School of studies in Chemistry Pt. Ravishankar Shukla university Raipur Chhattisgarh 492010, India.
Email: rama.pande11@gmail.com
Received: 05 Jul 2014 Revised and Accepted: 15 Aug 2014
ABSTRACT
Objective: Binding affinity towards DNA for small molecules is very important in the development of new therapeutic reagents. Interaction between N-Arylhydroxamic acid derivatives N-p-Tolyl-4-Ethoxybenzohydroxamic acid (p-TEBHA) and N-o- Tolyl-4-Ethoxybenzohydroxamic Acid (o-TEBHA), with calf thymus DNA (CT DNA) were studied by UV–visible absorption, fluorescence, viscosity measurement and molecular docking.
Methods: The absorption and emission spectra of DMSO solution of hydroxamic acid derivatives were studied for their binding activity with calf-thymus DNA by titration with increasing amount hydroxamic acids. Docking was performed by HEX software.
Results: Fluorescent spectra showed that CT DNA quenches the emission spectra of p-TEBHA & o-TEBHA with binding constant 1.6 х 108 M-1 and 4.3 х 103 M-1 respectively. Competitive study with ethidium bromide (EB) indicates that p-TEBHA can displace the DNA-bound EB suggesting strong competition with EB whereas o-TEBHA does not displace the DNA-bounded Ethidium bromide effectively. UV study of the interaction of the complexes with calf-thymus DNA has shown that the hydroxamic acid derivatives can bind with CT DNA. The docking studies were used to predict the mode of interaction of the drug with DNA. It was observed that as far as binding strength was concerned the computational results complemented the experimental results.
Conclusion: Investigated hydroxamic acid derivatives are found to be strong DNA binders and seem to have promising drug like nature.
Keywords: Fluorescence, Binding constant, Viscosity, Hydroxamic acid, Interaction with DNA.
INTRODUCTION
Significant progress has been made over the past few years in studies of drug-DNA interactions [1]. DNA is one of the most important bio-macromolecules and essential for several biological processes [2]. It contains all the genetic information for cellular function. However, these molecules are prone to be damaged under various conditions including, interactions with some molecules. This damage may lead to various pathological changes in living organisms. The binding interaction of small molecules with DNA is of interest for both therapeutic and scientific reasons. The interaction of small molecules with DNA may be summarized as an electrostatic interaction that extends the negatively charged phosphates outside the DNA double helix, an interaction with grooves of DNA, and an intercalation in which the base pairs of DNA unwind to accommodate the intercalating agent [3, 4].
Hydroxamic acids have attracted considerable attention due to their pharmacological, toxicological and pathological properties over the past decade [5-10]. They contain a pharmacophoric structural part (-NOH. C=O) and Hydrogen Bond Donor (HBD) and Hydrogen Bond Acceptor (HBA) capability to bind with receptors [11-15]. Derivatives of N-arylhydroxamic acids have also been proved as antitumor/cancer and antioxidant agents [16-19]. Within this context, here we determined the DNA binding interaction of following hydroxamic acids: N-p-Tolyl-4-Ethoxybenzohydroxamic Acid (p-TEBHA) and N-o- Tolyl-4-Ethoxybenzohydroxamic Acid (o-TEBHA).
MATERIALS AND METHODS
Apparatus
Fluorescence measurements were performed with a Cary Eclipse fluorescence spectrophotometer Varian USA, equipped with a xenon flash lamp using a 1.0 cm quartz cell. The absorption spectra were measured on a Biospectrum BL-198 Elico India, spectrophotometer using a 1.0 cm quartz cells. Viscosity measurements were carried out using an Ubbleohole viscometer maintained at a constant temperature of 25±0.2 oC and flow time was measured with a digital stop watch. pH measurements were carried out with a Eutech instrument, Oakton pH meter.
Reagents
By the reported standard procedure [20-24], the preparation of p-TEBHA and o-TEBHA was done. The purity of synthesized compounds was ascertained by determining their melting point, elementary and IR analysis and has been enlisted in table 1.
Table 1: Characterization of p-TEBHA and o-TEBHA.
| S. No. | Compound Name | Chem draw structure |
M. P. (0C) |
Elementry analysis | IR KBrν cm-1 | |||||
| C | N | H | N-OH | C=O | C-N | N-O | ||||
| 1 | N-p-tolyl-4-ethoxy-BHA* | |
167 | 67.82 | 4.81 | 5.9 | 3186 | 1607 | 1369 | 923 |
| 2 | N-o-tolyl-4-ethoxy-BHA | |
105 | 71.31 | 4.49 | 6.17 | 3186 | 1606 | 1369 | 923 |
*BHA abbreviates benzohydroxamic acid.
Calf thymus DNA (Sigma Aldrich chem., Co. USA) was used without further purification, and its stock solution was prepared by dissolving an appropriate amount of DNA into doubly distilled water and stored at 4oC. The concentration of DNA in stock solution was determined by UV absorption at 260 nm using a molar absorbance coefficient ϵ260 = 6600 L mol-1 cm-1. The absorbance ratio (A260/A280) was determined for the characterization of the DNA molecules. The solution gave a ratio of > 1.8 at A260/A280, indicating that DNA was sufficiently free from protein. Ethidium bromide (EB) stock solution (100 µM) was prepared by dissolving its crystal (Sigma Aldrich) in doubly distilled water and stored in a cool and dark place. All chemicals were of analytical reagent grade and doubly distilled water was used throughout the experimentation.
Procedure
UV spectroscopic method
The UV titrations of the complex were performed using a fixed concentration of the compound (50 µM) to which increments of the DNA stock solution (25-125µM) was added. The resulting solutions were recorded in the wavelength range of 190-340 nm at 298.15 K.
Fluorescence spectroscopic method
The fluorescence emission spectra were measured in the wavelength range of 210-600 nm with exciting wavelength 220 nm. The competitive interactions between the EB and N-arylhydroxamic acids with Ct-DNA (20 µl) were titrated with increasing amount of compound (0-210µM) solution at wavelength 510 to 700 nm [4].
Viscosity method
Viscosity measurements were performed at room temperature. A mixture of 20 ml (1.0 ml DNA solution in 19.0 ml buffer) was taken in viscometer and flow time noted. An appropriate amount of compound solution was then added into the viscometer to give a certain r ([HA]/[DNA]) while keeping the DNA concentration constant. The data were presented as (η/η0)1/3 versus r, where η and η0 are the viscosity of DNA in the presence and absence of the compounds, respectively [25].
Molecular Docking
Docking is able to discriminate "good" or "bad" ligands. Docking is a method which predicts the preferred orientation of one molecule to a second when bound to each other to form a stable complex. Knowledge of the preferred orientation in turn may be used to predict the strength of association or binding affinity between two molecules. The ligand was drawn in the cdx format and converted into PDB format. The DNA duplex receptor structure was obtained from Protein Data Bank (PDB. No. ID1R2L) with 12 base pairs with sequence CCATAATTTACC: CCTATGAAATCC running in 3’–5’ directions. Hex, was used to calculate DNA-hydroxamic acids docking assuming ligand as rigid.
RESULTS AND DISCUSSION
UV absorption studies
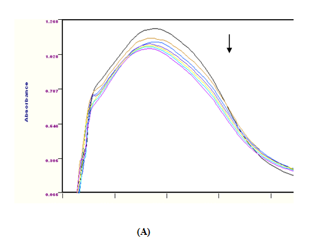
The interaction of p-TEBHA and o-TEBHA with CT DNA has been studied with UV spectroscopy in order to investigate the possible binding modes to CT DNA and to calculate the binding constants to CT DNA (Kb). The absorption spectra were recorded for fixed concentration of p-TEBHA and o-TEBHA with increasing concentration of DNA. A “hyperchromic effect” was observed for increasing concentration of DNA as shown in Fig.1.
A hyperchromism has been attributed to the presence of groove surface binding along outside of DNA helix [26]. In order to illustrate the binding strength of the compound with DNA, the intrinsic binding constant, Kb was determined from the spectral data using the following equation (1),

