Applied and Environmental Laboratory, Department of Chemistry, Jai Narain Vyas University, Jodhpur, India.
Email: kaajal.chahar@gmail.com
Received: 28 Jun 2014 Revised and Accepted: 03 Aug 2014
ABSTRACT
Objective: An investigation was undertaken regarding the adsorption of different heavy metal ions from industrial effluent using novel tamarind 8-hydroxyquinoline-5-sulfonic acid (THQSA) resin.
Methods: THQSA resin was synthesized by reacting epoxy propyl ether of tamarind with 8-hydroxyquinoline-5-sulfonic acid. The epoxy propyl ether of tamarind was synthesized by the reaction of epoxy chloropropane (epichlorohydrin) with tamarind kernel powder (TKP). The characterisation of the THQSA resin was carried out by FTIR (Fourier transform Infrared) spectra, elemental analysis and total ion exchange capacity. The effects of pH, treatment time, treatment temperature, resin quantity and flow rate on the removal of metal ions from industrial effluent were also studied.
Results: THQSA resin proved to be an effective adsorbent for the removal of different heavy metal ions from industrial effluent; removal efficiency followed the order: Fe2+> Cu2+> Zn2+> Cd2+> Pb2+.
Conclusion: These results suggest that the novel cation exchange resin THQSA holds great potential to remove cationic heavy metal ions from industrial effluent.
Keywords: Tamarind 8-hydroxyquinoline-5-sulfonic acid resin, Tamarind kernel powder, Industrial effluent, Batch adsorption.
INTRODUCTION
The astronomical increase in world population, modern industrialization and civilization, domestic and agricultural activities and other geological, environmental and global changes are responsible for water pollution [1].The industry continues to be one of the most significant causes of pollution of aquatic ecosystems due to a diverse kind of wastes especially toxic heavy metal ions such as arsenic, cadmium, chromium, copper, lead, mercury, zinc, etc.
In addition, many of them are known to be toxic or carcinogenic even at low concentration. They are not biodegradable and tend to accumulate in living organisms causing a serious diseases and disorders [2]. Therefore, many industries have a need to treat wastewater either of domestic or industrial origin to obtain very high quality water for demanding purposes. Various technologies and methods, such as ion exchange [3-5], precipitation [6], solvent extraction [7, 8], chemical and electrochemical technique [9, 10], advanced oxidation process [11, 12], reverse osmosis [13]and adsorption procedure [14-16] have been developed for the removal and recovery of metal ions from industrial effluent. However, most of these technologies are either extremely expensive or too inefficient in the treatment of wastewater.
It is observed that adsorption among other methods is a cost effective technique and simple to operate. Adsorption involves the accumulation of substances on the surface of a solid or liquid. Adsorption is of two types, which are physical adsorption or Vander Waal’s adsorption and chemical adsorption or Langmuir adsorption [17].
Recently, numerous approaches have been studied for the development of cheaper and more effective adsorbents containing natural polymers. Among these, polysaccharides such as tamarind kernel powder [18-20], chitin [21-23] and starch [24-26] deserve particular attention. These biopolymers represent an interesting and attractive alternative as adsorbents because of their particular structure, physico-chemical characteristics, chemical stability, high reactivity and excellent selectivity towards metals, resulting from the presence of chemical reactive groups (hydroxyl, acetamido or amino functions) in polymer chains. Moreover, it is well known that polysaccharides which are abundant, renewable and biodegradable resources have a capacity to associate by physical and chemical interactions with a wide variety of molecules [27, 28]. Hence, adsorption on polysaccharide derivatives can be a low-cost procedure of choice in water decontamination for extraction and separation of compounds. The present article highlights synthesis and characterization of novel tamarind 8-hydroxyquinoline-5-sulfonic acid (THQSA) resin and its use in removal of heavy metal ions from effluent of Paradise Steel Industry, Jodhpur, India. The adsorption of industrial effluent using THQSA resin is a cost effective and green analytical method.
