
1Chemistry of Tannins Department, National Research Centre, El-Bohouth St., Dokki, 12622 Cairo, Egypt, 2Organic Chemistry Department, Faculty of Sciences, Al-Azhar University, Egypt
Email: sayedeltomy@yahoo.com
Received: 08 Oct 2016 Revised and Accepted: 21 Dec 2016
ABSTRACT
Objective: The current study was to deal the isolation and identification of secondary metabolites from Polygonum equisetiforme and evaluation of antioxidant activity of its extract.
Methods: The methanol-water extract (7:3) of the air-dried aerial parts of Polygonum equisetiforme was fractionated and separated to obtain the isolated compounds by different chromatographic techniques. Structures of these compounds were elucidated by UV and 1D⁄2D H⁄ C NMR spectroscopy and compared with the literature data. The crude extract was evaluated for in vitro antioxidant activity using the 2,2 diphenyl dipicryl hydrazine (DPPH) method.
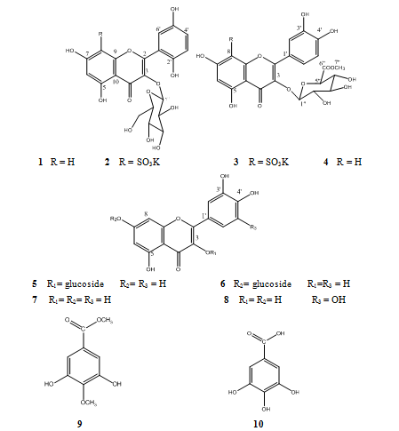
Results: Ten secondary metabolites were isolated from Polygonum equisetiforme in this study. Of which three new flavonoids named as 3,5,7,2’,5’ pentahydroxyflavone 3-O-β-D-glucopyranoside (1), 3,5,7,2’,5’ pentahydroxyflavone 3-O-β-D-glucopyranoside 8 C-sulphated (2) and quercetin 3-O-β-D-glucucorinde 6''-methyl ester 8-sulphated (3) as well as quercetin 3-O-β-D-glucucorinde methyl ester (4), quercetin 3-O-β-D-glucopyranoside (5), quercetin 7-O-β-D-glucopyranoside (6), quercetin (7), myricetin (8), P-methoxy gallic acid methyl ester (9) and gallic acid (10). The antioxidant potential of P. equisetiforme extract was evaluated by investigating it's total phenolic and flavonoid content and DPPH radical scavenging activity whereby the extract showed significant antioxidant activity (IC50 = 37.45 μg/ml). The total phenolic and flavonoid content was found to be 130.79±5.502 and 45.8±1.63 μg/ml, respectively.
Conclusion: Polygonum equisetiforme is a promising medicinal plant, and our study tends to support the therapeutic value of this plant as an antioxidant drug.
Keywords: Polygonum equisetiforme, Aerial parts, New flavonoid, Antioxidant activity
© 2017 The Authors. Published by Innovare Academic Sciences Pvt Ltd. This is an open access article under the CC BY license (http://creativecommons.org/licenses/by/4. 0/)
DOI: http://dx.doi.org/10.22159/ijpps.2017v9i2.15593
INTRODUCTION
Family Polygonaceae comprises about 40 genera and 800 species [1], distributed throughout the world, especially in temperate and warm regions. Polygonum is the largest genus belonging to the family Polygonaceae, which comprises about 300 species. According to Boulos [2] only six species are found in Egypt P. arena strum, P. avicular, P. bellardii, P. equisetiforme, P. marititimn and P. plebeium. The secondary metabolites identified in the species of the Polygonum genus are flavonoids [3-6], anthraquinones [7], lignan glycosides [8], polysaccharides [9], phenylpropanoid glycosides [10], sesquiterpene [11-13] and stilbenes [14, 15]. Numerous polygonum species are frequently used in traditional medicine. Some species are used in the treatment of cough, diarrhea, diuretic agent and to treat urinary inflammation [16]. Turkish ethnomedicine reported the use of P. cognatum for the treatment of urinary inflammation and as diuretic agents [17]. The root extracts of P. multiflorum possess anti-inflammatory [18], antioxidant [19], anti-HIV [20], and liver protective effects [21] as well as some monomeric compounds isolated from its roots. The medicinal properties of Polygonum species are due to its high constituents of bioactive compounds. Drimane sesquiterpenoids, norsesquiterpenoids and sulphated flavonoids are characteristic compounds of some Polygonum species which reveal various biological activities, such as antifungal, antitumour and lens aldose reductase inhibitory [22-23]. Polysaccharide derivatives with radical scavenging and anti-tumour activities have been isolated from many Polygonum species [24, 25]. Flavonoids and chalcones isolated from some species of Polygonum on the other hand exhibit strong antioxidant effects role against oxidative stress damages, such as arteriosclerosis or cancer [26-29]. No comprehensive screening studies have yet been published on P. equisetiforme species. The current study was focused on the isolation and identification of flavonoids from the aqueous methanol extract of P. equisetiforme aerial parts, determination of the total phenolic and flavonoid contents together with studying the antioxidant activity of the extract.

