1Department of Pharmaceutical Sciences, Guru Ghasidas Vishwavidyalaya, Koni, Bilaspur, Chhattisgarh, 495009, India, 2KNIMT Faculty of Pharmacy, Sultanpur, UP, 218 128, India
Email: drdilip71@gmail.com
Received: 30 Jun 2014 Revised and Accepted: 05 Aug 2014
ABSTRACT
Objectives: To synthesize, characterize and evaluate antimicrobial properties of some 1, 2, 4-triazole derivatives.
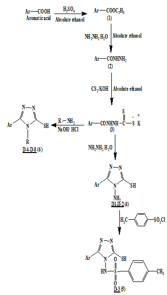
Methods: A novel series of 1, 2, 4-Triazole derivatives (D-1-D-8) had been synthesized. Ethyl esters of benzoic and 4-substituted benzoic acids were synthesized using ethanol and conc. sulphuric acid. In the second step, hydrazides of these esters were prepared. This hydrazide was converted into potassium salt of dithiocarbazinate using carbon disulfide and potassium hydroxide which on cyclization formed compounds (D-1-D-2). Compound D-3 was formed by reacting D-1 with 4-methylbenzenesulfonyl chloride in dry pyridine. Compounds (D-4-D-8) were synthesized by mixing aqueous solution of 10% NaOH in different primary amines and then heating it with potassium salt of dithiocarbazinate. The structures of newly synthesized compounds were established on the basis of 1H NMR and Mass spectroscopic techniques. The newly synthesized compounds were screened for their in vitro antibacterial and antifungal activity. In vitro antibacterial and antifungal activity was evaluated by Disc Diffusion method. Ofloxacin and Clotrimazole were used as standard drug respectively.
Results: The results revealed that compounds D-3 and D-4 exhibited good antibacterial activity and D-1 and D-2 had moderate antibacterial activity as compared with standard drug Ofloxacin, while compounds (D-5-D-8) exhibited moderate antifungal activity as compared to standard drug Clotrimazole.
Conclusion: A novel series of 1, 2, 4-Triazole derivatives were synthesized and were obtained in good yields. Newly synthesized compounds were isolated and purified by thin layer chromatography and column chromatography respectively.
Keywords: Antibacterial activity, Antifungal activity, 1, 2, 4-Triazole.
INTRODUCTION
Modern drug discovery relies on the interface of chemical and biological diversity through high throughput screening. Generation of true molecular diversity requires molecular scaffolds that are low molecular weight and are easily modified to create a variety of chemically diverse, biological active pharmacophores. The most spectacular advances in the medicinal chemistry have been made in the last few years, where the heterocyclic compounds played an important role in regulating biological activities [1]. 1, 2, 4-Triazole and its derivatives represent one of the most biologically active classes of compounds, possessing a wide spectrum of activities [2]. The 1, 2, 4-triazole nucleus is associated with diverse pharmacological activities such as antibacterial [3,4,5], antifungal [6], antitubercular [7,8], anticancer [9,10], antitumor[11,12], anti-inflammatory [13], anticonvulsant[14], antidepressant[15], analgesic [16], anti-viral [17], antimalarial [18], hypoglycaemic[19, 20] and antioxidant[21]properties. The chemistry of heterocyclic compound continuous to be an explore field in the organic or Pharmaceutical chemistry. The importance of triazole derivatives lies in the field that these have occupied a unique position in heterocyclic chemistry, due to its various biological activities[22, 23]. These observations prompted us to synthesize some new triazole derivatives and to investigate their antibacterial and antifungal activities. The synthesized compounds were tested for antibacterial activity against Staphylococcus aureus, Bacillus subtilis, Salmonella species and Pseudomonas species and for antifungal activity against Candida albicans. The standard protocol used for both activities was Disc diffusion method.
MATERIALS AND METHODS
All the chemicals required were purchased from the local suppliers and were purified by established methods. The melting points were recorded by open capillary method and are uncorrected. The purity and homogeneity of the synthesized compounds were routinely ascertained by the thin layer chromatography, performed on plates coated with silica gel-G. All compounds were isolated and purified by thin layer chromatography and column chromatography respectively. The Visualization was done using iodine vapours and U.V. light chamber. The 1H-NMR spectra were recorded on BRUKER DRX- 300 MHz Spectrophotometer using D2O as solvent and TMS (Tetra Methyl Silane) as an internal standard. Chemical shifts (δ) were expressed in ppm. The Mass spectra were recorded on Water OPLC- TQDMS in positive mode ESI-MS Spectrophotometer.
