
aBiological Materials Laboratory, CSIR-Central Leather Research Institute, Adayar, Chennai 600020, India
Email: suma67@gmail.com
Received: 20 Dec 2016 Revised and Accepted: 09 Mar 2017
ABSTRACT
Objective: The present study was designed to identify the bioactive phytochemicals and its antibacterial and in vitro anti-inflammatory potential of aqueous and methanolic seed extract of Citrullus lanatus.
Methods: The phytochemical screening of both the aqueous and methanolic seed extract was carried out qualitatively to identify the major Phyto-constituents present in the extracts. The antimicrobial activity of the extracts was evaluated against six pathogenic bacterial strains by agar well diffusion method and the Minimum inhibitory concentration (MIC) was determined by broth dilution method. In vitro anti-inflammatory activity of C. lanatus seed extracts was evaluated by using human red blood cell (HRBC) membrane stabilization and inhibition of albumin denaturation method.
Results: The results of the study indicated that both the extracts of the seed having antimicrobial activity, while the methanolic extract showed more significant activity against the tested organism than aqueous extract. Methanol extract had the lowest MIC of 1.562 mg/ml against Escherichia coli, Staphylococcus aureus, Klebsiella pneumonia, Pseudomonas aeruginosa and Bacillus subtilis, whereas in aqueous extract was highly sensitive to Bacillus subtilis, E. coli and Klebsiella pneumonia with MIC of 3.125 and 6.25 mg/ml, respectively. Methanolic extracts exerted comparative higher anti-inflammatory activity than aqueous extract.
Conclusion: Present study provides a firm evidence to support that the synergistic effect of C. lanatus seed extracts having potent anti-inflammatory and antimicrobial property, which might serve as an effective drug for various microbial infections and inflammatory disorders.
Keywords: Phytochemicals, Anti-inflammatory, Antimicrobial activity, Agar well diffusion, MIC, Citrullus lanatus
© 2017 The Authors. Published by Innovare Academic Sciences Pvt Ltd. This is an open access article under the CC BY license (http://creativecommons.org/licenses/by/4.0/)
DOI: http://dx.doi.org/10.22159/ijpps.2017v9i5.16708
INTRODUCTION
Plants and their extracts have immense potential for the management and treatment of various diseases from ancient times. The use of herbal products is of global importance because of their low side effects, accessibility and affordability when compared with conventional medicine [1, 2]. Hence, exploring drugs from natural products like plants and animal origin is of greater interest and continuous process for research always. Plant-based therapy not only accelerate the healing process, it also maintains the aesthetics, promotes blood clotting and fight infection with fewer or no side effects [3, 4]. Drugs derived from natural sources play a significant role in the prevention and treatment of various diseases. In recent years, the treatment for infections caused by multiple drug resistance bacteria is an immediate and serious concern among the researchers worldwide. Inflammation is the reactions of living tissues caused by infection, injury or irritation [5].
Inflammation can be classified as either acute or chronic, acute inflammation is the initial response of the body to harmful stimuli with the release of neutrophils, granulocytes etc., from the blood into the injured tissues. Such a cascade of biochemical events induces the prolonged inflammatory response in tissues is known as chronic inflammation [6, 7]. During inflammation, the release of lysosomal enzymes will increase the tissue damage or injury. Hence the stabilisation of lysosomal membrane is important in limiting the inflammatory response by inhibiting the release of activated neutrophil, proteases and other bactericidal enzymes, which may prevent the further tissue damage or inflammation [8–10]. Medicinal plants are always considered as a treasure for producing newer products that lead to the discovery of new antiinfective agents. Plants are rich in a wide variety of secondary metabolites such as tannins, terpenoids, alkaloids, flavonoids, glycosides, etc., and these important bioactive compounds are having a high potential for treating various diseases [11–14].