Fig. 1: Structures of the isolated compounds

Fig. 2: HMBC correlations H–C for 1, 2, 3
MATERIALS AND METHODS
General experimental procedure
1H NMR and 13C NMR spectra were obtained on Bruker AMX-400, Avance 400, and Avance 300 spectrometers (Bruker, Rheinstetten, Germany) with standard pulse sequences operating at 400, 300 MHz in 1H NMR and 100, 75 MHz in 13CNMR. Chemical shifts are given in δ values (ppm) using DMSO as the internal standard. UV spectra were recorded with Shimadzu UV-1601 (Shimadzu, Tokyo, Japan). Column chromatography (CC) was carried out on Polyamide 6S (Riedel-DeHaen, Hannover, Germany) and Sephadex LH-20 (Fluka, Pharmazia, Uppsala, Sweden); PC was carried out on Whatman No. 1 and 3 mm paper using the following solvent systems: (1) BAW (n-BuOH/HOAc/H2O, 4:1:5); (2) H2O and (3) AcOH/H2O (15:85). 1, 1-Diphenyl-2-picrylhydrazyl (DPPH), ascorbic acid, gallic acid, rutin and other chemicals were purchased from Sigma Chemical Co. (St. Louis, MO, USA). Folin-Ciocalteu solution and 95% ethanol were purchased from Merck Co. (Santa Ana, CA, USA).
Plant material
A sample of P. equisetiforme (aerial parts) was collected from Mediterranean region, Egypt during April 2013 (flowering date). The samples were separately air-dried, powdered and kept in tightly-closed amber coloured glass containers and protected from light at low temperature. Identification of the plant was confirmed by Botany Department, Faculty of Science, Cairo University, Egypt [2]. A voucher specimen (P75) is deposited in the Herbarium of the National Research Centre, Dokki, Cairo, Egypt.
Extraction and isolation
The aerial parts of P. equisetiforme (1.75 kg) were crushed and extracted with 70℅ methanol by soaking at room temperature and the methanol extract was evaporated under reduced pressure and lyophilized (120 gm). A sample (100 gm) of the dry extract was fractionated by chromatography on polyamide 6S column. The column was eluted with water and with water–methanol step gradient. The obtained fractions (500 ml of each fraction) were subjected to paper chromatography using BAW and 15℅ acetic acid as a developing solvents, and the similar fractions were collected together to give six major fractions (I-VI). Separation of fractions II (200 mg) on Sephadex column LH-20 CC using 30℅ EtOH gave two sub-fractions. The first sub-fraction was purified on Sephadex column LH-20 CC using EtOH-H2O (1:1) as solvent system and gave a pure sample of 1 (25 mg), the second sub-fraction was subjected to Sephadex column LH-20 CC using EtOH-H2O (30:70) to give two compounds which were further purified on Sephadex CC using EtOH HPLC as solvent to give pure samples of 2 (18 mg) and 3 (30 mg). Fraction III (180 mg) have been applied on Sephadex column LH-20 CC using butanol-water saturated as solvent system and gave one compound which was further purified on Sephadex LH-20 CC using methanol HPLC to afford the purified sample of 4 (25 mg). Elution of fraction IV (150 mg) by n-BuOH-water saturated; afforded two compounds which were separated by preparative paper chromatography using 15℅ AcOH as eluent and were further purified on Sephadex LH-20 CC using EtOH-H2O (1:1) to give pure samples of 5 (30 mg) and 6 (28 mg). Consecutive CC on Sephadex LH-20 with n-butanol-water saturated for elution of fraction V (240 mg) give two sub-fractions which were separated by preparative paper chromatography using BAW (4:1:5) as eluent. These two compounds were further purified on Sephadex LH-20 CC using saturated n-butanol-water as eluent to afford pure samples of 7 (30 mg) 8 (26 mg). Fraction VI (70 mg) has been separated on sephadex LH-20 CC using n-butanol-water saturated to give two compounds which were further purified on sephadex LH-20 CC using MeOH: H2O (1:1) to give pure samples of 9 (30 mg) and 10 (25 mg).