MATERIAL AND METHODS
Chemicals, reagents and materials
All chemicals used in this work were of analytical grade and were used as supplied without further purification.The reference solution and the industrial effluent were collected from Paradise Steel Industry, Jodhpur, India. The analytical characteristics features are presented in Table 1.
Synthesis of tamarind 8-hydroxyquinoline-5-sulfonic acid (THQSA) resin
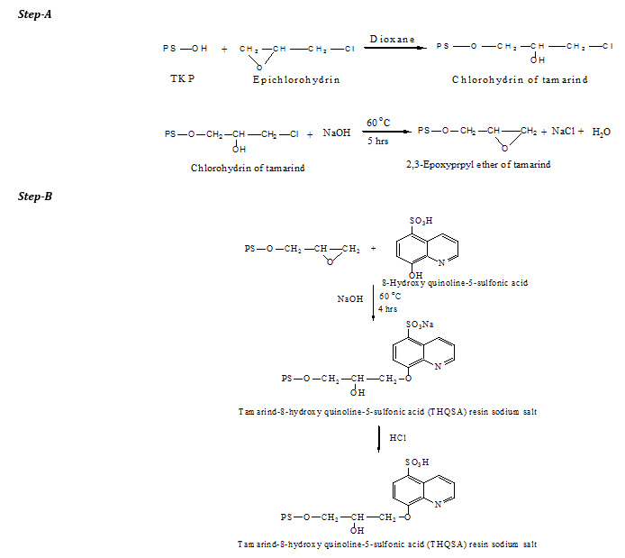
Step A: Synthesis of epoxypropyl ether of tamarind
182.2 g(0.2 mol)of TKP was taken in a 200 mL round bottom flask and dioxane was added with stirring on a magnetic stirrer at 60°C. Subsequently, 50% aqueous solution of sodium hydroxide was added drop wise in order to make it alkaline until the pH reached 8.5. Then 9.25 g (0.1 mol) epoxy chloropropane (epichlorohydrin) was added and stirring was continued for 5 h at 60°C. The product, epoxypropyl ether of tamarind, was filtered under vacuum, washed with methanol to remove impurities and dried. The preparation of epoxypropyl ether of tamarind is shown in step A of scheme1.
Step B: Synthesis of tamarind 8-hydroxyquinoline-5-sulfonic acid (THQSA) resin
Epoxypropyl ether of tamarind, synthesized in Step A was allowed to react with 22.52 g (0.1 mol) of 8-hydroxyquinoline-5-sulfonic acid. The mixture was stirred for 4 h at 60°C and left overnight. The product was filtered under vacuum and washed with 90% methanol containing a few drops of hydrochloric acid to remove inorganic impurities.
Finally, it was washed with pure methanol. The product tamarind 8-hydroxyquinoline-5-sulfonic acid (THQSA) resin was a free-flowing light yellow powder and the yield was 208.5 g. The reaction scheme is shown in step B of Scheme1.
Table 1: It shows metal ion concentrations in reference solution
| Appearance: Clear |
| Colour: Green |
| pH: 4.5 |
| Total hardness: 966 mg.L−1 |
| Metal ion |
| Concentration (in mg.L−1) |
| Other anions (mg/kg): fluoride = 0.78; sulphate = 562.12; cyanide = 0.05 |
| Acceptable level of toxic metal ions in water (mg/kg): Fe2+= 0.1, Cu2+= 0.05, Zn2+= 5.0, Pb2+= 0.1, Cd2+= 0.1 |

Scheme1: Synthesis of tamarind 8-hydroxyquinoline-5-sulfonic acid (THQSA) resin
Adsorption method
Batch adsorption was adopted for removal of heavy metal ions from industrial effluent. THQSA resin (0.2g) was placed in a 250 mL conical flask containing 100 mL of predetermined metal ions concentrations ranging from 2-15mg/L. The pH was adjusted by traditional method of using sodium bicarbonate and hydrochloric acid and stirred on a magnetic stirrer for a determined equilibrium time of 90 minutes. The mixture after equilibrium was filtered through Whatman-42 filter paper and the filtrate analysed for residual metal concentration using a Perkin-Elmer model 2380 Atomic Absorption Spectrophotometer. The fraction of the metal ions adsorbed was calculated by the expression in equation 1.