Experimental
Synthesis
Synthesis of Ethyl esters of benzoic and 4-substituted benzoic acids (1)
To benzoic and 4-substituted benzoic acids (0.1 mol) in ethanol (100 ml) in a round bottom flask conc. sulphuric acid (5.7 ml) was added. The mixture was refluxed for 4 to 6 hrs. An excess of ethanol was distilled off and after cooling, the content was transferred to separating funnel containing 100 ml of distilled water. The synthesized esters were extracted several times with carbon tetrachloride (30 ml). The combined organic layers were washed with 20% solution of sodium bicarbonate to remove any unreacted acid. After washing with distilled water, the organic layer was dried over anhydrous MgSO4. Carbon tetrachloride was then distilled off under reduced pressure giving esters (1), which was recrystallized from absolute ethanol.
Synthesis of hydrazides of benzoic and 4-substituted benzoic acids (2)
To hydrazine hydrate (99%) (5.7 ml, 0.15 mol) in a flat bottom flask a solution of 1 (0.1 mol) in ethanol was added drop wise with gentle stirring. After complete addition, the mixture was transferred into a round bottomed flask and refluxed for 4 to 6 hrs. Ethanol was distilled off under reduced pressure. The precipitate of acid hydrazides (2) were filtered and recrystallized from ethanol.
Synthesis of potassium salt of dithiocarbazinate (3)
A mixture of potassium hydroxide (0.15 mol), 100 ml of absolute ethanol and (0.1 mol) of 2 was treated with (0.15 mol) of carbon disulfide. This mixture was diluted with 75 ml of absolute ethanol and stirred for 12-16 hrs. The solvent was distilled off under reduced pressure. The salt, prepared as described above, was obtained in nearly quantitative yield and was employed without further purification.
Synthesis of Compounds (D-1-D-8)
Derivatives D-1 and D-2 (4)
A suspension of (0.1 mol) of 3 in absolute alcohol, (0.2 mol) of 99% hydrazine hydrate and 6 ml of water was refluxed for 2 to 3 hrs. The colour of the reaction mixture changed to green with the evolution of hydrogen sulphide gas and a homogenous solution resulted. Cold distilled water (100 ml) was added and the solution was acidified with conc. HCl. The precipitated solid was filtered, washed with 2 × 30 ml portions of cold water, and recrystallized. Progress of the reaction was checked by TLC using the solvent system chloroform: acetone (4:1). Yield (%) - D-1 (72%), D-2 (70%).
Synthetic Scheme
Derivatives
Derivative D-3 (5)
A mixture of triazole (0.01 mol) of 4 (D-1) and 4-methylbenzenesulfonyl chloride (0.01mole) in dry pyridine (20 ml) was heated under reflux for three hours. It was then cooled and poured on ice water. A Solid product was formed on filtration. This was purified by recrystallization from ethanol. Progress of the reaction was checked by TLC using the solvent system chloroform: acetone (3:2).Yield (%)-D-3 (65%).

Derivatives D-4 to D-8 (6)
Aqueous solution of 10% NaOH was added in (0.01 mol) of primary amines and mixed with (0.01 mol) potassium dithiocarbazinate then this reaction mixture was refluxed for 2 hrs. The resulting solution was treated with charcoal, cooled and filtered. The filtrate was acidified with 10% HCl to adjust the pH between 5-6. The solid mass was precipitated, filtered, washed with ice cold water and purified by recrystallization from ethanol. Progress of the reaction was checked by TLC using the solvent system ethyl acetate: petroleum-ether: methanol (8:2:1). Yield (%)-D-4 (74%), D-5 (72%), D-6 (86%), D-7 (77%), D-8 (67%).
Evaluation of antibacterial activity
A Disc Diffusion Method (Kirby Bauer Method) was employed for the in vitro study of antibacterial activity against two gram positive bacteria namely Staphylococcus aureus and Bacillus subtilis and two gram negative bacteria namely Salmonella species and Pseudomonas species. Ofloxacin was used as standard drug. Approximately 4 to 5 well isolated colonies of the bacterial strain are inoculated into 5 ml of nutrient broth and incubated at 37°C. After standardization of bacterial suspension, sterile cotton swap was immerged in it and the swap was rotated several times, with firm pressure on the inside wall of the tube to remove excess fluid. Nutrient agar media plate was prepared with a depth of 4mm (millimetre). Dried surface of nutrient agar plate was inoculated by streaking the swab 3 times over the entire agar surface. Antibacterial impregnated disc was placed on the surface of the agar using sterile forceps and disc was pressed gently to provide uniform contact. Compounds (D-1-D-4) were evaluated for antibacterial activity.
