Int J Pharm Pharm Sci, Vol 6, Issue 7, 195-199Original Article

COMPARATIVE STUDIES OF NOVEL OXADIAZOLE DERIVATIVE HAVING CHIRAL CENTER AND THEIR ANTI-MICROBIAL ACTIVITIES

BHAVNABEN D MISTRY*, KISHOR R. DESAI, SANKET M. INTWALA

Department of Chemistry, B.K. M. Science College, Valsad 396001, India
Email: bhavana_mistry11@yahoo.co.in

Received: 08 Mar 2014 Revised and Accepted: 09 Apr 2014


ABSTRACT

Objective: To synthesize a series of (-) S & (+) S oxadiazole derivatives by the reaction of (-) (2S)-2-amino-2-(2-chlorophenyl) acetohydrazide & (+) (2S)-2-amino-2-(2-chloro phenyl) acetohydrazide with con. H2SO4, L(+) Tartaric acid, L(-) Tartaric acid, Hydrazine Hydrate, POCl3 and Various aromatic acid respectively.

Methods: The structures of novel synthesized compounds have been established on the basis of elemental analysis, IR, 1H NMR, 13C NMR and mass spectral data and screened for their antibacterial and antifungal activities against different microorganisms by micro dilution method. Gentamycin, Ampicillin, Chloramphenicol, Ciprofloxacin, Norfloxacin, Nystatin, Greseofulvin were used as standard drugs for bacterial and fungus.

Results: The newly synthesized compounds indicate that some of them show better antibacterial and antifungal activity than compared to their reference drug.

Conclusion: Comparison of 1, 3, 4 oxadiazole having chiral center, characterized and exhibited promising antibacterial and antifungal activity.

Keywords: 1, 3, 4-Oxadiazol, Spectroscopic study, Antibacterial activity, Antifungal activity.


INTRODUCTION

Chirality of drugs, particularly the comparison of efficacy of enantiomers and their racemic mixtures, has become an objective of serious interest of pharmaceutical researchers. Advances in chemical technologies connected with the synthesis, separation, and analysis of pure enantiomers from racemates, together with administrative regulatory measures, have resulted in an increase in the number of newly registered chiral drugs containing only one of the enantiomers.

Polyheterocyclic compounds having an oxadiazole fragment are potential biologically active compounds. Among isomeric oxadiazoles, 1, 2, 3- and 1, 2, 4-oxadiazoles were studied in sufficient detail. Interest in 1,2,5-oxadiazole derivatives as biologically active substances has arisen relatively recently, and some representatives of this series have been found, which exhibit a wide spectrum of biological properties: antimicrobial [1], antitubercular [2-3], spasmolytic, and muscle relaxant activity etc.

1, 3, 4-Oxadiazoles [4-5] have attracted interest in medicinal chemistry as surrogates of carboxylic acids, esters and carboxamides. They are an important class of heterocyclic compounds that have a wide range of pharmaceutical and biological activities including antimicrobial [6-7], antifungal [8-9], anti-inflammatory [10], and antihypertensive. Several methods have been reported in the literature for the synthesis of 1, 3, 4-oxadiazoles.

These protocols are multi-step in nature. The most general method involves the cyclization of diacylhydrazides with a variety of reagents, such as thionyl chloride, phosphorus oxychloride or sulfuric acid usually under harsh reaction conditions. Few reliable and operationally simple examples have been reported for the one-step synthesis of 1, 3, 4-oxadiazoles, especially from readily available carboxylic acids and acid hydrazides [11].

MATERIALS AND METHODS

Melting points were determined by open capillaries and are uncorrected. The homogeneity of the compounds was checked by TLC (silica gel H, BDH, Toluene: Methanol 8:2). IR-spectra (cm-1) were recorded on a Shimandzu FT-IR spectrophotometer using KBr pellet method. 1H NMR and 13C NMR spectra were recorded on a Bruker Avance 300 MHz & 75 MHz NMR instrument, using DMSO-d6 as solvent and TMS as internal reference (chemical shifts in δ, ppm).

