1Department of pharmaceutics, NDMVPS College of Pharmacy, Nashik, India, 2Department of QAT, NDMVPS College of Pharmacy, Nashik, India.
Email: sulbhaf@gmail.com
Received: 08Apr 2014 Revised and Accepted: 12 May 2014
ABSTRACT
Cocrystals are multicomponent system in which one component is Active Pharmaceutical Ingredient (API) and another is called coformer. So coformer selection is one of the main challenge in cocrystal development which is compatible with API. A general approach to coformer selection is by “tactless” cocrystal screening, whereby a predetermined library of pharmaceutically acceptable/approved compounds is used to attempt cocrystallization. In cocrystal development one of the approach of coformer selection is based on trial and error. Other approaches are supramolecular synthon approach which utilizes Cambridge Structural Database (CSD) to effectively prioritize coformers for crystal form screening, Hansen solubility parameter and knowledge of hydrogen bonding between coformer and API. In this review, all the parameters are explain and correlate with each other and with cocrystal formation
Keywords: Cocrystal, Coformer, Supramolecular synthon, Cambridge structural database, Hansen solubility parameter.
INTRODUCTION
Pharmaceutical cocrystals have attracted phenomenal interest in recent years for their potential for improving the physicochemical properties of drug substances[1,7]. Apart from offering potential improvements in solubility, dissolution rate, bioavailability and physical stability, pharmaceutical cocrystals can enhance other essential properties of the APIs such as flowability, chemical stability, compressability and hygroscopicity[2,7]. Cocrystals are homogeneous solid phases containing two or more neutral molecular components in a crystal lattice with defined stoichiometry, which are solids at room temperature and are held together by weak interactions, mainly hydrogen bonding[1,8]. In cocrystals at least one component is molecular and a solid at room temperature i.e. coformer and forms a supramolecular synthon with a molecular or ionic API. The first cocrystal synthesized was quinhydrone which is a 1:1 cocrystal between benzoquinone and hydroquinone.
Comparison Of Cocrystal And Other Solid Forms

Fig. 1: Comparison of different solid forms of API[33]
Cocrystal versus Salts, Solvates, Solid dispersions, Hydrates
Salt formation is generally directed at a single acidic and basic functional group and cocrystal can simultaneously address multiple functional groups in a single reaction, including acidic, basic and nonionizable molecules [34,35,36]. In the formation of salts transfer of hydrogen atom occurs and it does not occur in the formation of cocrystals.
If one component is liquid at room temperature then the crystals are designated as solvates and if both components are present in solid form then crystals are designated as cocrystals[3,37]. In solvates one component is present in a liquid form so they are less stable as compared to cocrystal.
When solvent present in solvates is water then it is termed as hydrates [3].
cocrystal synthesis
Cocrystals contain two or more components which are held together by supramolecular synthons. In order to obtain cocrystal, functional groups capable of forming supramolecular hetero or homosynthons should be present in the API and coformer. In supramolecular synthons approach, steps involved in developing cocrystals are as follows 1) Choosing the target molecule(API) 2) Finding the complementary functional groups which is capable of forming a hydrogen bond.(coformer selection) 3) Methods of Preparation.
One of the main challenges in pharmaceutical cocrystal development is the selection of coformers that are compatible with a particular API. A general approach to coformer selection is by “tactless” cocrystal screening, whereby a predetermined library of pharmaceutically acceptable/approved compounds is used to attempt cocrystallization. The lead cocrystal candidate with superior physicochemical and pharmacological properties can then be developed into a dosage form [4].
In another word we can say that typical crystal form selection process comprises two stages of development after a target API molecule has been selected: (1) discover as many pharmaceutical crystal forms as possible (2) then examine the physicochemical properties of the newly discovered crystal forms. At the stage of crystal form discovery, two primary approaches are used. The more straightforward approach is largely based on trial-and-error. The alternative approach for crystal form discovery is the supramolecular architecture which recognizes supramolecular synthons as a design tool and can be more selective, time-efficient, and cost effective. The supramolecular synthon approach uses crystal engineering to carefully analyze the relevant supramolecular arrangements that an API might exhibit by utilizing the Cambridge Structural Database (CSD) and effectively prioritizes all possible guest molecules for crystal form screening of drugs and another parameter is hydrogen bonding.
