
aDepartment of Pharmaceutical Chemistry, Faculty of Pharmacy, Health Sciences Center, Kuwait University, Safat 13110, Kuwait, bDepartment of Pharmacognosy, Faculty of Pharmacy, Ain-Shams University, Cairo, Egypt, cResearch Sector Project Units, Faculty of Science, Kuwait University, Safat 13060, Kuwait
Email: kyorabi@hsc.edu.kw
Received: 06 Feb 2017 Revised and Accepted: 24 Feb 2018
ABSTRACT
Objective: In a previous study, Centaurea aegyptiaca ethanol and ethyl acetate extracts showed potent cytotoxic effects against laryngeal (HEP2) and hepatic (HEPG2) carcinoma cell lines. Additionally, two novel compounds were isolated and identified. The aim of this study is to continue isolating and identifying another compound (s) that may, also, be responsible for this potent biological activity.
Methods: C. aegyptiaca dried aerial parts were extracted with ethanol and ethyl acetate. Both extracts were chromatographed separately to afford seven guaianolides that were identified using different spectroscopic methods. Moreover, compounds 1-7 were evaluated for their cytotoxicity (IC50, µM) against HEP2 and HEPG2 cells in comparison to the normal fibroblasts (BHK) using sulforhodamine B assay. Doxorubicin was used as a positive control.
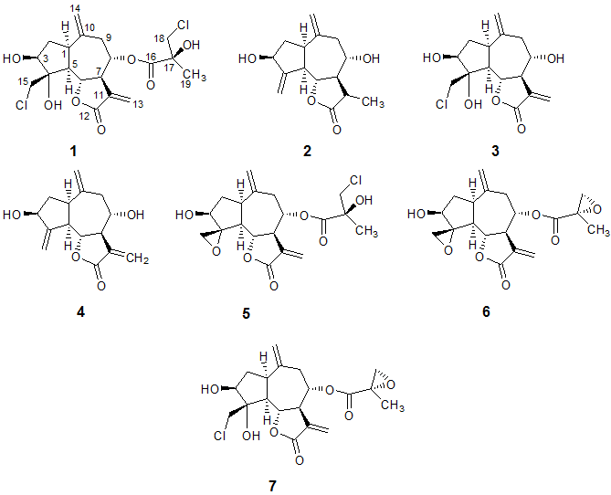
Results: Seven sesquiterpene lactones, centaurepensin, also known as chlorohyssopifolin A (1), 8α-hydroxy-11α, 13-dihydrozaluzanin C (2), chlorohyssopifolin B (3), desacylcynaropicrin (4), chlorohyssopifolin C, acroptilin (5), subluteolide (6), and solstitiolide (7) were isolated from C. aegyptiaca extracts and identified. This is the first report on the occurrence of 2, 4, 5 and 6 in C. aegyptiaca. Compounds 1-4 and 6 exhibited selective cytotoxic effects against HEP2 and HEPG2 cells. However, compounds 1 and 7 showed the highest activities against HEP2 with IC50 values of 10.6±0.02 and 10.9±0.03 µM, respectively. Moreover, compound 3 was the most potent one against HEPG2 cells with IC50 value of 13.8±0.05 µM.
Conclusions: Chemical investigation of C. aegyptiaca ethanol and ethyl acetate extracts led to the isolation and identification of seven guaianolides. These compounds exhibited good cytotoxic activities against HEP2 and HEPG2 cell lines.
Keywords: Centaurea aegyptiaca, Sesquiterpene, Guaianolides, Cytotoxic activity, Sulforhodamine B assay
© 2018 The Authors. Published by Innovare Academic Sciences Pvt Ltd. This is an open access article under the CC BY license (http://creativecommons.org/licenses/by/4.0/)
DOI: http://dx.doi.org/10.22159/ijpps.2018v10i4.17528
Although chlorinated compounds rarely exist in higher plants [1-3], Centaurea species are considered rich sources of chlorine-containing compounds [4]. Moreover, they are characterized by the presence of sesquiterpene lactones as secondary metabolites [5-10], that have provided several biological activities including anti-fungal, anti-bacterial, anti-inflammatory and cytotoxic effects [5-9, 11-13]. Centaurea aegyptiaca L. (Family Asteraceae) grows wild in Sinai, Egypt. Since Centaurea species were documented to be rich in the chlorinated compounds, extensive research on the chemical profile of C. aegyptiaca was undertaken. In continuation to our previous work where two novel bioactive guaianolides; cenegyptin A and cenegyptin B were isolated and identified [14], we report hereby the isolation, identification and the cytotoxic activities evaluation of seven compounds, centaurepensin or chlorohyssopifolin A (1), 8α-hydroxy-11α, 13-dihydrozaluzanin C (2), chlorohyssopifolin B (3), desacylcynaropicrin (4), chlorohyssopifolin C, acroptilin (5), subluteolide (6), and solstitiolide (7). Compounds 2, 4, 5 and 6 are reported here for the first time from Centaurea aegyptiaca species. Compound 1 existed frequently in Centaurea species [15-18]. Compound 2 was isolated from Ainsliaea fragrans Champ and Centaurea scoparia Sieb. [19-20]. Compound 3 was found in Centaurea aegyptiaca and Centaurea hyssopifolia Vahl [16, 21]. Compound 4 was reported in Centaurea behen L. and Saussurea calcicola [22, 23]. Compound 5 was isolated from Centaurea hyssopifolia, Centaurea linifolia Vahl and Centaurea solstitialis [24-26]. Compound 6 was found in Vernonia sublutea and Centaurea solstitialis [26-27]. Compound 7 was reported in Centaurea aegyptiaca and Centaurea solstitialis [21, 26]. The aim of this study was to continue isolating the potential components responsible for the cytotoxic activity of Centaurea aegyptiaca.
