
Department of Pharmacology and Pharmaceutical Chemistry, College of Pharmacy, Al-Mustansiriyia University, Baghdad, Iraq
Email: dr.monther.f71@uomustansiriyah.edu.iq
Received: 19 Sep 2016 Revised and Accepted: 23 Nov 2016
ABSTRACT
Objective: The purpose of this work was to enhance oral bioavailability of metformin by incorporation of different amino acid residues through the glycolic acid spacer.
Methods: Two series of metformin derivatives (V a-e) and (VI a-e) were synthesized by incorporation of five amino acids (glycine, alanine, phenylalanine, proline and GABA amino butyric acid) and their methyl esters respectively into metformin through glycolic acid spacer and preliminary evaluation for the antihyperglycemic activity was carried out using streptozotocin-induced diabetic rats model.
Results: In vivo anti-hyperglycemic activity of the final compounds (V a-e) and (VI a-e) showed that compounds (V b, V c, VI c and V e) produced higher percent of decrease in blood glucose level compared to metformin after 5 h of the treatment while compounds (VI b, VI c, V d, VI d, V e and VI e) showed profound effect after 24 h of the treatment. Although compounds (V a, VI a, V b and V c) showed a significant decrease in blood glucose level at 5 h but their effect diminished at 24 h. Compound (V e) showed higher anti-hyperglycemic effect than metformin and its effect continued up to 24 h.
Conclusion: From this study, it was concluded that incorporation of these amino acids or their methyl esters maintained or enhanced the antihyperglycemic effect of metformin.
Keywords: Metformin, Intestinal di/tripeptide transporter, Amino acids, In vivo antidiabetic study
© 2017 The Authors. Published by Innovare Academic Sciences Pvt Ltd. This is an open access article under the CC BY license (http://creativecommons.org/licenses/by/4. 0/)
DOI: http://dx.doi.org/10.22159/ijpps.2017v9i1.15250
INTRODUCTION
Metformin is a widely prescribed antihyperglycemic agent used for the treatment of type II diabetes mellitus which is a global disease estimated to affect around 438 million people by 2030 [1]. Metformin plays an effective role in the treatment of polycystic ovary syndrome [2], cardiovascular disease [3], dyslipidemia [4] and in cancer treatment [5].
The main effect of metformin is to decrease hepatic glucose production, mostly through a mild and transient inhibition of the mitochondrial respiratory chain complex 1 [6]. The resulting decrease in hepatic energy activates the AMP-activated protein kinase (AMPK), a cellular metabolic sensor [7]. Furthermore, metformin cardiovascular, metabolic and antiproliferative effect is thought to be elicited by AMPK-mediated pathways [8].
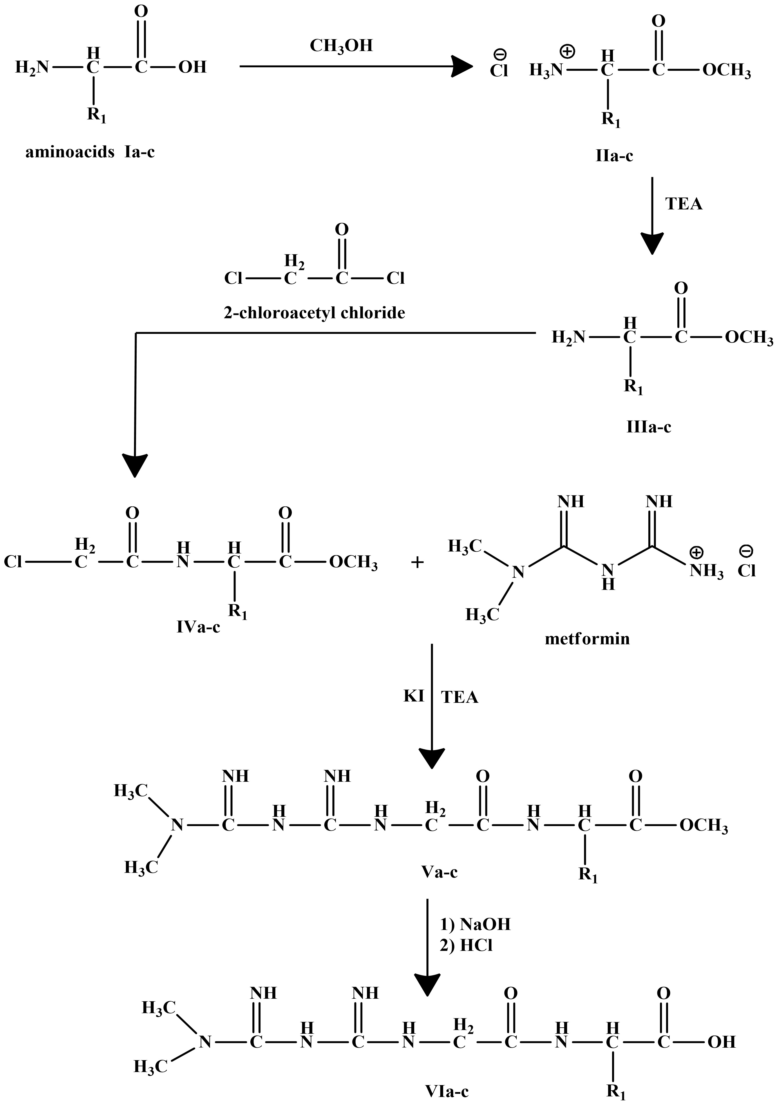