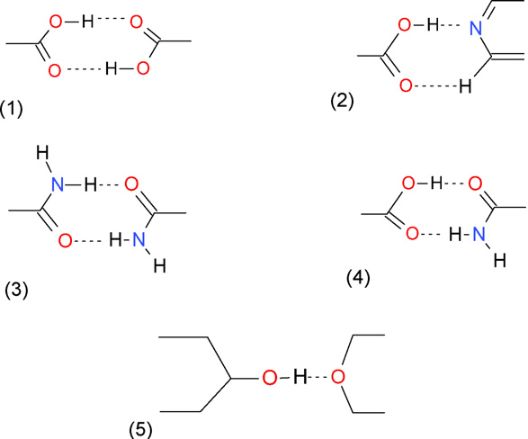
The supramolecular synthon approach is a statistical analysis that utilizes the Cambridge Structural Database (CSD) to effectively prioritize coformers for crystal form screening if an appropriate supramolecular heterosynthon can be identified. Supramolecular heterosynthons, typically involving hydrogen bonds between different but complementary groups, are exemplified by carboxylic acid/amide and carboxylic acid/aromatic nitrogen supramolecular heterosynthons.
(1)
(2) 
Fig. 2: Supramolecular Heterosynthons (1)carboxylic acid/amide (2)carboxylic acid/ aromatic nitrogen[2]
Another parameter is Hansen solubility parameters study which was used to investigate whether the miscibility of a drug and coformer is matching with the theoretical data.
So, supramolecular synthon approach, Cambridge Structural Database (CSD), hydrogen bonding and Hansen solubility parameters these are most important parameter for selection of coformer in the cocrystal formation. In this review, all the parameters are explain and correlate with each other and with cocrystal formation.
Supramolecular Synthon Approach
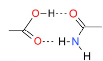
A pharmaceutical cocrystal can be designed by crystal engineering with the intention to improve the solid-state properties of an API without affecting its intrinsic structure. Crystal engineering affords a paradigm for rapid development of pharmaceutical cocrystals. It can be defined as an application of the concepts of supramolecular chemistry to the solid state with particular emphasis upon the idea that crystalline solids are actual manifestations of self-assembly [2,38,39,40]. Crystal engineering relies on the basic principles of supramolecular chemistry, chemistry beyond the molecule, in developing novel entities by manipulating the non-covalent intermolecular interactions. Hydrogen bonding, metal coordination, van der Waals forces, hydrophobic forces, electrostatic effects and pi-pi interactions are some of the interactions which are commonly encountered in this regard[2,41]. Crystal engineering is also based on understanding the basic behind formation of synthons using non covalent interaction. The term synthon was coined by Corey in the context of organic chemistry and defined as “structural units within supermolecules which can be formed and/or assembled by known or conceivable intermolecular interactions”. A supramolecular synthon is a pattern that is composed of molecular and supramolecular elements. When crystal patterns repeat regularly, the pattern of interactions can be called a supramolecular synthon.
Supramolecular synthons are further categorized into:
(a) supramolecular homosynthon: composed of identical self-complementary functionalities
(b)supramolecular heterosynthons: composed of different but complementary functionalities.
Single-component or compounds containing the functional groups can be sustained by supramolecular homosynthons whereas; supramolecular heterosynthons can dominate in the presence of other competing functional groups.
This concept may be better explained with the help of following figure.


(a) (b)
Fig. 3: Types of supramolecular synthons[14]
(a) Supramolecular homosynthon [In this case between two carboxylic acid groups]
(b) Supramolecular heterosynthon [In this case between carboxylic acid and amide group]
Example of the supramolecular synthon which is commonly used are given below includes
(1) Homosynthon formed between carboxylic acid dimer (2) Heterosynthon formed between carboxylic acid group and pyridine group (3) Homosynthon formed between amide dimer (4) Heterosynthon formed between carboxylic acid group and amide group (5) Heterosynthon formed between alcohol and ether group.
Generally heterosynthons are more robust than homosynthons. e.g. acid–amide heterosynthons favoured over both carboxylic acid and amide homodimer[2,42].