General experimental procedure
NMR spectra were recorded on a Bruker Avance II 600 MHz NMR spectrometer. CD3OD or CDCl3 were used as a solvent. Proton and carbon chemical shifts were given in ppm relative to TMS as an internal standard. Multiplicity determinations (DEPT) and 2D NMR spectra (COSY, HSQC, HMBC) were run using standard Bruker pulse programs. Mass Spectrometry analyses were carried out on GCMS-DFS (Double Focusing Sector). Column chromatography was carried out on silica gel 60 (230-400 mesh ASTM, Merck). IR spectra were recorded as acetone film using an FT/IR-4100 type A Spectrophotometer. TLC analysis was carried out on silica gel 60 F254 plates (Merck). Compounds were detected via exposure to the short wavelength (λmax = 254 nm) UV light and/or spraying the developed plates with p-anisaldehyde/H2SO4 spraying reagent followed by heating at 105 °C for 1-2 min.
Plant material
The plant’s aerial parts were collected during the flowering stages (February-March 2008) and were identified by Dr. Abdel-Halim Abdel-Mogali of the Department of Flora and Phytotaxonomy Research, Horticulture Research Institute (HRI), Agriculture Research Center, Cairo, Egypt. A voucher specimen [3994 (CAIM)] was deposited at the herbarium of HRI.
Extraction and isolation
Ethanol extract
Plant extraction was carried out by soaking the coarsely ground aerial parts of C. aegyptiaca (1009 g) in 10 l of ethanol 96 % overnight at room temperature. This process was repeated three times and the filtrates were completely dried in vacuo to give 68.9 g of dried ethanol extract. Part of the ethanol extract (12 g) was fractionated over Si gel 60 column (1050 g, 54 x 7.5 cm) packed. The column was initially eluted with increasing concentrations of acetone in toluene starting with 15 % and ending up with 25 %. Fractions (150 ml each) were collected and monitored with TLC using different solvent systems. Similar fractions were pooled together to give 20 fractions (A-T).
Crystallization of fraction I (126 mg) from methanol and methylene chloride afforded 50.8 mg (0.0289 % yield) of a pure compound 1.
Fraction P (96.3 mg) was chromatographed over a silica gel column (10 g, 23 x 1.4 cm) and eluted with 10 % of ether in n-hexane. Fractions (2 ml) were collected and monitored with TLC using the mobile phase as the solvent system. Further chromatographic purification afforded 5.7 mg (0.00032 % yield) of a pure compound 2.
Another part of the ethanol extract of C. aegyptiaca (12.4 g) was chromatographed over a 1000 g silica gel column (54 x 7.5 cm). The column was eluted initially with 1 % of methanol in chloroform then increasing the polarity up to 20 % of methanol in chloroform. This process gave 16 fractions (A-P).
Fraction K (681 mg) was fractionated over a silica gel column (37 x 2.8 cm) and eluted initially with chloroform: ethyl acetate 1: 0.6; followed by 1: 1, then 1: 2 and finally 1: 3. Similar fractions afforded 16 sub-fractions (A`-P`).
Sub-fraction I` (28 mg) underwent fractionation over a silica gel column (8 g, 19 x 1.4 cm) and eluted with n-hexane: ethyl acetate (1: 1). Fractions (2 ml) were collected and monitored with TLC using the mobile phase as a solvent system. Similar fractions were pooled together to give 6 sub-sub-fractions (1-6). Further chromatographic purification afforded 12 mg (0.0066 % yield) of a pure compound 3.
Sub-fraction J` (25 mg) was fractionated over a silica gel column (8 g, 19 x 1.4 cm) and eluted with n-hexane: ethyl acetate (1: 1). Fractions (2 ml) were collected and monitored with TLC using the mobile phase as a solvent system. Similar fractions were pooled together to give 6 sub-sub-fractions (1-6). Further chromatographic purification afforded 4 mg (0.0022 % yield) of a pure compound 4.
