
1Girijananda Chowdhury Institute of Pharmaceutical Science, Azara, Hathkhowapara, Guwahati 781017, Assam
Email: biswajit.itbhu@gmail.com
Received: 01 Oct 2016 Revised and Accepted: 17 Nov 2016
ABSTRACT
Objective: The present work is designed to synthesise some isomeric new series of Quinazoline-4-one/4-thione derivatives, based on the pharmacophoric model of central nervous system (CNS) activity by structural modifications retaining the essential structural features for the activity and evaluated for their anticonvulsant and CNS depressant properties.
Methods: A series of 7-chloro-3-[substituted (amino/phenylamino)]-2-phenyl quinazolin-4 (3H)-one/thione derivatives and 1-(7-chloro-4-oxo/-2-phenylquinazoline-3 (4H-yl)) substituted urea derivatives were prepared. The reaction scheme proceeds through the intermediate 7-chloro-2-phenyl-4H-benzo[d] [1, 3] oxazin-4-one. The structures of the newly synthesised compounds were characterized from infrared (IR), 1H nuclear magnetic resonance (NMR) and mass spectra (m/z) and elemental analysis. The anti-convulsant and CNS depressant activity were investigated by maximum electroshock (MES) seizure test and porsolt’s behavioural despair test (forced swimming) respectively. The rota-rod test was performed to assess any probable changes in motor coordination induced by the test compounds.
Results: The physicochemical and spectroscopic data clearly confirmed the synthesis of quinazoline derivatives with a common skeleton. The synthesised compounds were evaluated for their anticonvulsant and CNS depressant properties. Among them, six compounds (IIc, IIg, IIj, IIIc, IIIg, IIIj) exhibited a good activity profile in CNS depressant activity. Five compounds (IIc, IIg, IIj, IIIg, IIIh) showed protection against MES-induced seizures.
Conclusion: The Quinazoline derivatives obtained from this research work indicates that the methyl/methoxy group in phenyl ring, amine and thiourea substitution at 3rd position of quinazoline derivatives are essential for CNS depressant activity as well as anticonvulsant activity. Compounds IIc, IIg, IIj, IIIc, IIIg, IIIj, and IIIh were found to be a potent compound which may be effective as a potential source for the development of CNS depressant and anti-convulsant drugs with lesser side effects.
Keywords: 7-chloro-2-phenyl-4H-benzo[d][1,3]oxazin-4-one, Quinazoline derivatives, Anticonvulsant activity, CNS depressant activity
© 2017 The Authors. Published by Innovare Academic Sciences Pvt Ltd. This is an open access article under the CC BY license (http://creativecommons.org/licenses/by/4. 0/)
DOI: http://dx.doi.org/10.22159/ijpps.2017v9i1.15492
INTRODUCTION
Epilepsy is a chronic neurological disorder characterised by unprovoked seizures and affects at least 1 percent (50 million) people worldwide [1, 2]. Anti-convulsants are among the most widely utilised drugs for the treatment of CNS disorders [3]. Both dose related and idiosyncratic adverse effects are relatively common with the existing antiepileptic drugs [4] and this, together with their potential teratogenicity and drug interactions, make long-term use problematical. About one-third of patients do not respond well to current multiple drugs therapy [5]. Currently, no single drug is available which is effective against the various forms and degrees of convulsive disorders [6]. The anti-epileptic drugs mainly act through different mechanisms such as (a) enhancement of gamma amino butyric acid (GABA) mediated inhibition or another effect on the GABA system, (b) modulation of voltage-dependent Na+/Ca2+ channels, (c) modulation of synaptic release, (d) inhibition of synaptic excitation mediated by ionotropic glutamate receptors [7]. Several studies reveal that 63% of patients diagnosed and treated seizure-free and more than 50% of epilepsy patients have experienced unwanted side effects [8-10]. Hence, there is a need for safer, more effective anti-epileptic drugs for both generalised and partial seizures. So the search for new anti-epileptic drugs with lower toxicities and fewer side effects than the existing drugs is continuing. Quinazoline derivatives have been focused recently in the design of novel anti-convulsant and CNS depressant agents [11, 12] suggested that the presence of aryl hydrophobic binding site, hydrogen bonding domain and electron donor group regulate the pharmacokinetic properties of the anticonvulsant drug. Fig. 1 shows the pictorial representation of proposed designed quinazoline scaffold which bears the above-mentioned functional groups. The attachment of different functional groups to the quinazoline scaffold give the different structural activity relationship i.e. presence of aromatic/aliphatic group at position 2 and substituted aromatic ring at position 3 are essential for anti-convulsant and CNS depressant activity. As the aromatic ring increases the lipophilicity, the drug can cross the blood-brain barrier. The methyl/methoxy group substitution in the aromatic ring may increase the CNS activity. The introduction of electron withdrawing group at ortho/para position in aromatic ring may increase the CNS activity [13]. So, based on these mentioned hypotheses, the present research work focuses on the following objectives: (a) design and synthesis of some hybrid compounds having above mentioned molecular features, (b) anticonvulsant screening of the synthesised compounds by MES method, (c) CNS depressant screening by forced swimming test method.
In the present study, we also attempt to design and synthesise isomeric new series of quinazoline-4-one/4-thione derivatives, based on the pharmacophoric model of CNS activity by structural modifications retaining the essential structural features for the activity and evaluated for their anticonvulsant and CNS depressant properties.
MATERIALS AND METHODS
General
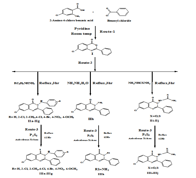
The synthesis of the target compounds was accomplished as illustrated in the fig. 2. The compounds were synthesised according to the procedure given in the respective literature [14-16]. All the reagents and solvents used in the study were of analytical grade purity and procured from Sigma-Aldrich Pvt. Ltd. (India). The progress of the reaction was monitored by thin layered chromatography with hexane: ethyl acetate (3:2) as the mobile phase and performed on silica gel 60 F254 aluminium sheets (Merck Ltd., Germany); the products were purified by recrystallization. Melting points were determined in open capillaries using Stuart SMP10 (Barloworld scientific Ltd., UK), electro thermal melting point apparatus. IR spectra were recorded on Shimadzu 8400S FTIR (Shimadzu Corporation, Japan) spectrophotometer using was recorded in cm-1. H1 NMR (400.13MHz) spectra were acquired on a Bruker Advance II-400 NMR spectrophotometer using tetra-methylsilane (TMS) as the internal standard, and the chemical shifts were recorded in δ. The mass spectrum was obtained on Water ZQ-4000 mass spectrophotometer. Elemental analysis for C, H and N have performed on Perkin Elmer 2400 Series-II CHN analyser.