Mass spectra were obtained on a JMS-T100LC, Accu TOF Mass spectrometer (DART). The elemental analysis (C, H, N) of compounds was carried out on a Carlo Erba 1108 elemental analyzer. Their results were found to be in good agreement with the calculated values.

Experimental procedure

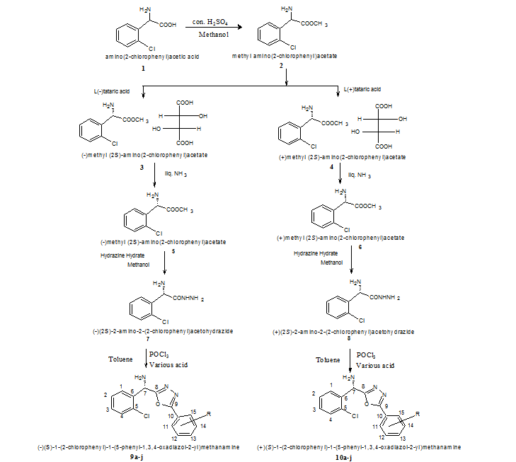
Synthesis of Methyl amino (2-chlorophenyl) acetate (2)

A mixture of amino (2-chlorophenyl) acetic acid (0.54 mol) and Methanol was taken in a round bottom flask. con. H2SO4 (1 mol) added slowly below 35°C. After complete addition the reaction mixture was refluxed for 16 hrs and the progress of the reaction was monitored by TLC (Mobile Phase Toluene: Methanol 8:2). Then methanol was distilled out completely & then toluene & water were added. After separation of two layers aq. Layer was taken & cooled to 10-15°C. Then dichloromethane was added and pH was adjusted at 7.0 to 7.5 with liq. NH3. From the layer separated, aq. layer was taken & washed with dichloromethane. Both organic layer were taken & washed with water. Organic layer dried with Na2SO4 and dichloromethane distilled out completely to obtained oily residue. This ester was directly used for the second stage without carrying for any further purification. The ester was in the form of light yellow color liquid, Yield 85 %.

Synthesis of Methyl (-) (2S)-amino (2-chlorophenyl) acetate (tartrate salt) (3)

A mixture of L (-) Tartaric acid (0.36 mol) and methanol was taken in a round bottom flask. Reaction mixture was cooled at 15-20°C and methyl amino (2-chlorophenyl) acetate (0.50 mol) and acetone were added into the reaction mass at 15-20°C for 2 hrs.

After addition temperature was raised to 30-35°C which was maintained for 18 hrs. The reaction mixture was cooled at 0-5°C and maintained for 2 hrs. The reaction mixture was filtered, washed with methanol to give a white colored solid.[α]D20 + 85° to + 95° (c=1 in methanol), Melting Range 164 °C to 168 °C.

Synthesis of Methyl (+) (2S)-amino (2-chlorophenyl) acetate (tartrate salt) (4)

A mixture of L (+) Tartaric acid (0.36 mol) and methanol was taken in a round bottom flask. Reaction mixture was cooled at 15-20°C then methyl amino (2-chlorophenyl) acetate (0.50 mol) and acetone were added into the reaction mass at 15-20°C for 2 hrs. After addition temperature was raised to 30-35°C which was maintained for 18 hrs.

The reaction mixture were cooled to 0-5°C and maintained for 2 hrs. It was then filtered & washed with methanol. White color product, Yield 130 %. [α]D20 - 85° to - 95° (c=1 in methanol), Melting Range 158 °C to 163 °C.