Ethyl acetate extract
Dried ground aerial parts of C. aegyptiaca (725 g) were soaked in 10 l of ethyl acetate overnight at room temperature. The process was repeated three times and the filtrates were completely dried in vacuo to give 58.5 g of dried ethyl acetate extract. Part of the ethyl acetate extract (10.7 g) was fractionated over a silica gel column (1000 g, 51 x 7.5 cm). The column was gradually eluted with an increasing strength of methanol in chloroform starting with 0.5 % and ending up with 5 %. Fractions (200 ml) were collected and monitored with TLC using different solvent systems. Similar fractions were pooled together to give 21 fractions (A-U).
Fraction J (790 mg) underwent fractionation over a silica gel column (83 g, 39 x 2.7 cm) and eluted with 5 % of acetone in chloroform with increasing strength of acetone in chloroform up to 12 %. Fractions (25 ml) were collected and monitored with TLC using the mobile phase as a solvent system. Similar fractions were pooled together to give 25 sub-fractions (a-y).
Fraction n (38 mg) underwent crystallization using chloroform and n-hexane to afford 15.3 mg (0.0115 % yield) of a pure compound 5.
Fraction I (2.17 g) was fractionated over a silica gel column (211 g, 38.5 x 4.3 cm) and eluted with 30 % of acetone in n-hexane. Fractions (50 ml) were collected and monitored with TLC using the mobile phase as the solvent system. Similar fractions were pooled together to give 4 sub-fractions (I-IV). Fraction IV (583 mg) underwent crystallization using chloroform and n-hexane to obtain 486 mg (0.366 % yield) of a pure compound 6.
Fraction III (148.4 mg) was purified over a silica gel column chromatography (18 g, 30 x 1.4 cm) and eluted with 10 % of acetone in toluene to afford 32.5 mg (0.0245 % yield) of a pure compound 7.
Compound 1: colorless platelets (MeOH and CH2Cl2); Rf 0.27 (4 % MeOH/CH2Cl2); IR (neat) vmax 3464, 1739 cm-1; 1H NMR (MeOD, 600 MHz) see table 1; 13C NMR (MeOD, 150 MHz) see table 2; EIMS (70 eV) m/z 435 [M+1]+(24.71).
Compound 2: colorless thin film; Rf 0.26 (23 % (CH3)2CO/CHCl3); 1H NMR (MeOD, 600 MHz) see table 1; 13C NMR (MeOD, 150 MHz) see table 2; EIMS (70 eV) m/z 264 [M]+(32.30).
Compound 3: colorless amorphous powder; Rf 0.13 [CHCl3/toluene/ MeOH (5: 5: 1)]; 1H NMR (MeOD, 600 MHz) see table 1; 13C NMR (MeOD, 150 MHz) see table 2; DEPT (45, 90, and 135), HSQC, HMBC and COSY analyses; GCMS-DFS (70 eV) m/z 315 [M+1]+(6.00).
Compound 4: colorless amorphous powder; Rf 0.20 [CHCl3/ toluene/MeOH (4: 6: 1)]; 1H NMR (MeOD, 600 MHz) see table 1; 13C NMR (MeOD, 150 MHz) see table 2; EIMS (70 eV) m/z 262 [M]+(10.76).
Compound 5: colorless needles (n-hexane and CHCl3); Rf 0.20 (20 % (CH3)2CO/toluene); 1H NMR (CDCl3, 600 MHz) see table 1; 13C NMR (CDCl3, 150 MHz) see table 2; EIMS (70 eV) m/z 398 [M]+(7.50).
Compound 6: colorless prisms (n-hexane and CHCl3); Rf 0.36 (20 % (CH3)2CO/toluene); 1H NMR (CDCl3, 600 MHz) see table 1; 13C NMR (CDCl3, 150 MHz) see table 2; EIMS (70 eV) m/z 363 [M+1]+(6.78).
Compound 7: colorless amorphous powder; Rf 0.28 (15 % (CH3)2CO/toluene); 1H NMR (CDCl3, 600 MHz) see table 1;13C NMR (CDCl3, 150 MHz) see table 2; EIMS (70 eV) m/z 399 [M+1]+(4.23).
Single crystal X-ray diffraction analysis
The single crystal data collections for compounds 1 and 6 were made on a Bruker X8 Prospector diffractometer using Cu-Ka radiation. The data were collected at room temperature (296 K). The reflection frames were integrated with the Bruker SAINT Software package using a narrow-frame algorithm. The structure was solved and refined using the Bruker SHELXTL Software package. The non-hydrogen atoms were refined anisotropically. Hydrogen atoms were refined using the riding model. Various diffraction parameters are shown in table 3. Both crystal structures of compounds 1 and 6 were deposited in the Cambridge Crystallographic Data Centre (CCDC) and were given the CCDC numbers 1530166 and 1530167, respectively.