Chemical synthesis
General procedure
Synthesis of 7-chloro-2-phenyl-4H-benzo[d] [1, 3] oxazin-4-one (I): (Intermediate)
4-chloroanthranilic acid (0.01 mol) was dissolved in dry pyridine (30 ml) by stirring slowly at room temperature. The solution was cooled to 0 °C and a solution of benzoyl chloride (0. 02 mol) in dry pyridine (30 ml) was added slowly with constant stirring. After this addition, the reaction mixture was further stirred for half an hour at room temperature and set aside for 1hr. The pasty mass obtained was diluted with water (50 ml) and treated with aqueous sodium bicarbonate solution. When the effervescence ceased, the precipitate obtained was filtered off and washed with water, dried and recrystallized from diluted ethanol [14].
General procedure for the synthesis of compounds, IIa-IIj
7-chloro-2-phenyl-4H-benzo[d][1,3]oxazin-4-one (0.01 mol) and substituted phenylhydrazine derivatives/hydrazine hydrate/ semicarbazide/thiosemicarbazide (0.01 mol) were refluxed for 3 h in presence of glacial acetic acid. The reaction mixture was allowed to cool at room temperature. The crude product was recrystallized using absolute alcohol to afford the target compounds IIa-IIj [15].
General procedure for the synthesis of compounds, IIIa-IIIj
A mixture of 7-chloro-(3-amino/substituted phenylamino)-2-phenyl quinazoline-4 (3H)–one/1-(7-chloro-4-oxo-2-phenylquinazolin-3 (4H)-yl-urea/thiourea (10 mmol, 2.70 kg) and phosphorus pentasulphide (1 mmol, 2.43 g) was heated under reflux in anhydrous xylene (100 ml) for 12 h. The reaction mixture was filtered while hot, the solvent was evaporated and the residue was triturated with dimethyl sulphoxide (10 ml) and filtered. The clear filtrate was poured into ice water, dried and recrystallised from ethanol to afford the target compounds IIIa-IIIj [16].
Compound I (7-chloro-2-phenyl-4H-benzo[d] [1, 3] oxazin-4-one)
White powder (methanol); 4-chloroanthranilic acid (0.01 mol) was dissolved in dry pyridine (30 ml) by stirring slowly at room temperature. The solution was cooled to 0 °C and a solution of benzoyl chloride (0.02 mol) in dry pyridine (30 ml) was added slowly with constant stirring. After this addition, the reaction mixture was further stirred for half an hour at room temperature and set aside for 1 h. The pasty mass obtained was diluted with water (50 ml) and treated with aqueous sodium bicarbonate solution. When the effervescence ceased, the precipitate obtained was filtered off and washed with water, dried and recrystallized from diluted ethanol as white solid. (Yield: 61.2%); m. p 156-158 °C; IR (cm-1) νmax: Ar-CHstretch (3072 cm-1), C=O (1751.33 cm-1), C=N (1592 cm-1), cyclic C-O-Cstretch (1060.47 cm-1), C-Cl (680.72 cm-1); 1H NMR (DMSO-d6, 400.13MHz): δ7. 31-7.69 (m, 5H, Ar-H,), 7.52-8.2 (t, 5H, Ar-H); MS m/z: 262.12 (M+), C14 H8ClNO2 (Calcd. 257.67); Anal calcd. (%) C, 65.26; H, 3.13; N, 5.44; Found: C, 65.67; H, 3.52; N, 5.84.
Compound IIa (7-chloro-2-phenyl-3-(phenylamino) quinazolin-4 (3H)-one)
Reddish brown crystalline solid (methanol); 7-chloro-2-phenyl-4H-benzo[d][1,3]oxazin-4-one (0.01 mol) and phenyl hydrazine derivatives hydrate (0.01 mol) were refluxed for 3 h in presence of glacial acetic acid. The reaction mixture was allowed to cool at room temperature. The crude product was recrystallized using absolute alcohol as reddish brown solid. (Yield: 87.2%); m. p. 135-145 °C; IR (cm-1) νmax Ar-CHstretch (3262 cm-1), C=O (1664.49 cm-1), C=N (1595 cm-1), N-NHstretch (3343.75 cm-1), C-Cl (689.04 cm-1), 1H NMR (DMSO-d6, 400.13MHz), δ 7.491-7.601 (m, 5H, Ar-H,), 7.781-8.115 (m, 5H, Ar-H), 7.907-8.723 (t, 3H, Ar-H), 3.466 (s, 1H, N-H); MS m/z: 365.11 (M+); C20H14ClN3O (Calcd. 347.8); Anal calcd. (%) C, 69.07; H, 4.06; N, 12.08; Found: C, 69.48;H, 4.48;N, 12.48.
Compound IIb (7-chloro-2-phenyl-3-(o-chloro-phenylamino) quinazolin-4 (3H)-one)
White crystalline solid (methanol); 7-chloro-2-phenyl-4H-benzo [d][1, 3]oxazin-4-one (0. 01 mol) and 2-chloro phenyl hydrazine (0.01 mol) were refluxed for 3 h in presence of glacial acetic acid. The reaction mixture was allowed to cool at room temperature. The crude product was recrystallized using absolute alcohol as white crystalline solid. (Yield: 57. 14%); m. p 168-170 °C; IR (cm-1) νmax Ar-CHstretch (3323.43 cm-1), C=O (1665.77 cm-1), C=N (1592 cm-1), N-NHstretch (3307.746 cm-1), C-Cl (676.27 cm-1), 1H NMR (DMSO-d6, 400. 13MHz), δ 6.753-7.181 (m, 4H, Ar-H,), 7.305-7.72 (t, 5H, Ar-H), 7.52-7.907 (t, 3H, Ar-H), 4.56 (s, 1H, N-H), MS, m/z: 382.02 (M+); C20H13Cl2N3O (Calcd. 382.24); Anal calcd. (%)C, 62.84;H, 3.43;N, 10.99; Found: C, 63.24;H, 3.85;N, 11.35.
Compound IIc (7-chloro-2-phenyl-3-(o-methyl-phenylamino) quinazolin-4 (3H)-one)
Light brown crystalline solid (methanol); 7-chloro-2-phenyl-4H-benzo[d][1, 3]oxazin-4-one (0. 01 mol) and 2-methyl phenyl hydrazine (0.01 mol) were refluxed for 3 h in presence of glacial acetic acid. The reaction mixture was allowed to cool at room temperature. The crude product was recrystallized using absolute alcohol as Light brown crystalline solid. (Yield: 67%); m. p 163-166 °C; IR (cm-1) νmax Ar-CHstretch (3242.17 cm-1), C=O (1677.66 cm-1), C=N (1654 cm-1), N-NHstretch (3309.67 cm-1), C-CH3 (2911.79 cm-1), 1H NMR (DMSO-d6, 400.13MHz), δ 6.85-7.02 (m, 4H, Ar-H), 7.282-7.621 (m, 5H, Ar-H), 7.653-7.91 (t, 3H, Ar-H), 3.818 (s, 1H, N-H), 2.51 (s, 1H, Ar-CH3), MS, m/z: 361.23 (M+); C20 H13Cl2 N3 O (Calcd. 361.82); Anal calcd. (%) C, 69.71; H, 4.46; N, 11.61; Found: C, 70.12; H, 4.87; N, 12.04.