Metformin is very hydrophilic with a net positive charge at the intestinal environment, and thus it is poorly absorbed with an oral bioavailability range between 40%-60% [9]. It accumulates in enterocytes during oral absorption [9]. The apical membrane of small intestinal enterocytes has an uptake system for di-and tripeptides. The physiological role of this system is to transport small peptides resulting from digestion of dietary protein and a number of orally administered peptidomimetic drugs [10]. Several studies on di/tripeptide transport (PepT1) revealed that a large-scale absorption of dipeptides takes place in the human and animal intestine with stereochemical specificity [11]. Natural amino acids are mainly of the L-form and peptides consisted of L-enantiomers also show the highest affinity to the transporter [12]. As a result of the wide substrate specificity range of PepT1, it is an interesting idea to modify a compound with a low intrinsic bioavailability with a pro-moiety so as to make it acceptable for the transport across the intestinal wall [10]. The attached moiety acts as a recognition site for transporter protein that can shuttle the molecule across the intestinal wall thereby augmenting metformin absorption from the GI tract [13]. This presents the opportunity to synthesise new derivatives of metformin by incorporation of different amino acid residues and their esters through a glycolic acid spacer to enhance metformin bioavailability.
MATERIALS AND METHODS
all reagents and anhydrous solvents were of analar type, were purchased from (Avonchem, England, Scharlau, Spain, Sigma Aldrich, Germany, BDH, England, Avantor, Netherlands). Metformin HCl is supplied from (Pioneer, USA). Electrothermal melting point apparatus (Stuart, England) and open capillary tubes were used to determine the melting points and are uncorrected. Thin layer chromatography was run on TLC silica gel (60) F254, Merck (Germany), for checking the purity of the products as well as monitoring the progress of the reaction. Chromatograms were eluted by using three different solvent systems: A: chloroform: methanol (8.5: 1.5) [14], B: methanol: ammonium sulfate 10%: water (1:10:1), C: methanol: ammonium sulfate 10%: water (1:20:1) compounds were revealed upon irradiation with UV light [15]. IR spectra were recorded on an FTIR, Shimadzu 8400s spectrometer as KBr and NaCl discs in College of Pharmacy, Al‐Mustansiriyah University, Baghdad, Iraq. 1H NMR spectra were recorded on Bruker model Ultra shield 300 MHZ spectrometer using DMSO solution in Al al-bayt University, Jordan. CHNS microanalysis was performed using a Euro‐Vector EA3000 (Italy) in Al al-bayt university, Jordan. The general routes outlined in Scheme 1 were used for the synthesis of all compounds.
Synthesis of metformin derivatives
Synthesis of amino acid methyl esters hydrochloride (II a-e)
Thionyl chloride (0.01 mole, 2 ml) was slowly added to methanol (40 ml), cooled at 0 °C on an ice bath and the amino acids (0.01 mol) was added to it. The mixture was refluxed for 6 h with continuous stirring, and the reaction was monitored by the evolution of HCl gas which is detected by changing the color of pH graduated litmus paper into reddish when placed on the top of the condenser. The excess of thionyl chloride and the solvent was evaporated under reduced pressure by using a rotary evaporator to give aminomethyl ester hydrochloride [16].