Citrullus lanatus commonly known as watermelon is used for treating various ailments in the Ayurvedic system of Indian medicine. It belongs to the family of Cucurbitaceae and the most commonly consumed fruit worldwide, also known as an energy booster, due to its rich content of nutrients, vitamins and minerals [15, 16]. The pink fruit is a rich source of lycopene, pectin and the amino acid citrulline, which plays an important role in the treatment and prevention cardiovascular diseases and cancer. Pectin is said to be protecting the body against radiation. Seeds of watermelon are often discarded as waste, as it contains about 30% protein and 20-40% oil and it is a significant source of minerals like magnesium, potassium, phosphorous, sodium, iron, zinc and copper along with vitamin B and C [17, 18]. Recent studies reported that the C. lanatus seeds contain a high level of antioxidant compounds such as arginine and linoleic acids, as major fatty acids. These are acts as a potent antioxidant and antimicrobial agents which is essential for promoting angiogenesis in wounds [19]. Though fruits are edible and rich in nutrients, the biomedical importance of the seeds was not much explored. The present study evaluates the in vitro anti-inflammatory and antimicrobial potential of the aqueous and methanolic seed extract of C. lanatus
MATERIALS AND METHODS
Chemicals and reagents
All the chemicals and reagents (analytical grade) used for anti-inflammatory and antibacterial assay were purchased from Merck and Himedia, India. Deionized water was used throughout the studies.
Collection of plant material
C. lanatus fruits were collected in the month of May 2014, from the local market in Chennai, Tamil Nadu, India. Seeds were separated and washed with water. They were air dried at room temperature for 10 d and powdered well using a mixer. Then they were weighed and stored in an airtight container. The seeds were authenticated by Dr. K. Madhava Chetty, Asst. Prof., Department of Botany, Sri Venkateshwara University, Tirupati, India. (Voucher Specimen No. 20100901).
Preparation and extraction procedures of C. lanatus aqueous and methanolic seed extract
The aqueous and methanolic seed extract of C. lanatus was prepared by dissolving 100 g of coarse powder of the seed in 500 ml of solvents such as distilled water (DW) and methanol, respectively. The samples were subjected to hot water and solvent extraction in a Soxhlet extractor at a temperature range of 40-80 °C. The filtrate was evaporated to dryness at 40 °C under reduced pressure in a rotary vacuum evaporator. The extracts obtained were dried, packed and stored at 4 °C in the refrigerator. Aqueous seed extract (ASE) and methanol seed extract (MSE) were subjected to further evaluation [18].
Phytochemical screening of ASE and MSE
The extracts of ASE and MSE were subjected to preliminary phytochemical analysis using the standard procedure to identify the presence of various phytoconstituents present in the sample according to the method described by Harborne [20].
Antimicrobial screening
ASE and MSE of C. lanatus were screened against human pathogenic microbial strains such as Escherichia coli, Staphylococcus aureus, Proteus vulgaris, Klebsiella pneumonia, Bacillus subtilis and Pseudomonas aeruginosa. The cultures were obtained from MTCC, Pune.
Preparation of inoculums
Stock cultures were maintained at 4 °C on slopes of nutrient agar. Active cultures for the experiments were prepared by transferring loopful of cells from the stock cultures to test tubes of Mueller-Hinton broth (MHB) and incubated for 24h at 37 °C without agitation. The cultures were diluted with fresh MHB to achieve optical densities corresponding to 2x106 colony forming units (CFU/ml).
Antimicrobial susceptibility test
The disc diffusion method was used to screen the antimicrobial activity of the seed extracts by using Muller Hinton agar (MHA). A fresh microbial culture of 0.1 ml having 106 CFU was spread on MHA plate with glass spreader. A well of 6 mm diameter was made off into the agar medium with a sterile cork borer and filled with different concentrations of ASE and MSE by using micropipette in each well in aseptic condition. The Petri plates were then incubated at 37 °C for 24 h in an incubator. Antibiotic ciprofloxacin (5μg/ml) and dimethyl sulfoxide (DMSO) were used as a positive and negative control, respectively. The antimicrobial screening was evaluated by measuring the zone of inhibition.
The experiment was done in triplicate and the mean diameter of the zone of inhibition was recorded in millimetres (mm). The results were represented as mean±standard deviation [21].