Compound IId (7-chloro-2-phenyl-3-(p-chloro-phenylamino) quinazolin-4 (3H)-one)
Brown crystalline solid (methanol); 7-chloro-2-phenyl-4H-benzo[d] [1,3] oxazin-4-one (0.01 mol) and p-chloro phenyl hydrazine (0.01 mol) were refluxed for 3 h in presence of glacial acetic acid. The reaction mixture was allowed to cool at room temperature. The crude product was recrystallized using absolute alcohol as brown crystalline solid. (Yield: 91.67%); m. p 171-174 °C; IR (cm-1); νmax Ar-CHstretch (3010.02 cm-1), C=O (1665.38 cm-1), C=N (1594.74 cm-1), N-NHstretch (3240.41 cm-1), C-Cl (698 cm-1), 1H NMR (DMSO-d6, 400.13MHz), δ 6. 743-7.23 (m, 4H, Ar-H,), 7. 352-7.68 (t, 4H, Ar-H), 7.54-7.907 (t, 3H, Ar-H), 4.43 (s, 1H, N-H), MS, m/z: 382. 07 (M+); C20H13Cl2N3O (Calcd. 382.24); Anal calcd. (%) C, 62.84; H, 3.42; N, 10.99; Found: C, 63.14; H, 3.82; N, 11.12.
Compound IIe (7-chloro-2-phenyl-3-(p-bromo-phenylamino) quinazolin-4 (3H)-one)
Brown crystalline solid (methanol); 7-chloro-2-phenyl-4H-benzo[d] [1,3] oxazin-4-one (0.01 mol) and p-bromo phenyl hydrazine (0.01 mol) were refluxed for 3 h in presence of glacial acetic acid. The reaction mixture was allowed to cool at room temperature. The crude product was recrystallized using absolute alcohol as brown crystalline solid. (Yield: 91.67%); m. p 172-175 °C; λmax (nm) 274; IR (cm-1); νmax Ar-CHstretch (3271.23 cm-1), C=O (1691.23 cm-1), C=N (1645.30 cm-1), N-NHstretch (3332.01 cm-1), C-Br (693.97 cm-1), 1H NMR (DMSO-d6, 400.13MHz), δ 6. 52-7.24 (m, 5H, Ar-H), 7. 43-7.62 (m, 4H, Ar-H), 7.42-7.85 (m, 3H, Ar-H), 4.42 (s, 1H, N-H), MS, m/z: 412.85 (M+); C20H13 Br ClN3O (Calcd. 426.69); Anal calcd. (%) C, 56.3; H, 3.07; N, 9.85; Found: C, 56.72; H, 3.48; N, 10.25.
Compound IIf (7-chloro-2-phenyl-3-(p-nitro-phenylamino) quinazolin-4 (3H)-one)
Reddish brown solid (methanol); 7-chloro-2-phenyl-4H-benzo[d][1, 3] oxazin-4-one (0.01 mol) and p-nitro phenyl hydrazine (0.01 mol) were refluxed for 3 h in presence of glacial acetic acid. The reaction mixture was allowed to cool at room temperature. The crude product was recrystallized using absolute alcohol as brown crystalline solid. Yield: 80%); m. p 171-173 °C; IR (cm-1); νmax Ar-CHstretch (3250 cm-1), C=O (1650.49 cm-1), C=N (1592 cm-1), N-NHstretch (3341.75 cm-1), C-Cl (682.04 cm-1), 1H NMR (DMSO-d6, 400.13MHz), δ 6. 94-7.31 (t, 5H, Ar-H), 6.96-8.12 (m, 5H, Ar-H), 7.5-7.81 (t, 3H, Ar-H), 3.9 (s, 1H, N-H), MS, m/z: 378.15 (M+); C20H13ClN4O3 (Calcd. 392.8); Anal calcd. (%) C, 61.16; H, 3.34; N, 14.26; Found: C, 62.12; H, 4.15; N, 14.67.
Compound IIg (7-chloro-2-phenyl-3-(p-methoxy-phenylamino) quinazolin-4 (3H)-one)
Brownish yellow solid (methanol); 7-chloro-2-phenyl-4H-benzo[d] [1, 3]oxazin-4-one (0. 01 mol) and p-methoxy phenyl hydrazine (0. 01 mol) were refluxed for 3 h in presence of glacial acetic acid. The reaction mixture was allowed to cool at room temperature. The crude product was recrystallized using absolute alcohol as brown yellow solid. Yield: 92%); m. p 170-173 °C; IR (cm-1) νmax Ar-CHstretch (3114.98 cm-1), C=O (1752.81 cm-1), C=N (1664.02 cm-1), N-NHstretch (3310.40 cm-1), OCH3-CHstretch (3008.64 cm-1), Ar-CHstretch (3271.23 cm-1), 1H NMR (DMSO-d6, 400.13MHz), δ 6.5-6.7 (m, 4H, Ar-H), 7.28-7.62 (m, 5H, Ar-H), 7.46-7.921 (t, 3H, Ar-H), 4.1 (s, 1H, N-H), 3.78 (s, 1H, Ar-OCH3), MS, m/z: 345.12 (M+); C21H16ClN3O (Calcd. 361.82); Anal Calcd. (%) C, 66.76; H, 4.27; N, 11.12; Found: C, 67.16; H, 4.67; N, 11.54.
Compound IIh (3-amino-7-chloro-2-phenyquinazolin-4-(3H)-one)
Brown crystalline solid (methanol); 7-chloro-2-phenyl-4H-benzo[d] [1,3] oxazin-4-one (0.01 mol) and hydrazine hydrazine hydrate (0.01 mol) were refluxed for 3 h in presence of glacial acetic acid. The reaction mixture was allowed to cool at room temperature. The crude product was recrystallized using absolute alcohol as brown yellow solid. (Yield: 92%); m. p 170-173 °C; λmax (nm) 278; IR (cm-1); νmax Ar-CHstretch (3126.37 cm-1), C=O (1598 cm-1), C=N (1552.02 cm-1), N-NHstretch (3283.49 cm-1), C-Cl (696 cm-1), 1H NMR (DMSO-d6, 400.13MHz), δ 7.21-7.56 (m, 5H, Ar-H), 7.42-7.87 (m, 3H, Ar-H), 2.4 (s, 1H, N-H), MS, m/z: 272.12 (M+); C14 H10ClN3O (Calcd. 271.7); Anal calcd. (%) C, 61.89; H, 3.71; N, 15.47; Found: C, 62.29; H, 4.12; N, 15.87.