Evaluation of antifungal activity
A Disc Diffusion Method was employed for the in vitro study of antifungal activity against Candida albicans using Clotrimazole as standard drug respectively. Compounds (D-5-D-8) were evaluated for antifungal activity. The plates were examined for the presence and the size of inhibitory zones. The diameter of the inhibitory zone (including the diameter of the disc) was measured by using a millimetre scale up to the nearest millimetre. All measurements are made with unaided eye by viewing the back of the Petridis with reflected light against black background.
RESULTS AND DISCUSSION
A novel series of 1, 2, 4-Triazole derivatives (D-1 to D-8) were synthesized according to above synthetic scheme and were obtained in good yields. The physical parameters of all synthesized compounds are given in [Table 1]. Characterization of the synthesized compounds was carried out by determining their melting points, 1H NMR, and Mass spectra.
Spectral data
Compound D-1 [3-(4-chlorophenyl)-4-amino-5-mercapto-4H-1, 2, 4-triazole]
1HNMR (D2O, δ, ppm): 2.19 (s, 1H, J=2.203), 7.54 (s, 1H, J=7.508), 7.56 (d, 4H, J=7.575), 7.68 (d, 2H, J=7.720), 7.81 (t, 1H, J=7.838), 7.88 (d, 2H, J=7.911). MASS m/z (%): 693.6(100), 691.6(80), 695.6(58), 521.0(54), 708.5(52), 690.7(46), 734.6(43), 668.8(43), 489.0(28), 657.8(25), 552.8(24), 554.9(21), 482.9(21), 652.7(18), 455.9(14), 423.9(12), 196.1(10), 390.8(04).
Compound D-2 [3-phenyl-4-amino-5-mercapto-4H-1, 2, 4-triazole ]
1HNMR (D2O, δ, ppm): 2.09 (s, 1H, J=2.116), 7.42 (m, 6H, J=7.518), 7.73 (t, 3H, J=7.771), 7.82 (d, 1H, J=7.869), 7.97 (s, 1H, J=8.000), 8.54 (s, 1H, J=8.538), 8.66 (d, 1H, J=8.690). MASS m/z (%): 442.7(100), 588.7(66), 586.8(66), 636.7(62), 354.9(55), 602.6(42), 638.7(40), 387.0(38), 475.7(34), 558.9(32), 403.0(30), 516.7(28), 650.6(26), 490.1(23), 672.6(19), 551.7(18), 312.6(16), 706.5(14), 296.6(14), 441.9(13), 339.0(09), 193.1(09), 710.3(08).
Compound D-3 [N-(3-(4-chlorophenyl)-5-mercapto-4H-1, 2, 4-triazol-4-yl)-4-methylbenzenesulfonamide]
2.33 (s, 2H, J=2.329), 7.34 (d, 1H, J=7.369), 7.54 (t, 2H, J=7.596), 7.67 (d, 1H, J=7.689), 7.77 (s, 1H, J=7.799), 7.87 (t, 2H, J=7.869), 7.94 (t, 4H, J=8.002), 8.49 (t, 2H, J=8.532), 8.71 (d, 5H, J=8.757). MASS m/z (%): 349.1(100), 381.0(46), 383.0(22), 334.1(20), 720.6(14), 412.9(14), 524.9(13), 638.8(12), 616.6(10), 600.6(09), 427.9(08).
Compound D-4 [4-(3-(4-nitrophenyl)-5-mercapto-4H-1, 2, 4-triazol-4-yl) benzenesulfonamide]
1HNMR (D2O, δ, ppm): 6.86 (d, 3H, J=6.916), 7.65 (m, 4H, J=7.714), 8.12 (d, 2H, J=8.141), 8.37 (d, 2H, J=8.401). MASS m/z (%): 391.1(100), 584.9(67), 413.2(32), 585.9(25), 194.1(24), 605.6(21), 366.4(18), 414.2(15), 519.0(14), 690.9(12), 633.8(10), 436.1(08), 728.0(07), 472.7(06).