where, [DNA] is the concentration of DNA, A0 and A are the absorbance of the complex in the free and fully bound state and εf and εb correspond to the extinction coefficient, respectively. Kb was calculated from a plot of A0/ (A-A0) versus 1/ [DNA]. The value of intrinsic binding constant, Kb for p-TEBHA was found to be higher than o-TEBHA on binding with DNA (table.2).


Fig. 1: UV absorbtion spectra of (A) p-TEBHA and (B) o-TEBHA in DMSO solution (50 µM) in the presence of CT DNA (in 5 mM Tris–HCl buffer at pH 7.4) having Concentrations (µl), (a) 0.00 (b) 25 (c) 45 (d) 65 (e) 85 (f) 105 (g) 125 at 298.15 K. The arrows shows the hypochromic (A) and hyperchromic (B) changes due to interaction of hydroxamic acids with ct-DNA respectively.
Table 2: Binding parameters of p-TEBHA and o-TEBHA with Calf thymus DNA.
| S. No. | Compound Name | *UV-Binding Constant (Kb) | **F-Binding Constant (Kb) | Bindind Sites (n) | Stern-Volmer Constant
(Ksv) |
| 1 | p-TEBHA | 1.3 х 106 M-1 | 1.6 х 108 M-1 | 2.13 | 0.034 |
| 2 | o-TEBHA | 3.9 х 105 M-1 | 4.3 х 103 M-1 | 0.94 | 0.028 |
*Binding Constant from UV Spectrophotometer, **F-Binding Constant from fluorescence Spectrophotometer
Fluorescence spectral studies
The fluorescence titration spectra have been confirmed to be effective for characterizing the binding mode of the compounds with DNA. Fixed amount of p-TEBHA and o-TEBHA was titrated with increasing amount of DNA. A result of emission titration for compound with DNA at 298 K is illustrated in Fig. 2. The fluorescence intensity of the compound is quenched steadily with the increasing concentration of DNA. This quenching of compound by DNA indicates that compound had a strong interaction with DNA [1]. The binding constant (Kb) and the number of binding sites (n) can be estimated by the following equation (2),
Log (F0 – F)/F = log Kb + n log [Q] (2)
The value of Kb was obtained from inset Fig. 2, through the intercept of the plot of log [(F0-F)/F] versus log [Q]. [Q] is the concentration of quenching reagent and F0 is the fluorescence intensity of the compound alone, while F is the fluorescence intensity of compound with the presence of DNA. Kb and n of complex at 298.15 K has been calculated have been shown in table 2.