Compound IIi (1-(7-chloro-4-oxo-2-phenylquinazoline-3 (4H-yl)) urea)
White crystalline solid (methanol); 7-chloro-2-phenyl-4H-benzo[d] [1, 3] oxazin-4-one (0. 01 mol) and semicarbazide (0. 01 mol) were refluxed for 3 h in presence of glacial acetic acid. The reaction mixture was allowed to cool at room temperature. The crude product was recrystallized using absolute alcohol as white crystalline solid. (Yield: 60%); m. p 165-167 °C; IR (cm-1) νmax Ar-CHstretch (3199.89 cm-1), C=O (1671.85 cm-1), C=N (1593.8 cm-1), N-NHstretch (3027.51 cm-1), C-Cl (692.51 cm-1), 1H NMR (DMSO-d6, 400.13MHz), δ 7.25-7.58 (m, 5H, Ar-H), 7.37-7.86 (m, 3H, Ar-H), 5.8 (s, 1H, N-H), MS, m/z: 312.45 (M+); C15 H11ClN4O2 (Calcd. 314.72); Anal calcd. (%) C, 57.24; H, 3.52; N, 17.8; Found: C, 57.46; H, 3.94; N, 18.21.
Compound IIj (1-(7-chloro-4-oxo-2-phenylquinazoline-3 (4H-yl))thiourea)
White amorphous solid (methanol); 7-chloro-2-phenyl-4H-benzo[d] [1, 3] oxazin-4-one (0.01 mol) and thiosemicarbazide (0.01 mol) were refluxed for 3 h in presence of glacial acetic acid. The reaction mixture was allowed to cool at room temperature. The crude product was recrystallized using absolute alcohol as white crystalline solid. (Yield: 70%); m. p 162-165 °C; IR (cm-1); νmax Ar-CHstretch (3126.71 cm-1), C=O (1644.7 cm-1), C=N (1552.32 cm-1), N-NHstretch (3432.52 cm-1), C-Cl (755.72 cm-1) 1H NMR (DMSO-d6, 400.13MHz), δ 7.24-7.5 (m, 5H, Ar-H), 7.32-7.78 (m, 3H, Ar-H), 2.3 (s, 1H, N-H), MS, m/z: 332. 15 (M+); C15H11ClN4OS (Calcd. 330.79); Anal calcd. (%) C, 54.46; H, 3.35; N, 16.94; Found: C, 54.86; H, 3.35; N, 16.94.
Compound IIIa (7-chloro-2-phenyl-3-(phenylamino)-quinazolin-4 (3H)-thione)
Light brown crystalline solid (methanol) A mixture of 7-chloro-2-phenyl-3-(phenylamino) quinazolin-4 (3H)-one (10 mmol, 2.70 g) and phosphorus penta sulphide (1 mmol, 2.43 g) was heated under reflux in anhydrous xylene (100 ml) for 12 h. The reaction mixture was filtered while hot, the solvent was evaporated and the residue was triturated with dimethyl sulphoxide (10 ml) and filtered. The clear filtrate was poured into ice water, dried and recrystallised from ethanol to form light brown crystalline solid. (Yield: 68%); m. p. 165-168 °C; IR (cm-1) νmax Ar-CHstretch (3025 cm-1), C-N (1150.39 cm-1), C=N (1666.18 cm-1), C=S (1262.41 cm-1), C-Cl (735.15 cm-1), N-NH (bend) (3057.18 cm-1), 1H NMR (DMSO-d6, 400.13MHz), δ 6.5-7.4 (m, 5H, Ar-H), 6.42-7.71 (m, 5H, Ar-H), 7.15-7.5 (m, 3H, Ar-H), 3.8 (s, 1H, N-H), MS, m/z: 362.15 (M+); C20H14ClN3S (Calcd. 363.86); Anal calcd. (%) C, 66.02; H, 3.88; N, 11.55; Found: C, 66.42; H, 4.28; N, 11.96.
Compound IIIb (7-chloro-2-phenyl-3-(o-chlorophenylamino)-quinazolin-4 (3H)-thione)
Brown crystalline solid (methanol); A mixture of 7-chloro-2-phenyl-3-(o-chloro-phenylamino) quinazolin-4 (3H)-one (10 mmol, 2.70 g) and phosphorus penta sulphide (1 mmol, 2.43 g) was heated under reflux in anhydrous xylene (100 ml) for 12 h. The reaction mixture was filtered while hot, the solvent was evaporated and the residue was triturated with dimethyl sulphoxide (10 ml) and filtered. The clear filtrate was poured into ice water, dried and recrystallised from ethanol to form brown crystalline solid. (Yield: 67%); m. p. 140-142 °C; IR (cm-1); νmax Ar-CHstretch (3010.02 cm-1), C=S (1665.38 cm-1), C=N (1594.74 cm-1), N-NHstretch (3240.41 cm-1), C-Cl (698 cm-1), 1H NMR (DMSO-d6, 400.13MHz), δ 6.62-7.35 (m, 5H, Ar-H), 6.45-7.68 (m, 5H, Ar-H), 7.2-7.48 (m, 3H, Ar-H), 4.1 (s, 1H, N-H), MS, m/z: 396.14 (M+); C14H10ClN3S (Calcd. 398.31); Anal calcd. (%) C, 60.31; H, 3.29; N, 10.55; Found: C, 60.71; H, 3.59; N, 10.97.
Compound IIIc (7-chloro-2-phenyl-3-(o-methylphenylamino)-quinazolin-4 (3H)-thione)
Brownish yellow crystalline solid (methanol); A mixture of 7-chloro-2-phenyl-3-(o-methyl-phenylamino) quinazolin-4 (3H)-one (10 mmol, 2.70 g) and phosphorus penta sulphide (1 mmol, 2.43 g) was heated under reflux in anhydrous xylene (100 ml) for 12 h. The reaction mixture was filtered while hot,the solvent was evapourated and the residue was triturated with dimethyl sulphoxide (10 ml) and filtered. The clear filtrate was poured into ice water, dried and recrystallised from ethanol to form brownish yellow crystalline solid. (Yield: 71%); m. p 172-175 °C; IR (cm-1); νmax Ar-CHstretch (3114.98 cm-1), C=S (1264.56 cm-1), C=N (1664.02 cm-1), C-N (1099.72 cm-1) N-NHstretch (3310.40 cm-1), CH3-CHstretch (3008.64 cm-1), 1H NMR (DMSO-d6, 400.13MHz), δ 6.5-7.57 (m, 5H, Ar-H), 6.67-7.58 (m, 5H, Ar-H), 7.31-7.35 (t, 3H, Ar-H), 3.9 (s, 1H, N-H), 2.34 (s, 1H, Ar-CH3), MS, m/z: 378.19 (M+) C20H13Cl2N3S (Calcd. 377.89); Anal calcd. (%) C, 66.75; H, 4.27; N, 10.55; Found: C, 60.71; H, 3.47; N, 11.44.