Synthesis of aminomethyl ester-chloroacetylchloride derivatives (IV a-e)
0.01 Mol of amino acid ester (III a-e) was dissolved in DMF: benzene mixture (1:3) 40 ml, then TEA (0.01 mol) was added. The reaction mixture was stirred in an ice bath and chloroacetylchloride (0.01 moles in 10 ml benzene) was added dropwise with continuous stirring over a period of 1 hr. at–10 °C, followed by reflux for 3 h. The mixture was cooled by addition of cold to give an oily product [17].
Synthesis of metformin–aminomethyl ester series (V a-e)
A mixture of amino acid ester-chloroacetylchloride derivatives (0.01 mol), metformin (0.01 mol), TEA (0.01 mol) and potassium iodide (0.01 mol) in DMF (25 ml) was stirred overnight at room temperature. The reaction mixture was poured into crushed ice with stirring and extracted with chloroform (4×25 ml). The aqueous layer was washed with 2% sodium thiosulphate (3×25 ml), 5% HCl (3×25 ml), 5% NaOH (3×25 ml) and finally with brine solution (2×25 ml). The aqueous layer was dried over anhydrous sodium sulphate, filtered and the solvent was removed under reduced pressure [18].
Synthesis of metformin–amino acid series (VI a-e)
Methanol (50 ml) was added to the oily product of Metformin–amino acid ester compound V a-e (0.005 mol). The reaction was cooled down to 18 °C, and then sodium hydroxide (1N, 5 ml) was added dropwise, with continuous stirring over a period of 30 minutes. Stirring was continued at 18 °C for additional 5 h. The reaction mixture was acidified with HCl (1N, 5 ml), and then the excess of cold water was added. Methanol was evaporated under reduced pressure, and the acidic compound was precipitated [19].


Scheme 1
Characterization
Glycine methyl ester hydrochloride (II a)
White crystal; % yield: 93%; melting point: 175 °C; Rf= 0.66 (chloroform: methanol) (8.5:1.5) and Rf= 0.40 (methanol: ammonium sulfate 10%: water) (1:10:1); IR (KBr) Vmax (cm-1): 2800-3200 (primary amine salt over lapped with CH); 1751(C=O of ester).
Alanine methyl ester hydrochloride (II b)
White crystal; % yield: 87%; melting point: 111 °C; Rf= 0.45 (chloroform: methanol) (8.5:1.5) and Rf= 0.36 (methanol: ammonium sulfate 10%: water) (1:10:1); IR (KBr) Vmax (cm-1): 3400 (NH stretching); 1750(C=O of ester).
Phenyl alanine methyl ester hydrochloride (II c)
White powder; % yield: 80%; melting point: 163 °C; Rf= 0.70 (chloroform: methanol) (8.5:1.5) and Rf= 0.59 (methanol: ammonium sulfate 10%: water) (1:10:1); IR (KBr) Vmax (cm-1): 2800-3100 (primary amine salt over lapped with CH); 1750(C=O of ester); 1581 (C=C aromatic).
Proline methyl ester hydrochloride (II d)
White powder; % yield: 75%; melting point: 205 °C; Rf= 0.46 (chloroform: methanol) (8.5:1.5) and Rf= 0.32 (methanol: ammonium sulfate 10%: water) (1:10:1); IR (KBr) Vmax (cm-1): 3300-3600 (NH stretching); 1747(C=O of ester).
GABA amino butyric methyl ester (II e)
Oily; % yield: 90%; boiling point: 110 °C; Rf= 0.60 (chloroform: methanol) (8.5:1.5) and Rf= 0.40 (methanol: ammonium sulfate 10%: water) (1:10:1); IR (NaCl) Vmax (cm-1): 3009 (primary amine salt stretching); 1750(C=O of ester).
Methyl 2-(2-chloroacetamido) acetate (IV a)
Oily; % yield: 60%; boiling point: 99 °C; Rf= 0.38 (chloroform: methanol) (8.5:1.5) and Rf= 0.50 (methanol: ammonium sulfate 10%: water) (1:10:1); IR (NaCl) Vmax (cm-1): 3336 (NH stretching of amide); 1749(C=O of ester); 1672(C=O of amide).
Methyl 2-(2-chloroacetamido) propanoate (IV b)
Oily; % yield: 68%; boiling point: 105 °C; Rf= 0.50 (chloroform: methanol) (8.5:1.5) and Rf= 0.35 (methanol: ammonium sulfate 10%: water) (1:10:1); IR (NaCl) Vmax (cm-1): 3275 (NH stretching of amide); 1745(C=O of ester); 1666(C=O of amide).