3, 5,7,2’,5’ pentahydroxyflavone 3-O-β-D-glucopyranoside (1)
Rf values (x100) 0.6 in (BAW), 0.8 in (HOAc-15%); UV Spectral Data λmax (nm): MeOH: 253, 263sh, 344,+NaOMe: 284, 322sh, 372,+NaOAc: 272, 330sh, 390,+NaOAc/H3BO3: 260, 290sh, 375,+AlCl3: 260, 415sh, 408,+AlCl3/HCl: 266, 401 nm; 1HNMR (400 MHz, DMSO-d6) δ (ppm): 8.28 (1H, broad singlet, H-6′), 7.35 (1H, dd, J = 8.4, 1.9 Hz, H-4'), 6.84 (1H, d, J = 8.4 Hz, H-3'), 6.40 (1H, d, J = 1.5 Hz, H-8), 6.20 (1H, d, J =1.5 Hz, H-6), 5.20 (1H, d, J = 6.8 Hz, H-1ʺ), 3.24-3.82 (overlapped the rest sugar protons); 13C NMR (100 MHz, DMSO-d6) δ (ppm): 156.50 (C-2), 134.07 (C-3), 177.59 (C-4), 160.94 (C-5), 98.96 (C-6), 164.77 (C-7), 93.78 (C-8), 157.60 (C-9), 103.64 (C-10), 120.44 (C-1'), 148.45 (C-2'), 115.42 (C-3'), 120.66 (C-4'), 144.81(C-5'), 117.97 (C-6'), 103.03 (C-1''), 73.96 (C-2ʺ), 74.15 (C-3''), 71.76 (C-4''), 76.62 (C-5''), 63.06 (C-6'').
3, 5, 7, 2’, 5’ pentahydroxyflavone 3-O-β-D-glucopyranoside 8-C-sulphated (2)
Rf values (x100) 0.5 in (BAW), 0.3 in (HOAc-15%); UV Spectral Data λmax (nm): MeOH: 258, 270sh, 364,+NaOMe: 225, 278, 410,+NaOAc: 240, 280, 395,+NaOAc/H3BO3: 272, 390,+AlCl3: 275, 355sh, 425,+AlCl3/HCl: 278, 300sh, 330, 410 nm; 1HNMR (400 MHz, DMSO-d6) δ (ppm): 8.37 (1H, broad singlet, H-6′), 7.42 (1H, dd, J = 8.4, 1.9 Hz, H-4'), 6.83 (1H, d, J = 8.4 Hz, H-3′), 5.93 (1H, s, H-6), 5.17 (1H, d, J = 6.2 Hz, H-1ʺ), ʺ), 3.21-3.56 (overlapped the rest sugar protons); [13]C NMR (100 MHz, DMSO-d6) δ (ppm): 151.79 (C-2), 133.60 (C-3), 175.62 (C-4), 155.3 (C-5), 97.68 (C-6), 185.58 (C-7), 98.82 (C-8), 154.60 (C-9), 103.45 (C-10), 120.38 (C-1'), 148.20 (C-2'), 115.40 (C-3'), 120.88 (C-4'), 144.78 (C-5'), 117.50(C-6'), 100.98 (C-1''), 72.55 (C-2′′), 74.19 (C-3''), 69.85 (C-4''), 76.64 (C-5''), 63.11 (C-6'').