Determination of minimum inhibitory concentration (MIC)
To assess the MIC of both the extracts, the broth dilution test was carried out with the concentration range of 0.7, 1.5, 3.125, 6.25, 12.5 and 25 mg/ml in DMSO respectively. Series of 5 ml of nutrient broth tubes were inoculated with 1 ml test organism. Different concentrations of ASE and MSE extracts (1 ml) were inoculated by the serial dilution method. Nutrient broth tubes with extracts and without extracts were used as controls. All the tubes were incubated at 37 °C for 24 h, after incubation the absorbance of each sample was measured spectrophotometrically at 600 nm. The lowest concentration with less absorbance was taken as MIC of that extract [22].
Evaluation of in vitro anti-inflammatory activity of ASE and MSE
HRBC Membrane stabilization method
The HRBC membrane stabilisation method has been used to study the in vitro anti-inflammatory activity because the erythrocyte membrane is analogous to the lysosomal membrane [23]. The lysosomal enzyme released during inflammation in the tissues leads to acute or chronic inflammation. Hence the Stabilization of lysosomal is important to prevent further tissue damage. In vitro anti-inflammatory activity of ASE and MSE was evaluated by this method. The blood collected from a healthy human volunteer who was not taken any NSAIDS for 2 w prior to the experiment and mixed with equal volume of Alsever solution (2% dextrose, 0.8 % sodium citrate, 0.5% citric acid and 0.4% NaCl) and centrifuged at 3,000 rpm for 20 min.
The pellet was collected and washed with phosphate buffer. Various concentrations of ASE and MSE were prepared (50, 100, and 250 µg/ml) using distilled water and to each concentration 1 ml of phosphate buffer, hypo saline and 0.5 ml of HRBC suspension were added. It is incubated at 37 °C for 30 min and centrifuged at 3,000 rpm for 20 min. The haemoglobin content of the supernatant solution was estimated spectrophotometrically at 560 nm. Aspirin (50, 100, 250 µg/ml) was used as the reference standard and a control was also prepared without the extracts. The percentage of HRBC membrane stabilisation can be calculated as follows:

Inhibition of albumin denaturation
The protein denaturation bioassay was selected for in vitro assessment of the anti-inflammatory property of ASE and MSE of C. lanatus, according to the method described by [21], with slight modifications. The reaction mixture was consisting of test extracts and 1% aqueous solution of bovine serum albumin (BSA) fraction. The reaction mixtures were incubated at 37 °C for 20 min and then heated at 55 °C for 20 min. Water was taken as blank and 1% BSA was taken as a standard drug. After cooling the samples, the turbidity was measured spectrophotometrically at 660 nm. Percentage inhibition of protein denaturation was calculated using the formula:

Statistical analysis
The experiments were done in triplicates. Results were expressed as graphs representing mean±SEM (Standard Error of Mean) using the software Graph Pad Prism 5.0.
RESULTS
Phytochemical screening
Qualitative phytochemical analysis of ASE and MSE of C. lanatus revealed the presence of phenolics and non-phenolics phyto-compounds present in the sample. MSE extracts showed the presence of alkaloids, flavonoids, sterol, tannins, terpenoids, quinones, saponins and glycosides while in ASE carbohydrates and glycosides were absent, and other compounds such as saponins and tannins were found in fairly detectable quantity. Steroids and carboxylic acids were absent in both types of extracts (table 1). The percentage yields of ASE and MSE were 15.6 % and 13.7 % (w/w), respectively.
Table 1: Phytochemical screening of aqueous and methanolic seed extracts of C. lanatus
| Phytoconstituents | ASE | MSE |
| Flavonoid’s | +ve | +ve |
| Alkaloids | -ve | +ve |
| Phenols | +ve | +ve |
| Tannins | -ve | +ve |
| Carbohydrates | -ve | +ve |
| Saponins | -ve | +ve |
| Terpenoids | +ve | +ve |
| Carboxylic acid | -ve | -ve |
| Steroids | -ve | -ve |
ASE: aqueous seed extract; MSE: methanolic seed extract.
