
1Facultad de Medicina de la Universidad Autónoma Del Estado de Morelos. Calle Iztaccihuatl Esq. Leñeros, Col. Volcanes, Cuernavaca, Morelos, CP. 62350, 2Fellow Post Doctoral CONACyT Program
Email: vera.petricevich@uaem.mx
Received: 16 Nov 2016 Revised and Accepted: 09 Jan 2017
ABSTRACT
Objective: A Bougainvillea x buttiana (var. Rose) Holttum and Standl extract (BxbREE) was prepared and its chemical composition, antioxidant and anti-inflammatory activity were evaluated.
Methods: For the analyses of the phytochemical compounds present in BxbREE extract, gas chromatography-mass spectrometry (GC/MS) was used. To explore the anti-oxidant, anti-inflammatory activities, total phenolic contents, carbohydrates, lipids and carrageenan-induce paw edema models, respectively, were used. For in vivo experiments, the extract was orally, intraperitoneally and/or subcutaneously administered at doses of 0.04, 0.4, 4 and 40 mg/kg.
Results: GC/MS analyses showed the presence of 7 compounds, including 2-Propenoic acid, 3-(2-hydroxyphenyl)-, (E)-(1.19%); 2-Methoxy-4-vinylphenol (0.22%); 3-O-Methyl-d-glucose (92.14%); n-Hexadecanoic acid (0.76%); Hexadecanoic acid, ethyl ester (1.17%); 9,12-octadecadienoic acid, ethyl ester (1.93%); and 9,12,15-Octadecatrienoic acid, ethyl ester (Z,Z,Z) (2.59%). Phytochemical qualitative analysis showed the presence of total phenolic contents at 320 mg of Gallic acid Equivalent/gram of dried extract (GA-Eq/g extract); carbohydrates 5.18 mg/ml and lipids 13.88 mg/ml. In accordance the structures the major compound was 3-O-Methyl-d-glucose. Our results also clearly indicate that BxbREE decreases inflammation in BALB/c mice as a subplantar injection of carrageenan-induced paw edema. The extract presented a potent dose-dependent inhibitory effect. The edema inhibition percentage was significantly lower in groups of animals treated with BxbREE by via intraperitoneal or subcutaneous when compared with those results obtained for groups treated by orally administration (p<0.001).
Conclusion: In conclusion, this study established the anti-oxidant and anti-inflammatory activities of Bougainvillea x buttiana (var. Rose); also, this extract could be considered to be a natural anti-oxidant agent that represents an anti-inflammatory remedy.
Keywords: Anti-inflammatory, Antioxidant, Phenolic compound
© 2017 The Authors. Published by Innovare Academic Sciences Pvt Ltd. This is an open access article under the CC BY license (http://creativecommons.org/licenses/by/4.0/)
DOI: http://dx.doi.org/10.22159/ijpps.2017v9i3.16190
INTRODUCTION
Different reports from the World Health Organization have shown that approximately 80% of the world population depends on traditional medicine for their primary healthcare needs. Plants contain numerous biologically active compounds; recently, different studies have shown that phytochemical compounds are of great interest to the pharmaceutical industry according to their anti-inflammatory, anti aging, and antimicrobial properties. These biological activities make them an important source of molecules for new drug discovery [1]. Many plants for medicinal use and their purified components have displayed therapeutic potential. The identification of chemical compounds present in plants is important for the discovery of new agents for therapeutic use, and this information can be of great value to the development of economic phytol compounds that can be used in complex chemical synthesis [2]. To obtain this information, mass spectrometry coupled with chromatographic separations, such as gas chromatography (GC/MS), is generally used for direct analysis of constituents present in traditional medicine and medicinal plants.
The genus Bougainvillea is a broad genus that belongs to the Nyctagineacea Family and is widely used in traditional medicine for treating respiratory infections; antibacterial, antiviral, and anti-fertility activities; and diarrhoea as well as to reduce stomach acidity [3, 4]. For example, B. spectabilis and B. glabra were highly effective in reducing virus infection [3, 4]. In these genera, other activities were observed, such as anti-inflammatory activity [5]; also, they have been identified to control and prevent diabetes [6, 7].