Methyl 2-(2-chloroacetamido)-3-phenyl propanoate (IV c)
Oily; % yield: 90%; boiling point: 175 °C; Rf= 0.54 (chloroform: methanol) (8.5:1.5) and Rf= 0.46 (methanol: ammonium sulfate 10%: water) (1:10:1); IR (NaCl) Vmax (cm-1): 3265 (NH stretching of amide); 1745(C=O of ester); 1666(C=O of amide); 1498 (C=C aromatic).
(S)-Methyl 1-(2-chloroacetyl) pyrrolidine-2-carboxylate (IV d)
Oily; % yield: 68%; boiling point: 155 °C; Rf= 0.54 (chloroform: methanol) (8.5:1.5) and Rf= 0.45 (methanol: ammonium sulfate 10%: water) (1:10:1); IR (NaCl) Vmax (cm-1): 1743(C=O of ester); 1651(C=O of amide).
Methyl 4-((chlorocarbonyl) amino) butanoate (IV e)
Oily; % yield: 65%; boiling point: 135 °C; Rf= 0.55 (chloroform: methanol) (8.5:1.5) and Rf= 0.68 (methanol: ammonium sulfate 10%: water) (1:10:1); IR (NaCl) Vmax (cm-1): 3417 (NH stretching of amide); 1745(C=O of ester); 1653(C=O of amide).
Methyl 3, 5-diimino-2-methyl-8-oxo-2, 4, 6, 9-tetraazaundecan-11-oate (V a)
oily; % yield: 73%; boiling point: 115 °C; Rf= 0.60 (methanol: ammonium sulfate 10%: water) (1:10:1); Rf= 0.88 (methanol: ammonium sulfate 10%: water) (1:20:1); IR (NaCl) Vmax (cm-1): 3454 (NH stretching of secondary amine); 1650-1740 (Broad band due to C=O of ester overlap with C=O of amide); 1579, 1543 (C=N of imine). 1HNMR (300MHZ, DMSO) (δ ppm): 2.79(s,6H, N-CH3); 3.59(s,2H,CH2), 3.72 (s,3H,OCH3); 4.45 (s,2H,CH2 of glycine); 6.69(s,3H, NH of amine and imine); 7.72(s,1H,NH), 7.97 (S,1H, NH of glycine); Anal. calcd. For C9H18N6O3: C, 41.85; H, 7.02; N, 32.54. Found C, 41.50; H, 7.17; N, 32.55.
Methyl 3, 5-diimino-2, 10-dimethyl-8-oxo-2, 4, 6, 9-tetra-azaundecan-11oate (V b)
oily; % yield: 70%; boiling point: 122 °C; Rf= 0.58 (methanol: ammonium sulfate 10%: water) (1:10:1); Rf= 0.75 (methanol: ammonium sulfate 10%: water) (1:20:1); IR (NaCl) Vmax (cm-1): 3456 (NH stretching of secondary amine); 1650-1740 (Broad band due to C=O of ester overlap with C=O of amide); 1500 (C=N of imine). 1HNMR (300MHZ, DMSO) (δ ppm): 1.52(d,3H,CH3of alanine); 3.78(s,6H, N-CH3); 3.60(s,2H,CH2), 3.69 (s,3H,OCH3); 4.36(q,1H,CH of alanine); 7.10(s,3H, NH of amine and imine); 7.22(s,1H,NH), 8.03 (S,1H, NH of alanine); Anal. calcd. For C10H20N6O3: C, 44.11; H, 7.40; N, 30.86. Found C, 44.10; H, 7.42; N, 30.58.
Methyl 3, 5-diimino-2-methyl-8-oxo-10phenyl-2, 4, 6, 9-tetra-azaundecan-11-oate (V c)
oily; % yield: 86%; boiling point: 191 °C; Rf= 0.69 (methanol: ammonium sulfate 10%: water) (1:10:1); Rf= 0.45 (methanol: ammonium sulfate 10%: water) (1:20:1); IR (NaCl) Vmax (cm-1): 3475 (NH stretching of secondary amine); 1650-1745 (Broad band due to C=O of ester overlap with C=O of amide); 1572 (C=C aromatic); 1498 (C=N of imine).1HNMR (300MHZ, DMSO) (δ ppm): 2.95(s,1H,NH); 3.01(s,6H, N-CH3); 3.15,3.26(d,2H,CH2-Ar.), 3.77(s,2H,CH2); 4.09 (s,3H,OCH3); 4.57(t,1H,CH of phenyl alanine); 7.10(s,3H, NH of amine and imine); 7.35-7.63(m,5H,Ar.), 8.35 (s,1H, NH of phenyl alanine); Anal. calcd. For C16H24N6O3: C, 55.16; H, 6.94; N, 24.12. Found C, 55.04; H, 6.85; N, 24.10.
