
aComputational Biophysics and Molecular Modelling Research Group (CBMoRG), Department of Physics, Faculty of Mathematical and Natural Sciences, Bogor Agricultural University (IPB), Jalan Meranti, Building Wing S, 2nd Floor, Kampus IPB Dramaga, Bogor 16680, Indonesia, bTropical Biopharmaca Research Center, Bogor Agricultural University (IPB), Jalan Taman Kencana No. 3, Bogor 16128, Indonesia
Email: akartono70@gmail.com
Received: 11 Oct 2016 Revised and Accepted: 21 Dec 2016
ABSTRACT
Objective: In this paper, the modified minimal model (MM) with a mathematical function for describing the insulin infusion rates was used to study of the effects of physical exercise on the dynamics of glucose and insulin on the insulin dependent diabetes mellitus (IDDM), including type 1 diabetes mellitus (T1DM) and type 2 diabetes mellitus (T2DM) subjects.
Methods: In an intravenous glucose tolerance test (IVGTT) procedure, a dose of glucose was administered intravenously to overnight-fasted subjects, 20 min after the glucose bolus, insulin was injected over 1-2 min either into the portal vein or into the femoral vein, and subsequently the glucose and insulin concentrations in plasma were frequently sampled (usually 30 times) over a period of 180 min. The dynamic glucose and insulin responses to glucose and insulin injection were analysed using the modified MM without and with physical exercise from IVGTT data.
Results: Our simulation results shown physical exercise improved blood glucose control and enhanced insulin sensitivity (SI) index in subjects with T1DM and T2DM. However, the T1DM and T2DM subjects need to be aware of the basic strategies to prevent hypoglycemia and maintain reasonable glucose control. It should be noted that the putative improvement in exercise-induced peripheral SI index in subjects with T1DM and T2DM was not always coincidental with the improvement of the insulin dosage.
Conclusion: The feature increased physical exercise, along with knowledge about how to modify daily insulin dosage to prevent hypoglycemia, improved blood glucose control and enhanced SI index.
Keywords: Insulin-dependent diabetes mellitus, Modified minimal model, Glucose plasma, Insulin plasma, Insulin sensitivity
© 2016 The Authors. Published by Innovare Academic Sciences Pvt Ltd. This is an open access article under the CC BY license (http://creativecommons.org/licenses/by/4. 0/)
DOI: http://dx.doi.org/10.22159/ijpps.2017v9i2.15621
INTRODUCTION
The increasing prevalence of T2DM in patients over the past few decades in developed countries, population-based efforts to reduce the cardiovascular complications of T2DM are as critical as the measures to prevent the problem. A number of important clinical management issues are needed for the active patients with T1DM and T2DM to ensure proper health and prevention of long-term complications of the disease. Some evidence suggests that optimal metabolic control maximises physical performance in patients with diabetes, although more studies are needed to confirm this suggestion. With the increasing prevalence of T1DM and T2DM patients, the importance of physical exercise to help prevent T1DM and T2DM in patients is of more recent consideration [1, 2].
It has recently been suggested that most patients with T1DM and T2DM attain at least 30 min of exercise daily, and individuals in certain age groups, even exceed the levels of sporting activity of their non-diabetic counterparts, possibly due to intensive health education and diabetic intervention. A high level of sports participation is surprising as exercise is the leading cause of hypoglycemia, which is the patients’ primary concern with exercise. Indeed, the influence of chronic exercise on improving blood glucose control in T1DM and T2DM patients is equivocal; some studies show an improvement in blood glucose control, but others show no effect. It is likely that excess caloric intake to prevent or treat hypoglycemia may counter the beneficial effects of exercise on glycemic control in some subjects because standardised carbohydrate and insulin modifications for active patients are not readily available. Nonetheless, the goal of physical exercise should be to increase SI index of the patients with T1DM and T2DM, regardless of any putative benefits to blood glucose management [1, 2].
Through such research, specific prescriptions of physical exercise can be made to optimise health. Additional benefits specific to diabetes include improved SI index, a diminished glycemic response to a meal, and a reduction in daily insulin needs [1, 3, 4].