Compound IIId (7-chloro-2-phenyl-3-(p-chlorophenylamino)-quinazolin-4 (3H)-thione)
Dark brown crystalline solid (methanol); A mixture of 7-chloro-2-phenyl-3-(p-chloro-phenylamino) quinazolin-4 (3H)-one (10 mmol, 2.70 g) and phosphorus penta sulphide (1 mmol, 2.43 g) was heated under reflux in anhydrous xylene (100 ml) for 12 h. The reaction mixture was filtered while hot, the solvent was evaporated and the residue was triturated with dimethyl sulphoxide (10 ml) and filtered. The clear filtrate was poured into ice water, dried and recrystallised from ethanol to form dark brown crystalline solid. (Yield: 72%); m. p 162-163 °C; IR (cm-1) νmax Ar-CHstretch (3029 cm-1), C-N (1171.25 cm-1), C=N (1676.63 cm-1), C=S (1263.99 cm-1), C-Cl (761.37 cm-1), N-NH (bend) (3196.89 cm-1), 1H NMR (DMSO-d6, 400.13MHz), δ 6.58-7.24 (m, 5H, Ar-H), 6. 7-7.34 (m, 5H, Ar-H), 7.25-7.42 (m, 3H, Ar-H), 4.2 (s, 1H, N-H), MS, m/z: 398.05 (M+); C20H13Cl2N3S (Calcd. 398.31); Anal calcd. (%) C, 60.31; H, 3.29; N, 11.12; Found: C, 67.12; H, 4.67; N, 11.02.
Compound IIIe (3-(4-bromophenylamino)-7-chloro-2-phenyl-quinazolin-4 (3H)-thione)
Brownish yellow crystalline solid (methanol); A mixture of 7-chloro-2-phenyl-3-(p-bromo-phenylamino) quinazolin-4 (3H)-one (10 mmol, 2.70 g) and phosphorus penta sulphide (1 mmol, 2.43 g) was heated under reflux in anhydrous xylene (100 ml) for 12 h. The reaction mixture was filtered while hot, the solvent was evaporated and the residue was triturated with dimethyl sulphoxide (10 ml) and filtered. The clear filtrate was poured into ice water, dried and recrystallised from ethanol to form brownish yellow crystalline solid. (Yield: 69%); m. p. 170-173 °C; IR (cm-1); νmax Ar-CHstretch (2918.13 cm-1), C=S (1233.04 cm-1), C=N (1665.31 cm-1), N-NHstretch (3060.79 cm-1), C-Br (683.52 cm-1), 1H NMR (DMSO-d6, 400.13MHz), δ 6.53-7.58 (m, 5H, Ar-H,), 7.43-7.62 (m, 4H, Ar-H), 7.24-7.41 (m, 3H, Ar-H), 4.2 (s, 1H, N-H), MS, m/z: 445.82 (M+); C20H13BrClN3S (Calcd. 442.76); Anal calcd. (%) C, 54.25; H, 2.96; N, 9.49; Found: C, 54.65; H, 3.37; N, 9.59.
Compound IIIf (7-chloro-2-phenyl-3-(p-nitrophenylamino)-quinazolin-4 (3H)-thione)
Reddish brown crystalline solid (methanol); A mixture of 7-chloro-2-phenyl-3-(p-nitro-phenylamino) quinazolin-4 (3H)-one (10 mmol, 2.70 g) and phosphorus penta sulphide (1 mmol, 2.43 g) was heated under reflux in anhydrous xylene (100 ml) for 12 h. The reaction mixture was filtered while hot, the solvent was evaporated and the residue was triturated with dimethyl sulphoxide (10 ml) and filtered. The clear filtrate was poured into ice water, dried and recrystallised from ethanol to form reddish brown crystalline solid. (Yield: 70%); m. p 171-174 °C; IR (cm-1) νmax Ar-CHstretch (3255 cm-1), C=O (1648.49 cm-1), C=N (1594 cm-1), N-NHstretch (3342.75 cm-1), C-Cl (692.04 cm-1), 1H NMR (DMSO-d6, 400.13MHz), δ 7.12-7.56 (t, 5H, Ar-H,), 6.95-8.2 (m, 5H, Ar-H), 7.31-7.42 (t, 3H, Ar-H), 3.89 (s, 1H, N-H), MS, m/z: 407.16 (M+); C20H13ClN4 O2S (Calcd. 408.86); Anal calcd. (%) C, 58.75;H, 3.20; N, 13.7; Found: C, 59.12; H, 3.62; N, 14.12.
Compound IIIg (7-chloro-2-phenyl-3-(p-methoxyphenylamino)-quinazolin-4 (3H)-thione)
Light brown crystalline solid (methanol); A mixture of 7-chloro-2-phenyl-3-(p-methoxy-phenylamino) quinazolin-4 (3H)-one (10 mmol, 2.70g) and phosphorus penta sulphide (1 mmol, 2.43 g) was refluxed in anhydrous xylene (100 ml) for 12 h. The reaction mixture was filtered while hot, the solvent was evaporated and the residue was triturated with dimethyl sulphoxide (10 ml) and filtered. The clear filtrate was poured into ice water, dried and recrystallised from ethanol to form light brown crystalline solid. (Yield: 72%); m. p 172-174 °C; IR (cm-1) νmax Ar-CHstretch (3242.17 cm-1), C=S (1261.65 cm-1), C=N (1677.66 cm-1), C-N (1193.01 cm-1), N-NHstretch (3309.67 cm-1), C-CH3 (2911.79 cm-1), 1H NMR (DMSO-d6, 400.13MHz), δ 6.54-7.52 (m, 5H, Ar-H), 6.7-7.58 (m, 5H, Ar-H), 7.24-7.35 (m, 3H, Ar-H), 4.2 (s, 1H, N-H), MS, m/z: 338.15 (M+); C21H16ClN3S (Calcd. 393.89); Anal calcd. (%) C, 58.75; H, 3.20; N, 13.7; Found: C, 59.12; H, 3.62; N, 14.12.
Compound IIIh (3-amino-7-chloro-2-phenyl-quinazoline-4-(3H)-thione)
Reddish brown crystalline solid (methanol); A mixture of 3-amino-7-chloro-2-phenyquinazolin-4-(3H)-one (10 mmol, 2.70g) and phosphorus penta sulphide (1 mmol, 2.43 g) was reflux in anhydrous xylene (100 ml) for 12 h. The reaction mixture was filtered while hot, the solvent was evaporated and the residue was triturated with dimethyl sulphoxide (10 ml) and filtered. The clear filtrate was poured into ice water, dried and recrystallised from ethanol to form reddish brown crystalline solid. (Yield: 65%); m. p. 172-175 °C; IR (cm-1) νmax Ar-CHstretch (3262.75 cm-1), C-N (1152.59 cm-1), C=N (1664.49 cm-1), C=S (1274.92 cm-1), C-Cl (747.66 cm-1), N-NH (bend) (3343.75 cm-1), 1H NMR (DMSO-d6, 400.13MHz), δ 7.24-7.62 (m, 5H, Ar-H), 7.23-7.41 (m, 3H, Ar-H), 2.3 (s, 1H, N-H). MS, m/z: 288.12 (M+); C21H16ClN3OS (Calcd. 287.77); Anal calcd. (%) C, 58.43; H, 3.5; N, 14.6; Found: C, 58.89; H, 3.82; N, 15.05.
