
1Depart. of Pharmaceutics and Pharmaceutical Technology, Faculty of Pharmacy, University of Petra, Amman, Jordan, 2Department of Medicinal Chemistry and Pharmacognosy, Faculty of Pharmacy, University of Petra, Amman, Jordan
Email: ealkaissi@uop.edu.jo
Received: 19 Oct 2016 Revised and Accepted: 21 Dec 2016
ABSTRACT
Objective: To design and synthesize amino acetylenic and thiocarbonate of 2-mercapto-1,3-benthiazoles as potential antimicrobial agents.
Methods: A new series of 2-{[4-(t-amino-1-yl) but-2-yn-1-yl] sulfanyl}-1,3-benzothiazole derivatives (AZ1-AZ6), and S-1,3-benzothiazol-2-yl-O-alkyl carbonothioate derivatives were synthesised, with the aim that the target compounds show new and potential antimicrobial activity. The elemental analysis was indicated by the EuroEA elemental analyzer, and biological characterization was via IR, 1H-NMR, [13]C-NMR, DSC were determined with the aid of Bruker FT-IR and Varian 300 MHz spectrometer using DMSO-d6 as a solvent. In vitro antimicrobial activity, evaluation was done for the synthesised compounds, by agar diffusion method and broth dilution test. The minimum inhibitory concentration (MIC) and the minimum bactericidal concentration (MBC) were determined.
Results: The IR, 1H-NMR, 13C-NMR, DSC and elemental analysis were consistent with the assigned structures. Compound of 2-{[4-(4-methylpiperazin-1-yl)but-2-yn-1-yl] sulfanyl}-1,3-benzothiazole (AZ1), 2-{[4-(2-methylpiperidin-1-yl)but-2-yn-1-yl]sulfanyl}-1,3-benzothiazole (AZ2), 2-{[4-(piperidin-1-yl) but-2-yn-1-yl]sulfanyl}-1, 3-benzothiazole (AZ6), S-1,3-benzothiazol-2-yl-O-ethyl carbonothioate (AZ7), and S-1,3-benzothiazol-2-yl-O-(2-methylpropyl) carbonothioate (AZ9) showed the highest antimicrobial activity against Pseudomonas aeruginosa (P. aeruginosa), AZ-9 demonstrated the highest antifungal activity against Candida albicans (C. albicans), with MIC of 31.25 µg/ml.
Conclusion: These promising results promoted our interest to investigate other structural analogues for their antimicrobial activity further.
Keywords: 2-Mercaptobenzothiazole (2-MBT), Aminoacetylenic, Antimicrobial, Antibacterial, Mannich reaction
© 2017 The Authors. Published by Innovare Academic Sciences Pvt Ltd. This is an open access article under the CC BY license (http://creativecommons.org/licenses/by/4. 0/)
DOI: http://dx.doi.org/10.22159/ijpps.2017v9i2.15760
INTRODUCTION
Many species of bacteria are becoming resistant to different types of antimicrobial agents, such as β-lactam antibiotics, macrolides, quinolones and vancomycin [1, 2]. So the development of new antibacterial and antifungal agents with new biochemical pathways is becoming an urgent demand [3]. Molecules with mercaptobenzothiazole (BTA) moiety have different biological activities [4]. Accordingly, 2-Mercaptobenzothiazole (2-MBT) derivatives have a wide variety of applications [5]. 2-MBT consists of Benzothiazole which is a heterocyclic compound, includes benzene ring fused with 4,5 positions of thiazole ring [6, 7], and the Mercapto (thiol group) substituent at position 2 of thiazole ring that gives the compound antibacterial and anti-inflammatory activity [8]. El-Shaaer et al. (1998) have prepared novel compounds containing MBT linked with chroman-4-one moiety (fig. 1). They were screened for antimicrobial activity, against Gram-positive bacteria namely Staphylococcus aureus (S. aureus), Bacillus subtilis (B. subtilis), and Mycobacterium tuberculosis (M. tuberculosis), C. albicans and Saccharomyces cerevisiae (S. cerevisiae). The results showed that 2-MBT derivatives with substituents 6-Cl or 6,7-Dimethyl group on the chroman-4-one moiety increase the compound antimicrobial activity against S. aureus, B. subtilis, M. tuberculosis, C. albicans and S. cerevisiae [9].
Fig. 1: The structure of substituted 2-MBT with chroman-4-one moiety derivatives (El-Shaaer et al. 1998) [9]
Novel 4-substitut-phenyl–3-chloro-1-[(benzothiazolythio) acetamidyl]-2-azetidinone derivatives were synthesized (fig. 2). These novel compounds were screened for their antibacterial and antifungal activities, against S. aureus, Aspergillus niger (A. niger) and C. albicans. The study showed that compounds derivatives having 3-OH–C6H4 and Cl-C6H4 groups promoted the activity against Candida, while compounds derivatives having 4-OH-C6H4 and 2-Cl-C6H4 on position 4 in azetidinone nucleus are very effective against S. aureus and A. niger [10].