Our results show, as has been widely reported that during physical exercise there is an improvement in glucose tolerance. This improvement is a consequence of a substantial increase in SI index (300-700%) since the plasma glucose level of the hormone was lower during exercise [3, 4].
The importance of insulin for glucose uptake during physical exercise has been reported in many studies. Although it seems that the presence of insulin is not necessary for glucose uptake to increase during exercise, the hormone would exert a synergistic effect rather than just an additive one; it increases 300%.
The results suggest that SI index after exercise returns to baseline in a time-dependent way. It is important to emphasise that the SI index also includes the effect of insulin suppresses hepatic glucose output. However, in the case of physical exercise, the increment of SI index must be mainly due to an increment in peripheral glucose uptake rather than to a suppression of hepatic glucose output, since exercise increases hepatic glucose output [3, 5].
The parameters for the effects of exercise on glucose-insulin dynamics were proposed by Derouich and Boutayeb in 2002 [6]. The parameters related to physical exercise are defined as follows: the effect of the physical exercise of accelerating the utilization of glucose by muscular and the liver, the effect of the physical exercise in increasing the muscles and liver sensibility to the action of the insulin, and the effect of the physical exercise in increasing the utilization of the insulin [6].
Our aim here was to introduce a new model which simulates the effects of physical exercise on the dynamics of glucose and insulin. The model allows us to point out the different behaviours corresponding to normal glucose tolerance (NGT), T1DM and T2DM patients. In this paper, the model proposes two new parameters: the effect of the physical exercise in increasing the disappearance of glucose and the effect of the physical exercise in increasing the secretion of insulin from the pancreas.
MATERIALS AND METHODS
Materials
In an IVGTT procedure, the patients were asked to fast for 12 h before being tested. At 9.00 am, a cannula was placed in the cephalic vein at the level of the cubital fossa for taking the blood samples, while glucose was injected into the contralateral cephalic vein. Glucose (0.5 g/kg body weight, 30% solution) was slowly injected over three minutes. Insulin (0.02 U/kg body weight) was injected intravenously over 19 min. Two blood samples were drawn before the glucose bolus and also at one, three, four, eight, 10, 15, 19, 20, 22, 30, 41, 70, 90 and 180 min after glucose injection. All of these samples were necessary for the MM calculations [3, 7, 8]. The MM has been used widely in physiological research on the metabolism of glucose, and also employed in clinical and epidemiological studies to estimate SI and glucose effectiveness (SG) index.
In this paper, experimental data on NGT subject published in reference [9]. The first column is the time in a minute to sample the blood with a two-minute shift. The second and third columns are the data for subject 6. The fourth and fifth columns are the data for the subject 7. The sixth and seventh columns are the data for subject 8 [9].
Table 1: Experimental data published in reference [9]
| Time | Subject 6 | Subject 7 | Subject 8 | |||
| min | G (mg/dl) | I (μU/ml) | G (mg/dl) | I (μU/ml) | G (mg/dl) | I (μU/ml) |
| 0 2 4 6 8 10 13 18 23 28 33 38 48 58 78 98 118 138 158 178 |
225.4717 214.1509 203.7736 200.0000 195.2830 192.4528 174.5283 158.4906 150.0000 131.1321 118.8679 115.0943 106.6038 93.3962 82.0755 77.3585 83.0189 83.0189 82.0755 85.8491 |
41.3208 41.0378 30.5660 28.6793 23.4906 31.7925 27.8302 23.8680 25.0000 23.3962 20.3774 15.3774 16.9811 11.5094 11.1321 5.3774 4.6226 5.8491 6.4151 5.5660 |
299.3711 259.9581 253.2495 244.0252 225.5765 223.8994 203.7736 188.6792 170.2306 150.9434 134.1719 119.9161 101.4675 89.7275 85.5346 85.5346 88.0503 87.2117 86.3732 87.2117 |
179.4549 103.9832 99.7904 93.9203 104.8218 77.1488 88.8889 95.5975 79.6646 97.2746 86.3732 108.1761 44.4444 24.3187 33.5430 29.3501 37.7358 31.0273 33.5430 46.9602 |
226.4151 228.9308 203.7736 201.2579 196.2264 183.6478 173.5849 148.4277 123.2704 115.7233 100.6289 95.5975 85.5346 75.4717 72.9560 77.9874 80.5031 77.9874 80.5031 |
103.140 91.570 75.970 77.230 64.650 66.920 51.320 50.820 44.030 32.700 28.680 22.640 16.600 14.840 11.820 6.790 4.280 6.040 5.790 |
Methods
The modified minimal model without exercise from IVGTT
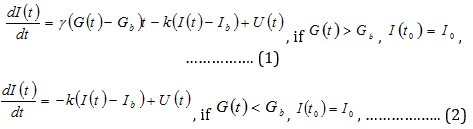
A mathematical function representing the insulin infusion process being introduced into the MM. The proposed modified MM of insulin kinetics is as follows [4]:

Where k [min-1] is the insulin clearance fraction, Gb [mg/dl] is the basal glucose level, γ [min-1] is a measure of the secondary pancreatic response to glucose, [μU/ml], u(t) [μU/kg body weight] stands for the exogenous insulin infusion rate and V [ml/kg] for the distribution volume.
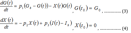
In the IVGTT study, a dose of glucose was administered intravenously over a 60 second period to overnight-fasted subjects, 20 min after the glucose bolus, insulin was injected over 1-2 min either into the portal vein or into the femoral vein, and subsequently the glucose and insulin concentrations in plasma were frequently sampled (usually 30 times) over a period of 180 min. The intravenous glucose dose immediately elevates the glucose concentration in the plasma forcing the pancreas ß-cells to secrete insulin. The insulin in the plasma is hereby increased, and the glucose uptake in muscles, liver and tissue is raised by the remote insulin in action. This lowers the glucose concentration in plasma, implying the ß-cells to secrete less insulin, from which a feedback effect arises. The integrated glucose-insulin system can be described by the following non-linearly coupled system of differential equations. The dynamic insulin and glucose responses to glucose injection were analysed as previously described to yield the individual parameters of the MM. The MM was described by the following differential equations [4, 7]:

In the modified MM, parameters p1, p2, and p3 were estimated by weighted nonlinear least-squares from glucose and insulin data collected during an IVGTT experiments. As was usual, measurements from the first 10 min after glucose were ignored in model identification. The SI index was calculated as:

Parameter p1 = SG was glucose effectiveness: a measure of the fractional ability of glucose to lower its own concentration in plasma independent of increased insulin [4].
In this programming, glucose G(t) and insulin I(t) data were submitted to the modified MM program, which estimates the model parameters from the real data. This program was based on the nonlinear least-squares estimation method. Insulin basal I(t) = I0 was submitted to the modified MM program, which predicts a glucose time course, G(t), which fits data G(t) as closely as possible in the least-squares sense. In the course of the fitting, the model yields X(t), an estimate of X(t), as well as estimates of parameters p1, p2, p3, k and γ. Parameters SI (p3/p2) and SG (p1) index were calculated from parameter estimates. This latter parameter was represented as SI and SG index were equal to p3/p2 and p1 as defined in equations (3) and (4), where the parameters were the prediction of the non-linear least-squares fit. In order to exemplify the computation of the proposed stability criteria, we considered sets of parameter values consistent with adaptation to data from actual IVGTT experiments. The glucose-insulin time course in IVGTT was a very complex process influenced by many factors. The modified minimal model could be used to simulate the plasma glucose and insulin profiles at a different subject, not only for NGT but also for T1DM and T2DM subjects. The coefficient of determination, R2, was calculated from parameter estimates. The residuals between the best-fit curve and the data,, were used:

Where y was experimental data, was the prediction of the non-linear least-squares fit and was the averaged experimental data.
The modified minimal model with effect of physical exercise from IVGTT
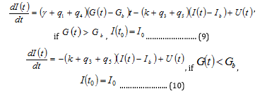
In this model, the same assumptions of physical effort from Derouich and Boutayeb in 2002 [6] and two new parameters, as given below after the induction of physical exercise, we presented a new mathematical model of the glucose and insulin kinetics for the physical effort process. The model allowed us to point out the different behaviours corresponding to NGT, T1DM and T2DM patients.
We introduce a model which simulates the effect of physical exercise on the dynamics of glucose and insulin. The proposed modified MM of the glucose kinetics with exercise is as follows:

A new mathematical model representing the insulin infusion process in insulin therapy in T1DM and T2DM case with exercise was as follows:

The detailed description all the exercise parameters were as follows:
q1: the effect of the physical exercise of accelerating the utilisation of glucose by muscle and the liver;
q2: the effect of the physical exercise in increasing the muscular and liver sensibility to the action of the insulin;
q3: the effect of the physical exercise in increasing the utilisation of the insulin;
q4: the effect of the physical exercise in increasing the disappearance of glucose;
q5: the effect of the physical exercise in increasing the secretion of insulin from the pancreas.
RESULTS AND DISCUSSION
Normal glucose tolerant case without exercise


Fig. 1: Profiles of subject 6 in reference [9] were produced by modified MM without exercise, with parameters: k = 0.205 [min-1], γ = 0.0030 [min-1], Gb = 80 [mg/dl], Ib = 5 [μU/ml], p2 = 0.00095 [min-1], SI = 11.60 × 10-4 [ml/kg/min. μU/ml], SG = 0.0425 [min-1], U(t) = 0, and R2 = 0.960
The optimised parameters obtained by fitting the modified MM to the experimental data of the three subjects were shown in fig. 1, fig. 2, and fig. 3. The values of R2 between measured and calculated plasma concentrations were also shown in fig. 1, fig. 2, and fig. 3. The averaged R2 value, including glucose and insulin concentrations, for these three subjects, were 0.960; this means that the modified MM was agreed. This could be explained by the increased flexibility of the modified MM, because of the assumption that the insulin decay rate was not always a first-order process. Another reason could be the introduction of the insulin kinetics function, which exactly reflects the actual IVGTT situations mathematically in the model. The observed and calculated blood glucose concentrations and the blood insulin profile were shown in fig. 1, fig. 2, and fig. 3. There were NGT subjects without additional insulin infusion. In the standard IVGTT, after an injection of glucose bolus, the blood glucose reaches a higher concentration and shows an apparent decay immediately to the basal line in 1 h. The corresponding insulin concentration stimulated by the injected glucose raises to form a peak, then an approximately exponential decay afterwards, and finally a secondary peak appears. It was not always the case that NGT subjects present a secondary insulin peak. The average value, R2, was 0.960 between experimental and calculated plasma glucose and the plasma insulin profiles.


Fig. 2: Profiles of subject 7 in reference [9] were produced by modified MM without exercise, with parameters: k = 0.16 [min-1], γ = 0.0125 [min-1], Gb = 87 [mg/dl], Ib = 32 [μU/ml], p2 = 0.06 [min-1], SI = 11.5 × 10-4 [ml/kg/min. μU/ml], SG = 0.035 [min-1], U(t) = 0, and R2 = 0.960


Fig. 3: Profiles of subject 8 in reference [9] were produced by modified MM without exercise, with parameters: k = 0.105 [min-1], γ = 0.00455 [min-1], Gb = 85 [mg/dl], Ib = 6 [μU/ml], p2 = 0.0075 [min-1], SI = 11.45 × 10-4 [ml/kg/min. μU/ml], SG = 0.0445 [min-1], U(t) = 0, and R2 = 0.960
Table 2: Comparison of parameters between MM millennium was published in reference [8] and present model
| Clinical index | Typical normal | |||
| Name (unit) | Range | Subject 6 | Subject 7 | Subject 8 |
| Insulin sensitivity (ml/kg/min. μU/ml) | 5.0 × 10-5-2.2 × 10-3 | 11.60 × 10-4 | 11.5 × 10-4 | 11.45 × 10-4 |
| Glucose effectiveness (min-1) | 0.0012-0.045 | 0.0425 | 0.035 | 0.0445 |
| Basal glucose (mg/dl) | 70-103 | 80 | 87 | 85 |
| Basal insulin (μU/ml) |
1-32 | 5 | 32 | 6 |
Type 1 diabetes mellitus case without exercise
The T1DM was a form of diabetes that results from autoimmune destruction of insulin-producing ß-cells of the pancreas. This insulin deficiency once quickly caused death in patients, but technological advances in insulin therapy and diabetes management tools now allow for a near full life expectancy with dramatically improved patient quality of life. Nonetheless, poor diabetes management could lead to diabetes-related complications and patients should be a time in which good diabetes control habits should be developed. Since the diagnosis of T1DM often occurs in a patient, age and maturation of that patient bring an elevated risk of developing microvascular (diabetic retinopathy, nephropathy, and neuropathy) and macrovascular complications. Therefore, patient represents a very good time frame to focus on the prevention of micro and macrovascular disease through good diabetes management.
Treatment of T1DM was based on exogenous insulin injection, diet control and physical exercise. A basal insulin concentration was needed throughout the day, but insulin boluses were also required at mealtimes and for corrections for hyperglycaemia.
However, other parameters, such as physical exercise, illness and stress levels had to be constantly monitored to determine the appropriate insulin dosage. It is generally well accepted that physical exercise along with a good diet was helpful in maintaining glycemic control since very sedentary behaviour was associated with poor control [10].
In T1DM case, the pancreas undergoes an autoimmune attack by the body itself and was rendered incapable of making insulin. It was an autoimmune disorder in which body’s own immune system attacks ß-cells of the pancreas, destroying them or damaging them sufficiently to reduce insulin production. The pancreas then produces little or no insulin. The TIDM patients were treated by giving insulin injection or an insulin pump to deliver insulin in the body.
We had carried out a simple simulation experiment of modified MM applied to the identified T1DM experimental data. The simulation conditions at present during IVGTT have been replicated-identified model received the equal amount of glucose (see fig. 4). The situation of T1DM was shown in fig. 4. In the modified minimal model, the blood glucose concentration of the T1DM subject returned to the basal lines more than 1 h regardless of the insulin injection. In T1DM case, both the experimental and calculated glucose concentrations showed a small response to the insulin infusion. For the blood insulin, besides the peak caused by stimulation by a glucose injection, there was a large peak after 5 min because of the insulin injection. The values of R2 = 0.970 for glucose between experimental and calculated plasma concentrations indicate that the simulation using the proposed model was agreed.