Free Base from tartrate salt (5)

A mixture of methyl (-) (2S)-amino (2-chlorophenyl) acetate tartrate salt, water and dichloromethane were taken into a round bottom flask pH was adjusted to 7.0 - 8.0 with liq. NH3. From the layer separated, aqueous layer was taken & washed with dichloromethane. Both Organic layers were taken and dry with Na2SO4 from which dichloromethane was distilled out completely to obtained oily residue. [α]D20 + 130° to + 135° (c = 1 in methanol), Yield 52%.

Free Base from tartrate salt (6)

A mixture of methyl (+) (2S)-amino (2-chlorophenyl) acetate tartrate salt, water and dichloromethane were taken into a round bottom flask pH was adjusted to 7.0 - 8.0 with liq. NH3. From the layer separated, aqueous layer was taken & washed with dichloromethane. Both Organic layers were taken and dry with Na2SO4 from which dichloromethane was distilled out completely to obtained oily residue. [α]D20 - 130° to - 135° (c = 1 in methanol), Yield 52%.

Synthesis of (-) (2S)-2-amino-2-(2-chlorophenyl) aceto hydrazide (7)

A mixture of (-) (2S)-amino (2-chlorophenyl) acetate (1 mol) and methanol were taken in a round bottom flask. The reaction mixture was heated up to 50°C to 55°C. Hydrazine Hydrate (1.7mol) was added slowly and methanol was used as a solvents. The reaction mixture was refluxed on water bath for 5-6 hrs.

The completion of the reaction was judged by TLC (Mobile Phase Toluene: Methanol 8:2). After completion of the reaction 80% of the solvent was distilled out and the reaction mixture was cooled at 5°C -10°C. The solid thus separated was collected by filtration & dried. Off white color product, [α]D20 + 84° to + 90° (c = 1 in methanol), Melting Range 90°C - 96°C, Yield 75 %.

Synthesis of (+) (2S)-2-amino-2-(2-chlorophenyl) acetohydrazide (8)

A mixture of (+) (2S)-amino (2-chlorophenyl) acetate (1 mol) and methanol were taken in a round bottom flask. The reaction mixture was heated up to 50°C to 55°C. Hydrazine Hydrate (1.7mol) was added slowly and methanol was used as a solvents. The reaction mixture was refluxed on water bath for 5-6 hrs. The completion of the reaction was judged by TLC (Mobile Phase Toluene: Methanol 8:2). After completion of the reaction 80% of the solvent was distilled out and the reaction mixture was cooled at 5°C -10°C. The solid thus separated was collected by filtration & dried. Off white color product, [α]D20 - 84° to - 90° (c = 1 in methanol), Melting Range 94°C - 98°C, Yield 75 %.

Synthesis of (-)(S)-1-(2-chlorophenyl)-1-(5-phenyl-1, 3, 4-oxadiazol-2-yl) methanamine (9a-j)

A mixture of (-) (S)-2-amino-2-(2-chlorophenyl) acetohydrazide (1 mol), various aromatic acid (1.2 mol), Phosphorus oxychloride (7 mol) and toluene was taken into a round bottom flask. The reaction mixture was heated up to 100°C and the temperature was maintained for 2-4 hrs till TLC OK (Mobile Phase Toluene: Methanol: Triethylamine 8:1.5:0.5). water insted of then water added at 0-5°C and the pH adjusted to 7.5 to 8.5 with liq. NH3 at 0-5°C. Then it was filtered, dried & recrystallized from Methanol. (9g) IR (cm-1) –Cl (717), -C-O-C (1157), -C=N (1523), -NO2 (1346), -NH2 (3107). (9e)1H NMR [300 MHz, δ] 1.25(d, 1H, -CH), 6.17 (d, 2H, -NH2), 7.26-8.29 (m, 7H, ArH). (9e) 13C NMR [75 MHz, δ ] 130.73 (C1),126.89 (C2), 127.39 (C3), 127.89 (C4), 132.11 (C5), 139.73 (C6), 46.83 (C7), 169.36 (C8), 169.36 (C9), 136.20 (C10), 130.89 (C11), 131.66 (C12), 136.20 (C13), 131.66 (C14), 133.71 (C15). (9e) M/S (m/z,relative intensity): 354.61(M+), 359(M+4).