Quercetin 3-O-β-D-glucucorinde 6''-methyl ester 8-C-sulphated (3)
Rf values (x100): 0.44 in (BAW) and 0.41in (HOAc-15%); UV Spectral Data λmax (nm):+MeOH 258, 364,+NaOMe: 271, 318 (sh), 413,+NaOAc: 270, 377,+NaOAc/H3BO3: 270, 383 nm. 1HNMR (400 MHz, CD3OD) δ (ppm): 7.74 (1H, d, J =2Hz, H-2'), 7.72 (1H, dd, J = 8.6, 1.8 Hz, H-6'), 6.86 (1H, d, J = 8.6 Hz, H-5'), 6.34 (1H, s, H-6), 5.29 (1H, d, J = 7.6 Hz, H-1''), 3.64 (3H, s,OCH3), 3.29-3.78 (overlapped the rest sugar protons). [13]C NMR (100 MHz, CD3OD) δ (ppm): 152.04 (C-2), 134.07 (C-3), 177.64 (C-4), 157.91 (C-5), 98.02 (C-6), 156.40 (C-7), 98.71 (C-8), 156.40 (C-9), 104.72 (C-10), 121.27 (C-1′), 114.57 (C-2′), 144.65 (C-3′), 148.87 (C-4′), 115.97 (C-5′), 122.39 (C-6′), 103.06 (C-1′′), 73.89 (C-2′′),75.68 (C-3′′), 71.34 (C-4′′), 75.89 (C-5′′), 169.27 (C-6′′), 51.47 (C-7ʺ).
Total phenolic content
The concentration of total phenolics of the plant extract and fractions was determined according to the method described by Kumar et al. [30]. Gallic acid was used as a standard. Briefly, a mixture of 100 µl of plant extract (100 µg ml–1), 500 µl of Folin-Ciocalteu reagent and 1.5 ml of Na2CO3 (20 %) was shaken and diluted up to 10 ml with water. After 2 h, the absorbance was measured at 765 nm using a spectrophotometer. All determinations were carried out in triplicate. The total phenolic concentration was expressed as gallic acid equivalents (GAE).
Total flavonoid content
Total flavonoid concentration of plant extract and fractions was determined according to the reported procedure by Kumaran and Karunakaran [31]. 100 µl of plant extract (10 mg ml–1) in methanol was mixed with 100 µl of 20 % AlCl3 in methanol and a drop of acetic acid and then diluted to 5 ml with methanol. The absorbance was measured at 415 nm after 40 min against the blank. The blank consisted of all reagents and solvent without AlCl3. All determinations were carried out in triplicate. The total flavonoid concentration was expressed as rutin equivalents (RE).
Determination of in vitro antioxidant activity
The DPPH assay depends on measuring the scavenging ability of the antioxidant constituents of the extract using the stable DPPH radical [32]. Free radical scavenging activity was determined by radical scavenging assay. A solution of 0.1 mmol DPPH in methanol was prepared. In a flat bottom 96 well-microplate, a total test volume of 200 µl was used. In each well, 20 µl of different concentrations (0-100 µg/ml final concentration) of tested samples were mixed with 180 µl of methanolic DPPH and incubated for 30 min at 37 °C. Triplicate wells were prepared for each concentration, and the average was calculated. Then a photometric determination of absorbance at 520 nm was performed by microplate ELISA reader.
Antioxidant activity (%) = [(control absorbance-sample absorbance)/control absorbance] ×100%
Antioxidant activity was expressed as the concentration of antioxidant that scavenged free radicals by 50% (IC50).
RESULTS AND DISCUSSION
The methanol-water extract (7:3) of the aerial parts of Polygonum equisetiforme was subjected to fractionation on a polyamide 6S column gave three new compounds besides seven known compounds (1-10, fig. 1). The isolated compounds undergo conventional chemical and spectroscopic methods of analysis (UV, 1/2D NMR) as well as chromatography to elucidate their chemical structures.