(S)-methyl1-(2-(3-(N, N-dimethylcarbamimidoyl) guanidino)- acetyl) pyrrolidine-2 carboxylate (V d)
oily; % yield: 55%; boiling point: 180 °C; Rf= 0.67 (methanol: ammonium sulfate 10%: water) (1:10:1); Rf= 0.70 (methanol: ammonium sulfate 10%: water) (1:20:1); IR (NaCl) Vmax (cm-1): 3200-3600 (NH stretching of secondary amine); 1650-1740 (Broad band due to C=O of ester overlap with C=O of amide); 1543,1498 (C=N of imine).1HNMR (300MHZ, DMSO) (δ ppm): 1.94-2.29 (m,5H,CH2 overlapped with NH); 2.81(s,6H, N-CH3); 3.12-3.35(m,2H,CH2); 3.54(s,2H,CH2); 3.72 (s,3H,OCH3); 4.50-4.74(t,1H,CH of pyrrolidine); 6.76-7.08(m,3H, NH of amine and imine); Anal. calcd. For C12H22N6O3: C, 48.31; H, 7.43; N, 28.17. Found C, 48.36; H, 7.43; N, 28.04.
Methyl 3, 5-diimino-2-methyl-8-oxo-2, 4, 6, 9-tetraazatridecan-13-oate (V e)
oily; % yield: 60%; boiling point: 150 °C; Rf= 0.55 (methanol: ammonium sulfate 10%: water) (1:10:1); Rf= 0.60 (methanol: ammonium sulfate 10%: water) (1:20:1); IR (NaCl) Vmax (cm-1): 3200-3600 (NH stretching of secondary amine and amide); 1650-1745 (Broad band due to C=O of ester overlap with C=O of amide); 1556,1502 (C=N of imine). 1HNMR (300MHZ, DMSO) (δ ppm): 1.99-2.21 (m,3H,CH2 overlapped with NH); 2.27(t,2H,CH2); 2.82(s,6H, N-CH3); 3.58(m,2H,CH2); 3.98(s,2H,CH2); 4.18 (s,3H,OCH3); 6.61-6.69(m,3H, NH of amine and imine); 8.24(s,1H,NH); Anal. calcd. For: C11H22N6O3 C, 46.14; H, 7.74; N, 29.35. Found C, 46.10; H, 7.72; N, 29.35.
3, 5-diimino-2-methyl-8-oxo-2, 4, 6, 9-tetraazaundecan-11-oic acid (VI a)
White powder; % yield: 60%; melting point: 189 °C; Rf= 0.26 (methanol: ammonium sulfate 10%: water) (1:20:1); IR (KBr) Vmax (cm-1): 3300-3650 (Broad OH stretching overlap with NH of secondary amine); 1650-1710 (Broad band due to C=O stretching of acid overlap with C=O of amide); 1591 (broad band C=N of imine). 1HNMR (300MHZ, DMSO) (δ ppm): 3.01(s,1H,NH); 3.15(s,6H, N-CH3); 3.54(s,2H,CH2); 4.80 (s,2H,CH2 of glycine); 6.88-6.94(s,3H, NH of amine and imine); 7.79(s,1H,NH), 10.82 (s,1H,COOH); Anal. calcd. For C8H16N6O3: C, 39.54; H, 6.60; N, 34.41. Found C, 39.20; H, 6.60; N, 34.14.
3, 5-diimino-2, 10-dimethyl-8-oxo-2, 4, 6, 9-tetraazaundecan-11oic acid (VI b)
Faint yellow powder; % yield: 58%; melting point: 265 °C; Rf= 0.30 (methanol: ammonium sulfate 10%: water) (1:20:1); IR (KBr) Vmax (cm-1): 3425 (Broad OH stretching); 3369 (NH of secondary amine); 1650-1710 (Broad band due to C=O stretching of acid overlap with C=O of amide); 1593 (broad band C=N of imine). 1HNMR (300MHZ, DMSO) (δ ppm): 1.41(d,3H,CH3of alanine); 2.51(s,1H,NH); 3.16(s,6H, N-CH3); 3.65(s,2H,CH2), 4.67(q,1H,CH of alanine); 6.69-6.74(s,3H, NH of amine and imine); 8.36(s,1H,NH), 10.77 (s,1H, COOH); Anal. calcd. For C9H18N6O3: C, 41.85; H, 7.02; N, 32.54. Found C, 41.57; H, 7.15; N, 32.41.