Synthesis of (+) (S)-1-(2-chlorophenyl)-1-(5-phenyl-1, 3, 4-oxadiazol-2-yl) methanamine (10a-j)

A mixture of (+) (2S)-2-amino-2-(2-chlorophenyl) acetohydrazide (1 mol), various aromatic acid (1.2 mol), Phosphorus ox chloride (7 mol) and toluene was taken into a round bottom flask. The reaction mixture heat up to 100°C and maintain temperature 2-4 hrs till TLC OK (Mobile Phase Toluene: Methanol: Triethylamine 8:1.5:0.5). Added water at 0-5°C and then pH adjusted 7.5 to 8.5 with liq. NH3 at 0-5°C. Then it was filtered, dried & recrystallized from Methanol. (10) IR (cm-1) –Cl (759), -C-O-C (1207), -C=N (1583), -NH2 (3107). (10a) 1H NMR [300 MHz, δ] 1.23 (d, 1H, -CH), 6.37 (d, 2H, -NH2), 7.35-7.94 (m, 9H, ArH).(10a) 13C NMR [75 MHz, δ ] 131.41 (C1),128.54 (C2), 130.06 (C3), 134.11 (C4), 133.16 (C5), 132.47 (C6), 52.25 (C7), 168.41 (C8), 169.37 (C9), 137.05 (C10), 127.11 (C11), 126.44 (C12), 128.98 (C13), 126.44 (C14), 127.11 (C15). (10b) M/S (m/z,relative intensity): 299(M+), 301(M+2).

Table 1: Physical, characterization data of compound (9a-j) & (10a-j)

Comp. Functional Group Mol. Formula Mol. wt. Yield(Time/hrs) %C Required(Found) %H Required(Found) %N Required(Found)
9a & 10a -H C15H12N3OCl 285.72 62%(2-4) 63.05(63.00) & (63.02) 4.23(4.20) & (4.19) 14.71(14.70) & (14.68)
9b & 10b 3-CH3 C16H14N3OCl 299.75 83%(2-4) 64.11(64.08) & (64.10) 4.71(4.69) & (4.69) 14.02(14.00) & (14.02)
9c & 10c 2-OH C15H12N3O2Cl 301.72 78%(2-4) 59.71(59.70) & (59.69) 4.01(3.99) & (4.00) 13.93(13.90) & (13.91)
9d & 10d 4-OH C15H12N3O2Cl 301.72 70%(2-4) 59.71(59.69) & (59.68) 4.01(4.00) & (3.99) 13.93(13.91) & (13.92)
9e & 10e 2,4-di-Cl C15H10N3OCl3 354.61 88%(2-4) 50.80(50.80) & (50.79) 2.84(2.81) & (2.82) 11.85(11.82) & (11.84)
9f & 10f 2-NO2 C15H11N4O3Cl 330.72 80%(2-4) 54.47(54.45) & (54.46) 3.35(3.32) & (3.30) 16.94(16.91) & (16.93)
9g & 10g 4-NO2 C15H11N4O3Cl 330.72 75%(2-4) 54.47(54.45) & (54.45) 3.35(3.33) & (3.31) 16.94(16.91) & (16.92)
9h & 10h 4-NH2 C15H13N4OCl 300.74 58%(2-4) 59.91(59.89) & (59.90) 4.36(4.32) & (4.34) 18.63(18.60) & (18.61)
9i & 10i 3-NH2 2-OH C15H13N4O2Cl 316.74 67%(2-4) 56.88(56.85) & (56.87) 4.14(4.12) & (4.13) 17.69(17.66) & (17.67)
9j & 10j 3,5-di-NH2 C15H14N5OCl 315.75 62%(2-4) 57.06(57.03) & (56.06) 4.47(4.45) & (4.47) 22.18(22.15) & (22.17)