Compound D-5 [1-(3-phenyl-5-mercapto-4H-1, 2, 4 triazol-4-yl) ethanone]
1HNMR (D2O, δ, ppm ): 2.31 (s, 1H, J=2.196), 3.25 (t, 1H, J=3.468), 3.57 (m, 5H, J=3.557), 4.10 (s, 2H, J=3.840), 4.64 (d, 2H, J=4.754), 4.79 (m, 5H, J= 4.764), 5.25 (s, 1H, J=4.819), 7.70 (s, 4H, J=7.598), 7.99 (d, 2H, J=7.951), 8.25 (d, 2H, J=8.201), 8.38 (d, 1H, J=8.328). MASS m/z (%):312.6(100), 442.6(46), 354.7(44), 296.7(42), 457.6(38), 327.7(31), 408.8(26), 428.8(20), 179.1(20), 291.2(19), 338.7(18), 376.9(17), 178.2(14), 458.6(14), 478.6(13), 255.0(07).
Compound D-6 [1-(3-(4-chlorophenyl)-5-mercapto-4H-1, 2, 4-triazol-4-yl) ethanone]
1HNMR (D2O, δ, ppm ): 3.59 (m, 1H, J=3.671), 3.68 (d, 1H, J=3.729), 3.76 (d, 1H, J=3.767), 3.83 (s, 2H, J=3.801), 3.92 (s, 1H, J=3.855), 3.96 (d, 1H, J=3.959), 4.24 (d, 1H, J=4.001), 5.42 (s, 1H, J=5.392), 7.53 (d, 2H, J=7.491), 7.63 (d, 1H, J=7.583), 7.85 (d, 2H, J=7.894). MASS m/z (%): 365.2(100), 194.1(91), 290.8(48), 494.9(44), 274.7(30), 456.9(26), 414.6(25), 470.4(23), 413.2(18), 346.7(17), 332.7(14), 227.1(11), 416.8(11), 316.2(07).
Compound D-7 [4-(3-(4-chlorophenyl)-5-mercapto-4H-1, 2, 4-triazol-4-yl) benzenesulfonamide]
1HNMR (D2O, δ, ppm): 1.51 (s, 1H, J= 1.530), 2.20 (s, 1H, J=2.195), 7.55 (s, 1H, J=7.502), 7.62 (d, 2H, J=7.579), 7.93 (s, 1H, J=7.941), 7.99(s, 1H, J=7.990), 8.70(d, 1H, J=8.024). MASS m/z (%):413.2(100), 391.1(54), 414.2(29), 429.1(21), 237.2(21), 366.9(15), 290.8(14), 436.0(11), 335.1(09), 251.3(09), 195.0(08), 472.9(08), 490.9(07), 293.0(07), 285.0(06), 226.8(06).
Table 1: Physical data of synthesized compounds (D-1-D-8)
| Compounds | Ar- | R- | Yield % | M.P (oC) | Rf value | Molecular formula | Molecular weight |
| D-1 | 4-Cl-C6H4- | - | 72 | 190-195 | 0.62 | C8H7N4ClS | 226.5 |
| D-2 | C6H5- | - | 70 | 180-185 | 0.70 | C8H8N4S | 192 |
| D-3 | 4-Cl-C6H4- | - | 65 | 115-120 | 0.65 | C15H13N4O2ClS2 | 380.5 |
| D-4 | 4-NO2-C6H4- | 4-SO2NH2-C6H4- | 74 | 120-125 | 0.52 | C14H11N5O4S2 | 377 |
| D-5 | C6H5- | CH3CO- | 72 | 220-225 | 0.82 | C10H9N3OS | 219.0 |
| D-6 | 4-Cl-C6H4- | CH3CO- | 86 | 230-235 | 0.60 | C10H8N3OClS | 253.5 |
| D-7 | 4-Cl-C6H4- | 4-SO2NH2-C6H4- | 77 | 200-205 | 0.80 | C14H11N4O2ClS2 | 366.5 |
| D-8 | 4-NO2-C6H4- | CH3CO- | 67 | 230-235 | 0.48 | C10H8N4O3S | 264.0 |
Table 2: Antibacterial activity of synthesized compounds (D-1-D-4)
| Zone of Inhibition in mm (millimetre) | |||||
| Compounds | D-1(OOA) | D-2(O1A) | D-3(00B) | D-4(01B) | Ofloxacin |
| Salmonella sp. | 17.4 1.000 |
17.5 1.000 |
23.0 1.000 |
22.5 1.000 |
28.6±1.892 |
| % inhibition | 60.83 | 61.18 | 80.41 | 78.67 | 100 |
| Pseudomonas sp. | 17.5±0.866 | 17.6±0.866 | 19.5±0.866 | 20.0±0.866 | 28.5±1.802 |
| % inhibition | 61.40 | 61.75 | 68.42 | 70.17 | 100 |
| S. aureus | 17.2±0.866 | 17.1±0.866 | 19.5±0.866 | 19.2±0.866 | 28.5±1.500 |
| % inhibition | 60.35 | 60.00 | 68.42 | 67.36 | 100 |
| B. subtilis | 18.6±2.081 | 17.6±2.081 | 19.3±2.081 | 19.4±2.081 | 31.1±1.527 |
| % inhibition | 59.80 | 56.59 | 62.05 | 62.37 | 100 |
Data presented in Mean ± SD (N=3), Concentration of derivatives = 25µg/dish, Concentration of Ofloxacin = 25µg/ml