R= CH3/C3H5/(CH2)3CH3/CH2CH=CH2/(CH2)3CH3/CH(CH3)C2H5/(CH2)4 CH3(CH2)5CH3/(CH2)6CH3
Fig. 2: The structure of 4-substitut-phenyl–3-chloro-1-[(benzothiazolythio) accetamidyl]-2-azetidinone derivatives [10]
In this study, we envision a unique and new series of 2-mercaptobenzothiazole derivatives, namely 2-{[4-(t-amino-1-yl) but-2-yn-1-yl] sulfanyl}-1,3-benzothiazole derivatives (AZ1-6), and S-1,3-benzothiazol-2-yl-O-alkyl carbonothioate derivatives (AZ7-9), based on the concept of the fractional based analysis, with the following unique substitutes. In 2-{[4-(t-amino-1-yl)but-2-yn-1-yl] sulfanyl}-1,3-benzothiazole derivatives, 2-mercaptobenzothiazole ring as a directing moiety towards different sites in bacteria and fungi that lead to antimicrobial activity, amino acetylenic increases the effect, and acts as link providing the following binding interaction: The cyclic amino group provides ionic bonding with their corresponding groups on receptors in bacteria and fungi. Acetylenic group for electrostatic interaction, and the 2-butynyl to provide the appropriate distance between 2-mercaptobenzothiazole moiety and the cyclic amine. In S-1,3-benzothiazol-2-yl-O-alkyl carbonothioate derivatives, the 2-mercaptobenzothiazole moiety promotes the compounds lipophilicity, in which aromatic ring makes π-overlap with the aromatic amino acid on the target receptors. Carboxylate moiety gives new compounds hydrophilicity, and forms electrostatic bonding (dipole-dipole interaction) with corresponding receptors, the hydrocarbons in chloroformate provide lipophilic interaction with corresponding receptors. These forces of interaction expected to provide the potential antimicrobial activity.
MATERIALS AND METHODS
Experimental
Chemistry
Chemicals
2-mercaptobenzothiazole 97%, propargyl bromide, ethyl chloro-formate 97%, methyl chloroformate, isobutyl chloroformate, cyclic amine: 1-methylpiperazine 99%, 2-methylpiperidine 98%, cis-2,6-dimethylpiperidine 98%, hexamethylenediamine (azepane) 99%, pyrrolidine 99%, piperidine 99% (all were from Sigma Aldrich, USA), magnesium sulphate anhydrous (Lonover, UK), potassium bromide (Scharlau, Spain), potassium carbonate anhydrous (Gainland Chemical Company, UK), potassium hydroxide (Lonover, UK), paraformaldehyde polymer (BDH chemicals Ltd Poole, England), cuprous chloride LRG (East Anglia Chemicals Hadleigh lpswich), acetonitrile 99.7% (PanReAc Quimca SA, EU), 1,4-dioxane (FULL Time, China), chloroform (stabilized with 0.5-1% ethanol) (TEDIA, USA), dimethyl sulfoxide (DMSO) (BBC Chemicals for lab, EU), diethyl ether (Lonover, England)/(RCL Labs can, Thailand), absolute ethanol 99.9% (Super Chem Inc, Sarasota), acetone 99% (Scharlau, Spain).
Instrumentation
Analytical balance with a precision 0.01 mg (Phoenix instrument, USA), hot plate with magnetic stirrer (Dragon, China), rotary evaporator 0-100Kpa/0-700 mmHg (Rocker 600, Germany), buchner funnel pump (Vacuubrand, Germany), melting point apparatus (Gallenkamp, USA), FT-IR spectrophotometer 7800 to 400 cm-1 (Evisa, Poland), DSC (Mettler Toledo, Int Co), UV-VIS (Evolution 160,USA), HPLC-UV (FinniGan Surveyor, USA), NMR 300 MHZ (Varian 300 MHZ, USA), NMR 500 MHZ (Varian 500 MHZ, USA), elemental analyzer with variation range (±4) (Euro Vector, Italy), balance (BoEco, Germany), autoclave machine (Rypa, Spain), incubator (EuroStar, EU), vortex mixer (Labinco, India), hot plate magnetic stirrer (Dragon, China), sterile tubes, sterile swabs (mWe, UK), micropipette (Oxford, USA).
Synthesis
Synthesis of 2-(prop-2-yn-1-ylsulfanyl)-1,3-benzothiazole (AZ0)
After the mixture of 2-MBT (5.01 g, 0.03 mole), potassium carbonate anhydrous (3g,>0.03 mol) and 20-40 ml acetonitrile (ACN) has been heated and stirred under reflux for 30 min, the propargyl bromide (5 ml, 0.03 mol) was added dropwise. The reaction mixture was heated and stirred under reflux for 2 h. Then the mixture was filtrated and concentrated under reduced pressure to give a brown syrup. The crude product was extracted with 50 ml chloroform and 50 ml distilled water; chloroform layers were collected, dried over magnesium sulphate and evaporated under reduced pressure. The solid brownish crystals AZ0 C10H7NS2, 3.4 g, 55% yield, Mp: (40 °C-50 °C), retention time UV-HPLC: (2.91 min), IR (KBr cm-1): acetylenic C-H stretching (3278.39 cm-1), C-H stretching Ar (3060.477 cm-1), C ≡C stretching (2125.171 cm-1), C=C stretching Ar (1625 cm-1), C=N stretching thiazole (1475 cm-1), C-N 3 °aromatic (1388 cm-1), C-H out of plane bending Ar (700-859.739 cm-1), S-C stretching (600-700 cm-1), 1H-NMR (DMSO-d6): δ; 7.85–8 ppm (doublet, aromatic protons, 2H), 7.3-7.45 ppm (triplet, aromatic protons, 2H), 4.2 ppm (singlet, S-CH2-C, 2H), 3.1 ppm (singlet, acetylenic proton C≡C-H, 1H).
Synthesis of 2-{[4-(t-amino-1-yl) but-2-yn-1-yl] sulfanyl}-1,3-benzothiazole derivatives by Mannich reaction (AZ1-6)
A mixture of 2-(prop-2-yn-1-ylsulfanyl)-1,3-benzothiazole (AZ0) (2.062 g, 0.01 mol), Para formaldehyde (0.5 g in excess), cyclic amine (1-methylpiperazine, 2-methyl piperidine, 2,6-di methyl piperidine, azepane, pyrrolidine, piperidine) and a catalytic amount of cuprous chloride in 1,4-dioxane (25 ml) was stirred at room temperature for 10 min then was heated and stirred under reflux at 70-75 °C for three h. Reaction mixture was filtrated and concentrated under reduced pressure to give brown syrup which was dissolved in diethyl ether, filtrated and concentrated under reduced pressure. The final products were AZ1, AZ2, AZ3, AZ4, AZ5, and AZ6.