Cytotoxicity evaluation
The pure isolated compounds 1-7 were evaluated for their cytotoxic activity against liver (HEPG) and larynx (HEP2) carcinoma cell lines besides the normal fibroblasts cell line (BHK) using 1 mg each. HEPG, HEP2, and BHK were obtained from ATCC (American Type Culture Collection, VA, USA). The cytotoxic activity was conducted using sulforhodamine B (SRB) assay [28]. Cancer cells were plated in 96-multiwell microtiter plate (104 cells/well) for 24 h before treatment with the isolated compounds to allow attachment of the cells to the wall of the plate. The isolated compounds were dissolved in DMSO and diluted with saline to the appropriate volume. Different concentrations of the isolated compounds under test (0, 5, 12.5, 25, 50 µg/ml) were added to the cell monolayer. Triplicate wells were prepared for each individual dose. The cells were incubated for 48 h at 37 °C and in an atmosphere of 5 % of CO2.
After 48 h, the cells were fixed, washed and stained for 30 min with 0.4 % (w/v) of sulforhodamine B stain dissolved in 1 % of acetic acid. Excess stain was washed with 1 % of acetic acid and the attached stain was recovered with Tris EDTA buffer. Color intensity was measured in an ELISA reader. IC50, the concentration required for 50 % inhibition of cell viability against each carcinoma cell line in µM, was calculated for the isolated compounds. Doxorubicin was used as a standard cytotoxic agent as shown in table 4.
Statistical analysis
Results are expressed as the mean±SD of four independent experiments performed in triplicates. The statistical significance of the differences between the control and treated groups was determined by one-way ANOVA followed by Turky Crammer test for post-hoc analysis. P values<0.05 were considered statistically significant.
The alcohol and ethyl acetate extracts were subjected to phytochemical investigation separately. This led to the isolation of seven guaianolides; centaurepensin (chlorohyssopifolin A) (1), 8α-hydroxy-11α, 13-dihydrozaluzanin C (2), chlorohyssopifolin B (3), desacylcynaropicrin (4), chlorohyssopifolin C, also known as acroptilin (5), subluteolide (6), and solstitiolide (7). The identities of these compounds were established through spectral and X-ray crystallographic analyses and were found identical to those previously published.
Compounds 2, 4, 5 and 6 were isolated and identified for the first time in Centaurea aegyptiaca. Compounds 1-7 were shown to be guaianolide sesquiterpene lactones, however, compounds 1, 3, 5 and 7 were chlorinated ones. Compound 1 was isolated for the first time from Centaurea repens L. [15] and frequently existed in other Centaurea species [16-18]. Compound 2 was known to be a zaluzanin derivative previously isolated from Ainsliaea fragrans Champ [19] and Centaurea scoparia Sieb. [20]. Compound 3 was previously isolated from Centaurea aegyptiaca [21] and Centaurea hyssopifolia Vahl [16]. Compound 4 was found in Centaurea behen L. [22] and Saussurea calcicola [23]. Compound 5 was isolated from Centaurea hyssopifolia for the first time [24] and later from Centaurea linifolia Vahl [25] and Centaurea solstitialis [26]. Compound 6 was isolated from Vernonia sublutea for the first time [27] and from Centaurea solstitialis [26]. Compound 7 was reported for the first time from Centaurea solstitialis [26], however, it was shown that it was isolated previously from Centaurea aegyptiaca [21] and given another name; 17, 18-epoxy-19-desoxychlorojanerin.
Centaurepensin (1) was obtained as colorless platelets. EIMS showed the molecular ion [M+1]+ at m/z 435 which agreed with the molecular formula C19H24Cl2O7. IR spectrum showed absorption bands for hydroxyl group(s) at 3464 cm-1 and for the carbonyl group at 1739 cm-1. The identity of the compound was further confirmed by 1D (tables 1 and 2) and 2D NMR analyses. These data were identical to those previously reported [17, 29, 30]. Additionally, X-ray diffraction analysis was done as shown in table 3.