The Bougainvillea genus is extensively dispersed in Cuernavaca, Morelos, Mexico, such as Bougainvillea x buttiana. We previously showed that Bougainvillea x buttiana (var. Orange) extract has anti-inflammatory and anti-nociceptive activities [8]. Bougainvillea from different colours and regions has been reported to exhibit antioxidant activity [9].
The purpose of the present study was to identify the chemical composition of ethanol extract from B. x buttiana (var. Rose; Holttum and Standel) and to estimate its antioxidant and anti-inflammatory activities.
MATERIALS AND METHODS
Chemicals and solvents
Ethanol, gallic acid (GA), and carrageenan were purchased from Sigma-Aldrich Chemical Co., (Toluca, Mexico).
Animals
Animals were purchased from Bioterio del Instituto Nacional de Salud Pública (Cuernavaca-Morelos, México). BALB/c female mice (20–25 g) were used for all experiments. The animals used for the experiments were treated in accordance with the protocol approved by the Committee for Animal Care (Facultad de Medicina Universidad Autónoma del Estado de Morelos, Cuernavaca, Mexico) (CCUAL-FM-UAEM Number 002/2016).
Extraction of plant material
The flowers and bracts of Bougainvillea x buttiana were manually harvested in Cuernavaca, Morelos, Mexico during summer 2015 and identified. A voucher specimen Bougainvillea x buttiana (Holttum and Standl) was registered with foil 33870 for later reference and deposited at the Herbarium HUMO, CIByC (UAEM). The plant collection included 110 g of flowers and bracts that were dehydrated at 25 °C, ground into powder and submerged at a ratio of 50/50 (w/v) for 3 d with continuous shaking. The extract was filtered through Whatman filter paper N ° 1, and the solvent was removed using a rotary evaporator at 50 °C. The crude ethanolic extract of Bougainvillea x buttiana (var. Rose) was named (BxbREE) and stored at-20 °C for screening anti-inflammatory activity.
Phytochemical quantitative analysis
The phytochemical screening methods for detecting the compounds in the ethanolic extract of Bougainvillea x buttiana were performed as per standard methods [10].
Carbohydrates
To detect the presence of carbohydrates, the Fehling test with the colorimetric method was used as described by Aziz, 2015 [11]. The following equation was based on the calibration curve: Y = 2.0275X–0.1023 R2 = 0.9803, where X is the absorbance and Y is in mg/ml. Each test was performed in quadruplicate.
Lipids
The quantification of lipids present in ethanolic extracts of BxbREE was performed by a simple colourimetric method as described by Mishra et al., 2014 [12]. The following equation was based on the calibration curve: Y = 1.1148X–0.0043 R2 = 1, where X is the absorbance and Y is in mg/ml. Each test was performed in quadruplicate.
Total phenolic content (TPC)
The total phenolic levels present in ethanolic extracts of B. x buttiana were assayed using the method of Folin-Ciocalteau phenol as reported by Singleton et al., 1999 [13]. The TPC was expressed in terms of gallic acid (equivalents of GA/gram of dried extract). The following equation was based on the calibration curve: Y = 7.3526X–0.0026 R2 = 0.9993, where X is the absorbance and Y is in mgGA/g. Each sample was evaluated in quadruplicate.
GC-MS analysis
GC-MS was performed at Centro de Investigaciones Químicas–UAEM; analyses were performed using an Agilent 6890B gas chromatograph fitted with an HP-5MS fused silica column (5% phenyl methyl polysiloxane 30 m x 0.25 mm i.d., film thickness 0.25 μm) that was interfaced with an Agilent mass selective detector 5973N (Agilent Technologies, USA) and operated by HP Enhanced ChemStation software. For GC-MS detection, an electron ionization system with an ionization energy of 70 eV was used.
Helium was used as the carrier gas at a flow rate of 1 ml/min. The injector and transfer line temperatures were set at 250 and 285 °C, respectively. The column temperature was initially kept at 10 °C for 1 minute and was then gradually increased to 250 °C at a rate of 5 °C/min; finally, it was raised to 285 °C at a rate of 1 °C/min.