Scheme: R = -H, 3-CH3, 2-OH, 4-OH, 2,4-di-Cl, 2-NO2, 4-NO2, 4-NH2, 3-NH2 2-OH, 3,5 di-NH2


Table 2: Comparison of compound (9a-j) & (10a-j)

Comp. Specific OpticalRotation Melting Point Comp. Specific OpticalRotation Melting Point
9a -130 ˚ 120-126 ˚ C 10a 66 ˚ 227-232 ˚ C
9b -50 ˚ 85-95 ˚ C 10b 16 ˚ 194-199 ˚ C
9c - 115 ˚ C dec. 10c 20 ˚ 140-143 ˚ C
9d -70 ˚ 135-140 ˚ C 10d 30 ˚ 228 ˚ C dec.
9e -60 ˚ 138-144 ˚ C 10e 50 ˚ 173-180 ˚ C
9f -80 ˚ 175-185 ˚ C 10f 90 ˚ 144-149 ˚ C
9g -30 ˚ 118-122 ˚ C 10g 60 ˚ 167-178 ˚ C
9h - 242-248 ˚ C 10h - 188-197 ˚ C
9i - 265-275 ˚ C 10h - 182-186 ˚ C
9j - 218-225 ˚ C 10j - 80-90 ˚ C

Antimicrobial Activity

Following common standard strains were used for screening of antibacterial and antifungal activities: E.Coli, P.Aeruginosa, S.Aureus, S.Pyogenus, C.Albicans, A.Niger, A.Clavatus the strains were procured from Institute of Microbial Technology, Chandigarh. DMSO was used as diluents / vehicle to get desired concentration of drugs to test upon standard bacterial strains. Each synthesized drug was diluted for obtaining 2000 microgram /ml concentration, as a stock solution. In primary screening 1000 microgram/ml, 500 microgram /ml, and 250 microgram /ml concentrations of the synthesized drugs were taken. The active synthesized drugs found in this primary screening were further tested in a second set of dilution against all microorganisms. The drugs found active in primary screening were similarly diluted to obtain 200 microgram/ml, 100 microgram/ml, 50 microgram/ml, 25 microgram/ml, 12.5 microgram/ml and 6.250 microgram/ml concentrations. The highest dilution showing at least 99 % inhibition zone is taken as MIC. The result of this is much affected by the size of the inoculums. The test mixture should contain 108 microorganism/ml. Synthesized derivatives -1,3,4-Oxadiazoles; by incorporating 2-Chlorophenyl methyl and substituted phenyl systems, at two free positions in the oxadiazole ring system were evaluated for antimicrobial activity by micro dilution method against MTCC 443 (E.coli), MTCC 1688 (P. aeruginosa), MTCC 96 (S. aureus), MTCC 442 (S. pyogenus), MTCC 227 (C.albicans), MTCC 282 (A. niger) and MTCC 1323 (A. clavatus) respectively using the standard drugs Gentamycin, Ampicillin, Chloramphenicol, Ciprofloxacin, Norfloxacin, Nystatin and Greseofulvin. The Comparative activities of the newly synthesized compound (9a-j) and (10a-j) & the control antibiotics on bacterial & fungal strains respectively were summarized in Table 3.

Excellent to good activity was observed in compounds 9a, 9i, 10b, 10c & 10f (against E.coli), compounds 10a, 10e & 10g (against P.aeruginosa), compounds 9e, 9f, 9j, 10a, 10f, 10g, 10i & 10j (against S.aureus), compounds 9e, 9f, 10c, 10d & 10e (against S.pyogenus), compound 10d (against A. niger & A. clavatus) and compound 10f (against C.albicans & A. niger). The remaining compounds were found effective at a much higher concentration as compared to the standard drugs.