Table 1: 1H NMR data for compounds 1-7
| # | δH, multiplicity (J in Hz) | ||||||
| 1a | 2a | 3a | 4a | 5b | 6b | 7b | |
| 1 | 3.63, m | 2.92, m | 3.40, dddd (7.8, 7.8, 7.8, 3.0) | 2.81, m | 3.38, m | 3.35, m | 3.62, m |
| 2a | 1.56, m | 1.67, m | 1.41, dd (14.4, 7.2) | 1.55, m | 1.81, m | 1.83, m | 1.60, dd (8.4, 15.0) |
| 2b | 2.52, m | 2.23, m | 2.31, ddd (14.7, 11.1,6.6) | 1.97, m | 2.51, m | 2.47, m | 2.56, m |
| 3 | 4.12, d (6.0) | 4.47, dd (7.8, 7.8) | 3.93, d (6.0) | 4.33, m | 3.99, m | 4.00, br s | 4.19, d (7.2) |
| 5 | 2.23, dd (10.4,10.4) | 2.92, m | 2.05, dd (10.0, 10.0) | 2.71, m | 2.02, dd (8.1, 11.4) | 2.07, dd (8.4, 11.4) | 2.34, dd (8.4, 9.0) |
| 6 | 4.19, Hidden | 4.18, dd (9.6, 9.6) | 4.59, dd (10.8, 9.0) | 4.02, dd (10.2, 9.0) | 4.68, dd (9.0, 1.4) | 4.64, dd (9.6, 11.1) | 4.73, dd (8.4, 10.5) |
| 7 | 3.20, m | 2.44, dd (18.6,10.2) | 2.61, m | 2.71, m | 3.09, m | 3.08, m | 3.15, m |
| 8 | 5.20, ddd (1.2, 4.8, 8.6) | 3.72, m | 3.78, m | 3.72, ddd (9.2, 4.8, 4.8) | 5.24, m | 5.14, m | 5.14, m |
| 9a | 2.73, dd (5.2, 15.2) | 2.18, dd (12.3, 8.4) | 2.11, d (14.4) | 2.09, dd (13.5, 4.8) | 2.49, m | 2.40, dd (3.6, 14.4) | 2.41, d (16.2) |
| 9b | 2.45, d (15.2) | 2.72, dd (12.6, 4.2) | 2.52, dd (14.4, 5.4) | 2.52, dd (14.1, 4.8) | 2.75, dd (5.4, 15.0) | 2.73, dd (5.1, 14.4) | 2.64, dd (6.0, 14.7) |
| 11 | 2.80, dd (15.0, 7.8) | ||||||
| 13a | 5.72, d (2.8) | 1.28, d (7.8) | 5.95, dd (3.0, 0.6) | 5.95, m | 5.57, d (3.0) | 5.58, d (3.0) | 5.60, d (3.0) |
| 13b | 6.14, d (3.2) | 5.99, dd (3.2, 1.2) | 6.00, m | 6.24, d (3.6) | 6.24, d (3.6) | 6.24, d (3.0) | |
| 14a | 4.99, d (2.0) | 5.00, s | 4.73, d (1.8) | 4.82, d (1.8) | 5.11, br s | 4.99, s | 4.87, d (1.2) |
| 14b | 5.14, d (2.0) | 5.05, s | 4.91, d (2.4) | 4.93, d (1.2) | 5.21, br s | 5.21, s | 5.18, br s |
| 15a | 3.85, d (12.0) | 5.29, s | 3.67, d (11.4) | 5.15, m | 3.07, d (4.2) | 3.08, d (4.8) | 3.97, d (12.0) |
| 15b | 4.21, d (11.6) | 5.34, s | 4.01, d (12.0) | 5.25, br s | 3.34, d (4.2) | 3.33, d (4.2) | 4.34, d (12.0) |
| 18a | 3.73, d (11.2) | 3.65, d (10.8) | 2.83, d (5.4) | 2.84, d (6.0) | |||
| 18b | 3.91, d (11.2) | 3.88, d (11.4) | 3.18, d (6.0) | 3.19, d (6.0) | |||
| 19 | 1.55, s | 1.55, br s | 1.63, s | 1.64, s | |||
| OH-3 | 4.90, s | 4.87, s | 4.70, s | 4.70, s | 3.55, s | ||
| OH-4 | 3.16, s | ||||||
| OH-8 | 3.32, s | 3.16, s | |||||
aData were obtained in methanol-d4. bData were obtained in CDCl3.
Table 2: 13C NMR data for compounds 1-7
| C# | δC, (multiplicity)c |
| 1a | |
| 1 | 49.2, d |
| 2 | 40.1, t |
| 3 | 76.9, d |
| 4 | 85.9, s |
| 5 | 59.6, d |
| 6 | 78.4, d |
| 7 | 47.5, d |
| 8 | 76.6, d |
| 9 | 35.5, t |
| 10 | 144.8, s |
| 11 | 139.3, s |
| 12 | 170.8, s |
| 13 | 122.4, t |
| 14 | 118.0, t |
| 15 | 50.1, t |
| 16 | 173.9, s |
| 17 | 76.0, s |
| 18 | 51.8, t |
| 19 | 24.2 q |
aData were obtained in methanol-d4. bData were obtained in CDCl3, cCarbon Multiplicities were determined by DEPT experiments
8α-hydroxy-11α, 13-dihydrozaluzanin C (2) was purified as a thin colorless film. It showed a molecular formula of C15H20O4 that was consistent with a molecular ion shown in EIMS at m/z 264. Comparing its NMR data presented in tables 1 and 2 with literature values [23, 31], confirmed its identity.