Determination of antimicrobial activity C. lanatus seed extracts
Antibacterial activities of ASE and MSE by disc diffusion method
The antimicrobial activity of ASE and MSE showed antibacterial properties against the tested organism. The results in table 2 showed that the extracts exhibited broad spectrum antimicrobial activity. MSE showed significant antimicrobial activity against E. coli (24±0.89), Bacillus subtilis (23±0.66), Pseudomonas aeruginosa (20±0.57) and Klebsiella pneumonia (19±1.4), while the ASE showed more effective results only on E. coli (11±0.71), Bacillus subtilis (13±0.73) and Klebsiella pneumonia (10±1.2), respectively.
When the extracts were compared with that of standard antibiotic ciprofloxacin, the MSE showed more potent antibacterial activity than ASE, which may be due to the presence of the secondary metabolites such as flavones, tannins and phenols.
Table 2: Antibacterial activities of ASE and MSE by disc diffusion method
| Microorganism | Zone of inhibition (mm) | ||
| ASE (100µg/ml) | MSE (100µg/ml) | Ciprofloxacin (10µg/ml) | |
Proteus vulgarius E. coli Klebsiella pneumoniae Pseudomonas aeruginosa Bacillus subtilis Staphylococcus aureus |
7±0.41 11±0.71 10±1.2 9±0.45 13±0.73 08±1.2 |
18.±0.18 24+0.89 19+1.4 20±0.57 23±0.66 17±0.43 |
24±0.9 27±0.51 26±0.67 24±0.39 29±0.52 21±0.12 |
ASE: aqueous seed extract; MSE: Methanolic seed extract. Zone of inhibition (mm) are mean±standard deviation of triplicates. The diameter of agar well plates was 6 mm.
Minimum inhibitory concentration (MIC) of C. lanatus seed extract
The MIC of ASE and MSE were assessed by broth dilution test with various concentrations from 0.781 to 25 mg/ml. MIC of both the extracts on bacterial strains such as Proteus vulgarius, E. coli, Klebsiella pneumonia, Pseudomonas aeruginosa, Bacillus subtilis and Staphylococcus aureus were determined. The MIC values of both the extracts were given in table 3. The results of MSE showed that the B. subtilis, K. pneumonia and E. coli were the most sensitive organisms with the lowest MIC value of 1.5 mg/ml followed by P. aeruginosa and S. aureus, with MIC of 3.125 mg/ml, whereas Proteus vulgarius was moderately sensitive with MIC of 6.25 mg/ml.
The results of ASE showed that the B. subtilis was the only highly sensitive organism with lowest MIC value of 3.125 mg/ml. K. pneumonia and E. coli were moderately sensitive with MIC of 6.25 mg/ml, while the Proteus vulgarius, Pseudomonas aeruginosa and Staphylococcus aureus were less sensitive for ASE with MIC of12.5 mg/ml when compared to other organisms.
Table 3: Minimum inhibitory concentration (MIC) of C. lanatus seed extracts
| Microorganism | Seed extracts | MIC (mg/ml) |
| ASE | MSE | |
| Proteus vulgarius | 12.5 | 3.125 |
| E. coli | 6.25 | 1.5 |
| Klebsiella pneumoniae | 6.25 | 1.5 |
| Pseudomonas aeruginosa | 12.5 | 3.125 |
| Bacillus subtilis | 3.125 | 1.5 |
| Staphylococcus aureus | 12.5 | 3.125 |
ASE: aqueous seed extract; MSE: methanolic seed extract (mean±SD, n = 3)
Evaluation of anti-inflammatory activity of C. lanatus seed extracts
HRBC membrane stabilisation method
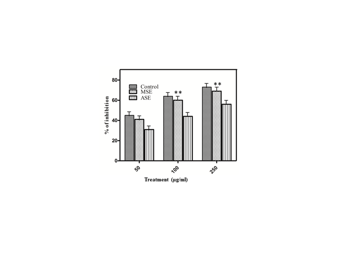
The in vitro anti-inflammatory activity ASE and MSE of C. lanatus was determined by using HRBC membrane stabilization and inhibition of albumin denaturation methods. The Membrane stabilization activity of MSE and ASE at a concentration of 250µg/ml showed 74.8% and 46.2% inhibition of denaturation in a hypotonic solution, while standard drug aspirin (100µg/ml) showed 79.2% inhibition of denaturation, respectively.