2{[4-(4-methylpiperazine-1-yl)but-2-yn-1-yl]sulfanyl}-1,3-benzo-thiazole (AZ1)
The title compound AZ1 was synthesized, using a similar procedure to that described for the preparation of 2-{[4-(t-amino-1-yl)but-2-yn-1-yl] sulfanyl}-1,3-benzothiazole derivatives by Mannich reaction (AZ1-6) in 1.5 g, yield 63.03%, Mp: (40 °C–50 °C), retention time UV-HPLC: (2.2 min), FT-IR (KBr cm-1): C-H stretching aromatic (3060.477 cm-1, 2933.992 cm-1), C-H stretching with tertiary amine (2776.992 cm-1), C=C stretching aromatic (1656.553 cm-1), C=N stretching thiazole (1600 cm-1), C-N stretching 3 ° aromatic(1417.427 cm-1), C-N stretching in cyclic amine (1276.645 cm-1), C-H out of plane bending aromatic (727.032 cm-1, 809.956 cm-1), C-S stretching (534.186-630 cm-1), 1H-NMR (DMSO d6): δ; 2.05 ppm (singlet, cyclic amine proton A, 3H), 2.11 ppm (triplet, cyclic amine proton B, 4H), 2.32 ppm (triplet, cyclic amine protons C, 4H), 3.18 ppm (singlet, C-CH2-N, 2H), 4.2 ppm (singlet, S-CH2-C, 2H), 7.35 ppm (triplet, aromatic protons type A, 2H), 7.45 ppm (triplet, aromatic protons type B, 2H), 7.85 ppm (doublet, aromatic protons type C, 1H), 8 ppm (doublet, aromatic protons type D, 1H). [13]C-NMR (DMSO d6): δ; 22.1289 ppm (cyclic amine CH3 carbon), 46.1170 ppm 46.704 ppm (cyclic amine carbons), 55.0402 ppm (CH2N), 97.954, 80.34 (C≡C), 51.536 (SCH2), 165.50, 153.074, 135.38, 122.3883, 121.8148, 126.8, 125.0743 (2-MPT carbons). Elemental analysis: calculated for C 16H19N3S2; C 60.53%, H 6.03%, N 13.24 %. Found: C 60.219 %, H 6.35%, N13.702%.
2–{[4-(2-methylpiperidine-1-yl)but-2-yn-1-yl]sulfanyl}-1,3-benzothiazole (AZ2)
The title compound AZ2 was synthesized, using a similar procedure to that described for the preparation of 2-{[4-(t-amino-1-yl)but-2-yn-1-yl] sulfanyl}-1,3-benzothiazole derivatives by Mannich reaction (AZ1-6) in 1.2 g, yield 42.47%, Mp: (40-50 °C), UV–HPLC retention time (2.1 min), FT-IR (KBr cm-1): C-H stretching aromatic (3060.477 cm-1, 2923.556 cm-1), C-H stretching tertiary amine (2788.563 cm-1, 2744.208-1), C=C stretching aromatic (1673.909 cm-1), C=N stretching thiazole (1434.779 cm-1), C-N stretching 3 ° aromatic (1307.283 cm-1), C-N stretching tertiary cyclic amine (1228.433 cm-1), C-H out of plane bending aromatic (879.381 cm-1), C-S stretching (628.68 cm-1, 730.889 cm-1). 1H-NMR (DMSO d6): δ; cyclic amine protons: 0.75 ppm (doublet, type A, 3H) 0.95 ppm (sextet, type B,1H), 1.2 ppm (quintet, type C, 2H), 1.4 ppm (quartet, type D, 2H), 1.9 ppm (triplet, type E, 2H), 2.1 ppm (quintet, type F, 2H), 3.3 ppm (singlet, C-CH2-N, 2H), 4.3 ppm (singlet, S-CH2-C, 2H), four aromatic protons: 7.35 ppm (triplet, type A, 2H), 7.45 ppm (triplet, type B, 2H), 7.85 ppm (doublet, type C, 1H), 8 ppm (doublet, type D, 1H).
2-{[4-(2,6-dimethylpiperidin-1-yl)but-2-yn-1-yl]sulfanyl}-1,3-benzothiazole (AZ3)
The title compound AZ3 was synthesized, using a similar procedure to that described for the preparation of 2-{[4-(t-amino-1-yl)but-2-yn-1-yl] sulfanyl}-1,3-benzothiazole derivatives by Mannich reaction (AZ1-6) in 2.5 g, yield 76.22%, Mp: (42-55 °C), UV-HPLC retention time (2.167 min), FT-IR (KBr cm-1): C-H stretching aromatic (3080.477 cm-1, 2923.556 cm-1), C-H stretching tertiary amine (2850.274 cm-1, 2788.563 cm-1, C=C stretching aromatic (1673.909 cm-1), C=N stretching thiazole (1590.985 cm-1, 1432.851 cm-1), C-N stretching 3 ° aromatic (1373.168 cm-1), C-N stretching tertiary cyclic amine (12226.433 cm-1), C-H out of plane bending aromatic (865.882 cm-1), C-S stretching (717.39 cm-1, 624.823 cm-1), 1H-NMR (DMSO d6): δ; four types of cyclic amine protons: 0.75 ppm (doublet, type A, 6H), 0.95 ppm (sextet, type B, 2H), 1.2–1.35 ppm (quartet, type C, 4H), 2 ppm (quintet, type D, 2H), 3.4 ppm (singlet, C-CH2-N, 2H), 4.2 ppm (singlet, S-CH2C, 2H), four types of aromatic protons: 7.35 ppm (triplet, type A, 2H), 7.45 ppm (triplet, type B, 2H), 7.85 ppm (doublet, type C, 1H), 8 ppm (doublet, type D, 1H).