A diluted sample in DMSO (20% solution) of 2.0 μl was injected in split mode at a ratio of 1:50. The chromatographic conditions and column used for GC analyses (Agilent 5973N gas chromatograph with FID detector) were the same as those for GC-MS analyses. The identity of the components of the essential oil was selected by comparison on the HP-5MS column and GC-MS spectra from the Wiely7Nist data by co-injection with authentic compounds (Sigma, Aldrich, Fluka). Quantification of the components was performed on the basis of their GC peak areas on the HP-5MS column.
Acute oral toxicity study
Female BALB/c mice were dosed via a stepwise procedure using fixed doses of 4, 40, 400, 800, and 1600 mg/kg of body weight in mice [14]. After treatment with extract, the animals were individually observed for any toxic manifestations as well as up to a period of 2 w for mortality and general behaviour [15]. The observed parameters were the skin, fur, eyes, mucous membranes, tremors, convulsions, salivation, diarrhoea, lethargy, sleep and coma; respiratory, circulatory, autonomic and central nervous systems; somatomotor activity; and behaviour patterns.
Edema paw
The animals were divided into 18 different groups (n = 4 each group). The ethanol extract of BxbREE (0.04; 0.4; 4; and 40 mg/kg) was orally, intraperitoneally and/or subcutaneously administered to different groups of mice. The standard drug indomethacin, Aspirin® and dexamethasone (4 mg/kg) was administered intraperitoneally.
To evaluate acute inflammation, mice were treated with a subplantar injection of 100 µl of a 1% suspension of carrageenan in the right hind paw [16]. The paw volume was measured initially and then every 15 min for up to 24 h. After carrageenan injection, the edema volume was determined using the plethysmographic method [17]. Edema inhibition percentage (%EI) was calculated using the following formula:
% EI = [1–(Vt/Vc) X 100]
Where: Vt = volume paw from treated animals and Vc = volume paw from control animals.
Statistical analyses
The results are presented as the means±standard deviation. Statistical analyses of the experimental results were based on analysis of variance (ANOVA), which was complemented by GraphPad Prism 6. Differences were considered significant at the p<0.05 level.
RESULTS
Phytochemical analyses
Table 1 shows the results of the quantitative phytochemical analysis of the ethanolic extract from BxbREE. These analyses revealed the presence of carbohydrates, lipids and total phenolic contents.
Table 1: Quantitative analysis of ethanolic extract of BxbREE
| Pythochemical | Levels/g dry extract (mg/ml) |
| Carbohydrates | 5.18±0.02 |
| Lipids | 13.88±0.03 |
| Total Phenolic Contents | 320.00±19.20* |
Each value represents the mean±SD (n = 4). * The TPC was expressed in terms of gallic acid (equivalents of GA/gram of dried extract).
GC-MS analysis
The results obtained from the GC-MS analysis showed the presence of 7 compounds in the ethanolic extract of Bougainvillea x buttiana (table 2). Two of the compounds belong to the chemical group of phenolic compounds, such as 2-Propenoic acid, 3-(2-hydroxy-phenyl)-, (E)-(1.19%) and 2-Methoxy-4-vinylphenol (0.22%). One of them is carbohydrate 3-O-Methyl-d-glucose (92.14%), and the following 4 are fatty acids: n-Hexadecanoic acid (0.760%); Hexadecanoic acid, ethyl ester (1.17%); 9,12-Octadecadienoic acid, ethyl ester (1.93%); and 9,12,15-Octadecatrienoic acid, ethyl ester (Z,Z,Z) (2.59%).