The most common supramolecular synthons in Crystal Engineering are:-
Fig. 4: Most common supramolecular synthons in Crystal Engineering [2]
HANSEN SOLUBILITY PARAMETER
Miscibility of a drug and coformer, as predicted by Hansen Solubility Parameters (HSPs), can indicate cocrystal formation and guide cocrystal screening. Predicting the miscibility of cocrystal components using solubility parameters can guide the selection of potential coformers prior to exhaustive cocrystal screening work. Cocrystals are homogeneous solid phases containing two or more neutral molecular components in a crystal lattice with defined stoichiometry, which are solids at room temperature and are held together by weak interactions, mainly hydrogen bonding. By definition, cocrystals are miscible systems at a molecular level. It is therefore hypothesized that an indication of the miscibility of the component molecules in the solid state could predict the likelihood of cocrystal formation[1].
The concept of a solubility parameter was introduced by Hildebrand and Scott, who proposed that materials with similar values would be miscible [1,43]. The Hansen solubility parameter (HSP) model, which was developed later, is based on the concept of dividing the total cohesive energy into individual components (dispersion, polar and hydrogen bonding)[1,22] In pharmaceutical sciences, HSPs have been used to predict the miscibility of a drug with excipients/carriers in solid dispersions[1,44]. Further, it has been suggested that HSPs could predict the compatibility of pharmaceutical materials, and their use is recommended as a tool in the pre-formulation and formulation development of tablets[1,45,46]. HSPs have been widely used to predict liquid–liquid miscibility, miscibility of polymer blends, surface wettability, and the adsorption of pigments to surfaces [1,23]
The solubility parameters (i.e. cohesion energy parameters) can be used to predict the physicochemical properties such as solubility, melting point, etc. of a material [1,45].
The cohesive energy is the sum of the forces (van der Waals interactions, covalent bonds, hydrogen bonds and ionic bonds) that hold the material intact [1]. The cohesive energy per unit volume is termed the cohesive energy density (CED). The CED can be used to calculate the solubility parameter (δ) based on regular solution theory restricted to non-polar systems, as follows[1,43]
δ=(CED)0.5=(ΔEV/Vm)0.5 (1)
where EV is the energy of vaporization, and Vm is the molar volume. δ is measured in units of (J/cm3)0.5, or (cal/cm3)0.5.
Attempts have been made to extend the Hildebrand and Scott approach to include polar systems and strongly interacting species. One of the most widely accepted approaches, using HSPs, proposes that the total force of the various interactions can be divided into partial solubility parameters, i.e. dispersion (δd), polar (δp) and hydrogen bonding (δh). These partial solubility parameters represent the possibility of intermolecular interactions between similar or different molecules. The total solubility parameter (δt), also called the three-dimensional solubility parameter, can be defined as follows [1]:
δt = (δ2d+ δ2p + δ2h)0.5 (2)
Various methods have been used to estimate the HSPs of a material such as various theoretical and experimental methods based on solubility, calorimetry, sublimation, vaporization, inverse gas chromatography and group contribution methods [1,23].
As other method requires practical knowledge, the group contribution method is a commonly used theoretical method that only requires knowledge of the compound’s chemical structure to calculate the HSPs[1,48].The partial solubility parameters can be calculated using the combined group contribution methods of Van Krevelen–Hoftyzer and Fedors as follows[1,32,49]:



where i is the structural group within the molecule, Fdi is the group contribution to the dispersion forces, Fpi is the group contribution to the polar forces, Fhi is the group contribution to the hydrogen bonding energy, and Vi is the group contribution to the molar volume.
Based on the prediction of miscibility, laboratory screening for cocrystals was conducted using thermal methods and liquid-assisted grinding (LAG). The discovered cocrystals were scaled-up and preliminarily characterized using high performance liquid chromatography (HPLC), thermal methods, Raman spectroscopy and powder X-ray diffraction (PXRD).
In summary, most of the cocrystal-forming coformers which is under consideration show miscibility with the drug but not all miscible drug/coformer systems form cocrystals due to many reasons, such as lack of hydrogen bonding complementarity, preferred packing patterns, conformational flexibility, molecular shape and size, and stability. Alternatively, though appear less likely, immiscible systems can form cocrystals as a result of strong intermolecular interactions and packing. Miscibility of the components is necessary for cocrystal formation.