2-{[4-(azepane-1-yl) but-2-yn-1-yl] sulfanyl}-1,3-benzothiazole (AZ4)
The title compound AZ4 was synthesized, using a similar procedure to that described for the preparation of 2-{[4-(t-amino-1-yl)but-2-yn-1-yl] sulfanyl}-1,3-benzothiazole derivatives by Mannich reaction (AZ1-6) in 2.74 g, yield 100%, Mp: (50-60 °C), UV-HPLC retention time (2.117 min), FT-IR (KBr cm-1): C-H stretching aromatic (3056.62 cm-1, 2919.699 cm-1), C-H stretching tertiary amine (2846.417 cm-1, 2809.776 cm-1), C=C stretching aromatic (1677.766 cm-1), C=N stretching thiazole (1583.271 cm-1, 1417.423 cm-1), C-N stretching 3 ° aromatic (1321 cm-1), C-N stretching(new bond) tertiary cyclic amine (1232.29 cm-1), C-H out of plane bending aromatic (879.381 cm-1), C-S stretching (721.247 cm-1, 628.68 cm1), 1H-NMR (DMSO d6): δ; two types of cyclic amine protons: 1.35 ppm (quartet, type A, 10H), 2.35 ppm (triplet, type B, 4H), 3.2 ppm (singlet, C-CH2-N, 2H), 4.2 ppm (singlet, S-CH2–C, 2H), four types of aromatic protons: 7.35 ppm (triplet, type A, 2H), 7.45 ppm (triplet, type B, 2H), 7.85 ppm (doublet, type C, 1H), 8 ppm (doublet, type D, 1H).
2-{[4-(pyrrolidin–1-yl) but-2-yn-1-yl] sulfanyl}-1,3-benzothiazole (AZ5)
The title compound AZ5 was synthesized, using a similar procedure to that described for the preparation of 2-{[4-(t-amino-1-yl)but-2-yn-1-yl] sulfanyl}-1,3-benzothiazole derivatives by Mannich reaction (AZ1-6) in 1.99 g, yield 69.097 %, Mp: (25-38 °C), UV-HPLC retention time (1.99 min), FT-IR (KBr cm-1): C-H stretching aromatic (3048.906 cm-1, 2958.265 cm-1), C-H stretching tertiary amine (2958.274 cm-1, 2796.277 cm-1), C=C stretching aromatic (1592.92 cm-1), C=N stretching thiazole (1415.495 cm-1), C-N stretching 3 ° aromatic (1307.501 cm-1), C-N stretching tertiary cyclic amine (new) (1241.933 cm-1), C-H out of plane bending aromatic (865.882 cm-1), C-S stretching (721.247 cm-1), 1H-NMR (DMSO d6): δ; two types of cyclic amine protons: 1.5 ppm (quartet, type A, 4H), 2.3 ppm (triplet, type B, 4H), 3.3 ppm (singlet, C-CH2-N, 2H), 4.2 ppm (singlet, S-CH2-N, 2H), four types of aromatic protons: 7.35 ppm (triplet, type A, 2H), 7.45 ppm (triplet, type B, 2H), 7.85 ppm (doublet, type C, 1H), 8 ppm (doublet, type D, 1H). 13C-NMR (DMSO d6): δ; 22.1979 ppm, 23.6 ppm, 23.6002, 23.6757 (cyclic amine carbons), 42.6 (CH2N), 79.8806 ppm, 80.182 ppm (C≡C), 51.811 ppm (SCH2), 165.47 ppm, 153.104 ppm, 135.3731 ppm, 121.7915 ppm, 122.2931 ppm, 125.09 ppm, 126.8803 ppm (2-MBT carbons), Elemental analysis; calculated for C15H16N2S2, C 62.40%, H 8.50, N 9.71%. Found: C 62.134%, H 6.176%, N 10.054%.
2-{[4-(piperidin-1-yl) but-2-yn-1-yl] sulfanyl}-1,3-benzothiazole (AZ6)
The title compound AZ6 was synthesized, using a similar procedure to that described for the preparation of 2-{[4-(t-amino-1-yl)but-2-yn-1-yl] sulfanyl}-1,3-benzothiazole derivatives by Mannich reaction (AZ1-6) in 1.99 g, yield 65.894%, Mp: (70-79 °C), UV-HPLC retention time (2.07 min), FT-IR (KBr cm-1): C-H stretching aromatic (3043.121 cm-1, 2923.556 cm-1, C-H stretching tertiary amine (2848.274 cm-1, 2788.563 cm-1, C=C stretching aromatic (1668.124 cm-1), C=N stretching thiazole (1587.128 cm-1, 1455.993 cm-1), C-N stretching 3 ° aromatic (1315.214 cm-1), C-N stretching new tertiary cyclic amine bond (1232.29 cm-1), C-H out of plane bending aromatic (879.361 cm-1), C-S stretching (636.394 cm-1, 734.746 cm-1), 1 H-NMR (DMSO d6): δ; two types of cyclic amines protons: 1.3 ppm (quintet, type A, 6H), 2.2 ppm (triplet, type B, 4H), 3.15 ppm (singlet, C-CH2-N, 2H), 4.2 ppm (singlet S-CH2-C, 2H), four types of aromatic protons: 7.35 ppm (triplet, type A, 2H), 7.45 ppm (triplet, type B, 2H), 7.85 ppm (doublet, type C, 1H), 8 ppm (doublet, type D, 1H), [13]C-NMR (DMSO d6): 22.2392 ppm, 23.7826 ppm, 25.7792 ppm (cyclic amine carbons), 47.4668 ppm (CH2N), 79.9823 ppm, 80.3944 ppm (C≡C), 52.6517 ppm (SCH2), 165.4149 ppm, 153.1251 ppm, 135.4022 ppm, 121.8065 ppm, 122.27676 ppm, 125.1017 ppm, 126.8625 ppm (2-MBT carbons), Elemental analysis; calculated for C16H18N2S2, C 62.7%, H 5.8%, N 10%. Found: C 63.785%, H 6.368%, N 9.332%.