The quantity of the metal ions adsorbed by the adsorbents at different times is given by equation 2.

Where Mf is fraction of metal ions adsorbed (no unit), Mo is the initial metal ion (mg/L), Me residual metal concentration at equilibrium (mg/L), V is volume of metal ions solution (mL), M mass of the adsorbent (g) and qt is adsorption capacity of adsorbent after time (min).
Total ion exchange capacity (IEC) determination
The total capacity of an ion exchange resin is defined as the total number of chemical equivalents available for exchange per some unit weight or unit volume of resin. The capacity may be expressed in terms of milliequivalents per dry gram of resin or in terms of milliequivalents per dry gram of resin or in terms of milliequivalents per milliliter of wet resin. The ion exchange capacity, which is generally taken as a measure of the hydrogen ion liberated by neutral salt to flow through the composite cation exchanger was determined by standard column process. 1 g (dry mass) of the composite ion exchange material in H+ form was placed in a glass column with a glass wool support at the bottom. It was washed with demineralised water to remove any excess acid remaining on the particles. The hydrogen ions were eluted with 0.1 M solution of different alkali and alkaline earth metal salts. The flow rate was kept at4 mLmin−1. The collected effluent was titrated against a standard solution of sodium hydroxide using phenolphthalein as an indicator. The hydrogen ions released were then calculated.
Column experiment
In the column experiment, a glass tube with 1.6 cm internal diameter and 20 cm height, packed with 9 cm of resin (8.5 g), was used. 50 mL of the reference metal ions solution was passed through the column at a flow rate of 4 mL min−1. The flow rate was controlled by a peristaltic pump. The column was washed with 20 mL of deionised water and the washing was rejected. The metal ions were eluted quantitatively with different strengths of acids.
RESULTS AND DISCUSSION
IR characterization
FTIR spectra of THQSA resin were recorded on a Varian model 640 FTIR instrument using KBr pellets.
The spectra of TKP shows a broad band in the region 3590–3160 cm-1 due to -OH stretching. The peak at 2944 cm-1 is attributed to C–H stretching vibration. A strong and sharp peak at 1640 cm-1 is due to O–H bending and the variable peak at 1580–1450 cm-1 is attributed to C–H bending. A strong peak in the region 1285–1070 cm-1 denotes C–O stretching vibrations.
The FTIR spectrum of THQSA resin shows a broad band in the region 3530–3120 cm-1 due to -OH stretching. The peak at 3070–2965 cm-1 is attributed to C–H stretching vibration in aromatic nuclei. A strong peak in the region 1245–1020 cm-1 denotes C–O stretching vibrations. The THQSA resin shows the asymmetric and symmetric S=O stretching frequency in the region 1365–1348 cm-1 and 1168–1150 cm-1. The peaks at 1610–1470 cm-1 are attributed to C=C stretching in aromatic nuclei. The spectral peaks for polysaccharides are generally observed in the region 3600–3200 cm-1 due to O–H stretching frequency [29]. The FTIR spectra of THQSA resin is given in figure 1.

Fig. 1: It shows FTIR spectra of THQSA resin
Thermo gravimetric analysis (TGA)
The thermal decomposition of resin is commonly determined by 951 thermo gravimetric analyzer. The resin sample was powdered to the same average mesh size and dried carefully in a vacuum desiccator. The boat was packed uniformly for analysis. For the dynamic measurement, the system was heated at a constant heating rate of 20°Cmin−1under a static atmosphere till the complete decomposition. The THQSA resin was found to be stable up to 405°C, after which degradation was found to be rapid. The TGA curve of THQSA resin is shown in figure 2

Fig. 2: It shows TGA curve of THQSA resin
Effect of pH on distribution coefficient
The distribution coefficient (Kd) is the ratio of the sum of the concentrations of all forms of the compound (ionized plus un-ionized) in a mixture of two immiscible phases at equilibrium. These coefficients are a measure of the difference in solubility of the compound in these two phases. For measurements of distribution coefficient, the pH has a strong effect. The variation ofdistribution coefficient (Kd) values of different metal ions with (H+) are given in Table 2.