Fig. 4: Profiles of T1DM (IDDM) subject in reference [11] were produced by modified MM without exercise, with parameters: k = 0.12, γ = 0.004, Gb = 221 [mg/dl], Ib = 2 [μU/ml], p2 = 0.01 [min-1], SI = 5.3 × 10-9 [ml/kg/min. μU/ml], SG = 0.05 [min-1], U = 240 [μU/ml], and R2 = 0.970
Type 2 diabetes mellitus case without exercise
The pancreas plays a vital role in regulating blood glucose concentration in the body. Glucose-regulatory hormones, such as insulin, secreted by the pancreas ß-cells facilitate transport of glucose from the circulatory system into the tissues. Absolute or partial deficiency in insulin secretion by the pancreas, lack of glucose-regulatory action of insulin, or both, leads to a metabolic disease known as diabetes mellitus (DM). The much more prevalent form was termed IDDM, commonly known as T2DM. The cause of T2DM was a combination of resistance to insulin action and an inadequate compensatory insulin secretion response. Most patients with this form of diabetes were obese, and obesity may itself cause some degree of insulin resistance. Non-obese T2DM individuals often reflect elevated circulating levels of free fatty acids (FFA) and triglycerides (TG). In T2DM case, initially and often throughout the lifetime, the patients do not require insulin replacement treatment to survive.
The T2DM was diagnosed with insulin resistance in which the pancreas is producing enough insulin, but for unknown reasons, the body could not use the insulin effectively. So, the onset of T2DM could be delayed with physical exercise, diet and lifestyle modifications. Changes in glucose and insulin without physical exercise had been simulated and represented in this paper.
In T2DM cases without exercise, the IVGTT experimental and calculated plasma glucose and the plasma insulin profiles were shown in fig. 5, the blood glucose takes more than 2 h to return to the basal line in spite of an insulin infusion for 5 min starting at 20 min. In fig. 5, there was a great insulin peak from 20 to 30 min, because an insulin amount was injected. The proposed model described well the actual IVGTT operation and reached the R2 values of 0.930 for plasma glucose and 0.930 for insulin.
The fitting process combined with the modified MM took the glucose-insulin system as a dynamic integrated system and generates a set of real optimised model parameters of the experimental data.