Synthesis of S-1,3-benzothiazol-2-yl-O-t carbonothioate (AZ7-9)
After the mixture of 2-MBT (5 g, 0.03 mole), Potassium Hydroxide (1.6 g, 0.03), anhydrous potassium carbonate (3 g, 0.03) in 20-30 ml absolute ethanol has been heated and stirred under reflux for 30-45 min, it was cooled to room temperature. The appropriate (methyl, ethyl, Isobutyl) chloroformate (0.03 mol) was added dropwise with continuous stirring then it was heated to 30-35 °C for 1-2 h. After the mixture has been cooled to room temperature, it was poured into 100 ml iced water, the precipitated product was filtered by buchner funnel and washed with a little amount of cold distilled water. Finally, the white crystals formed were recrystallized from ethanol–water, the final products AZ7, AZ8, and AZ9.
S-1,3-benzothiazol-yl-O-ethyl carbonothioate (AZ7)
The title compound AZ7 was synthesized, using a similar procedure to that described for the preparation of synthesis of S-1,3-benzothiazol-2-yl-O-t carbonothioate derivatives by addition chloroformate (AZ7-9) in 6 g, Yield 83.57%, Mp: (60-65 °C), UV-HPLC retention time (3.485 min), FT-IR (KBr cm-1): C-H stretching aromatic (2994.909 cm-1, C=O stretching ester formate (1727.906 cm-1), C=C stretching aromatic (1600 cm-1), C=N stretching thiazole (1458.993 cm-1, 1411.638 cm-1), C-N 3 ° aromatic (1369.212 cm-1), C-O stretching ester (1153.233 cm-1), C-H bending out of plane aromatic (849.525 cm-1), C-S stretching (655.979 cm-1, 725.104 cm-1), 1H-NMR (DMSO d6): δ; 1.3 ppm (triplet, CH3 Protons, 3H), 4.2 ppm (quartet, CH2 protons, 2H), 7.5 ppm-8.3 ppm (aromatic protons).
S-1,3-benzothizol-2-yl-O-methyl carbonothioate (AZ8)
The title compound AZ8 was synthesized, using a similar procedure to that described for the preparation of synthesis of S-1,3-benzothiazol-2-yl-O-t carbonothioate derivatives by addition chloroformate (AZ7-9) in 5.4 g, yield 79.917 %, UV-HPLC retention time (2.893 min), FT-IR (KBr cm-1): C-H stretching aromatic (2942.909 cm-1, C=O stretching ester formate (1718.906 cm-1), C=C stretching aromatic (1967 cm-1), C=N stretching thiazole (1411.638 cm-1), C-N 3 ° aromatic (1307.212 cm-1), C-O stretching ester (1132.233 cm-1), C-H bending out of plane aromatic (817.525 cm-1), C-S stretching (655.979 cm-1, 755.104 cm-1), 1H-NMR (DMSO d6): δ; 4 ppm (singlet, CH3 protons, 3H), 7.5 ppm-8.15 ppm (aromatic protons), elemental analysis; calculated for C9H7NO2S2, C 47.96%, H 3.13%, N 6.22%. Found: C 48.131%, H 2.801%, N 6.094.
S-1,3-benzothiazol-2-yl-O-(2-methyl propyl) carbonothioate (AZ9)
The title compound AZ9 was synthesized, using a similar procedure to that described for the preparation of synthesis of S-1,3-benzothiazol-2-yl-O-t-carbonothioate derivatives by addition chloroformate (AZ7-9) in 5.8 g, yield 72%, UV-HPLC retention time (5.547 min), FT-IR (KBr cm-1): C-H stretching aromatic (3064.334 cm-1, 2942.909 cm-1), C=O stretching ester/formate (1772.121 cm-1), C=C stretching aromatic (1625 cm-1), C=N stretching thiazole (1463.706 cm-1), C-N 3 ° aromatic (1307.212 cm-1), C-O stretching ester (1159.009 cm-1), C-H bending out of plane aromatic (804 cm-1, 873.596 cm-1), C-S stretching (655.979 cm-1, 755.104 cm-1), 1H-NMR (DMSO d6): δ; 0.85 ppm (CH3 protons, doublet, 6H), 1.9 ppm (CH proton, 9 signals, 1H), 4.15 ppm (CH2 proton, doublet, 2H), 7.5-8.15 ppm (aromatic protons), [13]C-NMR (DMSO d6): 18.9323, 19.0954, 19.1977 ppm (CH3), 27.7733 ppm (CH), 75.4644 ppm (CH2), 157.6041 ppm (SCOOR), 165.6388 ppm, 152.6042 ppm), 136.488 ppm, 126.332 ppm, 127.1825 ppm, 122.5017 ppm 123.0872 ppm (2-MBT carbons).
Culture media
Mueller-Hinton agar (MHA) (Mastgrp Ltd, UK), Muller Hinton broth (MHB) (Mastgrp Ltd, UK), sabourauds dextrose agar (SDA) (Mastgrp Ltd, UK), sabourauds dextrose broth (SDB) (Himedia, India).
Microorganism
Staphylococcus aureus (S. aureus ATCC 6538), Bacillus subtilis (B. Subtilis ATCC 6633), Pseudomonas aeruginosa (P. aeruginosa ATCC 9027), Escherichia coli (E. coli ATCC 8739), Candida albicans (C. albicans ATCC 10231). All these pure cultures of bacterial strains were kindly obtained from Dar Al Dawa (Na'ur, Jordan).