Compound IIIi (1-(7-chloro-2-phenyl-4-thioxoquinazoline-3-(4H)-urea)
White crystalline solid (methanol); A mixture of 1-(7-chloro-4-oxo-2-phenylquinazoline-3 (4H-yl)) urea (10 mmol, 2.70 g) and phosphorus penta sulphide (1 mmol, 2.43 g) was heated under reflux in anhydrous xylene (100 ml) for 12 h. The reaction mixture was filtered while hot, the solvent was evaporated and the residue was triturated with dimethyl sulphoxide (10 ml) and filtered. The clear filtrate was poured into ice water, dried and recrystallised from ethanol to form white crystalline solid. (Yield: 64%); m. p 162-165 °C; IR (cm-1) νmax Ar-CHstretch (3126.37 cm-1), C=S (1243.35 cm-1), C=N (1598.62 cm-1), C-N (1193.95 cm-1) N-NHstretch (3283.49 cm-1), 1H NMR (DMSO-d6, 400.13MHz), δ 7.24-7.63 (m, 5H, Ar-H), 7.24-7.42 (m, 3H, Ar-H), 6.2 (s, 1H, N-H). MS, m/z: 332.12 (M+); C15H11ClN4OS (Calcd. 330.79); Anal calcd. (%)C, 54.46; H, 3.35; N, 16.94; Found: C, 54.86; H, 3.85; N, 17.32.
Compound IIIj (1-(7-chloro-2-phenyl-4-thioxoquinazoline-3-(4H)-thiourea)
White crystalline solid (methanol); A mixture of 1-(7-chloro-4-oxo-2-phenylquinazoline-3 (4H-yl)) thiourea (10 mmol, 2.70 g) and phosphorus penta sulphide (1 mmol, 2.43 g) was heated under reflux in anhydrous xylene (100 ml) for 12 h. The reaction mixture was filtered while hot, the solvent was evaporated and the residue was triturated with dimethyl sulphoxide (10 ml) and filtered. The clear filtrate was poured into ice water, dried and recrystallised from ethanol to form white crystalline solid. (Yield: 75%); m. p. 163-165 °C; IR (cm-1) νmax Ar-CHstretch (3199.89 cm-1), C=S (1266.56 cm-1), C=N (1671.85 cm-1), N-NHstretch (3027.51 cm-1), C-Cl (692.51 cm-1), 1H NMR (DMSO-d6, 400.13MHz), δ 7.25-7.54 (m, 5H, Ar-H), 7.31-7.42 (m, 3H, Ar-H), 2.3 (s, 1H, N-H). MS, m/z: 345.12 (M+); C15H11ClN4S2 (Calcd. 346.86); Anal calcd. (%) C, 51.94; H, 3.2; N, 16.15; Found: C, 52.34; H, 3.46; N, 16.55.
Pharmacological activity
The present biological study was approved by the Girijananda Chowdhury Institute of Pharmaceutical Science (GIPS) animal ethical committee (GIPS/IAEC/9). All the chemicals and solvents used for the pharmacological activity were purchased from Sigma-Aldrich. The newly synthesised compounds (IIa-IIIj) were tested for their antiepileptic and CNS depressant activities. The rota-rod test was performed to assess any probable changes in motor coordination induced by the test compounds. Seizure assay was carried out in accordance with the phase-1 test of the anti-epileptic drug development (ADD) programme which was developed by the National Institute of Neurological and Communicative Disorders and Stroke [17].
Anti-epileptic activity
Maximum electroshock seizure test
General procedure
Albino mice of either sex, one to two weeks old weighing 20-25 g were used. The food was withdrawn 12-15 h before commencing the experiment while the food was withdrawn immediately before the experiment. The synthesised compounds were suspended in 30% of aqueous solution of polyethene glycol (PEG 400) and administered to the mice intraperitoneally in a standard volume of 0.5 ml per 20 g body mass at a dose of 30 mg kg-1, 100 mg kg-1, 300 mg kg-1. Reference animals received 30% aqueous PEG 400 and 5, 5 diphenylimidazolidien-2, 4-dione (phenytoin) was used as a reference drug (10 mg kg-1). The maximum seizure was induced by application of an electrical stimulus (50 mA at 60 Hz) of 0.2 s in duration transmitted via corneal electrodes across the brain after 30 min and 4 h following drug administration. After applying the shock, the animals were observed for the type of convulsion produced, and the hind limb extensor response was taken at the endpoint [17-19].
Neurotoxicity study
Rota-rod test
General procedure
The rota-rod test was carried out in accordance with the method described in the literature [20]. The cardinal feature of the test is to ascertain the impairment of motor performance, ataxia, loss of skeletal muscle strength and acute neurotoxicity produced by drugs in preclinical studies. Albino mice weighing 20-24 g (n = 4-8), where n represents the number of mice in a group, were trained to balance on the knurled wooden rotating rod (0.032 m diameter) that rotated at 6 min-1. Trained animals were treated with the test compounds at different dose levels (30 mg kg-1, 100 mg kg-1, 300 mg kg-1) administered intraperitoneally. After 30 min and 4 h, respectively the mice were placed onto the rotating rod for one minute. Neurological impairment was determined as the inability of the animal to remain on the rod for 1 min.
CNS depressant activity
Forced swimming test
General procedure
The synthesised compounds were screened for their CNS depressant activity using Porsolt’s behavioural despair (forced swimming) test. Male wister rats were placed in a chamber (diameter 0.45 m, height 0.2 m) containing water up to a height 0.15 m at 25±2 °C. Two swim sessions were conducted an initial 15 min test, followed by a 5 min test session 24 h later. The animals were administered (100 mg/kg) the test compound i. p. 30 min before the test session. Then, the mice were dropped individually into the Plexiglas cylinder and left in the water for 5 min. After the first 2 min of the initial vigorous struggling, the animals were immobile. A mouse was judged immobile if it floated in the water in an upright position and made only slight movements in order to prevent sinking. The period of immobility was accounted as passive floating without struggling and making only those movements which were necessary to keep its head above the surface of the water. Changes in the duration of immobilisation were evaluated using one-way analysis of variance (ANOVA) Dunnet’s post hoc test9graphPad Instant Version 3.01 expressed as means±standard error of the mean (SEM). A p-value of less than 0.05 was considered statistically significant [21].
RESULTS AND DISCUSSION
Physicochemical and spectral characterisation
A novel series of 7-chloro-3-[substituted (amino/phenylamino)]-2-phenyl quinazolin-4 (3H)-one/thione derivatives and 1-(7-chloro-4-oxo/-2-phenylquinazoline-3 (4H-yl)) substituted urea derivatives were synthesised as illustrated in the fig. 2 and characterised by using TLC, IR, 1H-NMR and mass spectroscopy. The synthesised compounds were soluble in methanol.