Compound D-8 - [1-(5-mercapto-3-(4-nitrophenyl)-4H-1, 2, 4-triazol-4-yl) ethanone]
1HNMR (D2O, δ, ppm): 7.60 (d, 2H, J=7.53), 8.06 (d, 1H, J=8.011), 8.15 (s, 1H, J=8.082), 8.38 (s, 1H, J= 8.345). MASS m/z (%):413.2(100), 391.1(54), 414.2(30), 429.1(20), 237.2(20), 366.9(16), 290.8(14), 195.0(11), 436.0(10), 472.8(08), 349(08), 251.2(07), 285(06), 335.1(06), 484.8(5), 226.9(05).
Evaluation of antibacterial and antifungal Activity
The compounds were evaluated for antibacterial and antifungal activity using disc diffusion method. A few of the compounds showed good activity comparing to standard drug. The data is given in the Table-2 and Table-3.
The results revealed that compounds D-3 and D-4 exhibited good antibacterial activity and D-1 and D-2 showed moderate antibacterial activity as compared with standard drug Ofloxacin. Compounds (D-5-D-8) showed moderate activity against Candida albicans as compared to standard drug Clotrimazole.
Table 3: Antifungal activity of synthesized compounds (D-5-D-8)
| Zone of inhibition in mm | ||
| Compounds | Candida. albicans | % of Inhibiton |
| D-5 | 11.8±2.100 | 29.35 |
| D-6 | 12.3±2.100 | 30.60 |
| D-7 | 13.7±2.100 | 34.08 |
| D-8 | 12.1±2.100 | 30.09 |
| Clotrimazole | 40.2±2.101 | 100 |
Data presented in Mean ± SD (N=3), Concentration of derivatives = 50µg/dish, Concentration of Clotrimazole = 30µg/ml
CONCLUSION
A novel series of 1, 2, 4-Triazole derivatives were synthesized and were obtained in good yields. Newly synthesized compounds were isolated and purified by thin layer chromatography and column chromatography respectively. The prepared compounds were identified on the basis of melting point range, Rf values, 1H-NMR and Mass spectral data. The structures of synthesized compounds were established on the basis of 1H NMR and Mass spectral data. The newly synthesized compounds were screened for their in vitro antibacterial and antifungal activity. In vitro antibacterial activity was evaluated by Disc Diffusion technique (Kirby Bauer Method) against gram positive strains such as Staphylococcus aureus and Bacillus subtilis and gram negative strains such as Salmonella species and Pseudomonas species. The results revealed that compounds D-3 and D-4 exhibited good antibacterial activity and D-1 and D-2 showed moderate antibacterial activity as compared with standard drug Ofloxacin. The compounds D-3 and D-4 which contains Sulfonamide group at 4th position showed good antibacterial activity, especially against Salmonella species. Whereas compounds D-1 and D-2 showed moderate activity as compared to standard drug Ofloxacin. In case of antifungal activity compounds (D-5-D-8) showed moderate activity against Candida albicans as compared to standard drug Clotrimazole.
CONFLICT OF INTERESTS
Declared None
ACKNOWLEDGEMENTS
The authors would like to express gratitude and thanks to Faculty of Pharmacy, KNIMT, Sultanpur for providing help. We also acknowledge our regard to SAIF laboratory of Central Drug Research Institute (CDRI), Lucknow for providing spectra of compounds prepared.
REFERENCES