CAMBRIDGE STRUCTURAL DATABASE
The Cambridge Structural Database (CSD) is a repository for small molecule crystal structures. Scientists use single-crystal x-ray crystallography to determine the crystal structure of a compound. Once the structure is solved, information about the structure is saved but in CSD scientists can search and retrieve structures from the database. Scientists can use the CSD to compare existing data with that obtained from crystals grown in their laboratories. The information can also be used to visualize the structure in a variety of software such as atoms, powdercell etc. This is particularly important for analytical reasons because it facilitates the identification of phases present in a crystalline powder mixture without the need for growing crystals.
Many of the small molecules are organic compounds that can potentially act as medical drugs, and CSD is used for structural comparisons among these related molecules that can suggest new leads for drug design.
The information stored in the CSD for each entry can be considered in three classes. Firstly, there is the text-based (and sometimes numeric) information, containing the bibliography (i.e. full literature reference, where appropriate), chemical names and formulae, some experimental information about the crystal structure determination procedure, and any other information that may be available (e.g. compound’s use, colour and shape of crystals, etc.). Secondly, there is chemical connectivity information in the form of a 2D structural diagram –which is the basis of much of the sophisticated search mechanisms for the CSD System. Thirdly, there is the crystallographic information, consisting of unit cell dimensions and space group, and atomic coordinates. In this third category where the true value of the Database lies.
The rational design of cocrystals is usually based on supramolecular Synthons [50]. But this has some limitations which are usually handled by cocrystal screening, a trial-and-error procedure [51]. For practical applications, development costs will depend on the number of screening experiments needed before a suitable cocrystal former is found. It would therefore be important to identify further factors beyond synthon matching that influence the success or failure of screening experiments. So, it is important to find such factors by the statistical analysis of data on cocrystals from the Cambridge Structural Database [52].
Cocrystal Database Creation
The CSD searches for ordered, error-free organic crystal structures (at least one C atom, only C, H, N, O, S, P, F, Cl, Br, or I atoms allowed). Duplicates and unreliable or incomplete structures are filter out. Then remaining structures are exported from the CSD to mol2 files, which are used for further processing and calculations. Sum formulas, formal charges (as stored in the CSD), are calculated for each residue [5].
Calculation of Molecular Descriptors
The complete set of quantitative structure-activity relationship (QSAR) type descriptors available in software tools used to characterize the molecules, without any prior consideration of their importance in cocrystal formation. The descriptors include simple atom, bond and group counts, hydrogen bond donor and acceptor counts, size and shape descriptors, surface area descriptors (with partitioned and charge weighted variants), and molecular electrostatic descriptors[5].
Statistical Analysis
Molecules that found in the same cocrystal should combine into pairs. As a first approximation, descriptors grouped in pairs, that is, only one descriptor per molecule consider at a time. If a particular pair of descriptors refers to molecular properties that influence cocrystal formation, then the descriptors are expected to assume favourable combinations of values more frequently than unfavourable ones. Consequently, pairs of descriptors that indicate some form of complementarity should be correlated. To find such correlations, correlation coefficients should calculate for all possible pairs of descriptors. The distribution of descriptor values among the molecules is far from a normal distribution, which limits the usability of the most common statistical parameters, such as mean value and standard deviation. Therefore, nonparametric statistical descriptors, which are meaningful irrespective of the shape of the distributions, can be used. Distributions summarize by median, lower quartile, and upper quartile values, rather than by mean and standard deviation. (Median is the value that “splits” a data set such that 50% of the data values are lower and 50% are higher than the median. Quartiles are defined analogously as values that are higher than 25% (lower quartile) and 75% (upper quartile) of the data set, respectively). In addition to the more common Pearson’s correlation coefficient (r, based on mean and standard deviation), Spearman’s nonparametric correlation coefficient (F, based on the ranking of values) can be calculated for each molecular descriptor pair. If a significant negative correlation of F found between the number of heavy (i.e., non-hydrogen) atoms in both molecules, this would indicate a preference of small molecules to cocrystallize with large ones, because crystals of a large host molecule with an awkward shape that cannot pack efficiently and a small guest molecule that fills the voids inside or between the host molecules, since these molecule pairs showed a distinct behaviour and we are interested in cocrystal formation of molecules without major packing frustration[5].