Table 1: the Preliminary anticonvulsant activity of compounds IIa–IIIj in mice (i. p.)
Compound |
Dose (mg/Kg) |
MESa |
Toxicityb |
||
30 min |
4h |
30 min |
4h |
||
IIa |
30 |
0/1 |
0/1 |
0/4 |
0/2 |
100 |
3/3 |
0/3 |
0/8 |
0/4 |
|
300 |
1/1 |
1/1 |
0/4 |
0/2 |
|
IIb |
30 |
0/1 |
0/1 |
0/4 |
0/2 |
100 |
1/3 |
0/3 |
2/8 |
0/4 |
|
300 |
1/1 |
0/1 |
0/4 |
0/2 |
|
IIc |
30 |
1/1 |
0/1 |
0/4 |
0/2 |
100 |
2/3 |
1/3 |
2/8 |
1/4 |
|
300 |
1/1 |
1/1 |
3/4 |
2/2 |
|
IId |
30 |
0/1 |
0/1 |
0/4 |
0/2 |
100 |
2/3 |
1/3 |
0/8 |
0/4 |
|
300 |
1/1 |
1/1 |
0/4 |
0/2 |
|
IIe |
30 |
0/1 |
0/1 |
0/4 |
0/2 |
100 |
3/3 |
1/3 |
1/8 |
0/4 |
|
300 |
0/1 |
1/1 |
1/4 |
0/2 |
|
IIf |
30 |
0/1 |
0/1 |
0/4 |
0/2 |
100 |
3/3 |
2/3 |
0/8 |
0/4 |
|
300 |
1/1 |
1/1 |
0/4 |
0/2 |
|
IIg |
30 |
0/1 |
0/1 |
0/4 |
0/2 |
100 |
3/3 |
1/3 |
0/8 |
0/4 |
|
300 |
0/1 |
0/1 |
0/4 |
0/2 |
|
IIh |
30 |
0/1 |
0/1 |
0/4 |
0/2 |
100 |
2/3 |
2/3 |
0/8 |
0/4 |
|
300 |
1/1 |
1/1 |
0/4 |
0/2 |
|
IIi |
30 |
0/1 |
0/1 |
0/4 |
0/2 |
100 |
2/3 |
2/3 |
0/8 |
0/4 |
|
300 |
1/1 |
1/1 |
0/4 |
0/2 |
|
IIj |
30 |
0/1 |
0/1 |
0/4 |
0/2 |
100 |
3/3 |
1/3 |
0/8 |
0/4 |
|
300 |
0/1 |
0/1 |
0/4 |
0/2 |
|
IIIa |
30 |
0/1 |
0/1 |
0/4 |
0/2 |
100 |
1/3 |
0/3 |
1/8 |
0/4 |
|
300 |
1/1 |
0/1 |
1/4 |
1/2 |
|
IIIb |
30 |
0/1 |
0/1 |
0/4 |
0/2 |
100 |
2/3 |
1/3 |
0/8 |
0/4 |
|
300 |
0/1 |
0/1 |
0/4 |
0/2 |
|
IIIc |
30 |
1/1 |
0/1 |
0/4 |
0/2 |
100 |
1/3 |
0/3 |
0/8 |
0/4 |
|
300 |
0/1 |
0/1 |
3/4 |
1/2 |
|
IIId |
30 |
0/1 |
0/1 |
0/4 |
0/2 |
100 |
0/3 |
0/3 |
0/8 |
0/4 |
|
300 |
0/1 |
0/1 |
2/4 |
0/2 |
|
IIIe |
30 |
0/1 |
0/1 |
0/4 |
0/2 |
100 |
2/3 |
1/3 |
1/8 |
0/4 |
|
300 |
0/1 |
0/1 |
4/4 |
0/2 |
|
IIIf |
30 |
0/1 |
0/1 |
0/4 |
0/2 |
100 |
0/3 |
0/3 |
0/8 |
0/4 |
|
300 |
1/1 |
1/1 |
4/4 |
0/2 |
|
IIIg |
30 |
0/1 |
0/1 |
0/4 |
0/2 |
100 |
2/3 |
1/3 |
1/8 |
0/4 |
|
300 |
1/1 |
1/1 |
3/4 |
0/2 |
|
IIIh |
30 |
0/1 |
0/1 |
0/4 |
0/2 |
100 |
1/3 |
2/3 |
0/8 |
0/4 |
|
300 |
1/1 |
1/1 |
4/4 |
0/2 |
|
IIIi |
30 |
0/1 |
0/1 |
0/4 |
0/2 |
100 |
0/3 |
0/3 |
0/8 |
0/4 |
|
300 |
1/1 |
0/1 |
0/4 |
0/2 |
|
IIIj |
30 |
0/1 |
0/1 |
0/4 |
0/2 |
100 |
0/3 |
0/3 |
1/8 |
0/4 |
|
300 |
0/1 |
0/1 |
3/4 |
0/2 |
|
Phenytoin |
30 |
5/6 |
5/6 |
---- |
---- |
MES: Maximum electroshock seizure, (a) Number of animal protected/number of animals tested, (b) Rota-rod test (number of animals exhibiting toxicity/number of animals tested)
The spectral data of compound I shows that Ar-CHstretch (3072 cm-1), C=O (1751.33 cm-1), C=N (1592 cm-1), cyclic C-O-Cstretch (1060.47 cm-1), C-Cl (680.72 cm-1). Compounds IIa-IIj mainly characterised by the absorption width at the range 1752-1598 cm-1 which attribute the presence of a ketonic group (C=O) in the quinazoline moiety. Compounds IIa-IIIj showed the spectral range of 3323-3010 cm-1 which indicates the presence of (C-H) group in the aromatic ring. The spectral range of 3432-3027 cm-1showed the presence of N-NH stretching which also confirms the quinazoline skeleton in the respective compound. The presence of C-Cl group is deduced by the spectral range of 735-676 cm-1. The presence of C=S is illustrated by the spectral range 1274-1233 cm-1. In addition, all the compounds displayed C4-H deformation. The mass spectra of the compounds were studied and the molecular ion peaks (M+), which were found consistent for all the compounds. The elemental analyses were within±% of the theoretical values. 1H NMR spectra of IIa–IIIj exhibited different spectral ranges in which each appears as multiplet and triplet due to the presence of non-magnetically equivalent proton. The aromatic protons show at the peak at δ 6.5-8.725 ppm. The appearance of singlet protons around δ 3.46-4.5 ppm for single protons in the 1H NMR spectra might be assigned to-NH-group. The appearance of singlet proton δ 2.34-2.51 ppm for three protons in its 1H NMR spectra which might be assigned to aromatic methyl group confirms the formation of IIc/IIIc. The structures of the compounds are confirmed from the characteristics of the results obtained from analytical techniques.