Compound 1 was obtained as a yellow amorphous powder which showed chromatographic properties (dark purple spot on paper chromatogram under UV light). It gave lemon yellow color with Nature staff reagent [33] characteristic of flavonoids bearing a free hydroxyl at 5-position. UV spectral properties of 1, in methanol and after the addition of diagnostic reagents detected the presence of free 7-OH group [34]. 1H NMR spectrum of 1 (DMSO-d6, room temperature) displayed aromatic signals at δ ppm δ 8.28 (d, J = 1.9 Hz), 7.35 (dd, J = 8.4, 1.9, Hz) and 6.84 (d, J = 8.4 Hz) describable to H-6', H-4' and H-3′ of 2', 5'–dihydroxy B-ring [35]. The AM-spin coupling system of two meta coupled protons doublets at δ 6.20 and 6.40 ppm with J-value 1.5 Hz, assignable to H-6 and H-8, respectively concluded the 5, 7 dihydroxy A-ring. Also, 1H NMR displayed one signal, a hexose anomeric proton resonance at δ 5.20 (d, J = 6.8 Hz, H-1″) specifying the presence of sugar with β-configuration. 13C experiments showed methylene group, 10 methine and 10 quaternary carbons. The 13C NMR spectrum of compound 1 showed one signal at δ 177.59 assigned to the carbonyl carbon. Heteronuclear 1H-13C correlation experiments (HMQC, HMBC) led to full assignments of the 1H and 13C NMR chemical shifts of compound 1. HSQC proton resonances are in good agreement with those of each corresponding carbon. However, the unequivocal assignment could be confirmed by HMQC and HMBC which proved that the signals at 156.50, 164.77, 160.94, 157.60, 148.45 and 144.81 are assignable to C-2, C-7, C-5, C-9, C-2’ and C-5’ respectively. In the HMBC experiments, the correlation was observed between δ H 5.20 (H-1″) with δ C 134.07 (C-3) indicating that a glucosyl moiety is attached to C-3. The HMBC correlation (fig. 2) was observed between δH 8.28 (H-6’) with δC 120.44 (C-1’) and δC 156.50 (C-2) indicated that the flavones with unusual B-ring. On the basis of these results, compound 1 was elucidated to be 3,5,7,2’,5’ penta-hydroxyflavone 3-O-β-D-glucopyranoside. It is the first time for the isolation of this compound from any natural source.
Compound 2 was obtained as a yellowish powder which showed a dark purple spot on PC under UV light. UV spectral data showed the intrinsic chromatographic behaviour of flavonoid 3-O-glycoside with/without substitution in the A-ring. Compound 2 gave a positive sulphate test (a white ppt. with BaCl2) [36]. Investigation of the electrophoresis chromatogram showed the migration of 2 but with degradation, indicating the presence of a sensitive sulphate group. 1H NMR data of 2 (DMSO-d6, room temperature) displayed aromatic signals at δ ppm δ 8.37(broad singlet), 7.42 (dd, J = 8.4, 1.9 Hz) and 6.83 (d, J = 8.4 Hz) describable to H-6', H-4' and H-3′ of 2', 5'–dihydroxy B-ring. The A-ring has been concluded based on the spin coupling system of one singlet upfield proton at δ 5.93 ppm assignable to H-6 together with the absence of meta coupling suggested that the position 8 is substituted. Also, 1H NMR displayed one signal, a hexose resonance at δ 5.17 (d, J = 6.2 Hz, H-1″) indicating the presence of sugar with β-configuration. 13C experiments showed methylene group, 10 methine and 10 quaternary carbons. The downfield signal at (δ 175.62) is assigned to the carbonyl carbon. The signals at δ 100.98 (C-1''), 72.55 (C-2''), 74.19 (C-3''), 69.85 (C-4''), 76.64 (C-5''), and 61.11 (C-6'') were achieved to the glucose moiety in compound 2. The signals at δ 148.20 and 144.78 were assigned to C-2' and C-5' positions, respectively, while the remaining ring B carbons appeared at δ 115.40 (C-3'), 117.50 (C-6'), 120.38 (C-1') and 120.88 (C-4'). In 13C NMR spectrum the signal of C-8 resonated at δ 98.82 ppm with a downfield shift of 4 ppm while C-7 and C-9 resonated up field by about 4 ppm proving a sulphate substitution at C-8 [37]. Heteronuclear 1H-13C correlation experiments (HMQC, HMBC) exhibited confirmation of the 1H and 13C NMR chemical shifts of compound 2. Also, the HSQC proton resonances are in good agreement with those of each corresponding carbon. In the HMBC spectrum (fig. 2) the proton signal at δ H 5.17 (H-1″) displayed a long-range correlation with the carbon appeared at δC 133.60 (C-3) suggesting a glucosyl moiety is attached to C-3. The proton signal at δH 8.37 (H-6’) showed long-range correlation with δC 120.38 (C-1’) and δC 151.79 (C-2) indicated that the flavones with unusual B-ring. On the basis of these results, compound 2 was elucidated to be 3,5,7,2’,5’ pentahydroxyflavone 3-O-β-D-glucopyranoside 8 C-sulphated. It is the first time for the isolation of this compound from any natural source.
