, (c) Catalase, (d) Glutathione, (e) Acetylcholine and (f) TPL. p<0.001-*/#, p<0.01-**/## and p<0.05-###
The SOD estimation is estimated to check the anti-oxidant profile of the drug in blood or tissue. The data showed that both male and female having significant (p<0.05) difference in DC group as compared to NC group. While all other formulations showed significantly (p<0.01) difference in male except CU in female as compared to DC group (fig. 6-d). The catalase level was estimated by peroxidation assay in rat brain. The data showed a significant (p<0.05) difference in male and female of DC group as compared to NC group. Also, all formulations showed significant (p<0.05) difference from DC group (fig. 6-e). The total protein was estimated based on working strength. The data shows significant (p<0.05) difference in DC group compared with NC group. The formulations except in male DONO group showed significant (p<0.05) difference in all group in male and female in comparison with DC group (fig. 6-f).
Histopathological study
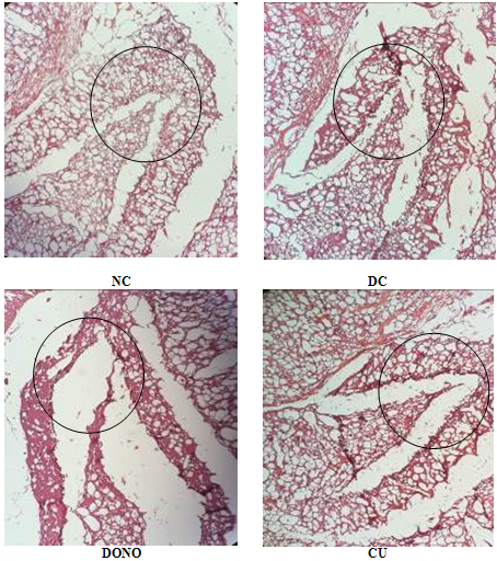
The histopathological data showed a significant difference in the cortex, hypothalamus, and cerebellum. Mainly, a significant change in the hypothalamus is observed in DC group as compared to NC group. All the formulations show improvement in hypothalamus region as compared to DC and similar to NC group.


Fig. 7: Histopathology for hippocampus region of brain section, NC: Normal Control, DC: Diseased Control, DONO: Donepezil (Standard), CU: Curcumin, CUGU: Curcumin-glutathione complex, CUCAS: Curcumin-casein complex, CUCASGU: Curcumin-casein-glutathione complex and MF: Marketed formulation
DISCUSSION
Alzheimer’s disease is most widespread disease in world and main cause of dementia. There are basically three hallmarks for dementia i.e. neurofibrillary tangles, amyloid-beta and neuronal damage [24]. Mostly, accumulation of tangles and amyloid peptide in cerebral cortex leads to loss of memory causing brain lesions. Plaque formation leads to increase in neurotoxic level and eliminates region very effectively. Moreover, in AD cholinergic neurons are affected that are present majorly in cortex and hippocampus [25].
The present experiment investigates, estimation of curcumin based in-house preparation in the treatment of Alzheimer's disease by AlCl3 model. The selection of rats was carried based on potential similarity to humans in terms of the physiological and biological model. Aluminum a non-essential, non-redox metal that leads to neurochemical, neurobehavior and neuropathological changes leading to the release of cytochrome c from mitochondria damage due to prolonged half-life (150 d in rats) [26]. This leads to the generation of free radicals and pro-inflammatory cytokines that result in oxidative stress and neuroinflammation [27, 28]. Aluminum chloride based toxicity is majorly accumulated in hippocampus region and leads to neuronal damage due to disruption of glutamate-nitric oxide-cyclic guanosine monophosphate pathway causing inhibition of long-term potentiation (LTP) thereby causing cognitive dysfunction [29, 30]. Clinical study reports prolonged use of pharmaceutical and cosmetic (antiperspirants) preparation containing aluminum chloride results in cognitive dysfunction [31, 32].
In the determination of Alzheimer activity, many animal models are prescribed to determine etiology and pathology [33]. The behavioral model in terms of Y-maze suggests that during disease condition number of arm rotation is less while in normal condition arm rotation is more. The behavioral study in Y-maze showed significantly (p<0.01) increase in total arm entry in CU, CUCASGU for male while in female groups CUCASGU and MF showed significant (p<0.01) increase than the diseased control group on the 29th day. Moreover, in spontaneous alteration score male showed no significant activity while in female CUGU, CUCASGU and MF showed significant (p<0.01) activity against DC group. In Morris water maze test time taken to travel stage is less in the normal control group while in diseased condition time is more. A significant (p<0.01) lesser time in male was observed in CU, CUGU, CUCAS, CUCASGU and MF as compared to DC group. While, in female DONO, CU, CUGU, CUCAS, CUCASGU and MF showed significant (p<0.01) higher activity as compared to DC group [34].
The biochemical estimation for lipid peroxidation, glutathione, and total protein showed significant (p<0.01) change in all groups as compared to DC group for both male and female. In SOD, male rats CU did not show any significant activity compared to DC group, while female showed significant (p<0.01) activity in all groups when compared to DC group. Catalase assay in male showed significantly (p<0.01) activity in all groups as compared to DC group, while in female DONO and CU showed to be non-significant as compared to DC group. In acetylcholine esterase level male rats CUGU group showed non-significant (p<0.01) activity against DC group, while in the female group all treatment groups showed significant (p<0.01) activity as compared to DC group. The histopathological changes in hippocampus show damaged cells and filaments of amyloid beta in the diseased control group, while in a normal group no damage is observed.
CONCLUSION
The present study helped in understanding curcumin and prepared a formulation for its anti-Alzheimer's activity. The formulation CUR-CA-THIONE proved to have significant activity showcased by a significant change in behavioral, biochemical and histopathological estimation. Curcumin biggest lacuna is its poor solubility so not prescribed as the choice of drug. Thus, the current formulation has opened a new area of research based on its formulation with potent activity. A further study on formulation pharmacodynamics profiling and its mechanism of action need to be explored.
Acknowledgment
I would like to thank Institute of Pharmacy, Nirma University for providing the necessary space to work.
CONFLICTS OF INTERESTS
Declared none
REFERENCES
How to cite this article