Table 3 Antimicrobial activity of compound (9a-j) & (10a-j)

Minimum Inhibition Concentration
comp. Antibacterial antifungal
E.coliMTCC443 P.aeruginosaMTCC1688 S.aureusMTCC96 S.pyogenusMTCC442 C.albicansMTCC227 A.nigerMTCC282 A.clavatusMTCC1323
9a 100 100 250 250 1000 500 500
9b 125 200 500 125 1000 >1000 >1000
9c 500 500 200 200 500 500 500
9d 250 250 200 200 500 500 1000
9e 250 250 100 100 1000 1000 1000
9f 200 200 50 100 1000 1000 1000
9g 200 200 200 200 1000 1000 >1000
9h 250 250 250 250 1000 500 1000
9i 100 100 250 250 >1000 >1000 >1000
9j 250 250 125 500 >1000 >1000 >1000
10a 250 100 100 250 500 >1000 >1000
10b 50 125 500 250 1000 1000 >1000
10c 62.5 100 500 100 500 1000 1000
10d 250 200 250 100 500 250 250
10e 200 100 200 100 500 1000 250
10f 100 62.5 100 500 250 250 1000
10g 250 100 125 500 250 500 >1000
10h 200 200 250 200 1000 >1000 >1000
10i 250 250 100 500 >1000 >1000 >1000
10j 125 200 125 250 >1000 1000 500
Gentamycin 0.05 1 0.25 0.5
Ampicillin 100 -- 250 100
Chloramphenicol 50 50 50 50
Ciprofloxacin 25 25 50 50
Norfloxacin 10 10 10 10
Nystatin 100 100 100
Greseofulvin 500 100 100

RESULTS AND DISCUSSION

The compounds were synthesized as per scheme I

Amino (2-chlorophenyl) acetic acid 1 was converted to amino (2-chlorophenyl) methyl ester 2 using con.H2SO4 in presence of methanol at a reflux temperature. The optical isomer, (+) amino(2-chlorophenyl)methyl ester was separated from its (-) isomer using L-(+)-tartaric acid and (-) amino(2-chlorophenyl)methyl ester was separated from its (+) isomer using L-(-)-tartaric acid and the (-) tartrate salt 3 & (+) tartrate salt 4 thus obtained were converted into their free base 5 & 6 using liquor ammonia. The (-) tartrate salt& (+) tartrate salt with high enatiomeric purity were achieved by repeatedly heating and cooling the reaction mass till the required enatiomeric purity obtained. (-) (2S)-2-amino-2-(2-chlorophenyl) acetohydrazide 5 & (+) (2S)-2-amino-2-(2-chlorophenyl) acetohydrazide 6 were synthesized by reacting (-) amino (2-chlorophenyl) methyl ester & (+) amino (2-chlorophenyl) methyl ester free base react with hydrazine hydrate. The targeted (-) (S)-1-(2-chlorophenyl)-1-(5-phenyl-1,3,4-oxadiazol-2-yl) methanamine 9a-j & (+) (S)-1-(2-chlorophenyl)-1-(5-phenyl-1,3,4-oxadiazol-2-yl) methanamine 10a-j were synthesize by refluxing (-) (2S)-2-amino-2-(2-chloro phenyl) acetohydrazide 7 & (+) (2S)-2-amino-2-(2-chlorophenyl) acetohydrazide 8 with various aromatic acid and POCl3 as a cyclization catalyst. Compounds 9a-j and 10a-j were prepared as a new product. The proposed structures of all the synthesized compounds are well supported by elemental analysis, IR, 1H NMR & 13C NMR data. Compounds 5 & 6 were insoluble in sodium bicarbonate solution indicating the involvement of acid. The 1H NMR spectrum displayed signals for the presence of amino proton around δ 6.17 & 6.37. Aromatic protons were observed in the usual region as multiplet at δ 7.26-8.29 & 7.35-8.98.