10-benzyl-3, 5-diimino-2-methyl-8-oxo-2, 4, 6, 9-tetraazaundecan-11oic acid (VI c)
yellow powder; % yield: 54%; melting point: 280 °C; Rf= 0.26 (methanol: ammonium sulfate 10%: water) (1:20:1); IR (KBr) Vmax (cm-1): 3000-3600 (Broad OH stretching overlap with NH of secondary amine and CH aromatic); 1674 (Broad band belongs to C=O stretching vibration of carboxylic and amide); 1556 (C=C aromatic); 1539 (C=N of imine).1HNMR (300MHZ, DMSO) (δ ppm): 2.86(s,1H,NH); 3.09(s,6H, N-CH3); 3.34,3.93(d,2H,CH2-Ar.), 4.31(s,2H,CH2); 4.62(t,1H,CH of phenyl alanine); 6.90-7.00(s,3H, NH of amine and imine); 7.34-7.66(m,5H,Ar.), 8.67 (s,1H, NH); 11.04(s,1H,COOH) Anal. calcd. For C15H22N6O3: C, 53.88; H, 6.63; N, 25.13. Found C, 53.61; H, 6.41; N, 25.00.
(S)-1-(2-(3-(N,N-dimethylcarbamimidoyl)guanidino)-acetyl) pyrrolidine-2-carboxylic acid (VI d)
White crystal; % yield: 53%; melting point: 380 °C; Rf= 0.33 (methanol: ammonium sulfate 10%: water) (1:20:1); IR (KBr) Vmax (cm-1): 2700-3300 (Broad OH stretching overlap with CH); 1600-1730 (Broad band due to C=O stretching of acid overlap with C=O stretching of amide and C=N stretching of imine). 1HNMR (300MHZ, DMSO) (δ ppm): 1.97-2.21 (m, 5H, CH2 overlapped with NH); 2.81(s, 6H, N-CH3); 3.36-3.59(m, 2H, CH2); 4.37(m, 1H, CH of pyrrolidine); 6.67(s, 3H, NH of amine and imine); 10.87(s, 1H, COOH); Anal. calcd. For C11H20N6O3: C, 46.47; H, 7.09; N, 29.56. Found C, 46.54; H, 7.10; N, 29.52.
3, 5-diimino-2-methyl-8-oxo-2, 4, 6, 9-tetraazatridecan-13-oic acid (VI e)
White powder; % yield: 50%; melting point: 323 °C; Rf= 0.38 (methanol: ammonium sulfate 10%: water) (1:20:1); IR (KBr) Vmax (cm-1): 2500-3200 (Broad OH stretching overlap with NH of secondary amine and CH); 1600-1730 (Broad band due to C=O stretching of acid overlap with C=O stretching of amide). 1498, 1480 (C=N of imine). 1HNMR (300MHZ, DMSO) (δ ppm): 1.51-1.78 (m,2H,CH2); 2.04-2.10(t,2H,CH2); 2.95(s,6H, N-CH3); 3.35-3.51 (m,2H,CH2); 3.76(s,2H,CH2); 6.57(s,3H, NH of amine and imine); 8.52(s,1H,NH); 10.83(s,1H,COOH); Anal. calcd. For: C10H20N6O3 C, 44.11; H, 7.40; N, 30.86. Found C, 44.17; H, 7.40; N, 30.58.
Evaluation of anti-hyperglycemic activity
The protocol of this work was approved by the ethical committee of the college of pharmacy/Al-Mustansiriyia University (AEC file no. 3 dates 20-04-2015). In vivo antidiabetic activity of the chemically synthesised compounds (V a-e) and (VI a-e) were evaluated using streptozotocin-induced diabetes in rats [20]. Their evaluation for antidiabetic activity based on the percent decrease in blood glucose level in comparison to standard metformin treatment [21].
Method of assessment
Albino rats of either sex weighing (200±10 g) were supplied by National Center for Drug Control and Research, Iraq and were housed in College of Pharmacy/University of Al-mustansiriyah under standardised conditions, 12 h light-dark cycle. Animals were fed commercial chaw and had free access to water and libitum. Diabetes was induced by intraperitoneal injection of streptozotocin (60 mg per Kg) and rats were divided into 13 groups (each group consists of 6 rats) as follow: Group 1: six non-diabetic rats served as negative control and treated with the (0.5 ml) vehicle (water).