Chlorohyssopifolin B (3) was isolated as a colorless amorphous powder and showed a molecular ion peak at m/z 315 [M+1]+ which agreed with the molecular formula C15H19O5Cl. The structure of 3 derived from the 1H and 13C NMR data shown in tables 1 and 2 was similar to that of 1 except for the C-8 methine signal that was shown slightly more up field, and the C-7 methine and C-9 methylene signals that were shifted slightly downfield in 3. 13C and 1H NMR data were almost identical to the literature values [32].
Desacylcynaropicrin (4) was obtained as a colorless amorphous powder. Mass spectral analysis showed a molecular ion at m/z 262 which agreed with the molecular formula C15H18O4. The structure of 4 followed from 1H and 13C NMR data shown in tables 1 and 2 was similar to that of 2 except for C-13, and C-11 signals which showed downfield shifts in 4. The spectral data of 4 were in accordance with the reported values [23].
Chlorohyssopifolin C (acroptilin, 5) was obtained as colorless needles. It showed a molecular formula of C19H23ClO7 as indicated from the presence of a molecular ion [M]+ at m/z 398. 1H and13C NMR data presented in tables 1 and 2 were almost identical to literature values [24, 26].
Subluteolide (6) was purified as colorless prisms. EIMS data showed a molecular ion [M+1]+ at m/z 363 which was consistent with the molecular formula C19H22O7. The compound was identified by means of 1D (tables 1 and 2) and 2D NMR analyses and X-ray diffraction as shown in table 3.
Solstitiolide (7) was obtained as a colorless amorphous powder. It was shown to possess a molecular weight of 399 which was in agreement with the molecular formula C19H23ClO7. The spectral data of 7 as shown in tables 1 and 2 were in accordance with the reported ones [26].
Single crystals of compounds 1 and 6, suitable for X-ray diffraction technique, were grown by the solvent evaporation method. Data collection and structure refinement strategies of these crystals were described in the experimental section. Table 3 gives a description of the physical nature, experimental setup and crystal data of compounds 1 and 6. The crystal structures of 1 and 6 obtained from diffraction analysis are depicted in fig. 1 and 2, respectively. The polycyclic structures generated from X-ray diffraction was in perfect agreement with other characterization techniques of these compounds like NMR and mass spectra. Both compounds 1 and 6 were shown to be chiral as revealed from the crystal structures. In the case of compound 1, C2 (S), C3 (S), C5 (R), C9 (S), C10 (R), C11 (S), C12 (S), C17 (S) were shown to be chiral carbon atoms. The numbering system of these carbons is shown in fig.1 and it’s different from the one used in the NMR assignment. The chiral carbon atoms of compound 6 were C1 (S), C2 (S), C5 (R) C6 (S), C9 (R), C10 (R), C12 (S) and C16 (R). The numbering system of these carbons is shown in fig. 2 and it’s different from the one used in the NMR assignment.
Table 3: Summary on the crystals nature and various diffraction parameters of 1 and 6
| Compound | 1 | 6 |
| Crystal Dimension/mm | 0.35 x 0.22 x 0.03 | 0.20 x 0.25 x 0.25 |
| Crystal Color, Habit | Colorless, Platelet | Colorless, Block |
| Formula weight | C19 H24 Cl2 O7 | C19 H22 O7 |
| Crystal system | Monoclinic | Monoclinic |
| Space group | P 1 21 1 | P 1 21 1 |
| T/K | 296 | 296 |
| a/Å | 10.3539(15) | 9.6076(3) |
| b//Å | 9.1963(13) | 9.9919(3) |
| c/Å | 11.3512(17) | 10.4205(3) |
| α/ ° | 90 | 90 |
| β/ ° | 112.247(6) | 114.9190(10) |
| γ/ ° | 90 | 90 |
| V/Å3 | 1000.4(3) | 907.22(5) |
| Z | 2 | 2 |
| µ (mm-1) | 3.265 | 0.849 |
| ρcalcd/g cm-3 | 1.445 | 1.327 |
| θmax/deg | 66.86 | 66.83 |
| Reflections collected | 5926 | 7336 |
| Unique reflections | 2898 | 2949 |
| Rint | 0.0418 | 0.0734 |
| R (I>2σ) | 0.0339 | 0.0393 |
| R (all data) | 0.0340 | 0.0395 |
| Rw(all data) | 0.0911 | 0.1207 |
| Δ ρmaxe Å-3 | 0.245 | 0.194 |

Fig. 1: Crystal structure of compound 1 (1a-thermal ellipsoid and 1b-ball and stick representation). Color code: red-oxygen; green-chlorine; gray-carbon and black-hydrogen

Fig. 2: Crystal structure of compound 6 (6a-thermal ellipsoid and 6b-ball and stick representation). Color code: red-oxygen; grey-carbon and black-hydrogen

The isolated compounds 1-7 were evaluated for their cytotoxic activities against HEPG2, HEP2 and BHK cell lines. Compounds 1-4 and 6 exhibited selective cytotoxic effects against HEP2 and HEPG2. However, compounds 1 and 7 showed the highest activities against HEP2 with IC50 values of 10.6±0.02 and 10.9±0.03 µM, respectively. Moreover, compound 3 was the most potent agent against HEPG2 cells with IC50 value of 13.8±0.05 µM.