The results indicated that the MSE showed more significant anti-inflammatory activity in a concentration-dependent manner than aqueous extracts and its stabilization implies that the extract may well stabilize the lysosomal membrane, which improves the healing process and prevents the tissue damage during inflammation. All the results were compared with standard aspirin at various concentrations and the results of both the extracts were shown in fig. 1.
Inhibition of albumin denaturation
Inflammation is a normal protective response of the body to tissue injury caused by physical trauma, heat, pain or microbial agents. During inflammation or infection, protein denaturation was occurred in the damaged tissues. When protein denatured, it lost its biological functions and increase the inflammation. In this study, C. lanatus seed extract's ability to inhibit the protein denaturation was assessed and tabulated in fig 2.

Fig. 1: Percentage inhibition of C. lanatus seed extracts was determined on HRBC membrane stabilization method. Results were compared with the control drug aspirin (100μg/ml). Values are expressed as mean±SEM and the experiments were done in triplicates, **P<0.01, considered as significant. (ASE: aqueous seed extract; MSE: Methanolic seed extract)
The results showed that ASE and MSE were effective in inhibiting thermally induced albumin denaturation at different concentrations. MSE showed the highest percentage inhibition of albumin denaturation of 63.24 % and ASE showed 31.71%, while the standard drug aspirin showed the maximum inhibition of 90.23 % at the concentration of 100μg/ml, respectively.

Fig. 2: Percentage inhibition of albumin denaturation activity of C. lanatus seed extracts was determined at various concentrations and compared with the control drug aspirin, (100μg/ml). Values are expressed as mean±SEM and the experiments were done in triplicates, *P<0.05, considered as significant; Ns: not significant versus the control. (ASE: aqueous seed extract; MSE: Methanolic seed extract)
DISCUSSION
The phytochemical screening of the extract revealed the presence of saponins, alkaloids, flavonoids, phenols, steroids and triterpenes, which are responsible for the antimicrobial and anti-inflammatory activity of the seed extract [24]. Recent studies on plants based phyto-constituents suggested that the phenols and flavonoids are widely distributed secondary metabolites in plants having antioxidant, antimicrobial activity and having a wide range of biological activities such as anti-aging, anti-carcinogen, anti-inflammation and cardiovascular protection. The isolation and characterization of purified bioactive fractions from these phytoconstituents is in progress. Many researchers have reported the antimicrobial and anti-inflammatory activity of various plants and their phytoconstituents, namely alkaloids, flavonoids, tannins and triterpenoids are producing an exciting opportunity for expansion of modern therapies against a wide range of microorganisms [25]. Many plant-based antimicrobial research papers suggested that the presence of alkaloids and tannins substances has noticeable antimicrobial properties, which was effective against various microbial diseases [19, 26, 27]. In the present study, pathogenic microorganisms were selected for screening antimicrobial effect of C. lanatus seed extracts to perceive antimicrobial spectrum. Both the seed extracts showed antimicrobial properties against the tested microorganism, MSE showed more significant results than ASE in a concentration-dependent manner when compared with the standard drug. MSE exhibiting the effective defence mechanism against the pathogenic strains suggesting that it may contain the broad-spectrum antibiotic compound in the seed extracts. These findings were similar with that of previously reported antimicrobial activity of some traditional plants [27–29].
The C. lanatus seed extracts exhibited membrane stabilization effect by inhibiting induced lyses of erythrocyte membrane. The erythrocyte membrane is analogous to the lysosomal membrane and its stabilization implies that the seed extracts had significantly stabilized the lysosomal membranes. This process limited the inflammatory response by preventing the release of active neutrophils such as bactericidal enzymes and proteases, which is the major cause for tissue inflammation or damage [30]. Thus it is evident that the phyto-constituents, especially tannins are responsible for the anti-inflammatory property of the seed extracts to cure the inflammation [31]. The result of this research suggested that the seeds extract of C. lanatus have a remarkable antimicrobial and anti-inflammatory activity which validates the ethnomedicinal claim of the use of the seeds in the management of microbial infections and various disorders like diabetic, chronic wounds and ulcer treatments.