Group 2: six diabetic rats served as positive control and treated with the vehicle (water). Group 3: six rats treated with metformin as reference substance in a dose of 150 mg/kg dissolved in distilled water (orally via gavage needle) [22]. Group 4-13: six diabetic rats treated orally via gavage needle with the tested (V a-e) and (VI a-e) dissolved in distilled water in doses that determined below.
Calculation for dose determination
150 mg/kg/165.62 = Dose/M. Wt. of the tested compounds
(Metformin M. Wt = 165.62 g/mol) table 1.
Table 1: Compounds with their molecular weight
| Compounds | Molecular weight | Dose mg/kg |
| Metformin | 165.62 | 150 |
| V a | 258.277 | 233.91 |
| VI a | 244.25 | 221.21 |
| V b | 272.30 | 246.61 |
| VI b | 258.27 | 233.91 |
| V c | 348.40 | 315.54 |
| VI c | 334.37 | 302.83 |
| V d | 298.34 | 270.20 |
| VI d | 284.31 | 257.49 |
| V e | 286.33 | 259.32 |
| VI e | 272.30 | 246.61 |
Experimental design
Rats were adapted for 7 d then diabetes was induced by intraperitoneal injection of streptozotocin (60 mg/kg), which was dissolved in distilled water and always prepared freshly for immediate use within 5 min. After 48 h, rats were starved overnight, and fasting blood glucose level was checked for each rat via glucometer (ACCU-CHECK). Depending on the negative control findings table 2, rats with hyperglycemia (fasting blood glucose>100 mg/dl) [23] considered to be diabetic. Metformin treatment and the tested compounds were administered orally via gavage needle and blood glucose level for each rat was measured via glucometer at seven-time intervals (0, 0.5, 1, 2, 4, 5, and 24 hr.) after drug administration.
Table 2: Fasting blood glucose level of the negative control group
| Rat1 | Rat2 | Rat3 | Rat4 | Rat5 | Rat6 |
| 55 | 74 | 62 | 66 | 100 | 70 |
Statistical analysis
The data are expressed as the mean±SEM and analysed for statistical significance using student t-test (Two-Sample Assuming Equal Variances) for comparison between mean values. Comparisons between different groups were made using ANOVA (one-way analysis using GraphPad prism 7 software) Probability (P) value of less than 0.05 was considered significant.
RESULTS AND DISCUSSION
Six compounds (V b, VI b, VI c, V d, VI d andV e) produced significant decrease in blood glucose level at 4 h compared to untreated animals while compounds (V a and V c) showed significant decrease in blood glucose level at 5 h after treatment (*: p<0.05, **: p<0.001) table 3.
Compounds (V b, V c, VI c and V e) produced higher percent of decrease in blood glucose level (68.9%, 59.8%, 66% and 58%) respectively, compared to metformin (50%) at 5 h while compounds (VI b, VI c, V d, VI d, V e and VI e) showed higher percent of decrease in blood glucose level (50%, 54%, 58%, 53%, 59% and 53%) respectively compared to metformin (41%) after 24 h as presented in fig. 1 and 2.
The kinetic profile of the tested compounds seemed to be close to metformin kinetic profile where the effect of most tested compounds started at 4 h and almost finished at 24 h as presented in fig. 3and 4.
Compounds (V a, VI a, V b and V c) showed significant decrease in blood glucose level at 5 h (47.2%, 48.4%, 68.9% and 59.8%) respectively, however their effect diminished after 24 h with percent decrease in blood glucose level equal to (20.8%, 18.2%, 24.8% and 12.4%) respectively.
Compound (V e) showed higher anti-hyperglycemic effect than metformin where its effect continued up to 24hr.
Compounds (V a-e) exerted profound reduction in blood glucose level compared to metformin which might be due to the protonated metformin molecule at physiological pH with pKa 11.5 so it can only marginally pass the lipid membrane with an oral bioavailability range between 40%-60% while incorporation of amino esters into metformin increase metformin absorption through intestine [24, 25]. Jing Sun et al. (2010) found that the intestinal absorption of [3-(hydroxymethyl) phenyl] guanidine was enhanced by incorporation of amino acid esters [26].