Table 2: Phytocompounds identified in the ethanolic extract of Bougainvillea x buttiana by GC-MS
| Number | Chemical groups | Compounds | Molecular weigh (g/mol) | RT (min) | GC area % |
| 1 | Phenolic compound | 2-Propenoic acid, 3-(2-hydroxyphenyl)-, (E)- | 164.16 | 10.57 | 1.19 |
| 2 | Phenolic compound | 2-Methoxy-4-vinylphenol | 150.18 | 11.93 | 0.22 |
| 3 | Carbohydrate | 3-O-Methyl-d-glucose | 194.18 | 16.76 | 92.14 |
| 4 | Fatty acid | n-Hexadecanoic acid | 256.48 | 19.32 | 0.76 |
| 5 | Fatty acid | Hexadecanoic acid, ethyl ester | 284.48 | 19.66 | 1.17 |
| 6 | Fatty acid | 9,12-Octadecadienoic acid, ethyl ester | 308.49 | 21.25 | 1.93 |
| 7 | Fatty acid | 9,12,15-Octadecatrienoic acid, ethyl ester (Z,Z,Z)- | 306.49 | 21.32 | 2.59 |
Table 3 shows the phytochemicals that contribute to the medicinal properties of the plant. Phenolic compounds, such as the 2-Propenoic acid, 3-(2-hydroxyphenyl)-, (E)-and 2-Methoxy-4-vinylphenol, are reported to have anti-oxidant, anti-inflammatory and anti-bacterial activities. There were also other compounds with antioxidant activity, such as n-Hexadecanoic acid and Hexadecanoic acid ethyl ester. Another component with anti-inflammatory activity was 9, 12, 15-Octadecatrienoic acid, ethyl ester (Z,Z,Z). Cell preservation activity is reported for 3-O-Methyl-d-glucose; finally, anti-parasitic activity was reported for 9, 12-Octadecadienoic acid ethyl ester [Chemical structure, Marvin 15.11.23, 2015, ChemAxon (http://www.chemaxon.com].
Table 3: Activity of photo components identified in the ethanolic extract of Bougainvillea x buttiana by GC-MS
| Number | Chemical structure | Activity |
| 1 | 2-Propenoic acid, 3-(2-hydroxyphenyl)-, (E)-![]() |
Antibacterial, flavor, Aldose-Reductase-Inhibitor, Allergenic, Anesthetic, Antiinflammatory, Antimutagenic, Antispasmodic, Cancer Preventive; Choleretic; Dermatitigenic, Fungicide, Herbicide, Laxative, Pesticide, Lipoxygenase-Inhibitor, Pesticide, TyrosinaseInhibitor and Vermifuge [18]. |
| 2 | 2-Methoxy-4-vinylphenol![]() |
Antioxidant, Antimicrobial and Anti-inflammatory [19]. |
| 3 | 3-O-Methyl-d-glucose![]() |
Preservative [20]. |
| 4 | n-Hexadecanoic acid![]() |
Antioxidant, Pesticide, Flavor, 5-Alpha reductase-inhibitor, Antifibrinolytic, Hemolytic, Lubricant, Nematicide and Antialopecic [18]. |
| 5 | Hexadecanoic acid, ethyl ester![]() |
Antioxidant [18]. |
| 6 | 9,12-Octadecadienoic acid, ethyl ester![]() |
Hypocholesterolemic, Nematicide Antiarthritic, Hepatoprotective Anti androgenic, Hypocholesterolemic Nematicide, 5-Alpha reductase inhibitor, Antihistaminic, Anticoronary Insectifuge, Antieczemic and Antiacne [21]. |
| 7 | 9,12,15-Octadecatrienoic acid, ethyl ester (Z,Z,Z)- |
Antiinflammatory, Insectifuge Hypocholesterolemic, Cancer preventive, Nematicide, Hepatoprotective, Insectifuge, Antihistaminic, Antieczemic, Antiacne, 5-Alpha reductase inhibitor, Antiandrogenic, Antiarthritic and Anticoronary [20]. |
Acute toxicity studies
During the period of up to 2 w, no mortality or behavioural changes were observed. The ethanol extract was secured to a dose of 1600 mg/kg body weight. In accordance with this test, BxbREE was tested at 0.04 up to 40 mg/kg body weight for further experiments.
Anti-inflammatory activity of the BxbREE extract using carrageenan-induced rate paw edema in an animal model
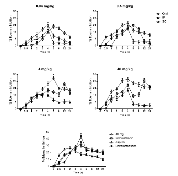
To determine the anti-inflammatory activity of the ethanolic extract BxbREE, groups of mice were treated with different concentrations and administration routes and analysed in the carrageenan model. Fig. 1 shows the anti-inflammatory properties of an ethanolic extract from BxbREE administered by different routes. The paw volume was significantly reduced in all tests with the extract. For all routes of administration at doses ranging from 0.04 to 0.4, the highest percentage of edema inhibition was observed at 4 h, which decayed thereafter. In contrast, at doses of 4 and 40 mg/kg in groups of animals with intraperitoneal treatment, there was an increase in the percentage inhibition at 12 h. The extract presented a potent dose-dependent inhibitory effect. In groups of animals that were treated via intraperitoneal or subcutaneous administration, the extract was 1.24 or 1.56 times less effective via oral administration.