Pharmacological activity
The anticonvulsant activity was evaluated by the MES test and the rota–rod test was used to evaluate neurotoxicity. CNS depressant activity was evaluated by forced swimming test.
Anticonvulsant activity
Out of all the compounds evaluated (table-1), IIb, IIc, IIe, IIIc and IIIe, exhibited anti-MES activity at either 100 mg kg-1 or 300 mg kg-1 in 30 min; in addition, IIc and IIIc were also active at 30 mg kg−1. The compounds IIb, IIc, IIg, IIIb, IIIc, IIIg, were more active within 30 min than in 4 h, indicating that they induced rapid onset of the action while IIi, IIIi, IIj, IIIj elicited late onset of the action.
Table 2: CNS depressant activity of compounds IIa-IIIj
Compounda |
Substitution |
Immobility time(s) |
|
(mean±SEM) |
Change from reference (%) |
||
IIa |
H |
175±11. 34 |
12. 9 |
IIb |
2-Cl |
180±10. 23 |
16. 12 |
IIc |
2-CH3 |
236±10. 45 |
52. 25* |
IId |
4-Cl |
192±12. 54 |
23. 87 |
IIe |
4-Br |
198±17. 56 |
27. 74 |
IIf |
4-NO2 |
187±11. 19 |
20. 64 |
IIg |
4-OCH3 |
245±16. 12 |
58. 06* |
IIh |
NH2 |
192±15. 28 |
23. 87 |
IIi |
O |
212±14. 23 |
36. 77 |
IIj |
S |
255±16. 78 |
64. 51* |
IIIa |
H |
178±12. 15 |
14. 83 |
IIIb |
2-Cl |
195±13. 18 |
25. 8 |
IIIc |
2-CH3 |
261±12. 35 |
68. 38* |
IIId |
4-Cl |
188±11. 27 |
21. 29 |
IIIe |
4-Br |
191±14. 32 |
23. 22 |
IIIf |
4-NO2 |
182±15. 75 |
17. 41 |
IIIg |
4-OCH3 |
254±17. 85 |
63. 87* |
IIIh |
NH2 |
212±16. 64 |
36. 78 |
IIIi |
O |
210±18. 92 |
35. 48 |
IIIj |
S |
253±16. 01 |
63. 22* |
PEG (control) |
----- |
155±10. 54 |
------ |
Carbamazepineb |
------ |
260. 62±15. 24 |
67. 74 |
(a) The compounds were tested at a dose of 100 mg kg-1(i. p), (b) Tested at 30 mg kg-1(i. p), *Each value represents the mean±SEM of six rats (n=6) significantly different from the control at p<0. 05 (Dunnet’s test).
Mostly, the change in motor coordination was observed for IIb, IIc, IIg, IIi, IIId, IIIg, IIIi at the dose level of 300 mg kg-1. Compound IIc, IIg showed good anti-convulsant activity profile may be due to the presence of methyl/methoxy group presence of at 3rd position of phenyl ring in quinazoline ring and compound IIi, IIIi, IIj, IIIj are having electro withdrawing group which probably increases the CNS activity as per the literature survey [13]. Compound IIj showed maximum protection at 30 min and 4 hr which is having thiourea substitution in the ring probably show the anti-epileptic activity and similarly compound IIIg elicit increased in activity which may be due to the presence of methoxy group in the para position of phenyl ring which is attached to 3rd position of quinazoline ring. Unlike Compound IIIg, Compound IIIh showed moderate protection at 3o min and 4 hr in maximum electro shock seizure which is due to the presence of amine group at the 3rd position of quinazoline ring. The amine group is an electron donor and increases the hydrogen bonding interaction with the target proteins or receptor for better CNS activity [22]. Finally, it may be concluded that IIc, IIg, IIj, IIIg, IIIh displayed better activity profiles compared with other derivatives as anti-convulsants with a sustained action.
CNS depressant activity
A few of the compounds tested (table 2, fig. 3) were noted as with potent CNS depressant properties, especially IIc, IIg, IIj, IIIc, IIIg and IIIj which exhibited remarkable activities revealing the highest duration of immobility comparable to 30 mg/kg of carbamazepine used as reference drug. Compound IIIc elicited excellent CNS depressant activity as compared to the control which may be due to the presence of methyl group in ortho position of phenyl ring which is attached to the 3rd position of quinazoline scaffold. Similarly compound IIg, IIIg is having methoxy group in the phenyl ring. The CNS activity is probably due to the presence of these functional group as cited in the literature [13, 23]. Similar case happened with the compoundIIj and IIIj where there is the presence of thiourea group which performed good CNS depressant activity [24]. The structural activity relationship based on the results observed indicated that the type of substituent attached to the N3 of the 7-chloro-(3-substituted phenylamino)-2-phenyl quinazoline-4 (3H)-one scaffold modulated the activity. Attachment of the phenyl group alone does not elicit such favourable activity as compared with the substituted aryl nucleus. Electron withdrawing substituent decrease the activity in descending order, i.e., the higher the electronegativity the lower the activity, whereas the electron releasing substituent appear to be more favourable [25]. The bioisosterically related compounds IIIi, IIIj show similar and potent CNS depressant activity. Rest of the compounds showed mild to moderate CNS depressant activity.
Fig. 1: Scaffold of the designed quinazoline derivatives
Fig. 2: Scheme for the synthesis of 7-chloro-3-[substituted (amino/phenyl amino)]-2-phenyl quinazolin-4 (3H)-one/thione derivatives and 1-(7-chloro-4-oxo/-2-phenylquinazoline-3 (4H-yl)) substituted urea
Fig. 3: Duration of immobility by porsolt’s behavioural despair test, *Each value represents the mean±SEM of six rats (n=6) significantly different from the control at p<0. 05 (Dunnet’s test); CBZ: Carbamazepine
CONCLUSION
A series of quinazoline derivatives with a common skeleton were synthesised by replacing different substituted phenyl hydrazine/ urea/thiourea derivatives at 3rd position of quinazoline pharmacophore by suitable techniques. The quinazoline derivatives obtained from this research work indicates that the methyl/methoxy group in phenyl hydrazine ring at 3rd position, amine, thiourea substitution at 3rd position of quinazoline derivatives are essential for anti-convulsant and CNS depressant activity. Compounds IIc, IIg, IIj, IIIc, IIIg, IIIj, IIIh were found to be a potent compound which may be effective as a potential source for the development of CNS depressant and an anticonvulsant compound having common quinazoline scaffold with lesser side effects. A further study is going on for in vitro study of the newly synthesised and pharmacologically potent quinazoline molecules.
ACKNOWLEDGMENT
The authors acknowledged the assistance of SAIF, North-Eastern Hill University, Shilong, Meghalaya for analytical support regarding spectral analysis.
CONFLICT OF INTERESTS
Declared none
REFERENCES
How to cite this article