Generally, compounds with free carboxylic acid moiety have a higher anti-hyperglycemic effect than corresponding ester derivatives or parent compound metformin which might be due to their utilisation by intestinal peptide transporters as suggested by Tamai et al. (1998) during enhancement of the intestinal absorption of L-DOPA incorporated into L-phenylalanine [27].
Table 3: Effects of metformin (STD) and the tested compounds (V a-e) and (VI a-e) on blood glucose level (mg/dL)
Compounds |
Time |
||||||
0 h |
0.5 h |
1 h |
2 h |
4 h |
5 h |
24 h |
|
Post. cont. |
131.3±22.4 |
130.1±22.1 |
132.7±22.7 |
135.7±23 |
141.6±23.7 |
148.7±24.9 |
170±25.9 |
STD |
170.5±18.6 |
161.8±22 |
139.3±18 |
114.7±18.8 |
93.5±15.5** |
80.8±13.8** |
82.5±17.3* |
V a |
245.2±41.2 |
213.2±40.9 |
175.7±36.7 |
150.7±34.4 |
129.5±30.7 |
105.3±26.6* |
145.8±24.3 |
V b |
315.7±75.5 |
216±38.1 |
188.3±33.3 |
163.2±29.7 |
135.8±25.6* |
98±16.6* |
174.2±44.3 |
V c |
323.7±40 |
294.5±35.5 |
240.5±26.8 |
188.2±25.7 |
159.5±24.9 |
130.5±22.7** |
186.3±23.4 |
V d |
164.5±8 |
150.3±9.1 |
138.2±7.2 |
117.7±9.7 |
94±8.8** |
83±2.4** |
69.8±3.1* |
V e |
135.7±3.3 |
122.3±2.8 |
107±3.4 |
85±5.8 |
66.3±4.6** |
57±1.7** |
55.2±2.1* |
VI a |
331.8±66 |
297.7±63.4 |
278.2±66.5 |
252.2±64.9 |
194±57.6 |
171.3±55.6 |
126.8±23.7* |
VI b |
153.8±6 |
144.2±5 |
128.2±5 |
106.7±8.2 |
89.3±6.5** |
75.5±6** |
61±2.9* |
VI c |
157.2±7 |
140.3±8.6 |
121.8±5.8 |
100.2±5 |
85.5±6** |
69.7±4** |
57±4.1* |
VI d |
162±13.9 |
139.2±15 |
126.5±14.6 |
112±13.4 |
93.5±14** |
87±2.1** |
59.8±3.4* |
VI e |
242.8±42.7 |
222±39.2 |
209.5±40.2 |
191±38 |
176.7±36.8 |
159.5±16.9 |
88.7±10.2* |
Each value represents the mean±SEM **: p<0.001, *: p<0.05, ns: non-significant compared to untreated animals using one-way ANOVA analysis, n=6, post. cont; positive control, STD; metformin standard treatment, V a-e; metformin derivatives of ester series, VI a-e; metformin derivatives of acid series.

Fig. 1: Percent decrease in blood glucose level for metformin (STD), and the tested compounds (V a-e) and (VI a-e) after 5 h. Results are expressed as mean±SEM (n= 6). ANOVA one-way analysis was used for statistical analysis

Fig. 2: Percent decrease in blood glucose level for metformin (STD), and the tested compounds (V a-e) and (VI a-e) after 24 h. Results are expressed as mean±SEM (n= 6). ANOVA one-way analysis was used for statistical analysis

Fig. 3: Percent decrease in blood glucose level with time for metformin (STD) and (V a-e) finals. Each value represents the mean of six animals, n=6

Fig. 4: Percent decrease in blood glucose level with time for metformin (STD) and (VI a-e) finals. Each value represents the mean of six animals
CONCLUSION
In vivo antidiabetic study showed that the incorporation of amino acids or their methyl esters into metformin molecule maintained or enhanced its anti-hyperglycemic effect which might be due to enhanced bioavailability of these series by enhanced passive diffusion and/or enhanced binding to intestinal di/tripeptide transporters (PepT1) which are expressed in small intestine or may have additional or different mechanism of hypoglycemic effect. (Further investigation in this area is required).
ACKNOWLEDGEMENT
The authors are thankful to the laboratory for pharmaceutical Chemistry and the animal house in Al‐mustansiriyah University, Baghdad, Iraq, for providing the necessary facilities to conduct research work. We would also like to acknowledge the support received from assistant Prof. Dr. Ghaith Ali Jasim while conducting the research work.
CONFLICT OF INTERESTS
Declared none
REFERENCES
How to cite this article