Compound 3 was isolated as yellow amorphous powder and showed dark purple fluorescent spot turned to yellow and orange fluorescence on PC with ammonia vapours and Naturstoff spray reagents respectively [33]. The UV spectral of compound 3 in MeOH were similar to those of 3-substituted quercetin except for a slight bathochromic shift of Band II (259 nm), supposed to be 8-substituted and/or 6-substituted flavone [38]. The bathochromic shift (≈+60 nm) accompanied with the increase in the intensity of band I on the addition of NaOMe indicated a free OH on C-4'. Also, the bathochromic shift in band II (≈+20 nm) was observed on the addition of NaOAc indicative to a free OH on C-7. The presence of 3',4'–ortho-dihydroxy function on B-ring was also proved from the bathochromic shifts in the band I (≈+12 nm) on the addition of NaOAc and (≈+17 nm) in band II on the addition of H3BO3 [38]. Compound 3 gave a positive sulphate test (a white ppt. with BaCl2) [36]. Investigation of the electrophoresis chromatogram showed the migration of 3 but with degradation, indicating the presence of a sensitive sulphate group. The 1H NMR spectrum of 3 (CD3OD, room temperature) showed aromatic signals at δ ppm δ 7.74 (d, J = 2Hz), 7.72 (dd, J = 8.6, 1.8 Hz), and 6.86 (d, J = 8.6 Hz) describable to H-2', H-6' and H-5' of 3’, 4’–dihydroxy B-ring of flavonoids [39]. Moreover, the H-6 proton appeared as a singlet (δ 6.34) and absent of meta coupling, suggesting the presence of the 8-C-substituted. 13C NMR spectrum showed twenty-two signals seven in the aliphatic region for the sugar moiety and methyl ester group and the remaining for the quercetin unit. The DEPT spectrum of compound 3 revealed for the presence of one methyl group at δ 51.47 and four methine aromatic carbons. The presence of β-configuration of glucronic acid methyl ester in compound 3 was confirmed by the anomeric carbon resonance at δ 103.06 and up the field of C-6’’ at δ 169.27. The downfield signals at (δ 177.64 and 169.27) were assigned to the two carbonyl carbons. The signals at δ 103.06 (C-1''), 73.89 (C-2''), 75.68 (C-3''), 71.34 (C-4''), 75.89 (C-5''), and 169.22 (C-6'') were achieved to the glucuronic moiety in the molecule. The presence of the C-sulphated group substitution at position 8 in A-ring was confirmed from the downfield of C-8 at δ 98.71 [37]. HMQC and HMBC spectral data are in good agreement with the 1H and 13C NMR chemical shifts of compound 3. HMBC correlation from H-1’’ at δ 5.29 ppm to C-3 at δ 134.07 suggested that the β-glucuronic acid methyl ester was connected to C-3 of the quercetin moiety. From the above data, compound 3 is deduced to be Quercetin 3-O-β-D-glucucorinde 6''-methyl ester 8-sulphated. This compound was isolated for the first time from natural source.
The phenolic and flavonoid contents were 130.79±5.502 GAE/G extract and 45.8±1.63 mg RE/G extract, respectively.
The antioxidant activity assay
The imbalance between oxidizing agents and the antioxidant defend system may lead to damage of the macromolecules [40] which consequently play a critical role in the pathogenesis of various diseases [41]. The plants have flavonoids and polyphenolic constituents that have remarkable antioxidant activity [42]. The hydromethanol extract of the aerial parts of P. equisetiforme exhibited a good anti-oxidant ability especially because of their phenolic compounds. It showed the significant scavenging activity of the free DPPH radical by IC50 = 37.45 μg/ml. The antioxidant potential of the plant proved the correlation between the phenolic and the flavonoid content and its antioxidant activity; indicating that these phenolic and flavonoid metabolites may be useful therapeutic agents.
CONCLUSION
The plants have flavonoid and polyphenolic constituents that have remarkable antioxidant activity. In this study, three new flavonoids neamed as 3, 5, 7, 2’, 5’ pentahydroxyflavone 3-O-β-D-glucopyranoside, 3, 5, 7, 2’, 5’ pentahydroxyflavone 3-O-β-D-glucopyranoside 8-C-sulphated and Quercetin 3-O-β-D-glucucorinde 6''-methyl ester 8-C-sulphated isolated from the aqueous methanol of P. equisetiforme arial parts. The extract of the arial parts of P. equisetiforme exhibited a good anti-oxidant ability especially because of their phenolic compounds, including phenolic acids, flavonoids and their derivatives. Thus, further investigations are required in order to make optimal use of this plant.
CONFLICT OF INTERESTS
Declared none
REFERENCES
How to cite this article