Table 2: It shows distribution coefficient (Kd) of metal ions from effluent of Paradise Steel Industry, Jodhpur on THQSA resin (Kd) x102
| pH | Fe2+ | Zn2+ | Cu2+ | Cd2+ | Pb2+ |
| 1 | 21.83 | 17.63 | 9.35 | 8.92 | 11.05 |
| 2 | 33.16 | 22.81 | 11.68 | 12.85 | 17.43 |
| 3 | 67.45 | 69.85 | 18.17 | 19.12 | 35.22 |
| 4 | 238.55 | 131.31 | 38.32 | 38.19 | 53.67 |
| 5 | 53.89 | 54.87 | 88.57 | 53.14 | 102.18 |
| 6 | 16.42 | 19.22 | 166.25 | 74.46 | 44.91 |
| 7 | 9.13 | 14.16 | 15.62 | 18.26 | 17.38 |
The perusal of the results shows that the increase of the Kd values with decreasing acidity of the aqueous solution and optimum results obtained at pH range 4–6. The adsorption of heavy metal ions on THQSA resin starts when the pH rises to the range where most acidic ion exchange sites start to exchange hydronium ions for metal ions, the capacity reaches the maximum value in the pH range where all the ion exchange sites take part in the reaction and the functional group is able to form complexes with the metal cations [30]. The decrease in Kd values after the maximum in the neutral and alkaline region can be explained by the complex formation of THQSA resin with heavy metal ions. High values of the distribution coefficient indicate that the metal has been retained by the resin through adsorption, while low values of Kd indicate that a large fraction of the metal remain in solution.
Removal of metal ions from effluent of Paradise Steel Industry, Jodhpur, India
Removal of metal ions by THQSA resin involves prior complex formation. The pH of the aqueous phase plays aunique role on metal-chelate formation and subsequent extraction of metal ions because it affects the solubility of the metal ions, concentration of the counter ions on the functional groups of the adsorbent and the degree of ionisation of the adsorbent during reaction. The effect of pH on the complex formation and extraction of metal ions from effluent was studied in the range of 2.0–8.0 using HCl and NaOH. The results illustrated in Table 3 reveals that maximum removal percentage of studied metal ions was achieved at pH ranges 3.0 to 6.0. It is clear from the reported table that the percentage removal of metal ions first increases and then deceases with increasing pH.
This suggests that selectivity of the metal ions is dependent on pH of the solution. The maximum removal of toxic metal ions is obtained when a strong electric field is present and the electrostatic effect may become the dominant factor, such that small ions which have a huge charge density are bound more strongly with the resin [31]. In an acidic medium, the H+ ions of the THQSA resin easily exchange with metal ions.
Table 3: It shows percentage removal of metal ions from effluent of Paradise Steel Industry, Jodhpur by THQSA resin
| pH | Fe2+ | Zn2+ | Cu2+ | Cd2+ | Pb2+ |
| 1 | 66.95 | 53.12 | 35.24 | 38.92 | 56.16 |
| 2 | 77.05 | 61.85 | 44.02 | 53.22 | 66.31 |
| 3 | 87.62 | 87.98 | 62.41 | 61.23 | 76.88 |
| 4 | 96.18 | 93.25 | 81.19 | 77.92 | 85.05 |
| 5 | 85.59 | 82.45 | 89.98 | 84.11 | 91.45 |
| 6 | 62.08 | 62.05 | 95.07 | 88.44 | 82.08 |
| 7 | 46.25 | 57.18 | 60.35 | 64.53 | 64.25 |
Effect of Treatment Time on adsorption
Adsorption of metal ions increases with increasing contact time. Figure 3 reveal that adsorption of metal ions on THQSA resin increases by increasing the treatment time from 30 to 210 min; optimum contact time for THQSA adsorbent was found to be 210 min. Other parameters such as pH of solution and agitation speed were kept optimum, while temperature was kept at 25°C.