Compounds 2 and 4-6 showed varied cytotoxic activities against both HEPG2 and HEP2 cell lines. IC50 values are shown in table 4.
Table 4: IC50 of compounds 1-7
| IC50 (µM)±SD | Cell Line | |||||||
| 7 | 6 | 5 | 4 | 3 | 2 | 1 | Doxorubicina | |
| 10.9±0.03 | 12.0±0.02 | 25.1±0.06 | 105.0±0.02 | 33.8±0.02 | 87.1±0.04 | 10.6±0.02 | 8.0±0.03 | HEP2 |
| 30.2±0.03 | 30.4±0.04 | 25.1±0.02 | 22.6±0.05 | 13.8±0.05 | 87.1±0.04 | 23.0±0.03 | 8.5±0.03 | HEPG2 |
| 45.7±0.04 | NA | 77.1±0.03 | NA | NA | NA | NAb | 48.8±0.04 | BHK |
aDoxorubicin was used as a positive control, bNA: Not Active. Compounds were tested at the concentration of 50 µg/ml, and were inactive.
Phytochemical investigation on Centaurea aegyptiaca ethanol and ethyl acetate extracts led to the isolation and identification of seven guaianolide sesquiterpene lactones, four of which are chlorinated compounds. Moreover, these compounds may be responsible for the cytotoxic activities shown by Centaurea aegyptiaca extract against hepatic and laryngeal carcinoma cell lines.
Spectral and single crystal X-ray analyses were done at the Faculty of Science, Research Sector Projects Unit (RSPU), Kuwait University; projects numbers GS 01/03 and GS 03/08. Cytotoxicity evaluation was done at the Pharmacology Unit, Cancer Biology Department, National Cancer Institute, Cairo University, Cairo, Egypt.
HG Sary did the extraction, isolation and purification of the compounds. She also made the necessary arrangement for cytotoxicity studies. NA Ayoub and AN Singab made the needed arrangement for the plant collection. M Vinodh ran single crystal X-ray diffraction analyses. KY Orabi is the principal investigator and the author of correspondence. He supervised the whole work throughout the extraction, isolation, purification and spectral analyses. All the work, except cytotoxicity evaluation, was funded and done in his laboratory. He, along with HG Sary, prepared and corrected the manuscript.
All authors have none to declare
Monde K, Satoh H, Nakamura M, Tamura M, Takasugi M. Organochlorine compounds from a terrestrial higher plant: structures and origin of chlorinated orcinol derivatives from diseased bulbs of Lilium maximowiczii. J Nat Prod 1998;61:913-21.
Runguphan W, Qu X, E O’Connor S. Integrating carbon-halogen bond formation into medicinal plant metabolism. Nature 2010;468:461-4.
Blunt J, Copp B, Munro M, Northcote P, Prinsep M. Marine natural products. Nat Prod Rep 2004;21:1-49.
Dembitsky VM, Tolstikov GA. Chlorine-containing sesquiterpenes of higher plants. Chem Sustainable Dev 2002; 10:363-70.
Koukoulitsa E, Skaltsa H, Karioti A, Demetzos C, Dimas K. Bioactive sesquiterpene lactones from Centaurea species and their cytotoxic/cytostatic activity against human cell lines in vitro. Planta Med 2002;68:649-52.
Saroglou V, Karioti A, Demetzos C, Dimas K, Skaltsa H. Sesquiterpene lactones from Centaurea spinosa and their antibacterial and cytotoxic activities. J Nat Prod 2005;68:1404-7.
Talhouk RS, El-Jouni W, Baalbaki R, Gali-Muhtasib H, Kogan J, Talhouk SN. Anti-inflammatory bio-activities in a water extract of Centaurea ainetensis. J Med Plants Res 2008;2:24-33.
Koukoulitsa C, Germichalos G, Skaltsa H. VolSurf analysis of pharmacokinetic properties for several antifungal sesquiterpene lactones isolated from greek Centaurea sp. J Comput Aided Mol Des 2005;19:617-23.
Skaltsa H, Lazari D, Panagouleas C, Georgiadou E, Garcia B, Sokovic M. Sesquiterpene lactones from Centaurea thessala and Centaurea attica antifungal activity. Phytochemistry 2000; 55:903-8.
Medjroubi K, Bouderdara N, Benayache F, Akkal S, Seguin E, Tillequin F. Sesquiterpene lactones of Centaurea nicaensis. Chem Nat Compd 2003;39:506-7.