CONCLUSION
Aqueous and methanolic extracts from C. lanatus seed was quantified for the main phytochemicals present in extracts. The presence of various phenolics and non-phenolics phyto-compounds indicates the medicinal importance of the seed extract. The in vitro antimicrobial and anti-inflammatory property of the seed extracts establishing the therapeutic applications of C. lanatus seed and its use as an herbal medicine for the prevention of inflammation and bacterial diseases. Finally, considering the results obtained, as future perspectives, we intend to evaluate some other biological activities, such as wound-healing, anti-diabetic, antiviral and anti-cancer activity. Drugs from the natural sources should be more reliable and safe in use for human consumption. Our challenge in drug companies will be how to formulate the seed in a suitable, easily administered dosage forms.
ACKNOWLEDGEMENT
The first author, Iswariya. S acknowledges Government of India, Department of Science and Technology (DST), New Delhi for providing financial assistance in the form of Women Scientist Fellowship (Grant No. SR/WOS-A/lS-86/2013).
CONFLICT OF INTERESTS
We declare that there is no conflict of interest
REFERENCES
Erhirhie EO, Ekene NE. Medicinal values on Citrullus lanatus (Watermelon). Int J Res Pharm Biomed Sci 2013;4:1305–12.
Kumarasamyraja D, Jeganathan NS, Manavalan R. A review on medicinal plants with potential wound healing activity. Int J Pharma Sci 2012;2:105–11.
Savithramma N, Rao ML, Ankanna S. Screening of traditional medicinal plants for secondary metabolites. Middle-East J Sci Res 2011;2:643–7.
Etim OE, Ekanem SE, Sam S. In vitro antioxidant activity and nitric oxide scavenging activity of Citrullus lanatus seeds. J Nat Sci Res 2013;3:126–33.
Yusuf AJ, Alebiosu CO, Odumosu BT, Mailafiya MM, Yahaya M, Ibrahim ZY. Efficacy of crude extract and fractions of Citrullus lanatus against some selected micro-organisms. Sky J Microbiol Res 2015;3:67–72.
Garrido G, González D, Lemus Y, Garc D. In vivo and in vitro anti-inflammatory activity ofMangifera indica L extract. Pharmacol Res 2004;50:143–9.
Cos P, Vlietinck AJ, Berghe D Vanden, Maes L. Anti-infective potential of natural products: How to develop a stronger in vitro “proof-of-concept”. J Ethnopharmacol 2006;6:290–302.
Gulnaz AR, Kapfo W, Chauhan JB. An original research article in vitro anthelmintic and anti-inflammatory activity of ethanolic extract of Randia uliginosa DC Leaf. Int J Curr Microbiol Appl Sci 2014;3:793–9.
Ja H, Hyun E, Jong W, Hun B, Hee M. In vitro anti-inflammatory and anti-oxidative effects of Cinnamomum camphora extracts. J Ethnopharmacol 2006;103:208–16.
Fronza M, Heinzmann B, Hamburger M, Laufer S, Merfort I. Determination of the wound healing effect of Calendula extracts using the scratch assay with 3T3 fibroblasts. J Ethnopharmacol 2009;126:463–7.
Selvamohan T, Shibila VRS, Kishore S. Antimicrobial activity of selected medicinal plants against some selected human pathogenic bacteria. Adv Appl Sci Res 2012;3:374–81.
Gulluce MO, Sahin F. Antimicrobial activity of aqueous and methanol extracts of Juniperus oxycedrus L. J Ethnopharmacol 2003;85:231–5.
Hammer KA, Carson CF, Riley TV. Antimicrobial activity of essential oils and other plant extracts. J Appl Microbiol 1999;9071:985–90.