The availability of THQSA groups on the surface of tamarind is required for interaction with metal ions to form chelates, significantly improved the binding capacity and the process proceeded rapidly. This result is important, as equilibrium time is one of the important parameters for an economical treatment of industrial effluent.

Fig. 3: It shows effect of changing the treatment time on the adsorption % of different metal ions of THQSA resin
Effect of treatment temperatures
The effect of temperature on the adsorption percentage for metal ions onto THQSA resin was studied. figure 4 shows the effect of treatment temperature on adsorption % of the metal ions on THQSA resin. The adsorption % of metal ions decreases by increasing the treatment temperature from 25°C to 50°C and then 75°C, at the optimum treatment time of 4h. This can be explained in terms of higher stability of formed chelates at lower temperatures as generally observed for low molecular weight complexes.

Fig. 4: It shows effect of changing treatment temperatures on the adsorption % of different metal ions onto THQSA resin
Effect of THQSA resin quantity on removal of metal ions
The resin amount is also an important parameter influencing the quantitative adsorption of metal ions. The amount of THQSA resin was varied from 20 to 200 mg to determine the effect of resin quantity. The effect of adsorbent quantity on the removal of heavy metal ions is shown in Figure 5. The maximum adsorption of heavy metal ions by THQSA resin was achieved with an adsorbent quantity of 100 mg and further increase of resin quantity adsorption percentage has no change. The initial increase in adsorption percentage for the metal ions was due to the greater surface area and increased number of adsorption sites available. However, further increase in THQSA resin quantity, the binding of metal ions steadily decreased. This effect might be attributed to overlapping or aggregation of adsorption sites of resin resulting in a decrease in the total surface area of the adsorbent.
Effect of flow rate
The flow rate of the sample solution in the column experiment was an important parameter to affecting the recovery of metal ions and also to controlling the time of analysis. Therefore, the effect of flow rate on adsorption of metal ions was investigated under the optimum conditions by passing 100 mL of sample solution through the micro column. The peristaltic pump was used to controlled flow rates, which were adjusted in range of 1.0–5.0 mL min−1. The optimum flow rate for these metal ions was found at 3–4 mL min-1 for maximum loading and thereafter for stripping off from the chelating resin.

Fig. 5: It shows effect of THQSA resin quantity on removal of metal ions
The flow rates which are slower than 2 mLmin−1were not studied to avoid long analysis times. However, there was a decrease in the percentage of metal ions recover at a flow rate greater than 4 mL min−1 as the metal ions probably could not equilibrate properly with the resin bed. Thus, a flow rate of 4.0 mL min-1 was selected throughout the column experiment.
CONCLUSION
The removal of heavy metal ions by THQSA resin is now considered as one of the most promising techniques due to cost-effective, eco-friendly and rapidness. The adsorbed metal ions on THQSA resin were effectively eluted by different strength of HCl solution and the resin could be regenerated 10 times to its H+ cationic exchanger form after elution of the metal ions followed by washing with acidic and pure distilled water. The new synthesized THQSA resin is hydrophilic and biodegradable so that after effluent treatment used resins can be disposed of without facing any environmental problem. Thus, present research reveals that newly synthesized THQSA resin can be effectively used for removal of toxic heavy metal ions from industrial effluent.
ACKNOWLEDGEMENTS
The authors are thankful to the Head, Department of Chemistry, Jai Narain Vyas University, Jodhpur for providing necessary facilities during the experimental work. The authors are also grateful to the University Grants Commission, New Delhi for providing financial assistance as JRF (F. No. 19-12/2010(i)EU-IV).
REFERENCES