Fig. 5: Profiles of T2DM (IDDM) subject in reference [12] were produced by modified MM without exercise, with parameters: k = 0.121, γ = 0.00043, Gb = 150 [mg/dl], Ib = 15 [μU/ml], p2 = 0.0001 [min-1], SI = 12.0 × 10-7 [ml/kg/min. μU/ml], SG = 0.02 [min-1], U = 30 [μU/ml], and R2 = 0.930
Normal glucose tolerant case with exercise
A person has hyperglycemia, when the blood glucose level was above 150 mg/dl. This could arise e. g. when a diabetic ate a large meal or had a low level of insulin in the blood. Hyperglycemia was extremely dangerous if not treated.
A person had hypoglycemia when the blood glucose level was below 60 mg/dl. This could happen, after too much exercise, a too large insulin dosage, a small amount of carbohydrates in the food or if the diabetic skipped meals. Hypoglycemia could result in loosing of the conscience. Avoiding hypoglycemia was an important issue when subjects were using insulin as treatment.
In this case, a modified MM with exercise was developed to capture the effects of exercise on glucose and insulin dynamics. The model successfully captured insulin-glucose concentrations during and immediately after physical exercise. The model was also capable of predicting the plasma glucose excursion towards hypoglycemia during prolonged exercise periods.
In healthy subjects, precise autonomic and endocrine regulation allowed blood glucose levels to remain relatively stable, except for a transient decreased in blood glucose at the start of exercise. Hypo-and hyperglycemia was rare in healthy subjects who did not have diabetes because insulin secretion was lowered and counter-regulatory hormones were elevated, thereby causing glucose production by the liver to match utilisation by the working muscles. This study acknowledged the fact that blood glucose levels decreased during physical exercise. Thus, the fear of hypoglycemia could become a major barrier to physical exercise participation in this NGT subject.


Fig. 6: Profiles simulations of NGT case with exercise, subject 6 in reference [11] were produced by modified MM with exercise. Parameters of NGT cases with normal exercise were q1 = 0.00001, q2 = 0.65, q3 = 0.000009, q4 = 0.004 and q5 = 0.04; with stronger exercise were q1 = 0.00003, q2 = 0.95, q3 = 0.00001, q4 =0. 0045 and q5 = 0.045 (q1, q2, and q3 data from Derouich and Boutayeb in 2002 [6])
Type 1 diabetes mellitus case with exercise
The T1DM treatment was based on exogenous insulin injection and physical exercise. A basal insulin concentration was needed throughout the day, but insulin boluses were also required at mealtimes and for corrections for hyperglycemia. However, other parameters, such as physical exercise, illness and stress levels had to be constantly monitored to determine the appropriate insulin dosage. It was generally well accepted that physical exercise along with a good diet was helpful in maintaining glycemic control since very sedentary behaviour was associated with poor control. Diet recommendations were relatively straightforward in patients with T1DM, and were similar to the general dietary guidelines for NGT. When respected, this helps to avoid unbalanced and irregular carbohydrate intake. The aim of physical exercise in patients with T1DM was to improve the quality of life and to enhance both short-term and long-term health. Due to the possibility of worsening metabolic control during exercise (resulting in either hypoglycemia or hyperglycemia), guidelines regarding metabolic control, blood glucose monitoring and food intake for physical exercise must be followed. Some review papers have focused on glycemic variations with physical exercise and on practical considerations for the clinical management of T1DM subjects. Other reviews previously presented physical exercise-induced benefits of glycemic control in T1DM subjects, but not on different other important health-related parameters [10].
The purpose of this paper was to focus on the effects of physical exercise model in patients with T1DM and to understand which mechanisms were involved. Physical exercise improved SI index in subjects with T1DM. However, it should be noted that the putative improvement in exercise-induced peripheral SI index in subjects with T1DM was not always coincidental with the improvement of the following parameters (usually linked to improved SI index): daily insulin dose decrease and glycemic control improvement. Physical exercise was challenging for the subjects with T1DM. The T1DM subjects need to be aware of the basic strategies to prevent hypoglycemia and maintain reasonable glucose control (see fig. 7). Initial glycemia, time of the last rapid acting insulin injection, injection site, diet, time of the day, exercise type, etc.… were all factors to be considered in order to anticipate the hypoglycemic effect of physical exercise. Moreover, the individual response to exercise could be different for each patient and sometimes even within a patient, thus making general recommendations around exercise and blood glucose management strategies was difficult. Therefore, it would be interesting in future investigations to study different individualised responses to exercise, while taking into consideration the previously shown parameters that were established to influence glucose control. Thus, it could be possible to anticipate glycemic variations better during exercise and recovery. These tests could be taken into consideration in the patient’s therapeutic approach.