Molecular Polarity
The strongest correlations found are related to the polarity of the molecules. The positive sign of the correlation coefficients suggests that molecules preferably form cocrystals with partners of similar polarity. Molecular polarity is not a rigorously defined term, so a number of descriptors can be associated with it.
The highest correlation relates the fractional polar volumes (FPV) of the cocrystallized molecules. FPV is defined as the fraction of the molecular volume that belongs to polar atoms (N, O, S atoms, and H atoms bonded to N, O, or S). A simpler alternative to using FPV is the descriptor FNO, which is obtained by dividing the total number of N and O atoms by the number of heavy atoms in the molecule. FNO still shows a relatively strong correlation, and it can be easily calculated from the molecular formula.(i.e., those with lower values of globularity), which are predominantly planar molecules. Shape correlation means that molecules of a flat shape tend to form cocrystals with other flat molecules, the stronger tendency of elongated molecules to cocrystallize with partners of similar shape. Globularity is a shape descriptor that relates the surface area of a molecule to its volume. It is small for molecules with a smooth surface, while bumps and hollows of the molecular shape increase its value.This shape relationship appears to be stronger for smooth molecules [5].
Hydrogen Bond
The success of cocrystal design by utilizing hydrogen-bonded supramolecular synthons clearly shows the importance of hydrogen bond in forming cocrystals. After metal coordination bonds and ionic interactions (e.g. dipole-dipole) the strongest interactions in crystal engineering are hydrogen bonds. Due to the strength, directionality, and ubiquitous presence of hydrogen bonds in organic molecules, it is also termed as the ‘key-interaction’ in crystal engineering.
For most pharmaceutical cocrystal structures, hydrogen bonds take an important role in directing intermolecular recognition between an API and a coformer molecule. A graph-set notation system introduced by was used widely to describe and label hydrogen bond motifs [2,46].
In the graph-set system four principal motifs are used: chains (C), dimers (D), rings (R), and intramolecular hydrogen bonds (S), as descriptors of hydrogen-bonded molecular solids. Additionally, the following guidelines were proposed to facilitate the design of hydrogen bonded solids: (1) all good proton donors and acceptors are used in hydrogen bonding; (2) if six-membered ring intramolecular hydrogen bonds can form, they will usually do so in preference to forming intermolecular hydrogen bonds (3) the best proton donors and acceptors remaining after intramolecular hydrogen-bond formation, form intermolecular hydrogen bonds to one another [2]. With self-complementary hydrogen bond donor and acceptor, the formation of carboxylic acid homosynthon through C=O··H–O hydrogen bond is very common. Another widely studied homosynthon is amide homodimer, forming a cocrystal through C=O··H–N hydrogen bond. Apart from homosynthons, some favourable heterosynthons such as carboxylic acid-pyridine and carboxylic–amide. Counting donors and acceptors is insufficient to describe their complementarity. The formation of synthons is governed by the strength of hydrogen bonds between cocrystal formers rather than by the number of available groups.
CONCLUSION
Coformer selection is one of the main challenge in cocrystal development. Primary approach is tactless screening of the coformer from library which is of GRAS status. Another approach is supramolecular synthon approach which utilizes Cambridge structural database for statistical analysis of data. A detail understanding of the supramolecular chemistry of functional group present in given molecule is the prerequisite for cocrystal design because it facilitates selection of suitable cocrystal former.
The HSPs can predict the miscibility and cocrystal formation by using group contribution method and to calculate partial solubility parameters and Van Krevelen–Hoftyzer, Bagley and Greenhalgh approaches to predict miscibility.
This approach is effective in predicting miscibility but all coformer which is predicted may or may not be miscible so, this is only theoretical approach which would be useful for short listing potential coformers prior to complex laboratory screening
experiments, leading to greater efficiency in cocrystal screening programs. The use of Hydrogen bond, synthon and HSPs may assist in design and analysis of cocrystals. In general though prediction of whether cocrystallization will occur is not possible and must, at present, be answered empirically.
CONFLICT OF INTERESTS
Declared None
REFERENCE