Sharma Y, Jeyabalan G, Singh R, Semwal A. Current aspects of wound healing agents from medicinal plants : a review. J Med Plants Stud 2013;1:1–11.
Io O, Fo A. Effects of watermelon (Citrullus lanatus) seed on blood glucose and electrolyte parameters in diabetic wistar rats. J Appl Sci Env Manag 2014;18:231–3.
Collins JK, Wu G, Perkins-Veazie P, Spears K, Claypool PL, Baker Ra, et al. Watermelon consumption increases plasma arginine concentrations in adults. Nutrition 2007;23:261–6.
Rahman H, Manjula K, Anoosha T, Nagaveni K, Eswaraiah MC, Bardalai D. In vitro antioxidant activity of Citrulus lanatus seed extracts. Asian J Pharm Clin Res 2013;6:152–7.
Madhavi P, Rao M, Vakati K, Rahman H, Eswaraiah MC. Evaluation of anti-inflammatory activity of Citrullus lanatus seed oil by in vivo and in-vitro models. Int Res J Pharm Appl Sci 2012;2:104–8.
Khanna S, Venojarvi M, Roy S, Sharma N, Trikha P, Bagchi D, et al. Dermal wound healing properties of redox-active grape seed proanthocyanidins. Free Radical Biol Med 2002;33:1089–96.
Harborne JB. Phytochemical methods: a guide to modern techniques of plant analysis. London: Chapman and Hall; 1998.
Singh G, Kumar P. Antibacterial potential of alkaloids of Withania somnifera L. and Euphorbia hirta L. Int J Pharm Pharm Sci 2012;4:78–81.
Tamiljothi E, Ravichandiran V, Chandrasekhar N, Suba V. Pharmacognostic and preliminary phytochemical screening of leaves of Tecomaria capensis. Asian J Plant Sci Res 2011;1:34–40.
Chippada S, Volluri S, Bammidi S, Vangalapati M. In vitro anti-inflammatory activity of methanolic extract of Centella asiatica by HRBC membrane stabilisation. Rasayan J Chem 2011;4:457–60.
Mahesh B, Satish S. Antimicrobial activity of some important medicinal plant against the plant and human pathogens. World J Agric Sci 2008;4:839–43.
Alagesaboopathi C. Phytochemical analysis and antimicrobial evaluation of Andrographis Macrobotrys nees-an endangered medicinal plant of India. Int J Sci Res 2014;3:2319-7064.
Yusof M, Akram HB, Bero DN. Tamarind seed extract enhances epidermal wound healing. Int J Biol 2012;4:81–8.
Gowrish A, Vagdevi M, Rajashekar H. Phytochemical screening and antimicrobial activity of Leucas marrubioides Desf. root extracts. Int J Pharm Pharm Sci 2016;8:8–11.
Correa GM, Gomes V, Costa DA, Alois D, Martins DEA, Takahashi JA, et al. Anti-inflammatory and antimicrobial activities of steroids and triterpenes isolated from aerial parts of Justicia acuminatissima (Acanthaceae). Int J Pharm Pharm Sci 2014;6:75-81.
Pavithra GM, Siddiqua S, Naik AS, R PKT, Vinayaka KS. The antioxidant and antimicrobial activity of flowers of Wendlandia thyrsoidea, Olea dioica, Lagerstroemia speciosa and Bombax malabaricum. J Appl Pharm Sci 2013;3:114–20.
Kp A, Brindha P. In vitro anti-inflammatory, antioxidant and nephroprotective studies on leaves of aegle marmelos and ocimum sanctum. Asian J Pharm Clin Res 2014;7:0974-2441.
Parveen R, Shamsi T, Kumar H, Fatima S. Phytochemical analysis and in vitro biological characterization of an aqueous and methanolic extract of Bacopa monnieri. Int J Pharm Pharm Sci 2016;8:975-1491.
How to cite this article
Iswariya S, Uma TS. Evaluation of in vitro anti-inflammatory and antimicrobial activity of aqueous and methanolic seed extracts of Citrullus lanatus. Int J Pharm Pharm Sci 2017;9(5):29-33.