Fig. 7: Profiles simulations of T1DM case with exercise, subject in reference [11] were produced by modified MM with exercise. Parameters of T1DM cases with normal exercise were q1 = 0.00001, q2 = 0.65, q3 = 0.000009, q4 = 0.004 and q5 = 0.04; with stronger exercise were q1 = 0.00003, q2 = 0.95, q3 = 0.00001, q4 =0. 0045 and q5 = 0.045 (q1, q2, and q3 data form Derouich and Boutayeb in 2002 [6])
Type 2 diabetes mellitus case with exercise
Physical exercise, which was often viewed in relation to glycemic control, has important effects on the development of cardiovascular complications in T2DM subjects. For the purpose of this statement, physical exercise was defined as planned and structured activity that was aimed at improving cardiovascular health and metabolic control. The goals of this scientific statement, were to document the mechanisms whereby physical exercise was important in T2DM management, analyze the existing evidence regarding exercise interventions, and provide practical guidelines about preparation for physical exercise training programs and safety issues, as well as specific exercise training guidelines that could be used to initiate an exercise program. In addition, previous research has reported improved insulin sensitivity/resistance and reductions in hyperglycemia-related medications as a result of physical exercise. These changes typically have been reported in obese subjects with T2DM, which suggests that there was a good relationship between loss of body fat and improved glycemic control. However, improvement in glycemic control might be independent of fat loss. Moreover, patients with greater metabolic disturbances have shown the greatest improvement in glycemic control. Other potential mechanisms for better glucose control include improvement in SI index and effects on glucose transporters (e. g., GLUT4). The muscle contractions could elicit movement of glucose transporters (GLUT4) to the plasma membrane independently of insulin, and it was further speculated that muscle hypertrophy and blood flow were also contributing mechanisms.


Fig. 8: Profiles simulations of T2DM case with exercise, subject in reference [12] were produced by modified MM with exercise. Parameters of T2DM cases with normal exercise were q1 = 0.00001, q2 = 0.65, q3 = 0.000009, q4 = 0.004 and q5 = 0.04; with stronger exercise were q1 = 0.00003, q2 = 0.95, q3 = 0.00001, q4 =0. 0045 and q5 = 0.045 (q1, q2, and q3 data from Derouich and Boutayeb in 2002 [6])
In general, the new information provided by our study was that SI index as measured by the modified MM was dramatically improved in T2DM patients and, in the short term of physical exercise, could even achieve the zone of control values at rest. This resulted in a marked, albeit incomplete, improvement in the disposition index. In contrast, the exercise-induced increase in SG observed in control subjects using the same protocol was not seen in diabetics, suggesting little or no effect of short bouts of acute exercise on SG in T2DM subjects. This finding was important for interpreting modified MM measures of SI and SG index in diabetics during exercise training protocols, as the acute effects of physical exercise were quantitatively important and need to be separated from chronic effects. Also, the magnitude of the short-term rise in SI index suggested that repeated physical exercise might be, on its own, a powerful insulin-sensitizer independent of the additional and well-demonstrated long-term effects of regular exercise training.
CONCLUSION
In using a modified MM of physical exercise in this paper, our purpose was to illustrate clearly the effect of physical exercise on the dynamics of glucose and insulin in order to confirm the role of physical exercise as a prevention for subjects at risk, to stress the benefit that can be gained by T2DM from improving SI index and compensating its eventual partial lack, and finally, to reassure T1DM subjects that no exclusion is made to provide a good combination is found to balance between insulin doses, carbohydrates and physical intensity. It is interesting to note the output of the model concerning extreme cases where exercise may be dangerous, leading to severe hypoglycemia or other problems where exercise may have a negative effect.
Research has provided some understanding of the physiological responses to exercise in the subjects with diabetes, and as a result, there are some general guidelines for the modification of insulin to limit excursions in blood glucose levels. The goal for all subjects with diabetes should be to learn their individual glycemic responses to exercise and to control glucose fluctuations by modifying insulin dosage diet appropriately.
ACKNOWLEDGMENT
This study was funded by the Direktorat Riset dan Pengabdian Masyarakat Direktorat Jenderal Penguatan Riset dan Pengembangan Kementerian Riset, Teknologi dan Pendidikan Tinggi, Indonesia sesuai dengan Surat Perjanjian Penugasan Pelaksanaan Program Penelitian Nomor: 079/SP2H/lT/DRPM/II/2016 tanggal 17 Februari 2016.
CONFLICT OF INTERESTS
The authors report no conflicts of interest
REFERENCES
How to cite this article