Antimicrobial activity testing
All the newly synthesized compounds 2-{[4-(t-amino-1-yl)but-2-yn-1-yl] sulfanyl}-1,3-benzothiazole derivatives (AZ1-6) and S-1,3-benzothiazol-2-yl-O-t carbonothioate derivatives (AZ7-9) were tested in vitro for antimicrobial activity against two Gram-negative bacteria namely E. coli (ATCC 8739) and P. aeruginosa (ATCC 9027), two Gram-positive bacteria namely S. aureus (ATCC 6538p) and B. subtilis (ATCC 6633), and one fungi namely C. albicans (ATCC 10231). The first method used was agar diffusion method measuring the zone of inhibition diameter, the compound solutions (AZ1-9) have been prepared in different concentrations for each compound (500 µg/ml, 250 µg/ml, 125 µg/ml, 62.5 µg/ml). After overnight culturing of bacteria in MHB and 2 d culturing of fungi in SDB at 37 °C, 0.1 ml of 1X106CFU/ml of bacterial or fungal broth suspension was inoculated over the surface of MHA plates for bacteria or SDA plates for fungi. Then wells were cut into the media. The wells were filled serially with 0.2 ml compounds' solutions. Plates were incubated at 37 °C for 24 h for bacteria and 48 h for fungi. The zone of inhibition diameters formed around the wells was measured, then they were compared to the zone diameter formed around the positive controls (ciprofloxacin disk 5 µg, fluconazole 500 µg/ml in DMSO). Negative control (DMSO) was also included. Agar diffusion method was designed to allow for statistical analysis and were performed in triplicates. Experimental data presented in this study represent the mean±SD of those triplicate data sets. The second method used was broth dilution method to determine the minimal inhibitory concentration (MIC) of the synthesised compounds. The synthesised compounds were diluted out in a series of twofold dilutions in broth using MHB for bacteria and SDB for fungi to give concentrations ranging from 500 mcg/ml to 7.81 mcg/ml, the final volume of each dilution in the test tube was 5 ml. 0.1 ml of the overnight bacterial culture and 0.2 ml of 2-day fungal culture were added to each tube, positive control tube containing 5 ml of sterile MHB/SDB and 0.1 ml of bacterial culture/0.2 ml of fungal culture was included. Negative control tube contained 5 ml of the tested compound dilution in sterile MHB/SDB was added. The tubes were incubated at 37 °C for 24 h and 48 h for bacteria and fungi respectively. The MIC was determined by comparison the turbidity of each concentration tube with the positive control tube; MIC tube is the lowest concentration of the compound in which no turbidity was observed. Minimum bacteriocidial/fungicidal concentration (MBC/MFC) is the lowest concentration of antibiotic required to kill specific microorganism [11]. To determine the minimum bacteriocidial/ fungicidal concentration (MBC/MFC), the MIC tube and the tubes with dilutions preceded were cultured onto MHA/SDA plates, then the plates were incubated at 37 °C for 24 h and 48 h for bacteria and fungi respectively. The lowest concentration tube that gave no growth was the MBC/MFC; broth dilution test was performed in triplicates.
Statistical analysis
Statistical analysis was carried using statistical packages for social science software (SPSS) for student’s t-test. Values are expressed as mean±SD.
RESULTS
Antimicrobial activity
The newly synthesised compounds AZ1-9 showed activity against all types of the tested microorganisms (table 1, 2), after 24 h incubation at 37 °C for bacteria and after 48 h incubation at 37 °C for fungi, the zone of inhibition diameter and minimum inhibitory concentration (MIC) were measured. 2-{[4-(4-pyrrolidin-1-yl)but-2-yn-1-yl] Sulfanyl}-1,3-benzothiazole (AZ6) demonstrated the highest antimicrobial activity against P. Aeruginosa, with the lowest MIC value 62.5 µg/ml and zone of inhibition diameter of 20±8 mm, 16±7 mm, 16±8 mm and 16±8 mm for 500 µg/ml, 250 µg/ml, 125 µg/ml and 62.5 µg/ml respectively. Compound 2-{[4-(4-azepan-1-yl)but-2-yn-1-yl]sulfanyl}-1,3-benzothiazole (AZ5) had the best antimicrobial activity against E. coli, with the lowest MIC value 125 µg/ml and zone of inhibition diameter of 11±1 mm and 10±0 mm for concentrations 500 µg/ml and 250 µg/ml respectively. 2-{[4-(2,6-dimethyl-piperidin-1-yl)but-2-yn-1-yl]sulfanyl}-1,3-benzothiazole (AZ4) had the best antimicrobial activity against S. aureus, with the lowest MIC value 125 µg/ml and zone of inhibition diameter of 20±2 mm, 10.6±4 mm for concentrations 500 µg/ml and 250 µg/ml respectively. Compounds 2-{[4-(2-methylpiperidin-1-yl)but-2-yn-1-yl]sulfanyl}-1,3-benzothiazole (AZ2), 2-{[4-(2,6-dimethylpiperidin-1-yl)but-2-yn-1-yl]sulfanyl}-1,3-benzothiazole (AZ3), 2-{[4-(2,6-dimethylpiperidin-1-yl)but-2-yn-1-yl]sulfanyl}-1,3-benzothiazole (AZ4) and 2-{[4-(4-azepan-1-yl)but-2-yn-1-yl]sulfanyl}-1,3-benzo-thiazole (AZ5) had the best antimicrobial activity against B. subtilis, with the lowest MIC value 62.5 µg/ml, all these compounds do not have zone of inhibition against B. subtilis. All compounds (AZ1-9) except AZ8 had the same MBC value (250 µg/ml) against P. aeruginosa, while compounds AZ4 and AZ5 had the lowest MBC value 250 µg/ml against E. coli and S. aureus. Compounds AZ2, AZ3, AZ4 and AZ5 had the lowest MBC value 125µg/ml against B. subtilis. Compound AZ9 had the lowest MIC value 31.25 µg/ml against C. albicans, with zone of inhibition diameter of 19±1 mm, 22±8 mm, 17.0±5 mm and 15.0±5 mm for concentrations 500 µg/ml, 250 µg/ml, 125 µg/ml and 62.5 µg/ml respectively; Accordingly, it had the lowest MFC value 62.5 µg/ml against C. albicans. Compounds (AZ1-9) had higher MIC/MFC values in comparison to the positive control (fluconazole). The antimicrobial results of the newly synthesized compounds AZ1-9 showed a broad spectrum of antibacterial and antifungal activity.