Fig. 2: The fluorescence spectral intensity of (A) p-TEBHA and (B) o-TEBHA in DMSO solution (50 µM) in the presence of CT DNA (in 5 mM Tris–HCl buffer at pH 7.4) having Concentrations (µl), (a) 0.00 (b) 25 (c) 45 (d) 65 (e) 85 (f) 105 (g) 125 at 298.15 K. The arrows show the hypochromic for (A) and (B) changes due to interaction of hydroxamic acids with CT DNA. Inset Plot of log [Q] versus log (F0-F)/F.
Ethidium bromide displacement method
A competitive binding experiment using EB as a probe was carried out in which EB (3,8-diamino-5-ethyl-6-phenylphenanthrium bromide) is an intercalator that gives significant increase in fluorescence emission when bound to DNA and it can be quenched by the addition of second DNA binding molecule by either replacing the EB and/or by accepting the excited-state electron of the EB through a photoelectron transfer mechanism and an enhancement of emission intensity when EB bound intercalatively to DNA [27-30]. The emission spectra of EB–DNA system in the presence and absence of compounds are shown in Fig. 3. The quenching plots of I0/I vs. [Comp]/[DNA] (inset Fig. 3) are in good agreement with the linear Stern–Volmer equation with Ksv values of 0.034 and 0.028 for p-TEBHA and o-TEBHA, respectively.


Fig. 3: Emission spectra of EB bound to DNA in the presence of (A) p-TEBHA and (B) o-TEBHA in 5 mM Tris–HCl buffer at pH 7.4. The arrows show the intensity changes upon increasing concentrations of the hydroxamic acids. Inset plots of I0/I vs. [Compound]/[DNA] for experimental data points and full line for linear fitting of the data.
Viscometric studies
To confirm the DNA binding modes, viscosity studies were carried out. Viscosity experiment is an effective tool to determine the binding mode of small molecules with DNA. Hydrodynamic measurement (viscosity) that are sensitive to length change are regarded as the least ambiguous most critical test of the binding model in a solution in the absence of any spectroscopic data [26]. A classical intercalation binding demands the space of adjacent base pairs to be large enough to accommodate the bound ligand and to evaluate the double helix, resulting in an increase of DNA viscosity. As can be seen from Fig. 4, upon increasing the concentration of p-TEBHA and o-TEBHA the relative viscosity of DNA increases [1] indicating compounds bind to DNA.

(A)

(B)
Fig. 4: A linear increase in relative viscosity of CT DNA (η/ηo)1/3 in buffer in 5 mM Tris–HCl at pH 7.4 in the presence of (A) p-TEBHA and (B) o-TEBHA at increasing amounts (r) at 298 K.
Molecular Docking
Docking studies of p-TEBHA and o-TEBHA with DNA were carried out by hex 6.0 software. The structure of the H. A–DNA complex was predicted [31]. In the present work docking studies also predict that in the p-TEBHA-DNA complex, planar ring structure intercalates between nitrogenous base pairs of DNA while o-TEBHA act like groove binder which bind to the groove of DNA double helix as shown in Fig.5. Thus the prediction by the computational work (docking) was in agreement with the experimental studies.

Fig. 5: Docked structure of p-TEBHA (A) and o-TEBHA (B) with calf-thymus DNA.
CONCLUSION
The binding interaction between p-TEBHA and o- TEBHA and calf-thymus DNA has been investigated using fluorescence, UV absorption and viscosity methods. Experimental results indicate that the binding strength of the complexes with CT DNA calculated with UV and fluorescence spectroscopic titrations have shown that p-TEBHA exhibits the highest Kb value 1.6 х 108 M-1 in fluorescence spectra among the compound examined which shows intercalation mode of binding. Decrease in emission intensity in competitive binding with Ethidium bromide has revealed that the binding of o- TEBHA with DNA is due to groove binding. Results of molecular docking supplemented the experimental results.
ACKNOWLEDGEMENT
Thankful to UGC-SAP for providing financial support
REFERENCES