CONCLUSION

In conclusion, we have described the synthesis and biological activities of a new 1, 3, 4-Oxdiazole derivative. The compounds 9f, 10b, 10c and 10f showed good antibacterial activity than parent Chloramphenicol. The argument is strengthened herein that stereo-specificity is essential criteria towards receptor binding, particularly with respect to antibacterial activity of 1, 3, 4-Oxadiazoles. And we were successful in this first ever attempt to compare the antibacterial activity of chirally pure individual 1, 3, 4-Oxadiazole diastereomers. The structure of novel compounds was determined by IR, 1H NMR, 13C NMR and mass spectroscopic techniques and analytical methods.

ACKNOWLEDGEMENTS

The services of SAIF, CDRI, and Lucknow & Micro care Lab Surat is acknowledged for spectral analysis & antimicrobial testing respectively.

CONFLICT OF INTERESTS

Declared None

REFERENCES

  1. Harish KP, Mohana KN. Synthesis of new 2-(2,4-dimethoxyphenyl)-1,3,4-oxadiazoles and their antimicrobial activity, Int. J Bio Sci 2013;4(2):1046-55.
  2. Ahsan MJ, Samy JG, Khalilullah H, Nomani MS, Saraswat P, Gaur R, et al. Molecular properties prediction and synthesis of novel 1,3,4-oxadiazole analogues as potent antimicrobial and antitubercular agents. Bioorg Med Chem Lett 2011;21(24):7246-50.
  3. Pattan S, Musmade D, Muluk R, Pawar S, Daithankar A, Wabale N, et al. Synthesis, antimicrobial and antitubercular activity of some novel [3-isonicotinoyl 5-(4-substituted)-3-dihydro-1,3,4-oxadiazol-2-yl] and substituted 5-(pyridine-4-yl)-1,3,4-oxadiazole-2-thiol derivatives, Indian J Chem 2013; 52B:293-99.
  4. Anisworth C. 1,3,4-oxadiazole, J. Am. Chem Soc 1965;87(24):5800-1.
  5. Aitken KM, Aitken RA. Improved synthesis and characterization of 1,3,4-oxadiazole, Arkivoc 2012;(v):75-9.
  6. Intwala SM, Mistry BD, Desai KR. Conventional and Microwave induced synthesis of various 1,3,4-oxadiazole, 1,2,4-triazole and 1,2,4-triazine derivatives from N-amino-2-{2’-[(2”,6”-dichlorophenyl)amino]phenyl}acetamide and their antimicrobial screening, J Indian Council Chem 2010;27(1):89-95.
  7. Bhaskar VH, Francis P, Sangmeswaran B, Jayakar. Synthesis and antimicrobial activity of 3-(5-substituted phenyl-1,3,4-oxadiazol-2-yl)pyridines, Indian J Heter Chem 2006;(15):409-10.
  8. Maslat AO, Abussaud M, Tashtoush H, Al-Talib M. Synthesis, antibacterial, antifungal and genotoxic activity of bis-1,3,4-oxadiazole derivatives. Pol J Pharmacol 2002;54(1):55-9.
  9. Bakht MA, Islam M, Siddiqui AA. Synthesis and antifungal activity of some new 1,3,4-oxadiazoles. Indian J Heter Chem 2006;(15):297-98.
  10. Jakubkiene V, Burbuliene MM, Mekuskiene G, Udre naite E, Gaidelis P, Vainilavicius P. Synthesis and anti-inflammatory activity of 5-(6-methyl-2-substituted 4-pyrimidinyloxymethyl)-1,3,4-oxadiazole-2-thiones and their 3-morpholinomethyl derivatives, II Farmaco. 2003;58:323-28.
  11. Katritzky AR, Mohapatra PP, Huang L. 1,3,4-oxadiazoles from functionalized n-acylbenzotriazoles and acyl hydrazides, Arkivoc. 2008; (ix):62-68.