Saikali M, Ghantous A, Halawa R, Talhouk S, Saliba N, Darwiche N. Sesquiterpene lactones isolated from indigenous Middle Eastern plants inhibit tumor promoter-induced transformation of JB6 cells. BMC Complementary Altern Med 2012;12:89.
Erol-Dayi O, Pekmez M, Bona M, Aras-Perk A, Arda N. Total phenolic contents, antioxidant activities and cytotoxicity of three Centaurea species: C. calcitrapa subsp. calcitrapa, C. ptosimopappa and C. spicata. Free Radicals Antioxidants 2011;1:31-6.
Scotti M, Fernandez M, Ferreira M, Emerenciano V. Quantitative structure-activity relationship of sesquiterpene lactones with cytotoxic activity. Bioorg Med Chem 2007;15:2927-34.
Sary HG, Singab AB, Orabi KY. New cytotoxic guaianolides from Centaurea aegyptiaca. Nat Prod Commun 2016;11:711-4.
Harley-Mason J, Hewson AT, Kennard O, Pettersen RC. Isolation of centaurepensin, a guaianolide sesquiterpene lactone ester containing two chlorine atoms. Determination of structure and absolute configuration by x-ray crystallography. J Chem Soc Chem Commun 1972;8:460-1.
Gonzalez AG, Bermejo J, Breton JL, Triana J. Constituents of Compositae. XV. Chlorohyssopifolin A and B, two new sesquiterpene lactones isolated from Centaurea hyssopifolia. Tetrahedron Lett 1972;20:2017-20.
Cassady JM, Abramson D, Cowall P, Chang CJ, McLaughlin JL, Aynehchi Y. Potential antitumor agents. Part 13. Centaurepensin: a cytotoxic constituent of Centaurea solstitialis and C. repens (Asteracea). J Nat Prod 1979;42:427-9.
Al-Easa HS, Mann J, Rizk AF. Guaianolides from Centaurea sinaica. Phytochemistry 1990;29:1324-5.
Bohlmann F, Chen ZL. Guaianolides from Ainsliaea fragrans. Phytochemistry 1982;21:2120-2.
Helal AM, Nakamura N, Meselhy MR, El-Fishawy AM, Hattori M, Mahran GH. Guaianolides from Centaurea scoparia. Phytochemistry 1997;45:551-4.
El Dahmy S, Bohlmann F, Sarg TM, Ateya A, Farrag N. New guaianolides from Centaurea aegyptica. Planta Med 1985; 2:176-7.
Rustaiyan A, Niknejad A, Zdero C, Ferdinand B. A guaianolide from Centaurea behen. Phytochemistry 1981;20:2427-9.
Choi S, Choi S, Lee K. Cytotoxic sesquiterpene lactones from Saussurea calcicola. Arch Pharm Res 2005;28:1142-6.
Gonzalez A, Bermejo J, Breton J, Massanet G, Triana J. Chlorophyssopifolin C, D, E and vahlenin, four new sesquiterpene lactones from Centaurea hyssopifolia. Phytochemistry 1974;13:1193-7.
Gonzalez AG, Bermejo J, Amaro JM, Massanet GM, Galindo A, Cabrera I. Chemical constituents of the compositae. Part 35. Sesquiterpene lactones from Centaurea linifolia vahl. Can J Chem 1978;56:491-4.
Merrill GB, Stevens KL. Sesquiterpene lactones from Centaurea solstitialis. Phytochemistry 1985;24:2013-8.
Massiot G, Toubiana R. Structure of subluteolide, a new guaianolide isolated from Vernonia sublutea (Compositae). C R Hebd Séances Acad Sci Ser C 1974;279:907-9.
Skehan P, Storeng R, Scudiero D, Monks A, McMahon J, Vistica D, et al. New colorimetric cytotoxic assay for anticancer-drug screening. J Natl Cancer Inst 1990;82:1107-12.
Gonzalez AG, Bermejo J, Breton JL, Massanet GM, Dominguez B, Amaro JM. The chemistry of the compositae. Part XXX1. l absolute configuration of the sesquiterpene lactones centaurepensin (Chlorohyssopifolin A), acroptilin (Chlorohyssopifolin C), and repin. J Chem Soc Perkin 1976;1:1663-6.
Hamburger M, Wolfender JL, Hostettmann K. Search for chlorinated sesquiterpene lactones in the neurotoxic thistle Centaurea solstitialis by liquid chromatography-mass spectrometry, and model studies on their possible artifactual formation. Nat Toxins 1993;1:315-27.
Li X, Liu J, Cai J, Cai P. Complete 1H and 13C data assignments of two new guaianolides isolated from Ainsliaea fragrans. Magn Reson Chem 2008;46:1070-3.
Youssef D, Frahm AW. Constituents of the Egyptian Centaurea scoparia; chlorinated guaianolides of the aerial parts. Planta Med 1994;60:267-71.