In the carrageenan assay, edema and inflammation are induced by biphasic events. Indomethacin, aspirin and dexamethasone are used as positive controls; also, at a dose of 4 mg/kg, there was markedly reduced paw edema in the carrageenan model (p<0.001). When BxbREE was orally administered, it was equally potent in inhibiting carrageenan edema (fig. 1).

Fig. 1: Percent of oedema inhibition. Groups of BALB/c female mice were treated with different concentrations of BxbREE over the course of 24 h. To compare the percent inhibition of edema for standard drugs, such as indomethacin, aspirin and dexamethasone, groups of mice were treated intraperitoneally with 4 mg/kg, which was compared with groups of mice treated with 40 mg/kg BxbREE. Each point represents the mean±SD n = 4 mice (p<0.001)
DISCUSSION
Phenolic compounds present in plants are an extensive group with a broad spectrum of biological activities, such as anti-inflammatory, antiviral, antimicrobial, antioxidant, anti-mutagenic, and anti-carcinogenic activities, and they modify gene expression. They have also been highlighted for their contribution towards lowering the risks of diverse diseases, especially for coronary heart and pulmonary diseases as well as for different cancer types [22-25]. With respect to tannins, they can antagonise the effects of permeability in rats and inhibit the migration of leucocytes to an inflamed site. Recently, different studies have shown that phenol compounds and flavonoids are of high interest to the pharmaceutical industry because of their anti-inflammatory, anti-aging, and anti-microbial benefits, which make them an important source of molecules for new drug discovery [1].
Based on these results, the BxbREE extract had a pharmacological effect that may be due to the synergistic effects of the various compounds present in the crude extract. The bioactivities of various compounds, such as phenolic contents, fatty acids, and carbohydrates, are responsible for their antioxidant, anti-carcinogenic, anti-mutagenic and anti-inflammatory properties [26].
The carrageenan model is characterised by the liberation of different mediators at two phases. The first phase, at 1 hour after carrageenan injection, is characterised by the liberation of histamine and serotonin. The kinnins correspond to the continuity between the two phases [25]. The second phase, from 2.3 to 6 h, is mediated by prostaglandins and cyclooxygenase [25]. The present study clearly demonstrated that BxbREE at doses of 4 and 40 mg/kg significantly reduced the oedema formation induced by carrageenan at all assessment time periods. There are several components to an inflammatory response that may contribute to its associated symptoms and promote tissue regeneration, including oedema, granuloma formation and leukocyte infiltration. The intensity of the inflammatory response is crucial when there is an insufficient response, which can lead to immunodeficiency, and an excessive response, which increases morbidity and mortality. However, the imbalance of an inflammatory response can cause organ damage or dysfunction and contribute to the host’s mortality [27].
Acute inflammation is a rapid event that has a short duration, lasting from minutes to days. It is characterized by exudation of fluid and plasma protein as well as an accumulation of leukocytes and involves cellular influx that is associated with the release of mediators [28]. On the other hand, chronic inflammation may be more critical or dangerous because it occurs over a longer time period (days to years) and is characterized by an influx of lymphocytes and macrophages, which is associated with vascular proliferation and fibrosis [27].
CONCLUSION
In conclusion, this study scientifically validated that the ethanolic extract of BxbREE (var. Rose; Holttum and Standl) has potent anti-oxidant and anti-inflammatory activities. These effects might be attributed to the detected compounds in ethanol extract. These results showed that the B. x buttiana extract could be considered to be a natural anti-oxidant agent and acts as an anti-inflammatory remedy.
Acknowledgment
This work was supported by the Secretaria de Educación Pública (SEP-PRODEP)–México and Consejo Nacional de Ciencia y Tecnología (CONACyT-México). The authors are grateful for the technical support of Master in Science Claudia García Alanis.
CONFLICT OF INTERESTS
Declared none
REFERENCES
How to cite this article