Table 1: The zone of inhibition diameter (in mm) of compounds (AZ1-9) 500 µg/ml concentration
| Compound | P. aeruginosa | E. coli | S. aureus | B. subtilis | C. albicans |
| Concentration | 500 | 500 | 500 | 500 | 500 |
| AZ1 | 13.2±2.2 | 14.0±0.0 | 10.0±0.0 | - | 9.2±6.0 |
| AZ2 | 18.0±0.8 | 12±2.0 | 10.0±0.0 | - | 40±10 |
| AZ3 | 18.0±0.6 | 10.6±4.0 | 12.0±0.0 | - | 17±6.8 |
| AZ4 | 8.0±3.4 | - | 20.0±2.0 | - | 19±7.0 |
| AZ5 | 6.6±2.9 | 11±1.0 | 19.0±3.0 | - | 6.6±2.8 |
| AZ6 | 20.0±0 | 9.2±4.0 | 12.0±5.2 | - | 20±8.4 |
| AZ7 | - | 13.2±5.6 | 16.0±7.8 | - | 15.0±5.0 |
| AZ8 | 15.0±3.0 | 10.0±0.0 | - | - | 26.0±6.0 |
| AZ9 | 15.0±5.0 | 16.0±2.0 | 19.0±5.0 | - | 19.0±10 |
| Ciprofloxacin (5 µg/ml) | 28±8.2 | 28±4 | 28±4 | 20±0 | |
| Fluconazole (500 µg/ml) | 54±18 | ||||
| Negative control | - | - | - | - | - |
Values are mean±SD (n=3), (-): no growth, AZ1: 2{[4-(4-methylpiperazine-1-yl)but-2-yn-1-yl]sulfanyl}-1,3-benzothiazole, AZ2: 2–{[4-(2-methylpiperidine-1-yl)but-2-yn-1-yl]sulfanyl}-1,3-benzothiazole, AZ3: 2-{[4-(2,6-dimethylpiperidin-1-yl)but-2-yn-1-yl]sulfanyl}-1,3-benzothiazole, AZ4: 2-{[4-(azepane-1-yl)but-2-yn-1-yl]sulfanyl}-1,3-benzothiazole, AZ5: 2-{[4-(pyrrolidin–1-yl)but-2-yn-1-yl]sulfanyl}-1,3-benzothiazole, AZ6: 2-{[4-(piperidin-1-yl)but-2-yn-1-yl]sulfanyl}-1,3-benzothiazole, AZ7: S-1,3-benzothiazol-yl-O-ethyl carbonothioate, AZ8: S-1,3-benzothizol-2-yl-O-methyl carbonothioate, AZ9: S-1,3-benzothiazol-2-yl-O-(2-methyl propyl) carbonothioate.
Table 2: Minimum inhibitory concentration (MIC) of compounds (AZ1-9) in µg/ml against S. aureus, B. subtilis, E. coli, P. aeruginosa and C. albicans
| Compound | P. aeruginosa | E. coli | S. aureus | B. subtilis | C. albicans |
| concentration | MIC/MBC (µg/ml) | MIC/MBC (µg/ml) | MIC/MBC (µg/ml) | MIC/MBC (µg/ml) | MIC/MBC (µg/ml) |
| AZ1 | 62.5/250 | 250/500 | 125/500 | 125/500 | 125/500 |
| AZ2 | 125/250 | 250/500 | 125/500 | 62.5/125 | 125/250 |
| AZ3 | 125/250 | 250/500 | 125/500 | 62.5/125 | 125/250 |
| AZ4 | 125/250 | 125/250 | 125/250 | 62.5/125 | 125/500 |
| AZ5 | 125/250 | 125/250 | 125/250 | 62.5/125 | 62.5/250 |
| AZ6 | 62.5/250 | 250/500 | 250/500 | 125/250 | 62.5/250 |
| AZ7 | 62.5/250 | 250/500 | 250/500 | 125/250 | 62.5/125 |
| AZ8 | 125/500 | 250/500 | 250/500 | 125/250 | 62.5/250 |
| AZ9 | 62.5/250 | 250/500 | 250/500 | 125/250 | 31.25/62.5 |
| Ciprofloxacin | 50 | 25 | 50 | 25 | |
| Fluconazole | 8 | ||||
| Negative control | - | - | - | - | - |
AZ1: 2{[4-(4-methylpiperazine-1-yl)but-2-yn-1-yl]sulfanyl}-1,3-benzothiazole, AZ2:2–{[4-(2-methylpiperidine-1-yl)but-2-yn-1-yl]sulfanyl}-1,3-benzothiazole, AZ3:2-{[4-(2,6-dimethylpiperidin-1-yl)but-2-yn-1-yl]sulfanyl}-1,3-benzothiazole, AZ4: 2-{[4-(azepane-1-yl)but-2-yn-1-yl]sulfanyl}-1,3-benzothiazole, AZ5: 2-{[4-(pyrrolidin–1-yl)but-2-yn-1-yl]sulfanyl}-1,3-benzothiazole, AZ6: 2-{[4-(piperidin-1-yl)but-2-yn-1-yl]sulfanyl}-1,3-benzothiazole, AZ7: S-1,3-benzothiazol-yl-O-ethyl carbonothioate, AZ8: S-1,3-benzothizol-2-yl-O-methyl carbonothioate, AZ9: S-1,3-benzothiazol-2-yl-O-(2-methyl propyl) carbonothioate, MIC: Minimum Inhibitory Concentration,MBC: Minimum Bactericidal Concentration, MFC: Minimum Fungicidal Concentration.
DISCUSSION
Chemistry
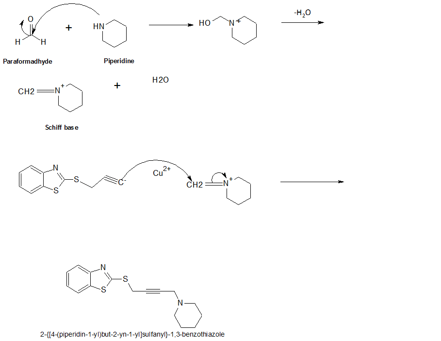
The designed compounds were prepared as shown in schemes (1, 2 and 3). (Scheme 1) involved the alkylation of 2-mercapto-benzothiazole with 3-bromo prop-1-yne (propargyl bromide) in the presence of acetonitrile as a solvent, under basic conditions. The reaction involves direct displacement of the anionic sulfur (thiolate anion) in the thiazole ring on the propargyl bromide, to generate 2-(prop-2-yn-1-ylsulfunyl)-1, 3-benzothiazole AZ0. The Mannich reaction of 2-(prop-2-yn-1-ylsulfanyl)-1,3-benzothiazole AZ0, Paraformaldehyde, appropriate cyclic amine, and a catalytic amount of cuprous chloride in peroxide-free 1,4-dioxane was heated to 70-75 °C to yield the designed compounds (AZ1-6).
The yield obtained ranged from 42.47 to 100%. The proposed mechanism for Mannich reaction is shown in (Scheme 2). In order for Mannich reaction to proceed, a reactive immonium cations intermediates should be formed, from the condensation of the formaldehyde and the appropriate amines (Schiff base formation). The attack of the carbanion in 2-(prop-2-yn-1-ylsulfanyl)-1,3-benzothiazole cuprous salt on the Schiff base generates the desired Mannich products (AZ1-6). The UV-HPLC, FT-IR, 1H-NMR, 13C-NMR, DSC and elemental analysis were consistent with the assigned structures. (Scheme 3) involved the addition of chloroformate to the 2-MBT, in the presence of absolute ethanol as a solvent under basic conditions. The reaction involves direct displacement of the anion sulfur in the thiazole ring on the ethyl, methyl or isobutyl chloroformate to generate S-1, 3-benzothiazole-2-yl-O-t carbonothioate (AZ7-9). The yield obtained ranged from 51 to 83 %.

Scheme 1: Alkylation Reaction of 2-MBT

Scheme 2: Mannich reaction proposed

Scheme 3: Addition of chloroformates to 2-MBT
In order to determine the antimicrobial activity of the newly synthesized compounds, agar diffusion method, and broth dilution method were the most common methods used in evaluating the antimicrobial activity [12, 13]. The variability of the results using the agar diffusion method, and broth dilution method may be due to the high molecular weight of the of 2-{[4-(t-amino-1-yl)but-2-yn-1-yl] sulfanyl}-1,3-benzothiazole derivatives (AZ1-6), and S-1,3-benzothiazol-2-yl-O-t-carbonate derivatives (AZ7-9), and their low solubility in water made their diffusion in agar medium is slow, giving zone of inhibition which reported as low antimicrobial activity. The good activity of (AZ1, AZ6, AZ7 and AZ9) against P. aeruginosa may be attributed to the diffusion of the compound, using both lipid-mediated and a porins–mediated pathway for entry into the bacterial cells. The reasons for the entry of these compounds to P. aeruginosa by dual pathway may due to the drug flux and the susceptibility, both are sensitive to the presence of porins (in particular OmpF), and to the manipulations that disrupt the outer membrane LPS barrier, through electronegativity overlap. In addition, the relative contribution of the two pathways may correlate with the hydrophobicity of these compounds, due to the presence of aryl moiety and the protonation state of these compounds, due to the presence of cyclic amine moiety or COOR moiety [14]. AZ4 is a more lipophilic compound than other compounds that affect P. aeruginosa (like AZ1, AZ6, AZ7 and AZ9), due to azepane cyclic amine has 6 carbons in its structure. E. coli strains have a lacking in pore-forming proteins especially OmpF [15], so the only way to enter bacteria cell is the permeation lipid bilayer by high lipophilic compounds like AZ4. From the previous results, the newly synthesised compound showed higher antibacterial activity against P. aeruginosa than against E. coli. The newly synthesized compounds are active against Gram-positive bacteria, that is attributed to the peptidoglycan of Gram-positive cells is more receptive to antimicrobials, due to the absence of the outer membrane. The antibacterial activity of AZ2 (2-methyl piperidine), AZ3 (2,6-dimethyl piperidine), AZ4 (azepane) and AZ5 (pyrolidine) against Gram-positive bacteria is attributed to the lipophilicity and steric effect, according to the large size of 2-methylpiperidine, 2,6-dimethylpiperidine, azepane and pyrolidine respectively. Lipophilicity may facilitate the diffusion of compounds through the cell wall, and the steric effect may exert physical pressure on the cell wall of Gram-positive bacteria. The newly synthesised compounds have antimicrobial activity against B. subtilis more than antimicrobial activity against S. aureus.
CONCLUSION
In conclusion, we have reported the synthesis of novel series of amino-acetylenic, and carbonothioate 2-mercaptobenzothiazole derivatives. A unique and new amino acetylenic side chain that provides additional forces of interaction with the microorganism. Data on antibacterial and antifungal activity generated from this investigation, merit the generation of new amino acetylenic and carbonothioate 2-mercaptobenzothiazole derivatives, with more potent antimicrobial activity through changes in lipophilicity and electronegativity.
ACKNOWLEDGMENT
The authors would like to thank the University of Petra/Faculty of Pharmacy for providing the necessary facilities to carry out this work.
CONFLICT OF INTERESTS
The authors have declared no conflict of interest.
REFERENCES
How to cite this article